Next Article in Journal
The Influence of AR on Purchase Intentions of Cultural Heritage Products: The TAM and Flow-Based Study
Previous Article in Journal
Chemical Risk Assessment for Small Businesses: Development of the Chemical Hazard Assessment and Prioritization Risk (CHAP-Risk) Tool
 
 
Font Type:
Arial Georgia Verdana
Font Size:
Aa Aa Aa
Line Spacing:
Column Width:
Background:
Article

The Performance of Symbolic Limited Optimal Discrete Controller Synthesis in the Control and Path Planning of the Quadcopter

Department of Mechanical Engineering, Hasan Ferdi Turgutlu Technology Faculty, Manisa Celal Bayar University, 45400 Manisa, Türkiye
Appl. Sci. 2024, 14(16), 7168; https://doi.org/10.3390/app14167168
Submission received: 17 July 2024 / Revised: 11 August 2024 / Accepted: 13 August 2024 / Published: 15 August 2024
(This article belongs to the Section Aerospace Science and Engineering)

Abstract

In recent years, quadcopter-type unmanned aerial vehicles have been preferred in many engineering applications. Because of its nonlinear dynamic model that makes it hard to create optimal control, quadcopter control is one of the main focuses of control engineering and has been studied by many researchers. A quadcopter has six degrees of freedom movement capability and multi-input multi-output structure in its dynamic model. The full nonlinear model of the quadcopter is derived using the results of the experimental studies in the literature. In this study, the control of the quadcopter is realized using the symbolic limited optimal discrete controller synthesis (S-DCS) method. The attitude, altitude, and horizontal movement control of the quadcopter are carried out. To validate the success of the SDCS controller, the control of the quadcopter is realized with fractional order proportional-integral-derivative (FOPID) controllers. The parameters of the FOPID controllers are calculated using Fire Hawk Optimizer, Flying Fox Optimization Algorithm, and Puma Optimizer, which are recently developed meta-heuristic (MH) algorithms. The performance of the S-DCS controller is compared with the performance of the optimal FOPID controllers. In the path planning part of this study, the optimal path planning performances of the SDCS method and the MH algorithms are tested and compared. The optimal solution of the traveling salesman problem (TSP) for a single quadcopter and min-max TSP with multiple depots for multi quadcopters are obtained. The methods and the cases that optimize the dynamic behavior and the path planning of the quadcopter are investigated and determined.

1. Introduction

An unmanned aerial vehicle (UAV) is an aircraft which is guided by remote control and can be autonomous. A UAV is also known as drone which does not have a human pilot or any passengers on it [1]. Manned aircrafts have benefited the possibility of switching to automatic pilot, which is not a fully autonomous system, for decades. The main difference between manned aircraft and UAVs is full flight autonomy [2]. The advantages of UAV systems compared to manned aircraft is the capability to perform dangerous and complex missions with lower costs. A quadcopter is a UAV that consists of four rotors. A quadcopter has brushless motors, electronic speed controllers, a flight controller board, communication equipment, and a lithium polymer battery [3]. A quadcopter has vertical take-off and landing capabilities. A quadcopter is a structurally simple vehicle; however, its control system is complex because of its nonlinear dynamic behavior [4]. A quadcopter UAV has only tens or hundreds of components, while a classic aircraft starts from 1.5 million components upwards. The quadcopter is even simpler than a car, which today has about 15,000 different components. Its simple, light, and cheap structure and remote controlled and autonomous navigation capability are great advantages compared to classic aircraft. Some drones that transport heavy materials and or passengers may have many more components (tens or hundreds of thousands), but they are still structurally simpler than a classic aircraft.
The literature over the last two decades has been focused on the development of new control methods, path planning, and developing new UAV designs. In the literature, the control and stability of quadcopters have been investigated in many studies [5]. Researchers have focused on different research on dynamic models and the control of quadcopter UAVs [6]. In the control of quadcopters, one of the most preferred controllers is the proportional-integral-derivative (PID) controller [7]. PID-type controllers have been used in many applications that require accurate control. In the PID controller, error value is calculated by using the difference between the setpoint and the measured value of the output of the system. Fractional order PID (FOPID) controllers are used in many studies including quadcopter control [8,9].
Optimal control is a type of mathematical optimization that includes providing the best conditions for a dynamic system. Optimal controllers, especially PID-based ones, have been used in numerous applications in engineering and science. Optimal PID controllers provide one of the best solutions for quadcopter control, since they have a nonlinear dynamic structure and are an unstable system. The parameters of PID controllers are usually mathematically adjusted with optimization algorithms.
Optimization methods aim to find the optimal conditions of an engineering system. Optimization can be defined as finding the optimal ones from a collection of possible solutions. Meta-heuristic (MH) algorithms are optimization algorithms that are classified under stochastic algorithms. MH algorithms are a large branch of optimization algorithms that provide near-optimal results for solving large-scale optimization problems in many research fields. MH algorithms became effective tools to optimize engineering problems [10,11]. In the literature, MH algorithms made significant contributions to the solution of many engineering problems. There are many recently developed MH algorithms. MH algorithms belong to a large family, but most MH algorithms are swarm-based. In recent years, the number of single usage and hybridizations of MH algorithms has increased in the literature [12]. Fire Hawk Optimizer (FHO) is an MH algorithm that mimics the foraging behavior of whistling kites, black kites, and brown falcons in nature to solve optimization problems. These birds are called fire hawks because they are capable of setting fires for hunting [13]. Flying Fox Optimization (FFO) is a recently developed MH algorithm that utilizes the techniques used by flying foxes to survive in high temperatures [14]. The Puma Optimizer (PO) is inspired from the natural life of pumas. In PO, powerful mechanisms have been included for exploration and exploitation phases [15]. The classification of the MH algorithms is shown in Figure 1.
The control of discrete event systems was originally developed as a branch of language theory [16]. Later, various theories such as FSM [17], automata [18], and Petri nets [19] were developed in this field. The foundation of discrete event system control theory is based on the parallel synchronization of Mealy machines, where two Mealy machines can be controlled by a third Mealy machine, namely the controller, to achieve desired system behaviors. However, the theory, known as discrete control synthesis, generally focuses on how this controller can be synthesized according to system behaviors and desired objectives. Pioneering work in this area [20,21] was carried out on finite systems. Subsequently, refs. [22,23] developed DCS for infinite systems and addressed the state explosion problem using a symbolic approach. Regarding optimization objectives, Ref. [24] is based on minimizing a cost function. The computational complexity of calculating an SDCS controller is exponential; however, our experimental evaluations indicate that the computation time remains quite reasonable, even with a very high number of states. Additionally, the computation is performed only once to generate the controller. Once the controller is obtained, it operates dynamically and in real-time within the integrated system. One of the primary challenges in real-time implementations is the necessity to model all system behaviors to ensure optimal performance. However, it is worth noting that our approach does not require additional hardware resources. The controller can be embedded within an internal microcontroller, eliminating the need for external hardware requirements.
The motivation of this paper is proposing the optimal solutions in both the controller design and path planning sides for the flight of the quadcopters. In the controller design part of this paper, the full control of the quadcopter UAV is considered as a discrete controller synthesis problem. SDCS as an optimal controller is a new approach that aims to minimize a defined objective function to provide a desired system output. The control theory of discrete event systems is framed within a linguistic framework, primarily aimed at synthesizing controllers tailored to specific system dynamics and control objectives. Symbolic modeling entails the representation of systems using labeled input/output automata. Controllability in this context hinges on the premise that achieving desired outputs relies on managing transitions between symbolic states in response to inputs, diverging from event-driven mechanisms. Consequently, employing symbolic modeling and control strategies proves more efficacious in addressing practical challenges encountered in real-world scenarios, particularly in the control of systems governed by manipulable input signals, compared to conventional control algorithms. The originality of this paper is that it is the first in the literature which compare SDCS and FOPID controllers in the control of the quadcopter.
In the path planning part of this paper, the optimal solution of the TSP for a single quadcopter and min-max TSP with multiple depots for multi quadcopters are obtained. This is the second motivation of this study, which is related to a research gap in collaborative UAVs. The literature review conducted here provides a comprehensive analysis of the increasing complexity observed in unmanned systems alongside the concurrent development of simulation environments aimed at cost mitigation during installation. The unique challenges encountered by autonomous and collaborative UAVs are underscored as pivotal in this context. The principal research objective centers on integrating the SDCS method into a simulation environment via the Simulink of MATLAB 2021a. This integration is highlighted for its capability in generating controllers that are synthesizable and adhere to formal correctness standards. Autonomous UAV systems struggle with external parameters such as gravity and wind, demanding robust control approaches, whereas collaborative UAVs face complex coordination challenges. Current research investigates various control methodologies within simulation environments, with the principal objective of achieving seamless integration of the SDCS method into Simulink. This integration is intended to enhance the deployment of collaborative UAVs, thereby addressing critical safety and optimization challenges. The contributions of this study—including modeling and implementation within the proposed SDCS technique—aim to address a significant research gap in the existing literature. This paper aims to utilize the advantages of the SDCS method to enhance and integrate simulation platforms. In contrast to previous studies, it addresses the novel challenge of incorporating a symbolic approach for managing infinite systems within these simulation environments. This effort significantly contributes to the existing literature by introducing an innovative method that effectively circumvents the state explosion problem commonly associated with such systems.
The contribution of this study to the literature is that the SDCS method optimizes the dynamic behavior and path planning of quadcopters together. Existing studies in the literature include low-level and high-level control targets separately [25,26]. However, for a quadcopter or quadcopter swarm to perform a task while consuming the least amount of energy and time, optimizing only its dynamic behavior or path planning is not enough. Additionally, comparing the SDCS and MH methods developed in recent years has increased the academic and industrial contribution of this study. The results obtained in this study will contribute to the preferability of the SDCS method in the control and path planning of the quadcopters and other aircraft in current applications such as observation activities and cargo transportation.
The remainder of this paper is organized as follows: Section 2 presents the background of the system modeling and FOPID controller. Section 3 gives the optimal controller design procedure and details of SDCS. In Section 4, the experimental evaluation of the proposed approaches was given, and the obtained results were presented. Finally, Section 5 concludes the paper with the main findings and highlights future research directions.

Related Work

Symbolic approaches have been effectively utilized in discrete control synthesis in various domains. Refs. [27,28] achieved significant results in the energy efficiency of hardware circuits using symbolic DCS. Refs. [29,30] applied it to electric vehicles and power grids, obtaining notably good results compared to other popular methods. Similarly, Ref. [31] addressed the path problem for CNC machines in multi-pocket milling. Lastly, Refs. [32,33] demonstrated that, for robotic systems and UAVs, path problems are better solved compared to alternative machine learning approaches.
The control strategies of UAVs are involved in many studies. The objective of [34] is to conduct a comparative analysis of two distinct control methodologies, PID and FOPID, in the context of a nonlinear, underactuated quadcopter system. The dynamics of the quadcopter’s movement are examined to establish a mathematical model. Subsequently, the mathematical model is simulated using Simulink of MATLAB 2021a software. The effectiveness of the PID and FOPID control techniques in stabilizing the quadcopter’s motion is evaluated, and the outcomes are juxtaposed to ascertain the superior control strategy. Ref. [35] examines quadrotors which are widely used due to their cost effectiveness and ease of construction, thanks to their efficiency. The controller system utilized for the quadrotors is the PID-based plant model. However, the PID controller has limitations in achieving precise position control. To address these limitations, the performance of the PID controller is compared to that of a FOPID controller through simulation. The FOPID controller is designed to fine-tune the PID plant model to enhance drone stabilization and minimize disruptions during flight. Following fine-tuning, the proposed FOPID controller achieved a lower settling time, better disturbance rejection, and improved set point tracking compared to the PID controller. This performance enhancement is also evident when dealing with complex inputs, such as sinusoidal signals.
In many studies, the autonomy and control capabilities of the UAVs are investigated together. Ref. [36] presents a thorough investigation into improving the autonomy and control capabilities of quadcopters. The main focus is on developing and implementing three conventional control methods to improve the dynamic behavior of quadcopter UAVs: the PID controller, the sliding mode controller, and the FOPID controller. These commonly known controllers are utilized to provide the desired dynamic output and stability during the flight of the quadcopter. Additionally, Dyna-Q learning, which is an obstacle avoidance method, is integrated into the control system. Using MATLAB, the quadcopter navigated autonomously in complex environments by avoiding the obstacles through decision making and real-time learning processes. The performance of the various control methods, including Dyna-Q learning, were compared through the experiments and evaluations performed in MATLAB. The comprehensive analysis provides significant solutions to optimize the flight stability in various real-world missions. In the rapidly evolving field of autonomous UAVs, various control strategies for UAV systems have been extensively studied. The conventional PID controllers are widely considered at different stages of the control loop. Despite the enhanced flexibility offered by fractional order PID (FOPID) controllers compared to their integer-order counterparts (IOPID), their adoption remains cautious due to heightened computational demands during tuning and challenges in achieving precise real-time implementation. Addressing these concerns, Ref. [37] introduces a Surrogate-Based Analysis and Optimization (SBAO) technique tailored for higher order approximations of FOPID controllers. The efficacy of the proposed method is validated through two case studies. The results affirm the superiority of SBAO over traditional heuristic approaches in optimizing both IOPID and FOPID controllers, underscoring its potential to enhance computational efficiency and control effectiveness in practical applications.
Path optimization plays a crucial role in enhancing the energy efficiency of UAVs. Among the various challenges in UAV path planning, the traveling salesman problem with drone (TSP-D) stands out as a significant issue. TSP-D involves routing where a predefined set of customer locations must be visited in the shortest possible time. This objective can be accomplished either by a truck route originating and concluding at a depot or by integrating drone deployment on the truck while on route. The study referenced in [38] specifically focuses on the TSP-D model and introduces a mixed-integer programming formulation that leverages the problem’s inherent structure. This formulation divides the problem into two distinct decision stages: firstly, selecting and organizing a subset of customers to be serviced by the truck, and secondly, determining optimal drone deployment from the truck to reach the remaining customer locations. To solve this complex optimization challenge, the authors developed a Benders-type decomposition algorithm. This algorithm incorporates enhanced optimality cuts derived from the structural properties of optimal solutions, alongside innovations like t-shortcut and t-reduction concepts, which are significant contributions. The effectiveness of their proposed solution approach is validated through extensive testing on a diverse set of randomly generated instances. This empirical evaluation demonstrates the method’s capability to efficiently solve real-world instances of the TSP-D, showcasing its potential to advance operational efficiencies in UAV logistics and transportation systems. Ref. [39] addresses a variation of the well-known TSP, which has been expanded to accommodate the unique characteristics of a new drone-based distribution model in last-mile logistics. In the scenario, the salesperson symbolizes the driver of a home delivery vehicle. With a list of customers to visit, the vehicle has a restricted capacity, allowing only a portion of shipments to be loaded when departing from the warehouse. The remaining shipments must be replenished to the vehicle during its route by a single unmanned aerial vehicle (drone). The drone collects shipments (one at a time) from the warehouse and transports them to the vehicle. The modified TSP focuses on planning the vehicle’s route through the customer list and a replenishment schedule for the drone to minimize overall delivery expenses. They devise appropriate optimization methods and implement them in both static and dynamic problem scenarios. Additionally, they compare the cost savings achieved by drone replenishment to other home delivery options, with and without drone assistance. The findings indicate that drone replenishment offers significant benefits when utilized in the appropriate delivery context.
The concept of utilizing drones in last-mile delivery logistics presents a complex challenge known as the TSP-D. TSP-D involves creating an efficient route to distribute packages to customers using either a truck or a drone, with the goal of reducing operational expenses. Due to its complexity, TSP-D is classified as NP-hard, prompting the use of metaheuristics as a promising approach. A recent study [40] introduces a hybrid metaheuristic method for TSP-D that combines two advanced algorithms: the genetic algorithm and ant colony optimization algorithm. Existing heuristics in the TSP-D literature typically focus on truck routing and drone assignment separately. In contrast, the proposed metaheuristic simultaneously optimizes both truck and drone routes. Furthermore, the study introduces a novel approach based on ant colony optimization for TSP-D, along with a unique binary pheromone framework for drones and trucks. Computational experiments demonstrate that the hybrid metaheuristic algorithm can generate optimal routes for various TSP-D scenarios, outperforming rival heuristics in terms of solution quality. Lately, the focus has shifted towards the multimodal last-mile e-mobility concept, which aims to make urban deliveries cleaner, greener, and more accessible. This approach is suitable for various logistics operations and medical applications as part of sustainable transportation systems. A study [41] investigated an application of multimodal e-mobility by introducing and modeling the traveling salesman problem with drone and bicycle (TSP-D-B). A new mixed-integer linear programming model is developed to minimize total travel time. Within the context of last-mile delivery, the model employs a fleet comprising a truck, a drone, and a bicycle to efficiently serve customers in a single visit. The truck serves as the primary vehicle, with the drone and bicycle available as alternatives in case of emergencies like traffic congestion or route issues. To evaluate the model’s complexity, validity, and practicality, a dataset with 64 different benchmarks is created. The results show that the model can effectively solve the benchmarks for up to 50 customers within a maximum of 685 s. A comparison is conducted between TSP-D-B, the traditional TSP, and TSP-D. The results demonstrate that TSP-D-B offers significant time savings across all benchmarks. Additionally, a comparative analysis utilizing instances from the existing literature confirms that TSP-D-B achieves notable time savings in the majority of scenarios.
Developing path planning strategies for the set of multi unmanned vehicles is a significant and growing research topic. Recent research [42] focuses on the min-max multiple traveling salesman problem with single depot (min-max mTSP) and multiple depots (min-max multi-depot mTSP), which aim to minimize the longest path among a set of paths. These two problems have various practical applications and are usually analyzed separately in the existing literature. They introduce a unified memetic approach to address both the min-max mTSP and min-max multi-depot mTSP cases. The proposed algorithm includes a generalized edge assembly crossover for generating offspring solutions, an efficient variable neighborhood descent for local optimization, and an aggressive post-optimization step for further enhancing solutions. Through extensive experiments on 77 min-max mTSP benchmark instances and 43 min-max multi-depot mTSP instances commonly found in the literature, they have demonstrated the superior performance of the proposed algorithm compared to other state-of-the-art methods. Furthermore, additional experimental investigations have been carried out to provide insights into the effectiveness of the key algorithmic components.
The Multi-Depot Vehicle Routing Problem (MDVRP) seeks to minimize the total distance traveled by unmanned vehicles originating from multiple depots to visit specified locations exactly once. This problem is classified as a Nondeterministic Polynomial Hard (NP-hard) problem and is frequently used as a benchmark for the development of optimization schemes. A recent paper [43] examines a variation of the MDVRP known as the min-max MDVRP, which aims to reduce the path length of the unmanned vehicle that covers the longest distance. Unlike the traditional MDVRP, the min-max MDVRP is particularly relevant for time-sensitive applications, such as emergency response, where reducing customer response time is crucial. The paper introduces an extension of an existing ant colony optimization algorithm (ACO) for solving the Single Depot Vehicle Routing Problem (SDVRP) to address both the multiple depots and min-max variants of the problem. Initially, the algorithm for solving the min-max version of SDVRP is presented, followed by an extension of the algorithm for min-max MDVRP using an equitable region partitioning strategy to assign customer locations to depots, thereby reducing MDVRP to multiple SDVRPs. The proposed method is implemented in MATLAB to find solutions for min-max MDVRP with varying numbers of vehicles and customer locations. A comparative analysis is conducted to assess the performance of the proposed algorithm against a linear programming (LP)-based algorithm from the existing literature in terms of solution optimality. It is demonstrated that the ACO method proposed in the paper yields more optimal results compared to the current LP-based approach through simulations and statistical evaluations.
A recent study [44] discusses a min-max variation of the Dubins multiple traveling salesman problem (mTSP). This issue naturally appears in mission planning applications that involve fixed-wing UAVs. Initially, the routing problem, which is known as the one-in-a-set Dubins mTSP problem (MD-GmTSP), is formulated as a mixed-integer linear program (MILP). Subsequently, heuristic-based search methods are developed for the MD-GmTSP using path construction algorithms to find initial possible solutions. Afterwards, these solutions are enhanced using variations of the variable neighborhood search (VNS) metaheuristic. Additionally, a graph neural network to implicitly learn policies is investigated for the MD-GmTSP using a learning-based approach. The results indicate that learning-based approaches are effective for smaller instances, whereas the VNS-based heuristics yield the optimal solutions for larger instances. The purpose of a recent research paper [45] was to establish the minimum number of unmanned aerial vehicles (UAVs) required for conducting aerial reconnaissance in a specific area. Initially, the energy consumption of a UAV flying at a constant speed was analyzed to determine the percentage of energy consumed per meter. By taking into account the length of the UAV’s trajectory, the necessary energy percentage for completing a single tour was calculated. If it was found that a single UAV could not complete its designated trajectory, additional UAVs were added until each one could successfully finish its route. The study utilized the vehicle routing problem approach to determine the UAV trajectories, employing the genetic algorithm method as a metaheuristic optimization technique to solve the vehicle routing problem (VRP). The algorithm was implemented in the MATLAB environment, with adjustments made to the crossing rate and population number parameters in the genetic algorithm (GA) method to identify the minimum number of UAVs required for aerial observation in the target area and to optimize the UAV trajectories.
In this study, the control of a quadcopter-type UAV was firstly performed by using FOPID controllers. The parameters of the controllers were obtained by using FHO, FFO, and PO algorithms. The controller that provided the best performance was compared with the performance of the SDCS controller. In this study, it was proved that the symbolic SDCS approach can be effectively used for the nonlinear model of the quadcopter UAVs, filling an important gap in this field. Furthermore, it provides much higher precision in achieving specified objectives compared to traditional machine learning approaches. The second purpose of this study is to investigate the optimal path planning conditions of the quadcopter. Thus, the path planning performances of the tested MH algorithms and the SDCS method were tested and compared. The optimal solution of the TSP for a single quadcopter and min-max TSP with multiple depots for multi quadcopters were obtained. The major contribution in this field is the reduction in energy and time costs while achieving higher levels of accuracy.

2. Background of the System Modeling and FOPID Controller

A quadcopter has six degrees of freedom (DOF) movement capability that is provided by its four rotors. Quadcopters involve three rotational and three translational movements. Six DOF movements of a quadcopter are provided by varying the direction and angular velocities of the rotors. The structure and movements of the quadcopter are as shown in Figure 2.
As shown in Figure 2, the vectors of x, y, and z represent the position of the center of the quadcopter. Angles of φ, θ, and ψ, are Euler angles which denote the roll, pitch, and yaw angles, respectively. The dynamic model of a quadcopter can be described by the nonlinear Equations (1)–(6):
x ¨ = c o s ψ s i n θ c o s φ + s i n ψ s i n φ u 1 m
y ¨ = c o s ψ s i n θ s i n φ c o s ψ s i n φ u 1 m
z ¨ = g + c o s θ c o s φ u 1 m  
φ ¨ = θ ˙ ψ ˙ I y I z I x + L I x u 2 1 I x J r θ ˙ Ω
θ ¨ = φ ˙ ψ ˙ I z I x I y + L I y u 3 1 I y J r ψ ˙ Ω
ψ ¨ = θ ˙ φ ˙ I x I y I z + d I z u 4
In Equations (1)–(6), Ix, Iy, and Iz represent the moment of inertia of the quadcopter, m represents the mass of the quadcopter, and Jr represents the rotor inertia. L is the length of the rotor arm. The relation between the force, moment, and velocity of the rotor can be described as given in Equations (7)–(11).
u 1 = b Ω 1 2 + Ω 2 2 + Ω 3 2 + Ω 4 2
u 2 = b Ω 1 2 Ω 3 2
u 3 = b Ω 2 2 Ω 4 2
u 4 = d Ω 1 2 Ω 2 2 + Ω 3 2 Ω 4 2
Ω = Ω 1 + Ω 2 Ω 3 + Ω 4
Equations (7)–(11) represent the system’s input variables of movement, Ωi represents the speed of the propeller i, and Fi = bΩi represents the thrust force of the rotor i. The parameters of b and d, respectively, represent the thrust and drag coefficients.
In the literature, there are several studies that are based on obtaining the dynamic parameters of the quadcopters. The results of an experimental study in the literature were used to define the parameters of the nonlinear quadcopter model that was used in this study [47]. Dynamic system modeling and control algorithm evaluation were conducted as part of the project. The Newton–Euler formalism was employed to model the dynamic system, with particular emphasis placed on the subsystem consisting of the DC motor, gearbox, and propeller. The developed subsystem also required the estimation of aerodynamic lift and torque to achieve enhanced accuracy. A comparative analysis of PID control algorithms was performed to assess their effectiveness. To validate the results, both a simulator and a real platform were developed and utilized. The initial phase of testing involved a simulated model, which facilitated performance evaluation through a mathematical approach. Subsequent tests were conducted on a quadrotor platform to assess the real system’s behavior. A MATLAB/Simulink-based simulator was developed, enabling the evaluation of model accuracy and control algorithm robustness. This simulation environment featured a 3D graphical output and a joystick interface, which enhanced both the testability and observability of the system. The electronics of the tested quadcopter comprised a Microcontroller Unit (MCU) interfaced with various components, including the power supply, receiving unit, DC motor power boards, Inertial Measurement Unit (IMU), SONAR, and infrared (IR) modules. The integration of these devices with the MCU facilitated both guided and autonomous flight capabilities. In Table 1, the values of the parameters of the quadcopter dynamic model are given.
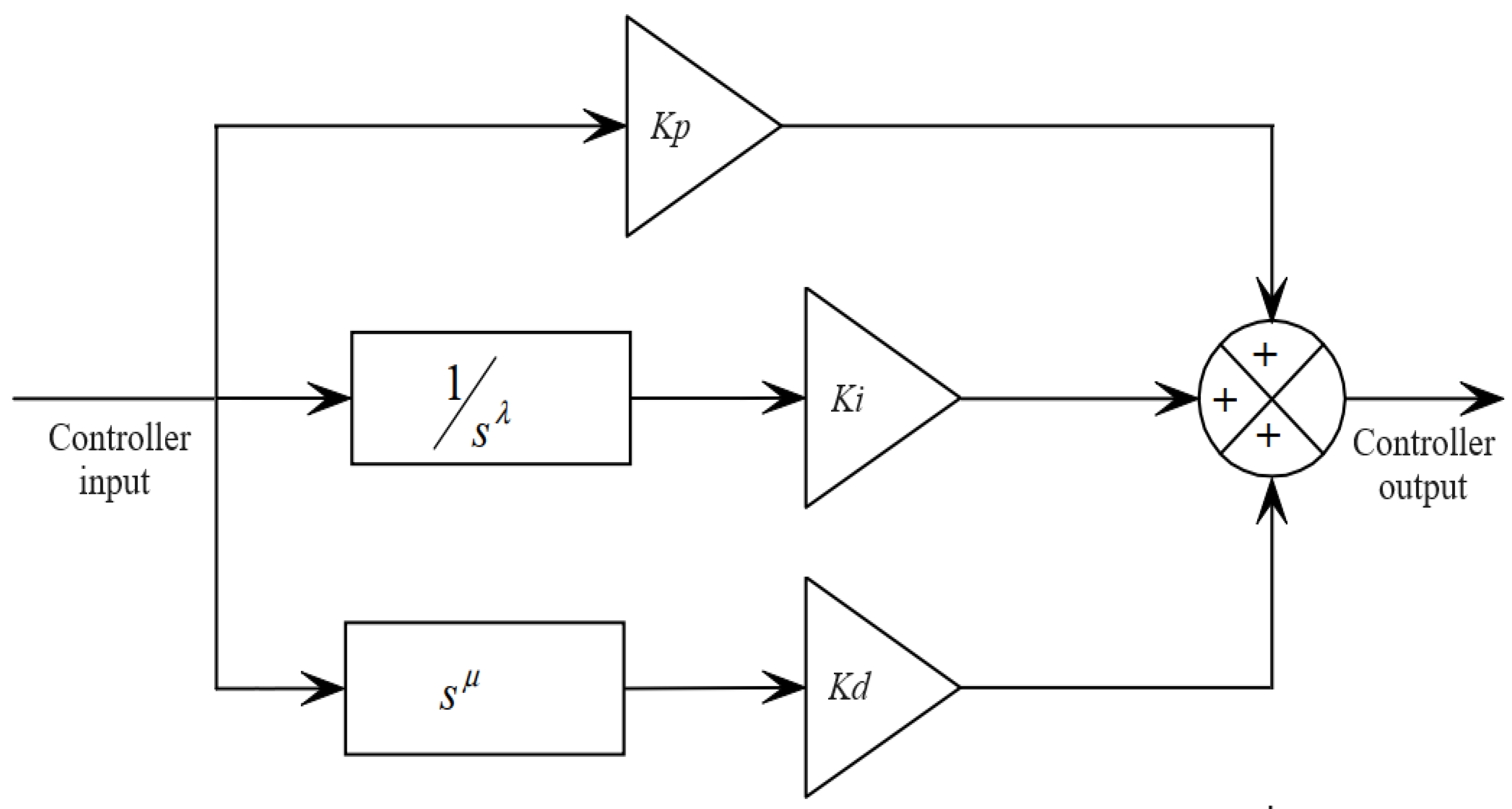
The FOPID has gathered increasing attention and usage in several control engineering fields in recent years. Developing the FOPID controllers is more difficult than developing the traditional PID controllers because five parameters such as Kp, Ki, Kd, λ, and μ are tuned in the structure of FOPID controllers. Several methods can be used to tune the parameters of the FOPID controller including optimization algorithms. The FOPID controller structure used in this study is as shown in Figure 3.

3. Optimal Controller Design Using SDCS

The principle of the control theory of discrete event systems is based on the principle that the desired properties of two Mealy machines are obtained by a third Mealy machine, that is, the controller, through an encapsulated signal. The control theory of discrete event systems is shown in Figure 4.
As exemplified in Figure 4, the control theory of discrete event systems illustrates the scenario where two Mealy machines, denoted as MA and MB, are involved, and the desired specification entails both machines being concurrently in state 0 and state 1. The theory demonstrates that a third Mealy machine, denoted as the controller, can achieve this through the synchronous parallel composition of MA, MB, and Ca,b, facilitated by encapsulating the signal b. Thus, employing the controller depicted in the figure enables the attainment of desired system properties over a given plant [48].
However, in most cases, the objective of discrete control synthesis is to derive this controller from a given plant and the desired specifications. In other words, discrete control synthesis endeavors to generate this controller. Figure 5 presents the principle of discrete control synthesis, where a controller C is obtained through relevant synthesis algorithms for a given system S and objectives O. Here, outputs are designated as X, and inputs as Y. Yc and Yuc are controllable and uncontrollable inputs, respectively. Thus, the controller, through controllable inputs, ensures the desired behavior of the system. Moreover, the discrete control synthesis method also serves as a model checking tool, thus always guaranteeing the desired system properties.
In this study, discrete control synthesis was utilized using the ReaX tool. ReaX is a compiler with its own modeling environment, utilized for synthesizing a controller through relevant synthesis algorithms. In Figure 6, the steps for synthesizing a controller using ReaX’s DCS are provided.
Initially, the desired properties of a yet uncontrolled system are given as the logical negation of BAD states over an X state space. The set of states entering these BAD states with any uncontrollable signal is defined as IBAD. Ultimately, the remaining state space, with controllable variables, constitutes the portion where the desired system properties can be satisfied. However, in this scenario, input signals may not be singleton, and to bring behaviors to a deterministic level, the default values of input signals are determined. Additionally, as observed, the presented computational steps demonstrate that the legal state space is structured to be minimally restrictive, i.e., maximally permissive.
The modeling environment of ReaX consists of parallel data flow equations, where all equations are compiled simultaneously during compilation to synthesize a controller. In this environment, the plant, specification, controllable, and uncontrollable inputs are encoded. The system is composed of arithmetic and logical expressions, akin to languages in the C-like family. Additionally, similar to Hardware Description Languages (HDLs), two types of variables can be defined: memoryless placeholders used to construct combinational circuits, and memory-based variables representing states such as registers. After the modeling process is completed, the relevant synthesis algorithms are employed to compile and generate the desired controller. The resulting controller is in a loadable form, and through additional tools like ctrl2hdl and ctrl2C, it can be translated into C and HDL languages, facilitating its transfer to other environments seamlessly.
In this study, two synthesis algorithms are considered: one for safety objectives and the other for optimization objectives. The safety objective operates as an invariant, ensuring the precise fulfillment of desired rigid system behaviors, such as mutual exclusions in shared resources. These operations are achieved using the at least fixpoint method, similar to the computational steps in DCS. The optimization objective, on the other hand, aims to iteratively minimize a given cost function over a time window cumulatively. Through an optimization algorithm parameterized by a parameter k, it enables optimization over states within the time window up to a desired distance in the future. Since it encompasses the safety objective, the working principle of the optimization algorithm focuses on avoiding the worst case scenario, thus being pessimistic.
Utilizing the computational framework of the aforementioned DCS and the environment provided by ReaX, a systematic modeling environment was presented for the yet uncontrolled UAV plant, along with the desired control objectives, as outlined below. Figure 7 provides an overview of the proposed approach. As seen in Figure 7, firstly, the plant which is the part of the dynamic model of the quadcopter is combined with the objectives as a symbolic system in line with the proposed strategy. The SDCS approach is represented as an automaton which makes a state transition guarded with the input (U) in each time interval. The system under consideration involves states characterized by velocity and position. During each transition, these values are updated according to the passage of time, the control input U, and the current state of velocity and position.
The primary objective of the proposed SDCS method is to minimize the time required to reach the final state, ensuring that the velocity is zero when the position aligns with the desired target. This entails optimizing the control inputs to achieve rapid convergence to the target position while satisfying the condition of zero velocity at the final state. The controller that forces the plant to provide desired objectives is generated considering the SDCS method. Finally, the SDCS controller is integrated into the Simulink model of the quadcopter within the scope of software in the loop (SIL) approach. Initially, the given plant was encoded along with specifications using the strategy outlined in Figure 8. Subsequently, the controller was compiled and obtained, which, when added to the initially uncontrolled plant, ensured the desired system behaviors.
The proposed strategy, depicted as an automaton in Figure 8, orchestrates state transitions based on the thrust force (U) exerted at each time interval. States encompass velocity and position valuations, with values updating on transitions through time, U, and current velocity and position. The primary objective is the swift attainment of the final state (qF), where velocity reaches zero upon reaching the desired target position. The process involves (i) activating the braking mechanism at state qn to prevent overshooting using an optimization algorithm, (ii) maintaining thrust force at limit UL until the braking mechanism activates, denoted as enough, and (iii) dividing the remaining tmin into phases with appropriate U pairs (p1 and p2) to ensure the simultaneous achievement of the desired velocity and position at state q via critical state qc. This section elaborates on the model and control objectives to establish a UAV controller.
The uncontrolled behaviors of the quadcopter at the x, y, and z-axis are modeled as parallel data flow equations. The quadcopter discussed above is encoded within the ReaX environment using the same plant model. Additionally, after specifying target x, y, and z positions and limiting values for U, controller synthesis algorithms are employed to synthesize a controller that exhibits the desired system behaviors. Following the modeling steps presented above, the controller was compiled and generated as depicted in Figure 7, and was then reintegrated into the MATLAB environment alongside the plant. The experimental evaluation of this systematic framework is reported in the subsequent section.

4. Experimental Evaluation

In the controller design step of this study, the population size and maximum iteration number of the MH algorithms are selected as 30 and 50, respectively. In the literature, to determine the success of the controllers, several performance indexes are used such as integral of absolute error (IAE), integral of squared error (ISE), integral time absolute error (ITAE), and integral time square error (ITSE). In this study, IAE was used as the performance index and objective function of the optimization process. Maximum speeds of X, Y, and Z axis and phi, theta, and psi angles are (10 m/s, −10 m/s), (10 m/s, −10 m/s), (10 m/s, −10 m/s), (2 radians, −2 radians), (2 radians, −2 radians), and (2 radians, −2 radians), respectively. Reference/set value of X, Y, and Z axis and phi, theta, and psi angles are 10, 10, 10, 1, 1, and 1, respectively. The search interval for the P, I, and D parameters of the FOPID controllers developed for X, Y, and Z axis is [0, 100] and for the λ and μ parameters is [0.5, 1.5]. The search interval for the P, I, and D parameters of the FOPID controllers developed for phi, theta, and psi angles is [0, 10] and for λ and μ is [0.5, 1.5]. The search intervals for the FOPID controller parameters were selected considering the previous studies and preliminary experiments of this study [37,49]. The parameters of the FOPID controllers were obtained for the control of the quadcopter using FHO, FFO, and PO algorithms. Table 2 shows the objective function values calculated by the algorithms.
In this study, five performance criteria were used to determine the success of the controllers developed by using FHO, FFO, and PO algorithms. Rising time (Tr) represents the time in which the controlled system output reaches 100% of the reference input. Peak time (Tp) is the time in which the system output reaches its highest value. Maximum overshoot (Mp) is the percentage of overshoot that is calculated by using system output and reference input. Settling time (Ts) is the time in which the system output reaches 99% of its steady state. Error of steady state (Ess) represents the percentage of the deviation of the system output from the refence input during steady state. Tr indicates how fast the quadcopter reaches a target and low Tr is important for the rapid execution of the given task. However, low Tr values may cause Tp, Ts, and Mp values to increase. Increasing Mp increases the instability in the transient response of the quadcopter and reduces the accuracy of reaching the target. If Tp and Ts values increase, the time to reach the target increases and delays the identification of a new target. Ess is the steady-state error and means that the quadcopter has a permanent error value after reaching the target. Failure to meet these criteria prevents the real-world performance of the quadcopter from being at the desired level. For example, in aerial imaging missions, it causes the image transmitted from the camera on the quadcopter to be unclear and causes the package to be delivered to the wrong location in package delivery missions.
Table 3 shows the numerical details of the performance of the controllers developed with PO-based FOPID and SDCS methods on the X axis. Figure 9 includes the graphs of the performances of the developed controllers on the X axis. The FOPID coefficients used in the control of the movement on the X axis are P = 35.501, I = 95.005, D = 1.409, λ = 1.028, and μ = 0.966.
Table 4 shows the numerical details of the performance of the controllers developed with PO-based FOPID and SDCS methods on the Y axis. Figure 10 includes the graph of the performances of the developed controllers on the Y axis. The FOPID coefficients used in control of the movement on the Y axis are P = 40.053, I = 94.899, D = 1.342, λ = 1.030, and μ = 0.970.
Table 5 shows the numerical details of the performance of the controllers developed with PO-based FOPID and SDCS methods on the Z axis. Figure 11 includes the graph of the performances of the developed controllers on the Z axis. The FOPID coefficients used in the control of the movement on the Z axis are P = 99.521, I = 0.845, D = 16.765, λ = 1.499, and μ = 0.989.
Table 6 shows the numerical details of the performance of the controllers developed with PO-based FOPID and SDCS methods on the Phi angle. Figure 12 includes the graph of the performances of the developed controllers on the Phi angle. The FOPID coefficients used in the control of the movement on the Phi angle are P = 10.000, I = 0.022, D = 0.993, λ = 1.024, and μ = 1.005.
Table 7 shows the numerical details of the performance of the controllers developed with PO-based FOPID and SDCS methods on the Theta angle. Figure 13 includes the graph of the performances of the developed controllers on the Theta angle. The FOPID coefficients used in the control of the movement on the Theta angle are P = 10.000, I = 0.011, D = 0.966, λ = 1.013, and μ = 1.002.
Table 8 shows the numerical details of the performance of the controllers developed with PO-based FOPID and SDCS methods on the Psi angle. Figure 14 includes the graph of the performances of the developed controllers on the Psi angle. The FOPID coefficients used in the control of the movement on the Psi angle are P = 9.998, I = 0.009, D = 0.615, λ = 1.022, and μ = 0.998.
The second focus of this study is to calculate the optimum path that has the minimum length to be followed by the quadcopter. The path planning problem was constructed within the scope of traveling salesman problem (TSP). The TSP is based on calculating the shortest path starting from and ending at the same waypoint by visiting all the other predefined waypoints. SDCS was also implemented to obtain the optimal path for a single quadcopter. Various population sizes of the MH algorithms and various waypoint numbers and were used in the tests. The results obtained with the tested MH algorithms and the SDCS method is shown in Table 9.
The optimal solution of min-max TSP with multiple depots for multi quadcopters was investigated using the tested MH algorithms and SDCS method. To obtain the optimal solution, the generation of quadcopter trajectories must be performed in a well-balanced manner. The existing literature discusses the generation of balanced trajectories with two main objective functions: MinSum and MinMax. MinMax is utilized for minimizing the longest UAV trajectory, while MinSum provides a reduction in the total length of all trajectories. In this research, a single objective function that combines these two objective functions was utilized and is presented in Equation (12).
T o t a l   c o s t = n   x   l n g t r j + s u m t r j  
In Equation (12), total cost represents the objective function, lngtrj is the longest trajectory, sumtrj is the total length of the trajectories, and n is the number of quadcopters. Table 10 and Table 11 show the performances of the tested methods in obtaining the optimal paths for two and three quadcopters, respectively.
As the number of waypoints increases, the possible solutions increase, making it difficult to find the optimal solution. For this reason, as the number of waypoints increases, the difference between the solutions found by MH algorithms increases. Since the SDCS method provides an exact solution, it provides the optimal solution regardless of the number of waypoints. In tables related to path planning, it is seen that, as the population size increases, results closer to the optimal solution are obtained. Another test with a set including 100 randomly selected waypoints was performed. Figure 15 and Figure 16 show the generated quadcopter trajectories by the PO algorithm when the population size is defined as 50 and 100, respectively. Total length of the trajectories are 549 m and 498 m for Figure 15 and Figure 16, respectively. When the trajectory lengths and figures are examined, it is seen that the change in population size in the MH algorithms will cause significantly different results not only numerically but also geometrically.
Figure 17 shows the trajectories generated by the SDCS method for three quadcopters. The square waypoints are the starting and ending points of the balanced quadcopter trajectories, which are formed within the scope of the TSP. Generated trajectories start and end on same waypoints. The SDCS method reduced both the total path length and the longest path length together, considering Equation (12).
In the path planning part of this study, firstly, performances of the FFO, FHO, and PO algorithms and SDCS were compared within the scope of TSP defined for single quadcopter trajectory. Considering the Table 9, the PO algorithm provided the optimal solution among the MH algorithms. However, there is one case (waypoint number = 40, population size = 50) in which the PO cannot find the optimal solution, while the SDCS calculated the optimal solution in all cases. In the case where the waypoint number is 40 and the population size is 50 for the MH algorithms, SDCS provided a better result by 1.231% than the result obtained with the PO algorithm. In the literature, the superiority of the SDCS was proven within the scope of the vehicle routing problem that was defined for the path planning of the cargo delivery quadcopters [30]. The results of this study are in line with the literature and support that SDCS provides the optimal solutions in path planning problems defined for the quadcopters.
The performances of the tested MH algorithms and SDCS method were compared within the scope of min-max TSP with multiple depots for multi quadcopters. Considering Table 10, which includes optimal paths for two quadcopters, the PO provided the optimal solution among the MH algorithms. However, no MH algorithm has been able to achieve the optimal result, while the SDCS method provided the optimal and the exact solution in all cases. In Case 1 (waypoint number = 50 and the population size = 50), SDCS provided a better result by 4.506% than the result obtained with the PO algorithm, which is the best among the MH algorithms for this case. In Case 2 (waypoint number = 50 and population size = 100), the SDCS method achieved a 4.506% improvement over the result obtained with the PO algorithm. In Case 3 (waypoint number = 100 and population size = 50), the SDCS method outperformed the PO algorithm by 3.176%. In Case 4 (waypoint number = 100 and population size = 100), the SDCS method achieved a 1.664% improvement over the result obtained with the PO algorithm as well. Considering Table 11, which includes optimal paths for three quadcopters, the FFO algorithm provided the optimal solution among the MH algorithms. However, no MH algorithm has been able to achieve the optimal result, while the SDCS method provided the optimal and the exact solution in all cases. In Case 1 (waypoint number = 50 and the population size = 50), SDCS provided a better result by 2.219% than the result obtained with the FFO algorithm, which is the best among the MH algorithms for this case. In Case 2 (waypoint number = 50 and population size = 100), the SDCS method achieved a 0.983% improvement over the result obtained with the FFO algorithm. In Case 3 (waypoint number = 100 and population size = 50), the SDCS method outperformed the FFO algorithm by 0.538%. In Case 4 (waypoint number = 100 and population size = 100), the SDCS method achieved a 0.538% improvement over the result obtained with the FFO algorithm as well. Considering Table 10 and Table 11, increasing the population size in MH algorithms increased the chance of obtaining better results. Table 10 and Table 11 show that the results obtained with MH algorithms may change with the change in population size. Thus, SDCS should be utilized in obtaining optimal solutions in min-max TSP with multiple depots for multi quadcopters.
In the literature, there are several studies that include the control of the quadcopter. A previous study focused on the comparison of the performances of the classical PID controller and the FOPID controller, in full control of the quadcopter. The results of the study proved the superiority of the FOPID controller over the classical PID controller [8]. The altitude control of the quadcopter was performed using the SDCS controller. The performance of the resulting controller was compared with the classical PID controller method, where the parameters of the controller were calculated using the Dragonfly algorithm [32]. This study made its contribution to the literature by comparing the performances of these two efficient methods in full control of the quadcopter.
In this study, to validate the success of SDCS, the control of the quadcopter was realized with FOPID controllers. The coefficients of the controllers were obtained by using FHO, FFO, and PO algorithms. The success of the algorithms was discussed considering the IAE performance index. According to Table 2, the PO-FOPID controller provided the objective function values of X, Y, Z, roll, pitch, and yaw movements as 6.281, 6.413, 5.261, 0.259, 0.256, and 0.254. These are the lowest values in Table 2. The PO algorithm showed its superiority over the FFO and FHO algorithms. Thus, the performance of the PO was compared with the performance of the SDCS algorithm.
According to Figure 9 and Table 3, which illustrate system output on the X-axis, the SDCS controller demonstrated a lower rise time (Tr) and faster system output compared to the PO-FOPID controller. Additionally, the SDCS controller achieved lower peak time (Tp) and settling time (Ts) values than those of the PO-FOPID controller. Notably, the SDCS controller recorded a 0% overshoot (Mp), while the PO-FOPID controller resulted in a 0.965% overshoot, indicating that the SDCS controller is more effective in terms of transient response. Furthermore, the SDCS controller achieved a 0% steady-state error (Ess) compared to the 0.197% steady-state error of the PO-FOPID controller, reinforcing its superiority in steady-state response as well. Considering Figure 10 and Table 4, which belong to the system output on the Y axis, in the region of rising time, the SDCS controller provided a lower Tr value and faster system output than the output provided by the PO-FOPID controller. Moreover, the SDCS controller provided lower Tp and Ts values than the values provided by the PO-FOPID controller. The SDCS controller provided a 0% Mp value, while the PO-FOPID controller caused a 0.875% Mp value. This means that the SDCS controller is more successful than the PO-FOPID controller in terms of transient response. The SDCS controller provided a 0% Ess value, while the PO-FOPID controller caused a 0.202% Ess value. The SDCS controller is more successful than the PO-FOPID controller in terms of steady-state response. In Figure 11 and Table 5, which illustrate system output on the Z-axis, the SDCS controller demonstrated a lower rise time (Tr) and faster system response compared to the PO-FOPID controller. Additionally, the SDCS controller achieved lower Tp and Ts values than the PO-FOPID controller. The SDCS controller recorded a 0% overshoot (Mp), while the PO-FOPID controller resulted in a 0.401% overshoot, indicating superior performance in transient response. Furthermore, the SDCS controller achieved a 0% Ess, in contrast to the 0.401% steady-state error of the PO-FOPID controller, reinforcing its effectiveness in steady-state response.
In the attitude control of the quadcopter, SDCS performed better than the FOPID controller, but close to FOPID. In Figure 12 and Table 6, which pertain to the system output during roll movement (phi angle), the SDCS controller demonstrated a lower rise time (Tr) and faster system response compared to the PO-FOPID controller. Additionally, the SDCS controller achieved lower Tp and Ts values than those of the PO-FOPID controller. The SDCS controller recorded a 0% Mp, while the PO-FOPID controller had a 0.021% overshoot, indicating superior performance in transient response. Furthermore, the SDCS controller achieved a 0% Ess, in contrast to the 0.006% steady-state error of the PO-FOPID controller, confirming its effectiveness in steady-state response. Considering Figure 13 and Table 7, which relate to the system output during pitch movement (theta angle), the SDCS controller demonstrated a lower rise time (Tr) and faster system response compared to the PO-FOPID controller. Additionally, the SDCS controller achieved lower peak time (Tp) and settling time (Ts) values than those of the PO-FOPID controller. The SDCS controller recorded a 0% overshoot (Mp), while the PO-FOPID controller resulted in a 0.020% overshoot, indicating superior performance in transient response. Furthermore, the SDCS controller achieved a 0% steady-state error (Ess) compared to the 0.003% steady-state error of the PO-FOPID controller, confirming its effectiveness in steady-state response as well. In Figure 14 and Table 8, which show the system output during yaw movement (psi angle), the SDCS controller again provided a lower rise time (Tr) and faster system output than the PO-FOPID controller. The SDCS controller also achieved lower peak time (Tp) and settling time (Ts) values compared to the PO-FOPID controller. The SDCS controller recorded a 0% overshoot (Mp), while the PO-FOPID controller caused a 0.010% overshoot, highlighting the SDCS controller’s superiority in transient response. Additionally, the SDCS controller maintained a 0% steady-state error (Ess), while the PO-FOPID controller had a 0.003% steady-state error, reinforcing the SDCS controller’s effectiveness in steady-state response as well. Considering Table 3, Table 4, Table 5, Table 6, Table 7 and Table 8, SDCS showed its superiority over the PO-based FOPID controller. Although the SDCS controller showed a better performance, the FOPID controller provided a close performance to the performance provide by the SDCS controller in control of vertical, roll, pitch, and yaw movements. For some flight control boards, the real-life implementation procedure of the FOPID controller may be simpler and easier than the procedure of the SDCS method. In situations where the SDCS cannot be implemented or is hard to implement, FOPID controllers can be preferred for the real flight control applications of quadcopters [50,51].
Considering the studies in the literature comparing the performance of FOPID and PID methods in quadcopter control, it is seen that most of these controllers are designed with the support of optimization algorithms. This approach has made them near-optimal controllers. When the results obtained with the SDCS method proposed in this paper are compared with the results in recent studies that include the optimal control of the quadcopter, the superiority of the proposed method is better understood. Since speed limits were implemented in the movements of the quadcopter, utilizing time-based criterion such as Tr, Tp, and Ts while comparing the performance of the SDCS method and previous studies is not meaningful. However, Mp and Ess values can be used to evaluate the performances of the controllers. Table 12 and Table 13 show the Mp and Ess performances of the compared controllers, respectively. Considering Table 12, which presents the Mp values, the SDCS method shows its superiority over the FOPID controllers proposed in the literature. Considering Table 13, which presents the Ess values, FOPID controllers can provide the same or similar steady-state performances to the performance of the SDCS method.
In Figure 9 and Figure 10, the SDCS controller demonstrates several advantages over the FOPID controller in the control of X-axis movement and Y-axis movement, respectively. Specifically, the SDCS controller does not introduce dead time, which contributes to a more immediate system response. Additionally, it exhibits a faster transient response compared to the FOPID controller. In terms of steady-state performance, the SDCS controller achieves zero steady-state error, ensuring that the output consistently aligns with the desired value over time. In contrast, the FOPID controller showed dead time, slower transient response, and a non-zero steady-state error. These comparative attributes indicate that the SDCS controller provides superior performance in terms of responsiveness and accuracy for the application under consideration. Figure 9 and Figure 10 prove that the SDCS controller is better than the FOPID controller in the control of the horizontal movements of the quadcopter. Figure 11, Figure 12, Figure 13 and Figure 14 show the performance of the quadcopter in vertical movement and angular movement. Considering Figure 11, Figure 12, Figure 13 and Figure 14, the results obtained with the SDCS controller are better, but the performances of the tested controllers are very similar in both transient and steady-state responses. The graphs shown in Figure 11, Figure 12, Figure 13 and Figure 14 prove that SDCS and optimal FOPID controllers can be used interchangeably in controlling the vertical and angular movements of the quadcopter.
The advantages of the proposed SDCS method are that it provides an exact and optimal solution and does not require parameter optimization pre-processing, unlike in MH algorithms. In addition, the SDCS method can also adapt to dynamic conditions such as waypoint updating in path planning. One of the disadvantages of the SDCS method is that it is sensitive to external factors such as disturbances and noise. These factors should be included in the coding steps before implementation so that they do not affect the success of the control phase. The assumptions underpinning this study involve conducting artificial implementations under idealized conditions, thereby neglecting potential environmental factors such as disturbances and noise. This framework aims to establish principles for systematically modeling the uncontrolled quadcopter and integrating the SDCS controller within a simulation environment. To enhance the precision of measurements, it is essential to account for environmental factors, including disturbances and noise, in the experimental process. This incorporation is crucial for achieving more accurate and reliable results. Another disadvantage of the SDCS method is that researchers have to use software such as ReaX and Simulink together. Despite the disadvantages and limitations mentioned, utilizing the SDCS method should be preferred instead of existing methods in control and path planning applications because it provides accurate and optimal results.

5. Conclusions

In this study, the control of the quadcopter was carried out by using an SDCS controller and an FOPID controller supported by the tested MH algorithms. The performance of the tested MH algorithms varied significantly with changes in population size and maximum iterations. Adjustments to these parameters directly impact the optimization results, influencing the effectiveness of the controller. Larger populations may explore the solution space more thoroughly, while more iterations can refine solutions further. Balancing these parameters is crucial for achieving optimal controller performance. Fine-tuning may lead to better convergence and improved results in specific applications. A new study can be performed by changing the maximum iteration number and population size of the PO, which provided the best results among the MH algorithms. In addition, to prove the success of MH algorithms, new research including other recently developed MH algorithms can be carried out. In this study, FOPID, which is one of the simplest and most common controllers, was used. Other control methods can be used to compare the success of the algorithms used in this study. Additionally, academic and industrial research on multibody and digital twin models has gained significant traction. The methods tested in this study are intended to control a quadcopter modeled in environments like Simscape. Simulations using a solid model of the quadcopter are expected to better reflect the system’s response to disturbances compared to purely mathematical models. Future studies could focus on comparing the performance of the model reference adaptive controller, commonly used in quadcopter control, with the SDCS method. This comparison will provide valuable insights into the effectiveness of both approaches.
Noise and disturbance were not taken into account in this study, highlighting an area for future research. Many existing studies on quadcopter control, both in simulations and real environments, report transient and steady-state errors that differ from the findings of this paper. To validate the effectiveness of the SDCS controller, it is crucial to conduct tests using a real quadcopter. This will provide a more comprehensive evaluation of the controller’s performance under realistic conditions. Environmental factors such as wind, along with the challenges of modeling unidentified scenarios, create a complex landscape for future work. While it is possible to identify and extensively model primary factors, this process can be intricate and prone to errors in the parameters. To enhance accuracy and reliability in controller synthesis, incorporating external world dynamics as an input can be effective. This serves as an input in the proposed system model and undergoes a series of computations before being integrated, as discussed in other studies [28,29]. This approach helps mitigate uncertainties and improves overall system performance.
This study presents the integration of the SDCS technique for optimizing quadcopter paths to enhance energy-efficient navigation. The proposed approach involves constructing an objective function based on route lengths and minimizing this cost function using the SDCS method. As a result, the controller effectively reduces route lengths, leading to time savings and improved energy efficiency. Additionally, a comparative evaluation of the proposed SDCS method with the MH optimization algorithms, including FFO, FHO, and PO, is reported. In contrast to the tested MH algorithms, which are among the first used in the literature to optimize quadcopter paths, the proposed method ensures the optimal solution, not the near-optimal solution. The results demonstrate that the SDCS method significantly outperforms the tested MH algorithms, highlighting its effectiveness in optimizing quadcopter navigation. The proposed modeling framework details how the SDCS method can be integrated into energy-saving-focused path planning applications and validates this adaptation through various case studies. In this research, a single objective function that combines these two objective functions was utilized. SDCS can be implemented using MinSum and MinMax objective functions within the scope of multi objective optimization.
The comparative analysis with the tested MH algorithms shows that the SDCS method is more precise and efficient, providing cost savings for UAV system designers through reduced energy consumption and processing time. These findings highlight the significance of the SDCS method in enhancing the sustainability of UAV missions. Moreover, the results of this study are promising for applying the proposed SDCS approach in many engineering applications, particularly concerning cost savings. A systematic framework has been introduced, supported by tools for the effective control of the quadcopters. By utilizing the SDCS method using ReaX, the dynamic behavior of the quadcopter is abstracted and desired control objectives are provided. The SDCS method automatically computes a controller and converts it into Simulink, using an appropriate language to ensure compliance with system specifications. This approach constructs symbolic models for the dynamic behavior and path planning objectives for unmanned systems and increases practical applicability.
The future roadmap includes developing guidelines for applying the SDCS approach to real-world UAV missions, accommodating various combinations of robotic systems. Additionally, a strategy will be devised to implement a task-scheduling algorithm specifically tailored for queuing quadcopters in aerial surveillance contexts. Furthermore, future studies will focus on developing a dedicated UAV synchronous programming environment that features symbolic control algorithms. The implementation of optimal control algorithms to various objectives is also envisioned. Lastly, integrating SDCS with stochastic models presents a promising approach for enhancing multi robot and human–robot collaboration.

Funding

This research received no external funding.

Institutional Review Board Statement

Not applicable.

Informed Consent Statement

Not applicable.

Data Availability Statement

Data are contained within the article.

Conflicts of Interest

The author declares no conflicts of interest.

References

  1. Çoban, S.; Oktay, T. Unmanned Aerial Vehicles (UAVs) According to Engine Type. J. Aviat. 2018, 2, 177–184. [Google Scholar] [CrossRef]
  2. Zhuo, X.; Koch, T.; Kurz, F.; Fraundorfer, F.; Reinartz, P. Automatic UAV Image Geo-Registration by Matching UAV Images to Georeferenced Image Data. Remote Sens. 2017, 9, 376. [Google Scholar] [CrossRef]
  3. Najeebullah, S.; Kasi, A.K.; Kasi, J.K. Design, Development and Control of Long Range Quadcopter. Sci. J. Mehmet Akif Ersoy Univ. 2018, 1, 17–21. [Google Scholar]
  4. Thanh, H.L.N.N.; Phi, N.N.; Hong, S.K. Simple nonlinear control of quadcopter for collision avoidance based on geometric approach in static environment. Int. J. Adv. Robot. Syst. 2018, 15, 1–17. [Google Scholar] [CrossRef]
  5. Bilgin, A.A.; Sevici, Ö.; Arat, H. Yüksek Manevra Kabiliyetine Sahip İnsansız Hava Aracı Üretiminde Önemli Parametreler. In Mühendislik Alanında Uluslararası Araştırma ve Değerlendirmeler, 1st ed.; Akçakale, N., Bardak, S., Eds.; Serüven Yayınevi: Ankara, Türkiye, 2023; Volume 1, pp. 325–342. [Google Scholar]
  6. Pappalardo, C.M.; Del Giudice, M.; Oliva, E.B.; Stieven, L.; Naddeo, A. Computer-Aided Design, Multibody Dynamic Modeling, and Motion Control Analysis of a Quadcopter System for Delivery Applications. Machines 2023, 11, 464. [Google Scholar] [CrossRef]
  7. Zulu, A.; John, S.A. Review of Control Algorithms for Autonomous Quadrotors. Open J. Appl. Sci. 2014, 4, 547–556. [Google Scholar] [CrossRef]
  8. Timis, D.D.; Muresan, C.I.; Dulf, E.-H. Design and Experimental Results of an Adaptive Fractional-Order Controller for a Quadrotor. Fractal Fract. 2022, 6, 204. [Google Scholar] [CrossRef]
  9. Kopečný, L.; Hnidka, J.; Bajer, J. Drone Motor Control using Fractional-Order PID Controller. In Proceedings of the 2023 International Conference on Military Technologies (ICMT), Brno, Czech Republic, 23–26 May 2023. [Google Scholar] [CrossRef]
  10. Tomar, V.; Bansal, M.; Singh, P. Metaheuristic Algorithms for Optimization: A Brief Review. Eng. Proc. 2023, 59, 238. [Google Scholar] [CrossRef]
  11. Qais, M.H.; Hasanien, H.M.; Alghuwainem, S.; Loo, K.H. Propagation Search Algorithm: A Physics-Based Optimizer for Engineering Applications. Mathematics 2023, 11, 4224. [Google Scholar] [CrossRef]
  12. Joseph, S.B.; Dada, E.G.; Abidemi, A.; Oyewola, D.O.; Khammas, B.M. Metaheuristic algorithms for PID controller parameters tuning: Review, approaches and open problems. Heliyon 2022, 8, e09399. [Google Scholar] [CrossRef] [PubMed]
  13. Azizi, M.; Talatahari, S.; Gandomi, A.H. Fire Hawk Optimizer: A novel metaheuristic algorithm. Artif. Intell. Rev. 2023, 56, 287–363. [Google Scholar] [CrossRef]
  14. Zervoudakis, K.; Tsafarakis, S. A global optimizer inspired from the survival strategies of flying foxes. Eng. Comput. 2023, 39, 1583–1616. [Google Scholar] [CrossRef]
  15. Abdollahzadeh, B.; Khodadadi, N.; Barshandeh, S.; Trojovský, P.; Gharehchopogh, F.S.; El-kenawy, E.-S.M.; Abualigah, L.; Mirjalili, S. Puma optimizer (PO): A novel metaheuristic optimization algorithm and its application in machine learning. Cluster Comput. 2024, 27, 5253–5283. [Google Scholar] [CrossRef]
  16. Ramadge, P.J.G.; Wonham, W.M. The control of discrete event systems. Proc. IEEE 1989, 77, 81–98. [Google Scholar] [CrossRef]
  17. Cassandras, C.G.; Lafortune, S. Introduction to Discrete Event Systems, 2nd ed.; Springer: New York, NY, USA, 2007; pp. 557–615. [Google Scholar]
  18. Delaval, G.; Rutten, É.; Marchand, H. Integrating Discrete Controller Synthesis into a Reactive Programming Language Compiler. Discret. Event Dyn. Syst. 2013, 23, 385–418. [Google Scholar] [CrossRef]
  19. Holloway, L.E.; Krogh, B.H.; Giua, A. A survey of petri net methods for controlled discrete event systems. Discret. Event Dyn. Syst. 1997, 7, 151–190. [Google Scholar] [CrossRef]
  20. Marchand, H.; Le Borgne, M. Partial order control of discrete event systems modelled as polynomial dynamical systems. In Proceedings of the 1998 IEEE International Conference on Control Applications (Cat. No.98CH36104), Trieste, Italy, 4 September 1998. [Google Scholar] [CrossRef]
  21. Marchand, H.; Bournai, P.; Le Borgne, M.; Le Guernic, P. Synthesis of Discrete-Event Controllers Based on the Signal Environment. Discret. Event Dyn. Syst. Theory Appl. 2000, 10, 325–346. [Google Scholar] [CrossRef]
  22. Berthier, N.; Marchand, H. Discrete controller synthesis for infinite state systems with reax. IFAC Proc. Vol. 2014, 47, 53. [Google Scholar] [CrossRef]
  23. Berthier, N.; Marchand, H. Deadlock-free discrete controller synthesis for infinite state systems. In Proceedings of the 2015 54th IEEE Conference on Decision and Control (CDC), Osaka, Japan, 15–18 December 2015. [Google Scholar] [CrossRef]
  24. Marchand, H.; Borgne, M.L. On the optimal control of polynomial dynamical systems over z/pz. In Proceedings of the 4th International Workshop on Discrete Event Systems, Cagliari, Italy, 26–28 August 1998. [Google Scholar]
  25. Ramezani Dooraki, A.; Lee, D.J. A Multi-Objective Reinforcement Learning Based Controller for Autonomous Navigation in Challenging Environments. Machines 2022, 10, 500. [Google Scholar] [CrossRef]
  26. Ma, T.-N.; Xi, R.-D.; Xiao, X.; Yang, Z.-X. Nonlinear Extended State Observer Based Prescribed Performance Control for Quadrotor UAV with Attitude and Input Saturation Constraints. Machines 2022, 10, 551. [Google Scholar] [CrossRef]
  27. Marchand, H.; Samaan, M. Incremental design of a power transformer station controller using a controller synthesis methodology. IEEE Trans. Softw. Eng. 2000, 26, 729–741. [Google Scholar] [CrossRef]
  28. Özbaltan, M.; Berthier, N. A case for symbolic limited optimal discrete control: Energy management in reactive data-flow circuits. IFAC-PapersOnLine 2020, 53, 10688–10694. [Google Scholar] [CrossRef]
  29. Özbaltan, M.; Berthier, N. Power-aware scheduling of data flow hardware circuits with symbolic control. Arch. Control Sci. 2021, 31, 431–446. [Google Scholar] [CrossRef]
  30. Özbaltan, M. Elektrikli Araçların Şarjı ile Güç Şebekesine Aşırı Yüklenilmesinin Ayrık Denetleyici Sentezi ile Önlenilmesi. Osmaniye Korkut Ata Üniversitesi Fen Bilimleri Enstitüsü Dergisi 2022, 5, 1626–1634. [Google Scholar] [CrossRef]
  31. Çaşka, S.; Özbaltan, M. Adaptation of Symbolic Discrete Control Synthesis for Energy-Efficient Multi-Pocket Milling. Processes 2024, 12, 584. [Google Scholar] [CrossRef]
  32. Özbaltan, M.; Çaşka, S. Altitude control of quadcopter with symbolic limited optimal discrete control. Int. J. Dynam. Control 2024, 12, 1533–1540. [Google Scholar] [CrossRef]
  33. Özbaltan, M.; Çaşka, S. Incorporating Symbolic Discrete Controller Synthesis into a Virtual Robot Experimental Platform: An Implementation with Collaborative Unmanned Aerial Vehicle Robots. Drones 2024, 8, 206. [Google Scholar] [CrossRef]
  34. Maggo, S.; Hussain, S.; Deshpande, A.; Patil, S.L. Comparative Study of PID and FOPID Control Techniques for a Quadcopter. In In Proceedings of the 3rd International Conference on Electrical Engineering and Informatics (ICon EEI), Pekanbaru, Indonesia, 19–20 October 2022; pp. 59–63. [Google Scholar] [CrossRef]
  35. Espinoza, J.; Hakim, N.; Tan, D.; Wilson, T.; Bingi, K.; Khan, E.; Masrura, S. Fractional-Order PID Control of Quadrotor Drone. In Proceedings of the 2023 Innovations in Power and Advanced Computing Technologies (i-PACT), Kuala Lumpur, Malaysia, 8–10 December 2023; pp. 1–6. [Google Scholar] [CrossRef]
  36. Hadid, S.; Boushaki, R.; Boumchedda, F.; Merad, S. Enhancing Quadcopter Autonomy: Implementing Advanced Control Strategies and Intelligent Trajectory Planning. Automation 2024, 5, 151–175. [Google Scholar] [CrossRef]
  37. Moness, M.; Abdelghany, M.B.; Mohammed, K.M.; Mohamed, M.; Moustafa, A.M. Surrogate Optimal Fractional Control for Constrained Operational Service of UAV Systems. Drones 2024, 8, 141. [Google Scholar] [CrossRef]
  38. Vásquez, S.A.; Angulo, G.; Klapp, M.A. An exact solution method for the TSP with Drone based on decomposition. Comput. Oper. Res. 2021, 127, 105127. [Google Scholar] [CrossRef]
  39. Dienstknecht, M.; Boysen, N.; Briskorn, D. The traveling salesman problem with drone resupply. OR Spectr. 2022, 44, 1045–1086. [Google Scholar] [CrossRef]
  40. Gunay-Sezer, N.S.; Cakmak, E.; Bulkan, S. A Hybrid Metaheuristic Solution Method to Traveling Salesman Problem with Drone. Systems 2023, 11, 259. [Google Scholar] [CrossRef]
  41. Tirkolaee, E.B.; Cakmak, E.; Karadayi-Usta, S. Traveling salesman problem with drone and bicycle: Multimodal last-mile e-mobility. Int. Trans. Oper. Res. 2024, 1–27. [Google Scholar] [CrossRef]
  42. He, P.; Hao, J.-K. Memetic search for the minmax multiple traveling salesman problem with single and multiple depots. Eur. J. Oper. Res. 2023, 307, 1055–1070. [Google Scholar] [CrossRef]
  43. Narasimha, K.V.; Kivelevitch, E.; Sharma, B.; Kumar, M. An ant colony optimization technique for solving min-max Multi-Depot Vehicle Routing Problem. Swarm Evol. Comput. 2013, 13, 63–73. [Google Scholar] [CrossRef]
  44. Nayak, A.; Rathinam, S. Heuristics and Learning Models for Dubins MinMax Traveling Salesman Problem. Sensors 2023, 23, 6432. [Google Scholar] [CrossRef] [PubMed]
  45. Özdemir, İ.; Çaşka, S. Calculation of the Optimum Number of Unmanned Air Vehicles Required for Surveillance Missions. Acad. Platf. J. Eng. Smart Syst. 2022, 10, 101–105. [Google Scholar] [CrossRef]
  46. Bolandi, H.; Rezaei, M.; Mohsenipour, R.; Nemati, H.; Smailzadeh, S.M. Attitude control of a quadrotor with optimized PID controller. Intell. Control Autom. 2013, 4, 335–342. [Google Scholar] [CrossRef]
  47. Bresciani, T. Modelling, Identification and Control of a Quadrotor Helicopter. Master’s Thesis, Lund University Department of Automatic Control, Lund, Sweden, 2008. [Google Scholar]
  48. Özbaltan, M. Control of Discrete Event Systems by Using Symbolic Transition Model: An Application to Power Grids. Arab. J. Sci. Eng. 2024, 1–13. [Google Scholar] [CrossRef]
  49. Abdulridha, N.M.; Mary, A.H.; Jasim, H.H. Optimized PID, FOPID and PIDD 2 for Controlling UAV Based on SSA. Am. Acad. Sci. Res. J. Eng. Technol. Sci. (ASRJETS) 2023, 92, 77–90. [Google Scholar]
  50. Ayad, R.; Nouibat, W.; Zareb, M.; Sebanne, Y.B. Full Control of Quadrotor Aerial Robot Using Fractional-Order FOPID. Iran J. Sci. Technol. Trans. Electr. Eng. 2019, 43 (Suppl. S1), 349–360. [Google Scholar] [CrossRef]
  51. Chen, J.I.-Z.; Lin, H.-Y. Performance Evaluation of a Quadcopter by an Optimized Proportional–Integral–Derivative Controller. Appl. Sci. 2023, 13, 8663. [Google Scholar] [CrossRef]
Figure 1. Classification of the MH algorithms.
Figure 1. Classification of the MH algorithms.
Applsci 14 07168 g001
Figure 2. 6 DOF movements of the quadcopter on free-body diagram [46].
Figure 2. 6 DOF movements of the quadcopter on free-body diagram [46].
Applsci 14 07168 g002
Figure 3. FOPID controller structure.
Figure 3. FOPID controller structure.
Applsci 14 07168 g003
Figure 4. Representation of the control theory of discrete event systems [28].
Figure 4. Representation of the control theory of discrete event systems [28].
Applsci 14 07168 g004
Figure 5. Principle of the discrete controller synthesis [29].
Figure 5. Principle of the discrete controller synthesis [29].
Applsci 14 07168 g005
Figure 6. Computational steps of DCS.
Figure 6. Computational steps of DCS.
Applsci 14 07168 g006
Figure 7. Overview of the SDCS approach [29].
Figure 7. Overview of the SDCS approach [29].
Applsci 14 07168 g007
Figure 8. Strategy computation [29].
Figure 8. Strategy computation [29].
Applsci 14 07168 g008
Figure 9. Graph of controller performances on X axis.
Figure 9. Graph of controller performances on X axis.
Applsci 14 07168 g009
Figure 10. Graph of controller performances on Y axis.
Figure 10. Graph of controller performances on Y axis.
Applsci 14 07168 g010
Figure 11. Graph of controller performances on Z axis.
Figure 11. Graph of controller performances on Z axis.
Applsci 14 07168 g011
Figure 12. Graph of controller performances on Phi angle.
Figure 12. Graph of controller performances on Phi angle.
Applsci 14 07168 g012
Figure 13. Graph of controller performances on Theta angle.
Figure 13. Graph of controller performances on Theta angle.
Applsci 14 07168 g013
Figure 14. Graph of controller performances on Psi angle.
Figure 14. Graph of controller performances on Psi angle.
Applsci 14 07168 g014
Figure 15. Trajectories generated by the PO algorithm when the population size is 50.
Figure 15. Trajectories generated by the PO algorithm when the population size is 50.
Applsci 14 07168 g015
Figure 16. Trajectories generated by the PO algorithm when the population size is 100.
Figure 16. Trajectories generated by the PO algorithm when the population size is 100.
Applsci 14 07168 g016
Figure 17. Optimal trajectories generated by SDCS for three quadcopters.
Figure 17. Optimal trajectories generated by SDCS for three quadcopters.
Applsci 14 07168 g017
Table 1. Parameters of the quadcopter.
Table 1. Parameters of the quadcopter.
NameParameterValueUnit
mass of the quadcopterm1Kg
arm lengthL0.24M
gravityg9.81m·s−2
body moment of inertia around X-axisIxx8.1 × 10−3N·m·s2
body moment of inertia around Y-axisIyy8.1 × 10−3N·m·s2
body moment of inertia around Z-axisIzz14.2 × 10−3N·m·s2
rotational moment of inertia around the motor axisJr1.08 × 10−6N·m·s2
thrust factorb54.2 × 10−6N·s2
drag factord1.1 × 10−6N·m·s2
Table 2. Objective function value obtained using different algorithms.
Table 2. Objective function value obtained using different algorithms.
AlgorithmX AxisY AxisZ AxisRollPitchYaw
FHO6.3396.4715.2770.2710.2590.259
FFO6.3256.4675.2700.2650.2580.258
PO6.2816.4135.2610.2590.2560.254
Table 3. Performance of the developed controllers on X axis.
Table 3. Performance of the developed controllers on X axis.
Performance CriteriaPO-FOPIDSDCS
Tr (s)1.7221.400
Tp (s)2.3741.400
Mp (%)0.9650
Ts (s)2.3741.400
Ess (%)0.1970
Table 4. Performance of the developed controllers on Y axis.
Table 4. Performance of the developed controllers on Y axis.
Performance CriteriaPO-FOPIDSDCS
Tr (s)1.8861.400
Tp (s)2.5941.400
Mp (%)0.8750
Ts (s)2.5941.400
Ess (%)0.2020
Table 5. Performance of the developed controllers on Z axis.
Table 5. Performance of the developed controllers on Z axis.
Performance CriteriaPO-FOPIDSDCS
Tr (s)4.6023.594
Tp (s)8.6073.594
Mp (%)0.4010
Ts (s)8.6073.594
Ess (%)0.4010
Table 6. Performance of the developed controllers on Phi angle.
Table 6. Performance of the developed controllers on Phi angle.
Performance CriteriaPO-FOPIDSDCS
Tr (s)0.6370.580
Tp (s)0.7050.580
Mp (%)0.0210
Ts (s)0.6370.580
Ess (%)0.0060
Table 7. Performance of the developed controllers on Theta angle.
Table 7. Performance of the developed controllers on Theta angle.
Performance CriteriaPO-FOPIDSDCS
Tr (s)0.6230.580
Tp (s)0.6720.580
Mp (%)0.0200
Ts (s)0.6720.580
Ess (%)0.0030
Table 8. Performance of the developed controllers on Psi angle.
Table 8. Performance of the developed controllers on Psi angle.
Performance CriteriaPO-FOPIDSDCS
Tr (s)0.5810.581
Tp (s)0.6090.581
Mp (%)0.0100
Ts (s)0.5810.581
Ess (%)0.0030
Table 9. Performance of the tested methods in obtaining the optimal path.
Table 9. Performance of the tested methods in obtaining the optimal path.
Waypoint Number Population SizeFFO (m)FHO (m)PO (m)SDCS (m)
2050345324324324
20100324324324324
4050756772731722
40100756756722722
Table 10. Performances of the tested methods in obtaining the optimal paths for two quadcopters.
Table 10. Performances of the tested methods in obtaining the optimal paths for two quadcopters.
Waypoint NumberPopulation SizeFFO (m)FHO (m)PO (m)SDCS (m)
5050694694688657
50100673694688657
10050982982976945
100100976976961945
Table 11. Performances of the tested methods in obtaining the optimal paths for three quadcopters.
Table 11. Performances of the tested methods in obtaining the optimal paths for three quadcopters.
Waypoint Number Population SizeFFO (m)FHO (m)PO (m)SDCS (m)
5050721734734705
50100712712712705
100501115119311931109
1001001115116711521109
Table 12. Mp performances of the compared controllers.
Table 12. Mp performances of the compared controllers.
ReferenceX AxisY AxisZ AxisRollPitchYaw
[49]--5.08320.07430.02251.0888
[37]4.55874.55874.3196---
[34]--871020
This study000000
Table 13. Ess performances of the compared controllers.
Table 13. Ess performances of the compared controllers.
ReferenceX AxisY AxisZ AxisRollPitchYaw
[49]---000
[37]1.5332 × 10−71.5332 × 10−73.1186 × 10−8---
[34]--0000
This study000000
Disclaimer/Publisher’s Note: The statements, opinions and data contained in all publications are solely those of the individual author(s) and contributor(s) and not of MDPI and/or the editor(s). MDPI and/or the editor(s) disclaim responsibility for any injury to people or property resulting from any ideas, methods, instructions or products referred to in the content.

Share and Cite

MDPI and ACS Style

Çaşka, S. The Performance of Symbolic Limited Optimal Discrete Controller Synthesis in the Control and Path Planning of the Quadcopter. Appl. Sci. 2024, 14, 7168. https://doi.org/10.3390/app14167168

AMA Style

Çaşka S. The Performance of Symbolic Limited Optimal Discrete Controller Synthesis in the Control and Path Planning of the Quadcopter. Applied Sciences. 2024; 14(16):7168. https://doi.org/10.3390/app14167168

Chicago/Turabian Style

Çaşka, Serkan. 2024. "The Performance of Symbolic Limited Optimal Discrete Controller Synthesis in the Control and Path Planning of the Quadcopter" Applied Sciences 14, no. 16: 7168. https://doi.org/10.3390/app14167168

APA Style

Çaşka, S. (2024). The Performance of Symbolic Limited Optimal Discrete Controller Synthesis in the Control and Path Planning of the Quadcopter. Applied Sciences, 14(16), 7168. https://doi.org/10.3390/app14167168

Note that from the first issue of 2016, this journal uses article numbers instead of page numbers. See further details here.

Article Metrics

Back to TopTop