Next Article in Journal
Detection and Segmentation of Mouth Region in Stereo Stream Using YOLOv6 and DeepLab v3+ Models for Computer-Aided Speech Diagnosis in Children
Next Article in Special Issue
Playing High: Strategic Use of the Lob in Professional Padel
Previous Article in Journal
Combined Approaches for the Remediation of Cadmium- and Arsenic-Contaminated Soil: Phytoremediation and Stabilization Strategies
Previous Article in Special Issue
Are Clinical Balance Measures Linked to Cycling Performance?
 
 
Font Type:
Arial Georgia Verdana
Font Size:
Aa Aa Aa
Line Spacing:
Column Width:
Background:
Article

Establishing the Locomotor Performance Profile of Elite Ladies Gaelic Football across Position and Quarters

1
The Gaelic Sports Research Centre, School of Biological, Health and Sports Sciences, Technological University Dublin, Tallaght, D24 FKT9 Dublin, Ireland
2
The Tom Reilly Building, Research Institute for Sport and Exercise Sciences, Liverpool John Moores University, Liverpool L3 2ET, UK
3
Department of Sports Exercise and Nutrition, Atlantic Technological University, ATU Galway Campus, H91 DCH9 Galway, Ireland
4
Human Performance Laboratory, Directorate of Sport, Exercise, and Physiotherapy, University of Salford, Manchester M5 4WT, UK
*
Author to whom correspondence should be addressed.
Appl. Sci. 2024, 14(16), 7145; https://doi.org/10.3390/app14167145
Submission received: 28 June 2024 / Revised: 26 July 2024 / Accepted: 13 August 2024 / Published: 14 August 2024
(This article belongs to the Special Issue Exercise Physiology and Biomechanics in Human Health)

Abstract

The aim of the current investigation was to examine the locomotor performance profile of elite ladies Gaelic football (LGF) players in relation to playing position and quarters of play. Thirty (n = 30) elite LGF players (age: 24 ± 4 years, height: 169 ± 5 cm, body mass: 61 ± 4 kg) were monitored using 10 Hz GPS technology (Playertek; Catapult Sports; Australia) resulting in 145 individual samples collected over 18 competitive matches across the 2021 and 2022 LGF seasons. Locomotor performance was determined across the following variables: total distance covered (TD, m), relative distance (m·min−1), high-speed running (HSR, ≥ 4.4 m·s−1), very high-speed running (VHSR, ≥ 5.5 m·s−1), relative HSR (RHSR; m·min−1), peak velocity (m·s−1), percentage peak velocity (%PeakV), accelerations (n; ≥ 3 m·s−2), and decelerations (n; ≤ −3 m·s−2). Data were classified based on playing position and quarter of play. The greatest TD was covered by half-backs, midfielders, and half-forwards, with these positions covering significantly greater distances than full-backs (p < 0.05). Similarly, half-backs, midfielders, and half-forwards covered the greatest high-speed distance (HSR). When running performance was analysed across quarters, a significant position by quarter interaction was observed for all running performance variables, except peak velocity and percentage peak velocity. A consistent trend for reduced locomotor performance was evident in the second and fourth quarters across all positional lines. The current data provide coaches with the position-specific locomotor requirements of LGF match-play, which can inform the design of training content for LGF players, along with match-day strategies. Given the reduction in locomotor performance observed across the match, performance staff may consider the use of nutritional interventions, rewarm-up strategies, or specific substitution policies to mitigate the decrement in locomotor performance observed across match-play.

1. Introduction

The development of a comprehensive locomotor profile for Ladies Gaelic football (LGF) match-play is in its embryonic stages [1,2,3,4]. This is despite LGF gaining significant media attention and popularity across the public of Ireland, highlighted by the record-breaking attendances at the LGF All-Ireland finals, which have drawn crowds of up to 57,000 spectators across the last number of years [5]. The sport involves various high-intensity locomotor actions, such as high-speed running, accelerating, decelerating, changing direction, and sprinting. These actions are interspersed with periods of lower-intensity activities like walking, jogging, or standing [1,6,7,8]. A team consists of fifteen players, including a goalkeeper, three full-backs, three half-backs, two midfielders, three half-forwards, and three full-forwards [3,6,7,8]. LGF match-play consists of two halves, each lasting 30 min, and a countdown clock is utilised to manage game time [3,7]. The game requires complex hand and foot skills such as catching, high fielding, evasion, kicking on the run, and handpassing on the run; these must be executed under extreme pressure from opposition players and at very high speeds, given the rapid movement of the ball during match-play, requiring exceptional hand–eye coordination. Match-play takes place on a field that is approximately 90 m wide and 130–165 m long [3,6,7,8], with H-shaped goal posts at each end [2,6,7,8,9]; this results in a relative player area of 422-m2 at any given time when a player is in possession of the ball [1,2,3,4]. Scoring in LGF is as follows: kicking or handpassing the ball over the bar awards one point, while kicking or palming the ball under the bar and into the net scores three points, resulting in a goal. The overall objective of the game is to outscore the opposing team by gaining and maintaining possession to create scoring opportunities [3,4,7,8,9], while further limiting opposition teams attacking threats through specific tactical defensive set-ups. [3,4,7,8,9].
The training process for LGF players is professional in ethos but amateur in nature [2,3,4]; specifically, these players complete 3–4 pitch sessions per week and 1–2 athletic development sessions per week, in addition to match-play requirements. It is also common for these players to complete video analyses of previous training and games, with players known to engage in preview and review sessions from a performance analysis perspective pre- and post-competitive match-play. Therefore, a balance needs to be found between increased training requirements and recovery for these amateur players to ensure that improvements in physical, physiological, technical, and tactical adaptations take place across any playing squad for the duration of a season. This has resulted in a proliferation of professional support staff and backroom team members being added to LGF squads in recent times [2,3,4]. Indeed, these staff aim to provide detailed analysis across various aspects of performance, such as skill execution, training load, wellness, strength diagnostics, and locomotor performance. This analysis helps develop an individualised training regimen, related to individualised athletic development programmes, modifications to training durations, modifications to training drills for specific players, additional locomotor top-ups where required, additional recovery strategies, individualised rehabilitation programmes, tailored periodisation strategies, and increased nutritional support for the players to ensure peak performance across the competitive season [2,3,4,6,8].
The process of developing an individualised training regimen is one that is typically reverse-engineered from the match-play requirements of any sport [3,4]. However, due to a lack of research focusing on the locomotor requirements of LGF match-play, the many coaching teams within LGF rely on personal judgement or anecdotal experiences when prescribing individualised training regimen [3,4]. This approach can at times disregard scientific rationale [3,4,9]. Anecdotally, coaches can infer the locomotor requirements of LGF from other team sports or from the male version of the sport, assuming similarities between the locomotion characteristics of these alternative sporting codes [3,8,10]. However, the application of these practises may lead to suboptimal player preparation to meet the locomotor requirements of match-play. Therefore, there is a need for increased research interest in these locomotor profiles within the sport [2,3,4].
The requirement for data-informed processes within the LGF training process has increased across the last number of seasons; this has resulted in an increase in monitoring practises within the LGF training process [11,12,13,14,15,16]. Indeed, it is common for performance staff within LGF teams to monitor internal (heart rate, session RPE) and external (game time, training duration, locomotor performance through GPS) loads across the training and match-play environments [4]. This has resulted in the first investigations with respect to the locomotor requirements of match-play. The previous literature on LGF match-play has shown that players have an average locomotor profile of 7319 ± 1021 m, with a locomotor intensity range of 116 ± 9 m·min−1, with 20.6 ± 5.4% of the game played above the designated arbitrary high-speed threshold of ≥4.4 m·s−1 [3]. Position analysis has further shown that the middle three positional lines, which consist of half-backs, midfielders, and half-forwards, exhibit the highest locomotor profile [3]. These positions also experience the largest decrease in locomotion across halves of play. These variations in locomotion and positional differences are attributed to the technical and tactical requirements of match-play [1,3,8,10]. While these findings represent progress for coaches within the LGF training process, they mark only the beginning of further exploration [2]. Coaches and performance staff are currently analysing the locomotor requirements of LGF matches by breaking them down into smaller epochs, such as quarters of play and duration-specific running performances. This allows practitioners to gain a detailed understanding of the specific locomotor demands of the game [1,11,14,15]. Previous research in various female sporting domains has shown a reduction in locomotor performance across match durations, particularly in quarters of play [14,15,16,17,18,19,20,21].
Understanding the reduction in locomotor performance across specific epochs such as quarters of play could enable practitioners to develop specific training drills, such as open phases of play, technical and tactical stations, small-sided games, and game-like scenarios, that meet and exceed the locomotor requirements of match-play epochs in terms of volume and intensity [3,4,8]. Additionally, this information may lead to the development of specific rotations or substitutes to mitigate the impact of pacing or fatigue on locomotor performance during match-play [3]. Furthermore, these data may help in providing targeted nutritional support strategies to mitigate fatigue during match-play such as half-time carbohydrate reloading and holistic refuelling strategies [22]. Unfortunately, to date, this information has not been elucidated in LGF [2,3,4,8].
Therefore, the aim of the current investigation was to establish the positional locomotor performance profile of LGF match-play in relation to specific epochs, namely quarters of play. Based on previous research by Malone and colleagues [3], it was hypothesised that there would be a positional hierarchy observed in locomotor performance across elite LGF match-play. Specifically, we expected the middle three positional lines (half-backs, midfielders, and half-forwards) to exhibit increased locomotor demands compared to other positional lines, with these positions also having the greatest decrement in locomotion throughout match-play.

2. Materials and Methods

2.1. Participants

This study examined thirty (n = 30) elite LGF players over two competitive seasons (2021 and 2022 seasons). The cohort, comprising current county squad members, represented the pinnacle of talent in their respective county at the time of the investigation. Participants’ characteristics were as follows: age (24 ± 4 years), height (169 ± 5 cm), and body mass (61 ± 4 kg). All subjects provided written informed consent after being briefed on the study’s purpose and protocols, in accordance with the local institution’s research ethics committee guidelines (Technological University Dublin, Tallaght; REC-PGR5R-201920) and the Declaration of Helsinki.

2.2. Design and Procedure

Players were equipped with individual 10 Hz GPS units (PlayerTek Pod, Catapult Sports, Melbourne, VI, Australia) containing triaxial accelerometers. These devices, weighing 42 g and measuring 84 mm × 42 mm × 21 mm, were securely positioned between the shoulder blades in bespoke vests or custom-sewn pockets on the players’ jerseys [3,10,11,12,13,14]. Prior to the competitive season, participants underwent a maximal velocity assessment as part of their pre-season evaluation. This involved a 40 m linear sprint while wearing their assigned GPS units [3], establishing each player’s peak velocity (m·s−1) for subsequent match-play comparisons. On match days, GPS devices were activated approximately 75 ± 10 min before throw-in to ensure satellite lock without disrupting pre-game routines [3,14]. The validity and reliability of these units had been previously established in locomotion studies [3,19]. Post-match data quality was verified by analysing the satellite distribution and horizontal dilution of precision (HDOP). The mean values were 13.1 ± 2.8 satellites and 0.9 ± 0.3 HDOP, respectively. GPS data were then downloaded, segmented into quarters of play, and processed using proprietary software (PlayerTek Team Application, V2.5.5). Only the active playing time was included in the final analysis, resulting in 145 individual data sets [full-back (n = 31), half-back (n = 35), midfield (n = 24), half-forward (n = 24), and full-forward (n = 31)] being collected across 18 competitive games during the 2021–2022 LGF seasons. The data were then extracted from the proprietary software via comma-separated value files with the data placed into a bespoke Microsoft Excel Database (Version 2407; build 17830.20138; Microsoft, Redmond, WA, USA) with these data visualised within Microsoft Power BI (Microsoft, Redmond, WA, USA) for retrospective analysis and communication to coaching stakeholders. The exported CSV file provided analysis for various locomotor variables: total distance (TD; m); relative distance (m·min−1); high-speed running (HSR; m; ≥ 4.4 m·s−1); relative HSR (m·min−1); very high-speed running (VHSR; m; ≥ 5.5 m·s−1); peak velocity (m·s−1); percentage of peak velocity (% Peak V); accelerations (n; ≥ 3 m·s−2); decelerations (n; ≤ −3 m·s−2). These thresholds align with previous research in female team sports and LGF specifically [2,3,8,14].

2.3. Statistical Analysis

Data processing and statistical analyses were performed using SPSS (Version 22, SPSS Inc., Chicago, IL, USA). Initial assessments included descriptive analysis and normality checks via Shapiro–Wilks tests and boxplot examinations. Outliers were identified and removed prior to further analysis. A mixed-model analysis of variance (ANOVA) was employed to evaluate the main effects of playing position and game quarters. Locomotor profiles were averaged across participants within each position, and interaction effects between position and quarter were examined. In cases of significant main effects, post hoc tests with Bonferroni corrections were conducted to discern differences across positional lines. For significant interaction effects, standardised effect analyses were performed to determine whether differences occurred within positional lines or across quarters of play. The magnitude of the effects was quantified using partial eta squared (ηp2) analysis. Statistical significance was set at p ≤ 0.05 throughout the study.

3. Results

The positional locomotor profile of LGF is shown in Table 1. For total distance (TD), significant main effects were found for playing position (F = 2.117, p < 0.001, ηp2 = 0.356). The greatest TDs were covered by half-backs, midfielders, and half-forwards, with these positions covering significantly greater distances than full-backs and full-forwards (p < 0.05, ηp2 = 0.201). A similar pattern was observed for high-speed distance (HSD), with half-backs, midfielders, and half-forwards covering significantly greater distances than full-backs and full-forwards (p < 0.05, ηp2 = 0.175). This trend continued for very high-speed running (VHSR), where the middle three positional lines covered greater distances than the other positions (p < 0.05, ηp2 = 0.215). In contrast, full-backs and full-forwards were shown to complete more accelerations and decelerations when compared to other positions (p < 0.05, ηp2 = 0.325). However, no significant differences were observed across positions for maximal velocity and percentage of peak velocity during match-play.
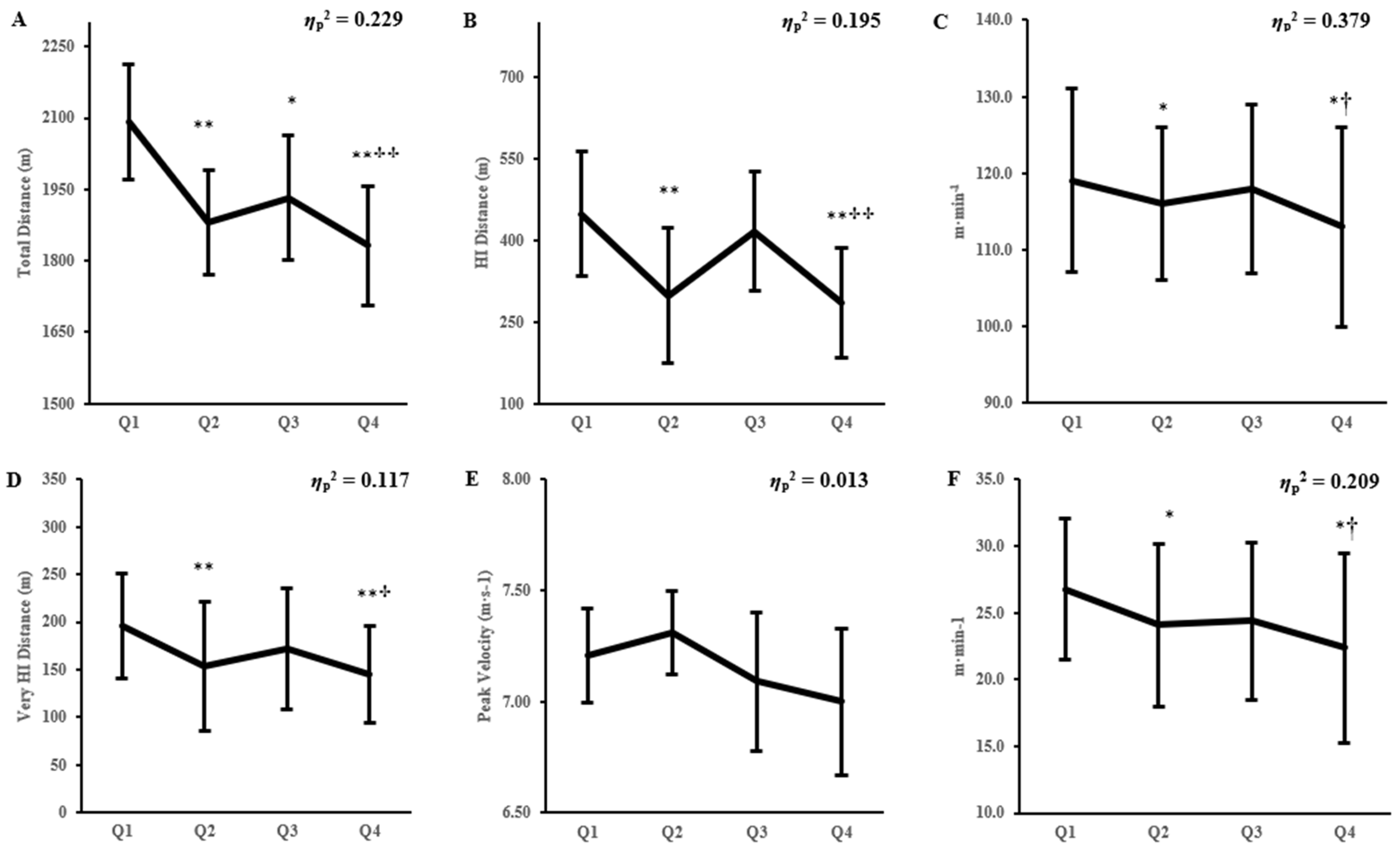
The quarter-by-quarter analysis of specific locomotion performance variables is shown in Figure 1. A significant main effect was reported for a quarter across the match-play data (F = 14.312, p < 0.001, ηp2 = 0.137) for all metrics, apart from maximal velocity and percentage of peak velocity. Post hoc analysis revealed a consistent trend for a decrement in locomotion across the second and fourth quarters for total distance (TD, ηp2 = 0.229), high-speed running (HSR, ηp2 = 0.195), very high-speed running (VSR, ηp2 = 0.117), relative TD (ηp2 = 0.379), and relative HSD (ηp2 = 0.209). Additionally, TD was shown to be lower in the third quarter when compared to the first quarter (p < 0.05). When accelerations (ηp2 = 0.198) and decelerations (ηp2 = 0.287) were considered, there was a consistent reduction in both measures during the second and third quarters.
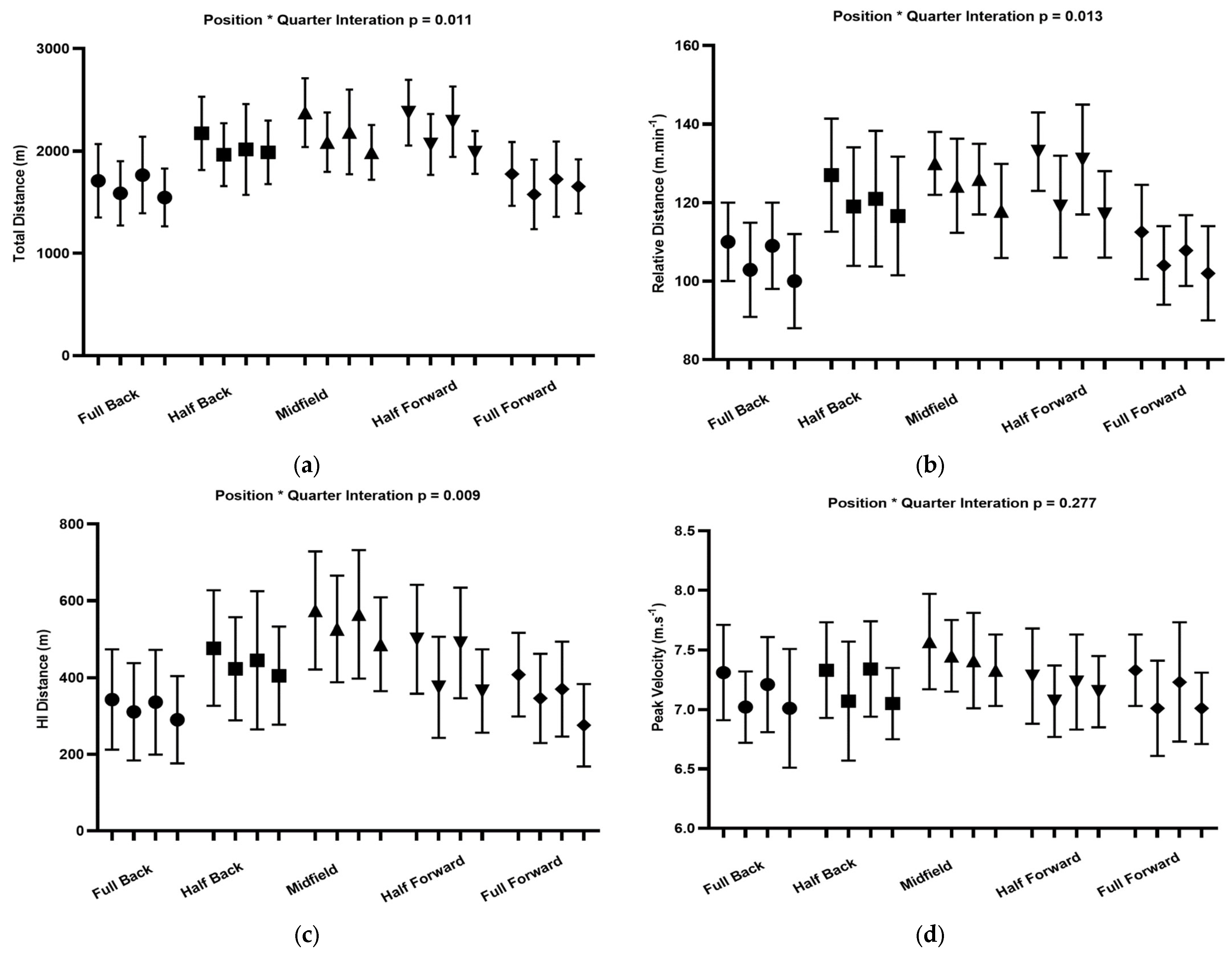
The positional analysis with respect to quarters is shown in Figure 2. A significant position and quarter interaction (p < 0.05) was observed across locomotor performance variables, except for peak velocity (p = 0.277) and percentage of peak velocity (p = 0.387), which showed a non-significant interaction. A significant interaction between position and quarter was observed for TD (F = 1.312, p = 0.011, ηp2 = 0.079), with half-backs, midfielders, and half-forwards shown to cover more distance when contrasted with other positions. These positions also exhibited higher reductions in locomotor performance across the second and fourth quarters compared to other positions. A similar tendency was observed for HSR (F = 2.112, p = 0.009, ηp2 = 0.131) and VHSR (F = 2.422, p = 0.023, ηp2 = 0.159), with half-backs, midfielders, and half-forwards covering increased distances and having higher decrements in locomotor performance across the second and fourth quarters, respectively. Finally, a significant interaction between position and quarter was observed for the mechanical variables of accelerations (F = 3.103, p = 0.031, ηp2 = 0.229) and decelerations (F = 5.103, p = 0.031, ηp2 = 0.229), with full-backs and full-forwards completing the most accelerations and decelerations across positional lines and having a greater reduction in these mechanical actions as the game progressed across quarters.

4. Discussion

Research on the locomotor requirements of LGF match-play is limited [2,3,4]. This study sought to understand the locomotor profile of LGF during match-play, focusing on position and quarters of play. We hypothesised that the central three positional lines (half-backs, midfielders, and half-forwards) will have the highest locomotor demands, with reductions in locomotion expected across quarters of play. The main findings indicate that half-backs, midfielders, and half-forwards have the highest locomotion during match-play compared to other positions. When analysing locomotor performance quarter by quarter, we observed increased locomotion in the first quarter for all positional lines, followed by reductions in subsequent quarters. The increased locomotor demand in the first quarter may influence decrements in metrics such as TD, HSR, VHSR, and others in the later stages of match-play [3,10]. Analysing the quarters, we consistently observed reductions in locomotion during the second and fourth quarters. Interestingly, peak velocity and percentage peak velocity showed a consistent temporal profile across quarters with no significant decrements. Examining the positional locomotor profile quarter by quarter, we found reductions in performance during the second and fourth quarters. The middle three positional lines experienced increased locomotor demands throughout all quarters compared to other positions, resulting in greater reductions across quarters compared to the full-back and full-forward lines. These are the first published data of their kind on LGF, and we hope that establishing the locomotion profile across quarters will inform training practises and improve player preparation for LGF match-play. To replicate the quarter-by-quarter demands of LGF in training, we suggest incorporating simulated game phases, such as 15–17 min of 15 v 15 football or scenario-based work, early within training sessions to replicate the opening quarter of LGF when players are fresh and less fatigued [3,8,10]. Additionally, including simulated gameplay phases toward the end of training will help players develop tolerance for the locomotor demands required later in match-play [3,8,10]. However, the appropriate planning and periodisation of training content and drills are crucial in this context given the amateur status of these players, and a balance between over and under exposure to locomotor demands needs to be respected.
When analysing the data irrespective of position, players demonstrated a locomotor profile that resulted in a running distance between 6607 ± 878 m and 7937 ± 909 m during competition. This indicates a global match-play locomotion intensity range of 105 ± 14 to 126 ± 12 m·min−1. Additionally, LGF players were found to cover between 1280 ± 378 m and 2154 ± 453 m of HSR locomotion above a predetermined arbitrary HSR threshold (≥ 4.4 m·s−1), corresponding to a high-speed locomotion intensity range of 20 ± 6 to 34 ± 7 m·min−1. It is important to note that significant differences exist in these global locomotion data among different positions [3]. The locomotor measures observed in this study are somewhat higher than those reported for LGF in previous research [3]. In comparison, the locomotor profiles observed in this study are in line with those of other elite female team sports [13,14,15,20,21,23]. For example, studies on soccer have shown similar locomotor intensity profiles of 100 and 120 m·min−1 [20,21,23], while female field hockey players have been found to have average locomotor intensity profiles ranging from 94 to 115 m·min−1 during match-play [14,15]. Similarly, seven female rugby players have been reported to have a global intensity profile of 86–111 m·min−1 [12,13,24]. Given the recent trend in LGF players transitioning to AFL, it is important to compare the locomotor profiles of these team sports. In relation to the data obtained in this study, when comparing the AFLW locomotor intensity profile to that of LGF, it appears that these two sports have similar locomotor intensities. AFLW players cover a range of 102–128 m·min−1 and exhibit a relative high-speed running range of 17–28 m·min−1, depending on their positional roles [17]. While making comparisons across sports is vital to establishing benchmarks and differentiating the specific demands of play, it is crucial to consider the variations in rules, squad sizes, field dimensions, rotational rules, team formations, and the specific technical and tactical requirements of each game, as all these factors can influence the locomotor profile of team sports performance.
As expected, the central three positions of half-backs, midfielders, and half-forwards exhibited the highest TD, HSR, and VHSR locomotion when compared to the other positional lines of full-forwards and full-backs [3]. Considering the observed locomotor requirements for global match-play performance, coaches should tailor training regimens throughout the LGF season to ensure players possess the physical and physiological capacities to meet and exceed the reported locomotion demands of competition when necessary [4]. This will involve tailoring the training week to allow player to express their physiological capacities within match-play. Coaches should look to cycle their respective training load strategies throughout a training week leading into match-play, with higher training loads experienced during match-day minus four and lower loading structures within match-day minus two, this would allow players to recover appropriately for match-play and express their physical, technical, and physiological capacities with reduced accumulation of fatigue across the training week leading into match-play [16].
The positional locomotor profiles observed in this study align with the previous literature on elite Gaelic football, both for women’s [3] and men’s match-play [1,10]. These findings can be attributed to the specific locomotor and tactical roles of full-back and full-forward players during matches. These positions often adopt a semi-restricted role during both defensive and offensive phases of play. Full-backs and full-forwards need to position themselves close to the scoring area to provide attacking and defensive structures, particularly when marking an opponent player in the case of full-backs. In contrast, the “middle eight” positions of half-backs, midfielders, and half-forwards have more freedom in their locomotion due to their tactical requirements during defensive and attacking events in match-play [1,4,10]. Thus, players in these positions experience increased locomotion demands during competitive play as they follow the flow of attacking and defensive strategies employed by managements during match-play. Although not examined in this study, it is worth mentioning that full-backs and full-forwards are often assigned player-marking responsibilities, which could explain their similar running performance profiles. Moreover, considering the emergence of advanced tactical setups such as counterattacking as a unit, specific lines of engagement, employing a zonal marking system with a plus one, or deploying a sweeper in front of the full-back lines, future research should aim to understand the running demands of different tactical styles of play and how these systems interact within the dynamics of match-play. While this investigation highlighted the temporal profile of positions in the game, it is important for coaches and practitioners to apply these findings practically. It is well known that drills used in training must replicate the stochastic nature of match-play locomotion within an appropriately periodised high-performance programme [3]. Therefore, it is suggested that coaches incorporate these drills at different time points during training to elicit different outcomes. For example, placing these drills at the end of training sessions enables players to engage in higher-intensity activities toward the end of a match while also allowing them to execute skills under fatigue [1,8,10].
Apart from peak velocity and percentage peak velocity, a significant interaction between position and quarters of play was observed in most running performance variables examined. Interestingly, it was observed that these players regularly hit above 85% of their respective peak velocity; this is an important finding from a training construction perspective. It may be suggested that coaches aim to develop organic means of players being exposed to 85% plus of their peak speed within training on a regular basis to aid in their physical and physiological development to attain these speeds when required. When considering the temporal profile of match-play, the data revealed changes in total distance covered across quarters. The transitional lines of play, namely the half-backs, midfielders, and half-forwards, covered the greatest distance. HSR decreased in both the second and fourth quarters for all positions. Mechanically, the number of accelerations and decelerations also decreased as match-play progressed, with reductions in mechanical loading noted in the second and fourth quarters, respectively. Full-backs and full-forwards completed more accelerations and decelerations and had significantly greater reductions in mechanical efforts across quarters compared to other positions. It should be noted that similar reductions in locomotion have also been reported during Gaelic football and AFL competition match-play [3,12,17]. This finding can help coaches prepare LGF players for the metabolic and mechanical demands of acceleration and deceleration. It is suggested that coaches potentially place specific acceleration and deceleration drills within their respective warm-ups across a training week to ensure appropriate exposure and mechanics within these movements, and coaches may theme their warm-ups toward targeting specific mechanical outputs across a training week with warm-ups or session drills targeting acceleration or deceleration qualities or specific percentage of peak velocity to allow players to meet the requirements of match-play.
The decline in locomotor performance toward the end of specific quarters aligns with similar observations from other team sports, where there are large differences in the variability of locomotor activities within and between games, playing positions, and individual players [10,25]. However, the game-to-game variability in these measures within an LGF context has not yet been established and represents an area for further understanding. Numerous factors, such as technical and tactical decisions, the spatial location of players, and their physiological and psychological readiness, may influence the characteristics of locomotor exposure during match-play [10]. Pacing strategies adopted by players may also impact the locomotor profile in the final stages of matches [26,27]. Given the non-significant reduction in peak velocity reported here, it may be reasonable to assume that players are adopting a pacing strategy to conserve energy for impactful moments at the end of each quarter [26,27]. Therefore, it is reasonable to suggest that within the LGF training process, players should be conditioned to sustain high-velocity efforts within specific drills such as simulated phases of play, interval conditioning, and small-sided games to enable players across the duration of match-play to sustain the required stochastic high-intensity locomotor profile. Re-fuelling strategies during half-time, such as consuming carbohydrate-based foods and solutions, may help counteract the reduction in glycogen stores and maintain locomotor performance [22]. Additionally, having in-game carbohydrate-mixed solutions readily available to players may prevent energy depletion during match-play events [22]. Further research is needed to determine if these strategies result in an increased locomotor profile in LGF players. Finally, coaches may implement halftime rewarm-ups to mitigate reductions in the locomotor profile in the third and fourth quarters of play [28]. Overall, while reductions in locomotor performance were observed in this investigation, it is important to note that these profiles are specific to each team and player. Further research is required to determine if these observations hold true and are generalisable across multiple LGF playing cohorts.
While several contemporary findings have been elucidated within our data with respect to the locomotor performance of LGF players, many limitations are associated with the present study. Prior to acknowledging these limitations, it is relevant to highlight that the reported literature on LGF is still embryonic and scarce, with extensive areas for further investigation [2,3,4,8]. Firstly, given that the current study analysed locomotor performance across one team, it may be suggested that these results are not generalisable across the LGF playing population and represent more of a case study analysis of LGF locomotor performance given the limited sample size. Additionally, it must be acknowledged that all players will have differences across their physiological make-up, it is suggested that further studies aim to analyse the locomotor performance of LGF players across multiple teams, and different playing levels (elite and sub-elite) be completed to understand if the current data are representative of the LGF population. Further, the application of individualised speed bands within locomotor analysis is required to see if these thresholds have a significant impact on practitioner understanding within LGF [12]. It is suggested that both speed and physiological demarcation analyses are required with respect to threshold demarcation for locomotion within LGF [12]. We only included full-game observations, whereby a player was not substituted and remained in the same position for the entirety of the game. In LGF, management can make five substitutions per game, with substitutions typically occurring due to injuries, specific tactical requirements, or when management feels players are fatiguing. Future research should attempt to quantify the locomotor requirements of substituted players to determine if these players demonstrate different running demands [25]. Given that research on soccer has shown effects of team shape, physical capacity profiles, match status, and playing style to impact the locomotor requirements [20,23,28,29,30], there is a need for these contextual factors to be considered within further investigations, and it would be expected that a kick-passing team within Gaelic football may cover less ground, for example, when compared to a team that moves the ball by hand; however, there may be a situation where these styles of play, when linked with specific tactical systems, provide increased or decreased locomotion requirements. As such, these need to be investigated in the future within LGF. Further, given the increase in interest in duration-specific running performance epochs, it may be suggested that a rolling average analysis of LGF be conducted to understand the most demanding locomotor periods of match-play. The training and match-play requirements of LGF players across a seasonal analysis also need to be considered. Research within men’s elite Gaelic football has shown impacts for phase of season and match/non-match week on external and internal loading profiles across a season [16], and this research is required within LGF to elucidate the specific details of the LGF training process. Given the known association between pre-season locomotion and injury profiles within Gaelic football [16], there is a need to understand this association within LGF. Finally, future research should aim to analyse the locomotor profile of LGF across different divisions or playing levels, with the need to further to understand the duration-specific maximal running performance of match-play from a position and temporal perspective.

5. Conclusions

The present study provides valuable data that can assist practitioners in evaluating and replicating the elite LGF locomotor performance requirements of match-play within training, therefore enhancing the knowledge base of coaches with respect to the physical preparation of players. For the first time in LGF, we established the match-play locomotor profile of LGF players across quarters of play. The data indicate a position-specific difference in match-play locomotion among elite LGF players. When planning training sessions, coaches should consider the position-specific locomotor profiles to ensure that players in positions with increased locomotor requirements are appropriately conditioned within a periodised training programme. It is important for coaches and support staff to incorporate a combination of general and sport-specific conditioning to achieve the necessary physical and physiological status for optimal player performance during LGF match-play. The findings from this study can be used to assess whether training drills such as interval running, closed and open skill drills, small-sided games, internal match segments, or simulated phases of play meet or exceed the specific quarter-by-quarter locomotor profile requirements of LGF match-play. Additionally, the data highlight the contrasting locomotor demands between LGF and the men’s game, which coaches and performance staff should consider before implementing training practises from one cohort to another. Overall, these findings emphasise the intricacies and complexities involved in evaluating match locomotor outputs in relation to holistic match performance, especially given the ever changing and evolving nature of playing styles, tactical structures, formations, and positional roles in modern LGF throughout the season.

Author Contributions

All authors contributed to the manuscript across the following key definitions: conceptualization, S.M., A.M. and C.O.; data curation, S.M. and A.M.; formal analysis, S.M., A.M. and J.D.D.; investigation, S.M., A.M. and C.O.; methodology, S.M., K.C., A.M. and C.O.; project administration, S.M., J.D.D. and P.F.T.; resources, S.M., A.M. and K.C.; software, K.C. and A.M.; supervision, K.C., A.M., S.M. and P.F.T.; visualisation, S.M.; writing—original draft, S.M., P.F.T. and J.D.D.; writing—review and editing, A.M., P.F.T., K.C., C.O. and J.D.D. All authors have read and agreed to the published version of the manuscript.

Funding

This research received no external funding.

Institutional Review Board Statement

This study was conducted according to the guidelines of the Declaration of Helsinki and approved by the institutional Ethics Committee of Technological University Dublin, Tallaght (REC-PGR5R-201920; Approval Date: 19 July 2019).

Informed Consent Statement

Informed consent was provided by all subjects who took part in the current investigation.

Data Availability Statement

Data are available upon appropriate request to the corresponding author.

Acknowledgments

We would like to acknowledge and thank the management and players of the team involved for their commitment during the investigation period and willingness to partake across the longitudinal period.

Conflicts of Interest

The authors have no conflicts of interest, with no internal or external funding received for the current investigation.

References

  1. Boyle, E.; Malone, S.; Mangan, S.; Collins, K. Applied sport science of Gaelic football. Sport Sci. Health 2023, 19, 27–39. [Google Scholar] [CrossRef]
  2. O’Rahilly, D.; Whelan, N.; Moane, S. Internal and External load monitoring tools used in Hurling, Camogie, Gaelic football and Ladies Gaelic Football: A systematic Review. J. Sci. Sport Exerc. 2024. [Google Scholar] [CrossRef]
  3. Malone, S.; McGuinness, A.; Duggan, J.D.; O’Connor, C.; Collins, K. The running performance of elite ladies Gaelic football with respect to position and halves of play. Sport Sci. Health 2023, 19, 959–967. [Google Scholar] [CrossRef]
  4. Duggan, J.D.; Keane, K.; Moody, J.; Byrne, P.J.; Malone, S.; Collins, K.; Ryan, L. Strength and Conditioning Recommendations for Female Athletes: The Gaelic Footballer. Strength Cond. J. 2023, pub ahead of print. [CrossRef]
  5. Clerkin, M.; The Story behind the Amazing Growth of Women’s Gaelic Football. The Irish Times. 2021. Available online: https://www.irishtimes.com/sport/gaelic-games/the-story-behind-the-amazing-growth-of-women-s-gaelic-football-1.4501155 (accessed on 6 April 2024).
  6. Brown, J.; Waller, M. Needs analysis, physiological response and program guidelines for Gaelic Football. Strength Cond. J. 2014, 36, 73–81. [Google Scholar] [CrossRef]
  7. Molohan, T.; Behan, S.; MacNamara, A. Anthropometric and physical fitness profile of adolescent inter-county ladies Gaelic football players. Adolescents 2023, 3, 625–639. [Google Scholar] [CrossRef]
  8. Duggan, J.D.; Moody, J.A.; Byrne, P.J.; Cooper, S.M.; Ryan, L. Training Load Monitoring Considerations for Female Gaelic Team Sports: From Theory to Practice. Sports 2021, 9, 84. [Google Scholar] [CrossRef] [PubMed]
  9. Rahilly, D.O.; Whelan, N.; Moane, S. Training Load Monitoring Practices Used by Strength and Conditioning Coaches in Hurling, Gaelic Football, Camogie, and Ladies Gaelic Football. Sports Health 2023, 15, 848–854. [Google Scholar] [CrossRef]
  10. Malone, S.; Solan, B.; Collins, K.; Doran, D. The metabolic power and energetic demands of elite Gaelic football match play. J. Sports Med. Phys. Fitness 2017, 57, 543–549. [Google Scholar] [CrossRef]
  11. Black, G.M.; Gabbett, T.J.; Naughton, G.; Cole, M.H.; Johnston, R.D.; Dawson, B. The Influence of Contextual Factors on Running Performance in Female Australian Football Match-Play. J. Strength Cond. Res. 2019, 33, 2488–2495. [Google Scholar] [CrossRef]
  12. Clarke, A.C.; Anson, J.; Pyne, D. Physiologically based GPS speed zones for evaluating running demands in Women’s Rugby Sevens. J. Sports Sci. 2015, 33, 1101–1108. [Google Scholar] [CrossRef]
  13. Suarez-Arrones, L.; Arenas, C.; López, G.; Requena, B.; Terrill, O.; Mendez-Villanueva, A. Positional differences in match running performance and physical collisions in men rugby sevens. Int. J. Sports Physiol. Perform. 2014, 9, 316–323. [Google Scholar] [CrossRef] [PubMed]
  14. McGuinness, A.; Malone, S.; Petrakos, G.; Collins, K. Physical and Physiological Demands of Elite International Female Field Hockey Players During Competitive Match Play. J. Strength Cond. Res. 2019, 33, 3105–3113. [Google Scholar] [CrossRef] [PubMed]
  15. Kapteijns, J.A.; Caen, K.; Lievens, M.; Bourgois, J.G.; Boone, J. Positional Match Running Performance and Performance Profiles of Elite Female Field Hockey. Int. J. Sports Physiol. Perform. 2021, 16, 1295–1302. [Google Scholar] [CrossRef] [PubMed]
  16. Fisher, P.; Faulkner, M.; McCann, M.; Doherty, R. The Association between Pre-season Running Loads and Injury during the Subsequent Season in Elite Gaelic Football. Sports 2022, 10, 117. [Google Scholar] [CrossRef] [PubMed]
  17. Clarke, A.C.; Ryan, S.; Couvalias, G.; Dascombe, B.J.; Coutts, A.J.; Kempton, T. Physical demands and technical performance in Australian Football League Women’s (AFLW) competition match-play. J. Sci. Med. Sport 2018, 21, 748–752. [Google Scholar] [CrossRef]
  18. Bradley, P.S.; Vescovi, J.D. Velocity thresholds for women’s soccer matches: Sex specificity dictates high-speed running and sprint thresholds–Female athlete in motion (FAiM). Int. J. Sports Physiol. Perform. 2015, 10, 112–116. [Google Scholar] [CrossRef]
  19. Connors, P.; Earls, D.; Browne, D.; Fitzpatrick, P.; Rankin, P. The positional and temporal running demands of elite inter-county camogie match play. Sports Perf. Sci. 2020, 1, 104–105. [Google Scholar]
  20. Datson, N.; Drust, B.; Weston, M.; Jarman, I.H.; Lisboa, P.J.; Gregson, W. Match Physical Performance of Elite Female Soccer Players During International Competition. J. Strength Cond. Res. 2017, 31, 2379–2387. [Google Scholar] [CrossRef] [PubMed]
  21. Emmonds, S.; Dalton Barron, N.; Myhill, N.; Barrett, S.; King, R.; Weaving, D. Locomotor and technical characteristics of female soccer players training: Exploration of differences between competition standards. Sci. Med. Football 2022, 7, 189–197. [Google Scholar] [CrossRef]
  22. Beasley, K.J. Nutrition and Gaelic Football Review: Review, recommendations and future considerations. Int. J. Sport Nutr. Exerc. Metab. 2015, 25, 1–13. [Google Scholar] [CrossRef] [PubMed]
  23. Scott, D.; Haigh, J.; Lovell, R. Physical characteristics, and match performances in women’s international versus domestic-level football players: A 2-year, league-wide study. Sci. Med. Football 2020, 4, 211–215. [Google Scholar] [CrossRef]
  24. Sella, F.S.; McMaster, D.T.; Beaven, C.M.; Gill, N.D.; Hébert-Losier, K. Match Demands, Anthropometric Characteristics, and Physical Qualities of Female Rugby Sevens Athletes: A Systematic Review. J. Strength Cond. Res. 2019, 33, 3463–3474. [Google Scholar] [CrossRef]
  25. Boyle, E.; Warne, J.P.; Nevill, A.M.; Collins, K. The Work-Rate of Substitutes in Elite Gaelic Football Match-Play. Sports Perf Sci. 2020, 89, 1–3. [Google Scholar]
  26. Abbiss, C.R.; Laursen, P.B. Describing and understanding pacing strategies during athletic competition. Sports Med. 2008, 38, 239–252. [Google Scholar] [CrossRef] [PubMed]
  27. Ferraz, R.; Gonçalves, B.; Coutinho, D.; Marinho, D.A.; Sampaio, J.; Marques, M.C. Pacing behaviour of players in team sports: Influence of match status manipulation and task duration knowledge. PLoS ONE 2018, 5, e0192399. [Google Scholar] [CrossRef]
  28. Silva, L.M.; Neiva, H.P.; Marques, M.C.; Izquierdo, M.; Marinho, D.A. Effects of Warm-Up, Post-Warm-Up, and Re-Warm-Up Strategies on Explosive Efforts in Team Sports: A Systematic Review. Sports Med. 2018, 48, 2285–2299. [Google Scholar] [CrossRef]
  29. Modric, T.; Versic, S.; Sekulic, D. Position specific running performances in professional football (Soccer): Influence of different tactical formations. Sports 2020, 8, 161. [Google Scholar] [CrossRef]
  30. Wing, C.; Hart, N.H.; McCaskie, C.; Djanis, P.; Ma’ayah, F.; Nosaka, K. Running Performance of Male versus Female Players in Australian Football Matches: A Systematic Review. Sports Med. Open 2021, 19, 96. [Google Scholar] [CrossRef]
Figure 1. Changes in running performance across quarters irrespective of playing position. Error bars represent the lower and upper bounds of the 90% confidence interval of the mean estimate. (A) Total distance (m). (B) High-speed running (m). (C) Relative total distance (m·min−1). (D) Very high-speed running (m). (E) Maximal velocity (m·s−1). (F) Relative high-speed running (m·min−1). * Represents a significant difference from the first quarter * (p < 0.05), ** (p < 0.01). † Represents a significant difference from the third playing quarter † (p < 0.05), †† (p < 0.01).
Figure 1. Changes in running performance across quarters irrespective of playing position. Error bars represent the lower and upper bounds of the 90% confidence interval of the mean estimate. (A) Total distance (m). (B) High-speed running (m). (C) Relative total distance (m·min−1). (D) Very high-speed running (m). (E) Maximal velocity (m·s−1). (F) Relative high-speed running (m·min−1). * Represents a significant difference from the first quarter * (p < 0.05), ** (p < 0.01). † Represents a significant difference from the third playing quarter † (p < 0.05), †† (p < 0.01).
Applsci 14 07145 g001
Figure 2. Changes in running performance across quarter of play. (a) Total distance (m), (b) relative distance (m·min−1), (c) high-speed running distance (m; ≥ 4.4 m·s−1), and (d) peak velocity (m·s−1). Data presented as mean ± SD.
Figure 2. Changes in running performance across quarter of play. (a) Total distance (m), (b) relative distance (m·min−1), (c) high-speed running distance (m; ≥ 4.4 m·s−1), and (d) peak velocity (m·s−1). Data presented as mean ± SD.
Applsci 14 07145 g002
Table 1. Running performances of elite ladies Gaelic football with respect to position. Data presented and mean ± SD.
Table 1. Running performances of elite ladies Gaelic football with respect to position. Data presented and mean ± SD.
Full-BackHalf BackMidfieldHalf ForwardFull Forward
Total Distance (m)6607 ± 878 bd7539 ± 854 d7937 ± 909 abde7711 ± 7876731 ± 679 bd
Relative Distance (m·min−1)105 ± 14 bd120 ± 13126 ± 12 abde122 ± 17107 ± 19 bd
HI Speed Distance (m)1280 ± 378 bd1750 ± 5042154 ± 453 abde1730 ± 5541380 ± 342 bd
Relative HI Distance (m·min−1)20 ± 6 bd28 ± 834 ± 727 ± 722 ± 5 bd
Very HI Speed Distance (m)393 ± 111 bde514 ± 184 d932 ± 180 abde744 ± 151587 ± 197 bd
Peak Velocity (m·s−1)7.04 ± 0.497.08 ± 0.517.45 ± 0.447.38 ± 0.417.20 ± 0.48
% Peak Velocity86 ± 488 ± 489 ± 487 ± 288 ± 4
Accelerations (≥3 m·s−2)44 ± 5 c42 ± 535 ± 544 ± 750 ± 8 c
Decelerations (≤3 m·s−2)58 ± 5 c51 ± 4 c48 ± 356 ± 5 c59 ± 6 c
a Significantly different (p < 0.05) from full-backs. b Significantly different (p < 0.05) from half-backs. c Significantly different (p < 0.05) from midfielders. d Significantly different (p < 0.05) from half-forwards. e Significantly different (p < 0.05) from full-forwards.
Disclaimer/Publisher’s Note: The statements, opinions and data contained in all publications are solely those of the individual author(s) and contributor(s) and not of MDPI and/or the editor(s). MDPI and/or the editor(s) disclaim responsibility for any injury to people or property resulting from any ideas, methods, instructions or products referred to in the content.

Share and Cite

MDPI and ACS Style

Malone, S.; McGuinness, A.; Duggan, J.D.; Talty, P.F.; O’Connor, C.; Collins, K. Establishing the Locomotor Performance Profile of Elite Ladies Gaelic Football across Position and Quarters. Appl. Sci. 2024, 14, 7145. https://doi.org/10.3390/app14167145

AMA Style

Malone S, McGuinness A, Duggan JD, Talty PF, O’Connor C, Collins K. Establishing the Locomotor Performance Profile of Elite Ladies Gaelic Football across Position and Quarters. Applied Sciences. 2024; 14(16):7145. https://doi.org/10.3390/app14167145

Chicago/Turabian Style

Malone, Shane, Aideen McGuinness, John David Duggan, Paul Francis Talty, Cliodhna O’Connor, and Kieran Collins. 2024. "Establishing the Locomotor Performance Profile of Elite Ladies Gaelic Football across Position and Quarters" Applied Sciences 14, no. 16: 7145. https://doi.org/10.3390/app14167145

APA Style

Malone, S., McGuinness, A., Duggan, J. D., Talty, P. F., O’Connor, C., & Collins, K. (2024). Establishing the Locomotor Performance Profile of Elite Ladies Gaelic Football across Position and Quarters. Applied Sciences, 14(16), 7145. https://doi.org/10.3390/app14167145

Note that from the first issue of 2016, this journal uses article numbers instead of page numbers. See further details here.

Article Metrics

Back to TopTop