A Robust Multi-Camera Vehicle Tracking Algorithm in Highway Scenarios Using Deep Learning
Abstract
1. Introduction
- An optimized feature extraction system has been proposed, accompanied by the design of a Block-Efficient module specifically tailored to detect small targets from a distance, enhancing its suitability for vehicle tracking algorithms.
- In complex tunnel traffic scenes, a joint loss function is integrated into the roadside monitoring perspective frames, along with a framework designed to differentiate between similar vehicles and target vehicles. This framework enables the algorithm to learn more discriminative features, thereby enhancing the matching success rate, reducing ID switching, and improving the overall effectiveness of vehicle tracking.
- The FairMOT-MCVT algorithm has been validated using the UA-DETRAC dataset [29]. The results show its effectiveness and robustness in multi-target tracking, IDF1, and FPS metrics, with a superior performance compared with other prominent techniques.
2. Related Work
2.1. Multiple Target Tracking
2.2. Data Association
2.3. Current Challenges and Future Directions
3. Methods
3.1. Overall Network Architecture Pipeline
3.2. DLA-Efficient
- Referring to the combination of a multi-branch structure and depth-separable convolution proposed in Inception for achieving efficient multi-scale feature extraction, we designed a new block module.
- After the DLA-34 network layer, the MSDA module is introduced, which autonomously learns and identifies the most crucial feature regions to prioritize in images or videos. This capability enables the network to concentrate more on features that profoundly impact the final task, thereby enhancing processing efficiency and performance by prioritizing critical areas.
- Referring to the GhostNet module, the Ghost module is employed instead of standard 2D convolution to generate an equivalent number of feature maps. The GhostNet module is shown in Figure 3.
| Algorithm 1: Block-Efficient Module | |
| input: Feature map X | |
| output: Enhanced feature map Y | |
| 1: | function BlockEfficient(X) |
| 2: | // Step 1: Apply Conv1 (1 × 1 and 3 × 3 convolutions) |
| 3: | F1_1 ← Conv(X, kernel_size = 1 × 1) |
| 4: | F1_3 ← Conv(X, kernel_size = 3 × 3) |
| 5: | F1 ← Concat(F1_1, F1_3) |
| 6: | // Step 2: Apply Conv2 (Ghost Module) |
| 7: | F2 ← GhostModule(F1) |
| 8: | // Step 3: Apply Conv3 (additional convolutional layers) |
| 9: | F3 ← Conv(F2, kernel_size = 3 × 3) |
| 10: | F3 ← Conv(F3, kernel_size = 3 × 3) |
| 11: | // Step 4: Apply Conv4 (pooling and 1 × 1 convolutions) |
| 12: | F4_pool ← Pool(F3, pool_size = 2 × 2) |
| 13: | F4_1 ← Conv(F4_pool, kernel_size = 1 × 1) |
| 14: | // Combine the features |
| 15: | Y ← Concat(F1, F2, F3, F4_1) |
| 16: | return Y; |
3.3. DLA-MSDA
| Algorithm 2: MSDA Attention Mechanism | |
| input: Feature map X of size B × C × H × W | |
| output: Enhanced feature map Y | |
| 1: | Initialize multi-scale convolutional kernels K1, K2, K3 with dilation rates of 1, 2, and 3. |
| 2: | for i ← 1 to B do |
| 3: | for j ← 1 to C do |
| 4: | for k ← 1 to H do |
| 5: | for l ← 1 to W do |
| 6: | F1 ← Conv(X[i, j, k, l], K1); |
| 7: | F2 ← Conv(X[i, j, k, l], K2); |
| 8: | F3 ← Conv(X[i, j, k, l], K3); |
| 9: | F_concat ← Concat(F1, F2, F3); |
| 10: | F_weighted ← ChannelAttention(F_concat); |
| 11: | Y[i, j, k, l] ← Normalize(F_weighted); |
| 12: | end for |
| 13: | end for |
| 14: | end for |
| 15: | end for |
| 16: | return Y; |
3.4. Joint Loss Function
4. Experimental Results and Discussion
4.1. Datasets and Metrics
4.2. Implementation Details
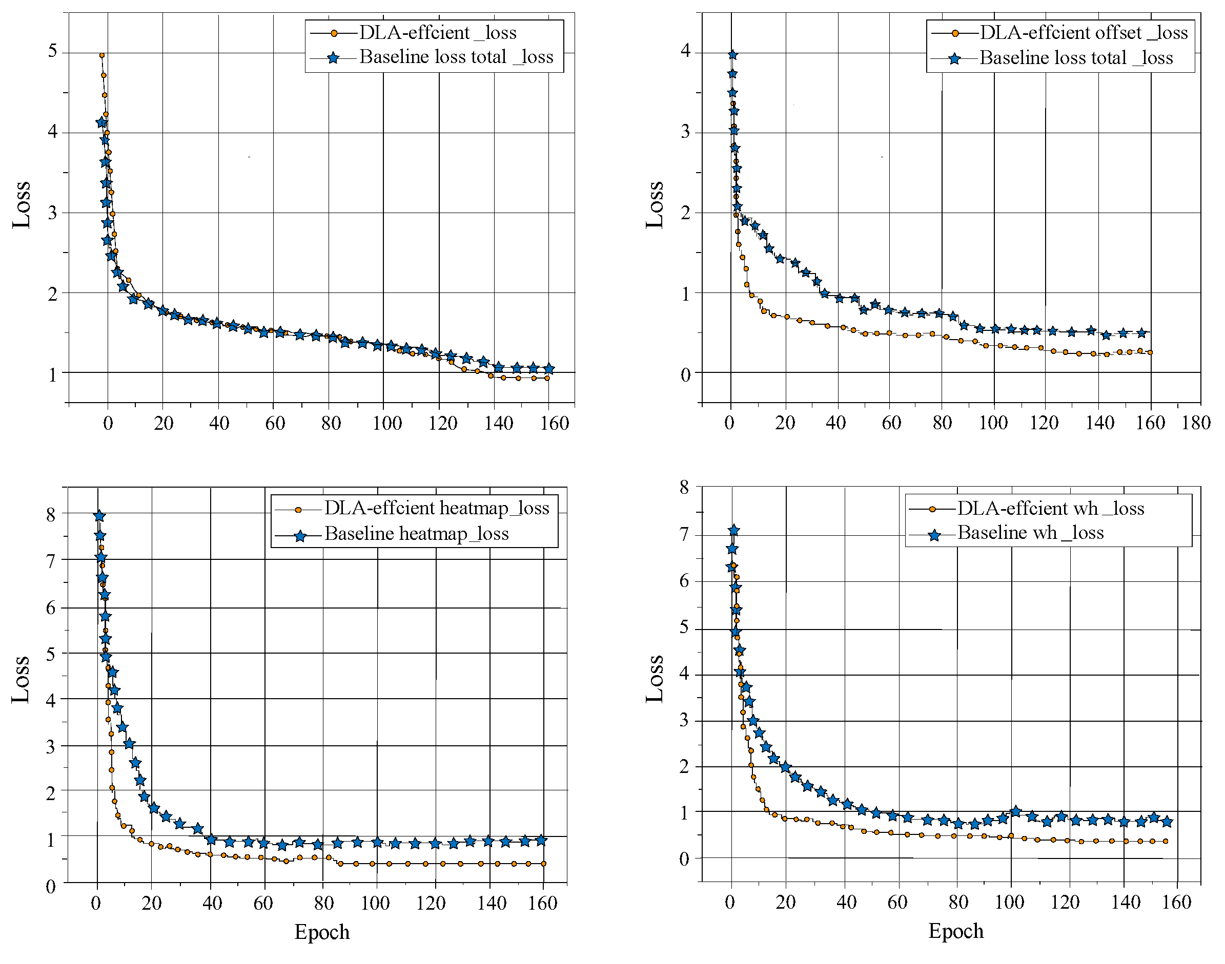
4.3. Ablation Studies
4.4. Visualizing Results
5. Conclusions
Author Contributions
Funding
Institutional Review Board Statement
Informed Consent Statement
Data Availability Statement
Conflicts of Interest
Abbreviations
| MOT | Multi-object Tracking |
| IDF1 | ID F1 Score |
| FPS | Frames Per Second |
| UA-DETRAC | University of Alberta-Detection and Tracking of Vehicles |
| MSDA | Multi-scale Dilated Attention |
| MOTA | Multiple Object Tracking Accuracy |
| FP | False Positive |
| FN | False Negative |
| IDTP | ID True Positive |
| IDFP | ID False Positive |
| IDFN | ID False Negative |
| GT | Ground Truth |
| DLA | Deep Layer Aggregation |
| Re-ID | Re-identification |
| LIDAR | Light Detection and Ranging |
| YOLO | You Only Look Once |
| SSD | Single Shot Multi-box Detector |
| JPDA | Joint Probabilistic Data Association |
| MHT | Multiple Hypothesis Tracking |
| MCHS | Multi-camera Highway Scenario |
| CNN | Convolutional Neural Network |
| R-CNN | Region-based Convolutional Neural Network |
| SORT | Simple Online and Realtime Tracking |
| DeepSORT | Deep Simple Online and Realtime Tracking |
| JDE | Jointly Learns the Detector and Embedding Model |
| CenterNet | Center-based Object Detection Network |
| Depthwise Separable Convolution | Deeply separable convolution is an approach to optimizing convolutional neural networks that decomposes standard convolution into two simpler operations: depthwise convolution and pointwise convolution. This approach significantly reduces the amount of computation and number of parameters while maintaining the performance of the convolutional neural network. |
| Multi-scale Feature Fusion | Multi-scale feature fusion is an approach that combines feature maps at different scales to utilize features at different scales to improve detection and classification accuracy. This approach is usually implemented by introducing convolutional or pooling layers at different scales, enabling the model to capture richer image information. |
| Multi-scale Dilated Attention | The multiscale expansion attention module combines multiscale features with Dilated Convolution and an attention mechanism to enhance the feature extraction capability of the model at different scales by adaptively selecting the most important feature regions. |
| Joint Loss Function | Joint loss functions are techniques that combine multiple loss functions in order to optimize multiple objectives simultaneously during training. Common joint loss functions include location loss, classification loss, and re-identification loss. |
References
- Yu, F.; Li, W.; Li, Q.; Liu, Y.; Shi, X.; Yan, J. POI: Multiple object tracking with high performance detection and appearance feature. In Proceedings of the European Conference on Computer Vision, Amsterdam, The Netherlands, 8–16 October 2016; pp. 36–42. [Google Scholar]
- Voigtlaender, P.; Krause, M.; Osep, A.; Luiten, J.; Sekar, B.B.G.; Geiger, A.; Leibe, B. MOTS: Multi-object tracking and segmentation. In Proceedings of the IEEE Conference on Computer Vision and Pattern Recognition, Long Beach, CA, USA, 15–20 June 2019; pp. 7942–7951. [Google Scholar]
- Sun, S.; Akhtar, N.; Song, X.; Song, H.; Mian, A.; Shah, M. Simultaneous detection and tracking with motion modelling for multiple object tracking. arXiv 2020, arXiv:2008.08826. [Google Scholar]
- Peri, N.; Khorramshahi, P.; Rambhatla, S.S.; Shenoy, V.; Rawat, S.; Chen, J.C.; Chellappa, R. Towards real-time systems for vehicle re-identification, multi-camera tracking, and anomaly detection. In Proceedings of the IEEE/CVF Conference on Computer Vision and Pattern Recognition Workshops, Seattle, WA, USA, 13–19 June 2020; pp. 622–623. [Google Scholar]
- Chen, L.; Ai, H.; Zhuang, Z.; Shang, C. Real-time multiple people tracking with deeply learned candidate selection and person re-identification. In Proceedings of the IEEE International Conference on Multimedia and Expo, San Diego, CA, USA, 23–27 July 2018; pp. 1–6. [Google Scholar]
- Coifman, B.; Beymer, D.; McLauchlan, P.; Malik, J. A real-time computer vision system for vehicle tracking and traffic surveillance. Transp. Res. Part C Emerg. Technol. 1998, 6, 271–288. [Google Scholar] [CrossRef]
- Battiato, S.; Farinella, G.M.; Furnari, A.; Puglisi, G.; Snijders, A.; Spiekstra, J. An integrated system for vehicle tracking and classification. Expert Syst. Appl. 2015, 42, 7263–7275. [Google Scholar] [CrossRef]
- Peña-González, R.H.; Nuño-Maganda, M.A. Computer vision based real-time vehicle tracking and classification system. In Proceedings of the IEEE 57th International Midwest Symposium on Circuits and Systems (MWSCAS), College Station, TX, USA, 3–6 August 2014; pp. 679–682. [Google Scholar]
- Ding, R.; Yu, M.; Oh, H.; Chen, W.H. New multiple-target tracking strategy using domain knowledge and optimization. IEEE Trans. Syst. Man Cybern. Syst. 2017, 47, 605–616. [Google Scholar] [CrossRef]
- Bae, S.H.; Yoon, K.J. Confidence-Based Data Association and Discriminative Deep Appearance Learning for Robust Online Multi-Object Tracking. IEEE Trans. Pattern Anal. Mach. Intell. 2018, 40, 595–610. [Google Scholar] [CrossRef]
- Fagot-Bouquet, L.; Audigier, R.; Dhome, Y.; Lerasle, F. Improving multi-frame data association with sparse representations for robust near-online multi-object tracking. In Proceedings of the 14th European Conference, Amsterdam, The Netherlands, 11–14 October 2016. [Google Scholar]
- Berclaz, J.; Fleuret, F.; Türetken, E.; Fua, P. Multiple object tracking using k-shortest paths optimization. IEEE Trans. Pattern Anal. Mach. Intell. 2011, 33, 1806–1819. [Google Scholar] [CrossRef]
- Bewley, A.; Ge, Z.; Ott, L.; Ramos, F.; Upcroft, B. Simple online and realtime tracking. In Proceedings of the 2016 IEEE International Conference on Image Processing (ICIP), Phoenix, AZ, USA, 25–28 September 2016; pp. 3464–3468. [Google Scholar]
- Wojke, N.; Bewley, A.; Paulus, D. Simple online and real-time tracking with a deep association metric. In Proceedings of the 2017 IEEE International Conference on Image Processing (ICIP), Beijing, China, 17–20 September 2017; pp. 3645–3649. [Google Scholar]
- Wang, Z.; Zheng, L.; Liu, Y.; Li, Y.; Wang, S. Towards real-time multi-object tracking. In Proceedings of the European Conference on Computer Vision, Glasgow, UK, 23–28 August 2020; pp. 107–122. [Google Scholar]
- Huang, Y.; Xiao, D.; Liu, J.; Tan, Z.; Liu, K.; Chen, M. An Improved Pig Counting Algorithm Based on YOLOv5 and DeepSORT Model. Sensors 2023, 23, 6309. [Google Scholar] [CrossRef]
- Zhou, X.; Chan, S.; Qiu, C.; Jiang, X.; Tang, T. Multi-Target Tracking Based on a Combined Attention Mechanism and Occlusion Sensing in a Behavior-Analysis System. Sensors 2023, 23, 2956. [Google Scholar] [CrossRef]
- Boragule, A.; Jang, H.; Ha, N.; Jeon, M. Pixel-guided association for multi-object tracking. Sensors 2022, 22, 8922. [Google Scholar] [CrossRef]
- Zhou, X.; Wang, D.; Krähenbühl, P. Objects as points. arXiv 2019, arXiv:1904.07850. [Google Scholar]
- Zhou, X.; Koltun, V.; Krähenbühl, P. Tracking objects as points. In Proceedings of the European Conference on Computer Vision, Glasgow, UK, 23–28 August 2020; pp. 474–490. [Google Scholar]
- Zhang, Y.; Wang, C.; Wang, X.; Zeng, W.; Liu, W. FairMOT: On the fairness of detection and re-identification in multiple object tracking. Int. J. Comput. Vis. 2021, 129, 3069–3087. [Google Scholar] [CrossRef]
- Meimetis, D.; Daramouskas, I.; Perikos, I.; Hatzilygeroudis, I. Real-time multiple object tracking using deep learning methods. Neural Comput. Appl. 2023, 35, 89–118. [Google Scholar] [CrossRef]
- Luo, W.; Xing, J.; Milan, A.; Zhang, X.; Liu, W.; Kim, T.-K. Multiple object tracking: A literature review. Artif. Intell. 2021, 293, 103448. [Google Scholar] [CrossRef]
- Ren, L.; Lu, J.; Wang, Z.; Tian, Q.; Zhou, J. Collaborative deep reinforcement learning for multi-object tracking. In Proceedings of the European Conference on Computer Vision (ECCV), Munich, Germany, 8–14 September 2018; pp. 586–602. [Google Scholar]
- Yang, J.; Ge, H.; Su, S.; Liu, G. Transformer-based two-source motion model for multi-object tracking. Appl. Intell. 2022, 52, 9967–9979. [Google Scholar] [CrossRef]
- Kosaraju, V.; Sadeghian, A.; Martín-Martín, R.; Reid, I.; Rezatofighi, H.; Savarese, S. Social-bigat: Multimodal trajectory fore casting using bicycle-gan and graph attention networks. Adv. Neural Inf. Process. Syst. 2019, 32. [Google Scholar]
- Jiao, J.; Tang, Y.-M.; Lin, K.-Y.; Gao, Y.; Ma, A.J.; Wang, Y.; Zheng, W.-S. Dilateformer: Multi-scale dilated transformer for visual recognition. IEEE Trans. Multimed. 2023, 25, 8906–8919. [Google Scholar] [CrossRef]
- Han, K.; Wang, Y.; Tian, Q.; Guo, J.; Xu, C.; Xu, C. Ghostnet: More features from cheap operations. In Proceedings of the IEEE/CVF Conference on Computer Vision and Pattern Recognition, Seattle, WA, USA, 13–19 June 2020; pp. 1580–1589. [Google Scholar]
- Wen, L.; Du, D.; Cai, Z.; Lei, Z.; Chang, M.-C.; Qi, H.; Lim, J.; Yang, M.-H.; Lyu, S. UA-DETRAC: A new benchmark and protocol for multi-object detection and tracking. Comput. Vis. Image Underst. 2020, 193, 102907. [Google Scholar] [CrossRef]
- Girshick, R. Fast r-cnn. In Proceedings of the IEEE International Conference on Computer Vision, Santiago, Chile, 7–13 December 2015; pp. 1440–1448. [Google Scholar]
- Redmon, J.; Divvala, S.; Girshick, R.; Farhadi, A. You only look once: Unified, real-time object detection. In Proceedings of the IEEE Conference on Computer Vision and Pattern Recognition, Las Vegas, NV, USA, 27–30 June 2016; pp. 779–788. [Google Scholar]
- Liu, W.; Anguelov, D.; Erhan, D.; Szegedy, C.; Reed, S.; Fu, C.-Y.; Berg, A.C. Ssd: Single shot multibox detector. In Proceedings of the Computer Vision–ECCV 2016: 14th European Conference, Amsterdam, The Netherlands, 11–14 October 2016; pp. 21–37. [Google Scholar]
- Tang, S.; Andriluka, M.; Andres, B.; Schiele, B. Multiple people tracking by lifted multicut and person re-identification. In Proceedings of the IEEE Conference on Computer Vision and Pattern Recognition, Honolulu, HI, USA, 21–26 July 2017; pp. 3539–3548. [Google Scholar]
- Bergmann, P.; Meinhardt, T.; Leal-Taixe, L. Tracking without bells and whistles. In Proceedings of the IEEE/CVF International Conference on Computer Vision, Seoul, Republic of Korea, 27 October–2 November 2019; pp. 941–951. [Google Scholar]
- Guan, L.; Chen, Y.; Wang, G.; Lei, X. Real-time vehicle detection framework based on the fusion of LiDAR and camera. Elec tronics 2020, 9, 451. [Google Scholar] [CrossRef]
- Yu, F.; Wang, D.; Shelhamer, E.; Darrell, T. Deep layer aggregation. In Proceedings of the IEEE Conference on Computer Vision and Pattern Recognition, Salt Lake City, UT, USA, 18–23 June 2018; pp. 2403–2412. [Google Scholar]
- Szegedy, C.; Liu, W.; Jia, Y.; Sermanet, P.; Reed, S.; Anguelov, D.; Erhan, D.; Vanhoucke, V.; Rabinovich, A. Going deeper with convolutions. In Proceedings of the IEEE Conference on Computer Vision and Pattern Recognition, Boston, MA, USA, 7–12 June 2015; pp. 1–9. [Google Scholar]
- Agarap, A.F. Deep learning using rectified linear units (relu). arXiv 2018, arXiv:1803.08375. [Google Scholar]
- Ramachandran, P.; Zoph, B.; Le, Q.V. Searching for activation functions. arXiv 2017, arXiv:1710.05941. [Google Scholar]
- Fujii, S.; Pham, Q.-C. Realtime trajectory smoothing with neural nets. In Proceedings of the 2022 International Conference on Robotics and Automation (ICRA), Philadelphia, PA, USA, 23–27 May 2022; pp. 7248–7254. [Google Scholar]
- Mao, A.; Mohri, M.; Zhong, Y. Cross-entropy loss functions: Theoretical analysis and applications. In Proceedings of the Inter national Conference on Machine Learning, Honolulu, HI, USA, 23–29 July 2023; pp. 23803–23828. [Google Scholar]
- Souza, M.R.; Pedrini, H. Digital video stabilization based on adaptive camera trajectory smoothing. EURASIP J. Image Video Process. 2018, 2018, 37. [Google Scholar] [CrossRef]
- Lin, T.-Y.; Maire, M.; Belongie, S.; Hays, J.; Perona, P.; Ramanan, D.; Dollár, P.; Zitnick, C.L. Microsoft coco: Common objects in context. In Proceedings of the Computer Vision–ECCV 2014: 13th European Conference, Zurich, Switzerland, 6–12 September 2014; pp. 740–755. [Google Scholar]











| FPS | |||||||
|---|---|---|---|---|---|---|---|
| Baseline | 32.5 | 36.4 | 53.9 | 38.8 | 16.4 | 40.0 | 53.4 |
| +Swish | 31.8 | 37.6 | 55.4 | 39.8 | 17.2 | 41.0 | 54.1 |
| +Swish + MSDA | 30.4 | 37.8 | 55.5 | 40.0 | 17.2 | 41.3 | 54.0 |
| +Swish + MSDA + Block-Efficient | 30.8 | 38.1 | 56.0 | 40.5 | 17.4 | 41.5 | 55.2 |
| MOTA ↑ | IDF1 ↑ | MT ↑ | ML ↓ | IDS ↓ | FPS ↑ | |
|---|---|---|---|---|---|---|
| Baseline | 77.5 | 84.2 | 160 | 4 | 48 | 28.35 |
| Baseline + DLA-efficient | 79.2 | 84.8 | 162 | 3 | 50 | 28.30 |
| Baseline + Joint Loss | 78.4 | 84.4 | 160 | 4 | 46 | 28.90 |
| Baseline + DLA-efficient + Joint Loss | 79.0 | 84.5 | 159 | 4 | 45 | 29.03 |
| MOTA | IDF1 | MT | ML | IDS | FPS | |
|---|---|---|---|---|---|---|
| SORT | 70.3 | 79.6 | 145 | 4 | 65 | 25.10 |
| DeepSORT | 74.5 | 82.4 | 153 | 3 | 55 | 26.88 |
| FairMOT | 77.7 | 84.2 | 160 | 4 | 47 | 28.35 |
| CenterTrack | 77.0 | 84.6 | 155 | 4 | 50 | 27.55 |
| RobMOT | 76.0 | 83.0 | 150 | 5 | 53 | 27.00 |
| MTracker | 75.5 | 82.7 | 152 | 4 | 54 | 26.75 |
| FairMOT-MCVT | 79.0 | 84.5 | 159 | 4 | 45 | 29.03 |
Disclaimer/Publisher’s Note: The statements, opinions and data contained in all publications are solely those of the individual author(s) and contributor(s) and not of MDPI and/or the editor(s). MDPI and/or the editor(s) disclaim responsibility for any injury to people or property resulting from any ideas, methods, instructions or products referred to in the content. |
© 2024 by the authors. Licensee MDPI, Basel, Switzerland. This article is an open access article distributed under the terms and conditions of the Creative Commons Attribution (CC BY) license (https://creativecommons.org/licenses/by/4.0/).
Share and Cite
Li, M.; Liu, M.; Zhang, W.; Guo, W.; Chen, E.; Zhang, C. A Robust Multi-Camera Vehicle Tracking Algorithm in Highway Scenarios Using Deep Learning. Appl. Sci. 2024, 14, 7071. https://doi.org/10.3390/app14167071
Li M, Liu M, Zhang W, Guo W, Chen E, Zhang C. A Robust Multi-Camera Vehicle Tracking Algorithm in Highway Scenarios Using Deep Learning. Applied Sciences. 2024; 14(16):7071. https://doi.org/10.3390/app14167071
Chicago/Turabian StyleLi, Menghao, Miao Liu, Weiwei Zhang, Wenfeng Guo, Enqing Chen, and Cheng Zhang. 2024. "A Robust Multi-Camera Vehicle Tracking Algorithm in Highway Scenarios Using Deep Learning" Applied Sciences 14, no. 16: 7071. https://doi.org/10.3390/app14167071
APA StyleLi, M., Liu, M., Zhang, W., Guo, W., Chen, E., & Zhang, C. (2024). A Robust Multi-Camera Vehicle Tracking Algorithm in Highway Scenarios Using Deep Learning. Applied Sciences, 14(16), 7071. https://doi.org/10.3390/app14167071

