Study on Multi-Span Tension Coupling Relationship of Gravure Printed Electronic Equipment
Abstract
1. Introduction
2. Multi-Span Tension Model
3. Experimental Equipment
4. Coupling Relation Analysis
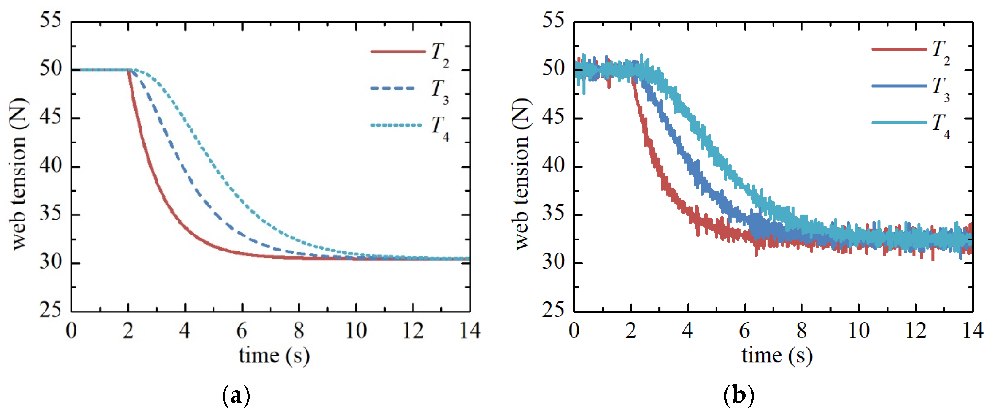
4.1. Varying Web Tension
4.2. Varying Rotational Speed
4.3. Varying Rotational Speed
4.4. Varying Rotational Speed
4.5. Varying Rotational Speed
5. Conclusions
Author Contributions
Funding
Institutional Review Board Statement
Informed Consent Statement
Data Availability Statement
Conflicts of Interest
References
- Shakeel, A.; Maskey, B.; Shrestha, Y. Towards Digital Twin Implementation in Roll-To-Roll Gravure Printed Electronics: Overlay Printing Registration Error Prediction Based on Printing Process Parameters. Nanomaterials 2023, 13, 1008. [Google Scholar] [CrossRef] [PubMed]
- Shan, X.C.; Sunappan, V.; Salam, B.; Lok, B.K. Roll-to-Roll Gravure Printing of Electric Heaters on Polymeric Substrates. In Proceedings of the 2020 IEEE 22nd Electronics Packaging Technology Conference (EPTC), Singapore, 2–4 December 2020; pp. 201–204. [Google Scholar]
- Gong, C.; Tong, S.; Huang, K.; Li, H.; Huang, H.; Zhang, J.; Yang, J. Characterization of Silver Nanoparticle Inks toward Stable Roll-to-Roll Gravure Printing. Flex. Print. Electron. 2022, 7, 014003. [Google Scholar]
- Gong, C.; Tong, S.; Huang, K.; Li, H.; Huang, H.; Zhang, J.; Yang, J. Flexible Planar Heterojunction Perovskite Solar Cells Fabricated via Sequential Roll-to-Roll Microgravure Printing and Slot-Die Coating Deposition. Sol. RRL 2019, 4, 1900204. [Google Scholar] [CrossRef]
- Park, J.C.; Jeon, S.W.; Nam, K.S.; Liu, L.; Sun, J.; Kim, C.H. Tension Control of Web of Winder Span Using Adaptive Gain Control Method. Jpn. J. Appl. Phys. 2014, 53, 05HC11. [Google Scholar] [CrossRef]
- Raul, P.R.; Manyam, S.G.; Pagilla, P.R.; Darbha, S. Output Regulation of Nonlinear Systems with Application to Roll-to-Roll Manufacturing Systems. IEEE/ASME Trans. Mechatron. 2015, 20, 1089–1098. [Google Scholar] [CrossRef]
- Raul, P.; Pagilla, P. Design and Implementation of Adaptive PI Control Schemes for Web Tension Control in Roll-to-Roll (R2R) Manufacturing. Isa Trans 2015, 56, 276–287. [Google Scholar] [CrossRef] [PubMed]
- Gassmann, V.; Knittel, D.; Pagilla, P.R.; Bueno, M.A. Fixed-Order H∞ Tension Control in the Unwinding Section of a Web Handling System Using a Pendulum Dancer. IEEE Trans. Control Syst. Technol. 2011, 20, 173–180. [Google Scholar] [CrossRef]
- Eum, S.; Lee, J.; Nam, K. Robust Tension Control of Roll-to-Roll Winding Equipment Based on a Disturbance Observer. In Proceedings of the IECON 2016-42nd Annual Conference of the IEEE Industrial Electronics Society, Florence, Italy, 23–26 October 2016; pp. 625–630. [Google Scholar]
- Ponniah, G.; Zubair, M.; Doh, Y.H.; Choi, K.H. Fuzzy Decoupling to Reduce Propagation of Tension Disturbances in Roll-to-Roll System. Int. J. Adv. Manuf. Technol. 2014, 71, 153–163. [Google Scholar] [CrossRef]
- Choi, K.; Zubair, M.; Ponniah, G. Web Tension Control of Multispan Roll-to-Roll System by Artificial Neural Networks for Printed Electronics. Proc. Inst. Mech. Eng. Part C J. Mech. Eng. Sci. 2013, 227, 2361–2376. [Google Scholar] [CrossRef]
- Tran, T.; Choi, K. A Backstepping-Based Control Algorithm for Multi-Span Roll-to-Roll Web System. Int. J. Adv. Manuf. Technol. 2014, 70, 45–61. [Google Scholar] [CrossRef]
- Wang, Z.; Liu, S.; He, K.; Shi, W.; Chen, S. Design Decoupling Controller for Rewinding System of the Gravure Printing Machines. In Proceedings of the 2020 IEEE 5th Information Technology and Mechatronics Engineering Conference (ITOEC), Chongqing, China, 12–14 June 2020; pp. 908–912. [Google Scholar]
- He, K.; Liu, S.; Shi, W.; Wang, Z. Decoupling Control for Rewinding Tension System of the Roll-to-Roll Printing Equipment. Packag. Eng. 2020, 41, 209–216. [Google Scholar]
- He, Z.; Chen, Z.; Huang, X.; Ma, D. A Reduced-Order Observer-Based LQR Control Method for Roll-to-Roll Systems. J. Control Eng. Appl. Inform. 2023, 25, 12–20. [Google Scholar]
- Kim, S.; Kim, D.; Ahn, C. Observer-Based Critically Damped Feedback Systems for Nonlinear Roll-to-Roll Printing Machine Applications Under Decentralized Strategy. Int. J. Robust Nonlinear Control 2024, 34, 4343–4362. [Google Scholar] [CrossRef]
- Jeon, S.; Kim, C.; Kim, C. Fast Stabilization of Web Tension in Drying Process of Roll-to-Roll Printing Equipment for Printed Electronics. J. Mech. Sci. Technol. 2015, 29, 5069–5074. [Google Scholar] [CrossRef]
- Dwivedula, R.; Pagilla, P. Effect of Backlash on Web Tension in Roll-to-Roll Manufacturing Systems: Mathematical Model, Mitigation Method and Experimental Evaluation. In Proceedings of the 2013 IEEE International Conference on Control Applications (CCA), Hyderabad, India, 28–30 August 2013; pp. 1087–1092. [Google Scholar]
- Ma, L.E.; Mei, X.S.; Li, Y.F. Mechanical Behaviors of Guide Roller in Web Transfer System. J. Xi’an Jiaotong Univ. 2014, 48, 86–91. [Google Scholar]
- Ma, L.; Kong, F.; Cheng, G.; Sun, J.; Wu, J.; Liu, S. The Influence of Web Moving Speed on Flow Field Characteristics of the Entrained Air. Packag. Eng. 2017, 38, 21–24. [Google Scholar]
- He, K.; Liu, S.; Wang, K.; Mei, X. Thermal Characteristics of Plastic Film Tension in Roll-to-Roll Gravure Printed Electronics. Appl. Sci. 2018, 8, 312. [Google Scholar] [CrossRef]
- He, K.; Liu, S.; Wang, K.; Mei, X. Effect of Environment Temperature on Web Tension in Shaft-Less Drive Gravure Printing System. Adv. Mech. Eng. 2019, 11, 1–10. [Google Scholar] [CrossRef]
- Jeong, J.; Gafurov, A.N.; Park, P.; Kim, I.; Kim, H.C.; Kang, D.; Oh, D.; Lee, T.M. Tension Modeling and Precise Tension Control of Roll-to-Roll System for Flexible Electronics. Flex. Print. Electron. 2021, 6, 1–13. [Google Scholar] [CrossRef]
- Wang, M.; Yang, J.; Zhang, X.; Pan, Y. Analytical Modeling of Temperature Field and Thermal Error of Spindle System of Precision Boring Machine. J. Inn. Mong. Univ. Technol. (Nat. Sci. Ed.) 2023, 42, 445–453. [Google Scholar]
- Shao, M.Y.; Wu, J.M.; Wang, Y.; Fang, K.; Guo, X.X. Research on Modeling Method of Winding Tension System for Gravure Printing Machine. In Proceedings of the 2016 Symposium on Piezoelectricity, Acoustic Waves, and Device Applications (SPAWDA), Xi’an, China, 21–24 October 2016; pp. 110–114. [Google Scholar]
- Kang, H.K.; Lee, C.W.; Shin, K.H.; Kim, S.C. Modeling and Matching Design of a Tension Controller Using Pendulum Dancer in Roll-to-Roll Systems. In Proceedings of the 2010 IEEE Industry Applications Society Annual Meeting, Houston, TX, USA, 3–7 October 2010; pp. 1–8. [Google Scholar]
- Zhou, C.; Chen, J.; Yin, Z. Modeling, Simulation and Experiment of Tension Control in Film Non-Continuous Unwinding System. Electr. Autom. 2013, 35, 9–11. [Google Scholar]











| Parameter | Description |
|---|---|
| Web length in the i-th span | |
| Web length inside the i-th drying device | |
| Web tension in the i-th span | |
| The angular velocity of the i-th printing roller | |
| The radius of the i-th printing roller | |
| Young’s modulus at ambient temperature | |
| Young’s modulus at drying temperature | |
| The cross-sectional area of the web |
| Parameter | Value | Unit |
|---|---|---|
| Groups of printing unit | 4 | group |
| Maximum web width | 300 | mm |
| Printing roller diameter | 60 | mm |
| Tension range | 10~150 | N |
| Maximum unwinding and rewinding Diameter | 350 | mm |
| Web material | PET | / |
| Web length in a span | 350 | mm |
| Cross-section area of web | 10 | mm2 |
| Young’s modulus of PET(25 °C) | 4.89 × 109 | Pa |
Disclaimer/Publisher’s Note: The statements, opinions and data contained in all publications are solely those of the individual author(s) and contributor(s) and not of MDPI and/or the editor(s). MDPI and/or the editor(s) disclaim responsibility for any injury to people or property resulting from any ideas, methods, instructions or products referred to in the content. |
© 2024 by the authors. Licensee MDPI, Basel, Switzerland. This article is an open access article distributed under the terms and conditions of the Creative Commons Attribution (CC BY) license (https://creativecommons.org/licenses/by/4.0/).
Share and Cite
He, K.; He, P.; Li, S.; Li, J.; Wei, X. Study on Multi-Span Tension Coupling Relationship of Gravure Printed Electronic Equipment. Appl. Sci. 2024, 14, 7054. https://doi.org/10.3390/app14167054
He K, He P, Li S, Li J, Wei X. Study on Multi-Span Tension Coupling Relationship of Gravure Printed Electronic Equipment. Applied Sciences. 2024; 14(16):7054. https://doi.org/10.3390/app14167054
Chicago/Turabian StyleHe, Kui, Pengbo He, Shifa Li, Jian Li, and Xingmei Wei. 2024. "Study on Multi-Span Tension Coupling Relationship of Gravure Printed Electronic Equipment" Applied Sciences 14, no. 16: 7054. https://doi.org/10.3390/app14167054
APA StyleHe, K., He, P., Li, S., Li, J., & Wei, X. (2024). Study on Multi-Span Tension Coupling Relationship of Gravure Printed Electronic Equipment. Applied Sciences, 14(16), 7054. https://doi.org/10.3390/app14167054

