Next Article in Journal
Contact Force and Friction of Generally Layered Laminates with Residual Hygrothermal Stresses under Mode II In-Plane-Shear Delamination
Previous Article in Journal
A Method for Extracting Dynamic Vortex Acoustic Signal Characteristics in Island and Reef Channels Based on Time-Reversal Mirrors
 
 
Font Type:
Arial Georgia Verdana
Font Size:
Aa Aa Aa
Line Spacing:
Column Width:
Background:
Article

Research on Maximum Longitudinal Slope and the Length Limit of Expressways Based on the Performance of Pure Electric Heavy-Duty Vehicles

School of Civil Engineering and Transportation, Northeast Forestry University, Harbin 150040, China
*
Author to whom correspondence should be addressed.
Appl. Sci. 2024, 14(16), 7043; https://doi.org/10.3390/app14167043
Submission received: 12 July 2024 / Revised: 9 August 2024 / Accepted: 9 August 2024 / Published: 11 August 2024

Abstract

With the global energy transition and advancements in electric vehicle technology, the use of pure electric heavy-duty vehicles in logistics is rising. However, current highway grade design standards do not fully consider their performance characteristics, making it urgent to establish appropriate grade limits. This study aims to explore the maximum grade and the critical length suitable for pure electric heavy-duty vehicles on highways. A co-simulation platform for pure electric heavy-duty vehicles was built using TruckSim and MATLAB/Simulink. A comparative analysis was conducted on the climbing characteristics of pure electric heavy-duty vehicles and traditional fuel-powered vehicles. Additionally, the climbing speed decay degree (DV) was introduced to investigate the speed variation characteristics of pure electric heavy-duty vehicles under the joint influence of multiple factors. These findings serve as the basis for determining the maximum grade and the critical length applicable to pure electric heavy-duty vehicles on highways. The research findings indicate that, compared to traditional fuel-powered heavy-duty vehicles, pure electric heavy-duty vehicles exhibit smoother acceleration and deceleration processes, smaller speed fluctuations, higher travel speeds, and greater equilibrium speed values during uphill climbing. The power-to-weight ratio has a greater impact on the climbing speed of pure electric heavy-duty vehicles, while the initial vehicle speed has a relatively minor effect. It was observed that the dynamic performance of pure electric heavy-duty vehicles does not align with the maximum grade stipulated by current regulations in China. These research findings provide important reference points for road longitudinal section design and vehicle management in road freight enterprises.

1. Introduction

Longitudinal slope design, as an integral component of highway geometric design, is not only correlated with roadway mileage, engineering investment, and natural environment but also directly impacts vehicle travel safety, traffic efficiency, and transportation benefits. In recent years, there has been a significant increase in the proportion of heavy-duty vehicles on Chinese expressways. However, these heavy-duty vehicles often trigger traffic accidents due to the lack of coordination between their operating speeds and the road alignment. Among these factors, the unreasonable longitudinal slope design of highways stands out as a primary determinant compromising the safety of heavy-duty vehicle operations [1]. Therefore, researching the climbing speed characteristics of heavy-duty vehicles on expressways and determining reasonable longitudinal slope design criteria are of crucial significance in reducing traffic accidents.
Most of the research on highway longitudinal slope design has focused on studying the factors that influence the climbing performance of dominant vehicle types, as well as on developing accurate predictive models for vehicle operating speeds on slopes. The American Association of State Highway and Transportation Officials (AASHTO) [2] conducted research using vehicles traveling at 120 km/h as the subject. Based on the analysis of vehicle forces, they established a comprehensive climbing performance curve and constructed a relationship model between longitudinal slope gradient, slope length, and speed. Castillo-Manzano et al. [3] studied the performance and safety of vehicle climbing under different loading conditions. Brilon et al. [4] conducted relevant research by simulating traffic modeling on uphill sections. They concluded that on uphill sections of highways, traffic volume is primarily influenced by the gradient, with the influence of slope length being relatively minor. However, both gradient and slope length have an impact on the operating speed of road traffic flow. Bonneson et al. [5] discovered through their research that factors such as road conditions, traffic conditions, and environmental conditions can all have a significant impact on vehicle operational characteristics. Among these factors, the vertical curve radius, longitudinal slope gradient, and longitudinal slope length within road design parameters exhibit considerable influence. D’Andrea et al. [6] employed clustering analysis to study the relationship between the horizontal and vertical characteristics of road alignment and operating speed. Arkatar et al. [7] found that factors such as speed and slope length have a significant impact on speed variations. Yan et al. [8] employed linear composite indicators to describe road alignment continuity and determined the range influencing operating speeds based on drivers’ visual field and vehicle dynamic characteristics. Kordani et al. [9] utilized the CarSim and TruckSim vehicle simulation software to investigate the impact of varying curve radii, design speeds, and longitudinal slope gradients on the lateral stability of passenger cars and single-unit trucks. Misaghi et al. [10] established a predictive model for the driving speed of heavy trucks on two-lane roads by analyzing the operational speed data of these vehicles. Børnes et al. [11] developed a model for the operating speed of heavy trucks on road sections with uphill and downhill slopes. Xu Jin-liang et al. [12] established a predictive model for vehicle operating speed with longitudinal slope gradient and slope length as independent variables through the study of the relationship between vertical alignment factors and vehicle operating speed. Rakha et al. [13] developed a heavy truck operating speed model on ramps using the TruckSim software but did not consider the impact of vertical alignment on vehicle operating speed. Wang et al. [14] conducted field measurements and analyses of operating speeds on 54 different sections of various highways, establishing a relationship model between the three-dimensional spatial curvature, longitudinal slope, and operating speeds of highways. Himes et al. [15], using econometric modeling methods, considered unrelated variables, multicollinearity, omitted variable bias, and endogeneity bias and analyzed the relationship between the speed model and highway geometric design parameters and maximum speed limits.
Additionally, some scholars have formulated threshold values for highway longitudinal slopes under defined conditions. Lan et al. [16] studied the speed characteristics of trucks under different service levels, considering various truck power-to-weight ratios, gradients, and slope lengths. They determined critical slope lengths corresponding to different gradients and proposed that a speed reduction of 15 km/h for trucks should be used as the critical condition for setting climbing lanes. Torbic et al. [17] determined critical slope lengths based on road geometric alignment, but they did not consider the influence of vehicle performance. Yi-fei Z et al. [18], based on the theory of vehicle dynamics and analysis of vehicle downhill processes, calculated the critical slope length values for various longitudinal slope gradients. Donnell et al. [19] established the maximum superelevation and speed limits under various longitudinal slope conditions. Fwa et al. [20] utilized artificial intelligence techniques, specifically genetic algorithms, to improve the design of highway vertical curves, ultimately controlling indicators such as longitudinal slope length, gradient, and vertical curve radius with the goal of reducing the cost of highway construction. GUO et al. [21] obtained the acceleration and deceleration performance curves for the current predominant types of freight vehicles on Chinese highways and proposed corresponding threshold values for longitudinal slope indicators on highways.
In addition to conducting direct research on highway longitudinal slope design, some scholars have also explored the three-dimensional geometric alignment of highways, driver behavior characteristics, and the differences between autonomous and manual driving in order to more accurately describe the operational characteristics of vehicles on expressways. Kuhn et al. [22] employed interactive visual techniques and spline curves to conduct a real-time dynamic three-dimensional design of highway geometric alignment. Gibreel et al. [23] recognized that traditional two-dimensional highway geometric designs often only consider the impact of individual design parameters on highway safety. However, the actual physical safety of highways results from the coupled effects of geometric design parameters in three dimensions: longitudinal, transverse, and vertical. Therefore, they attempted to establish a three-dimensional model for concave vertical curves and flat road sections. Alfredo García et al. [24] conducted tests using level 2 autonomous vehicles on various parameters of flat curves. They discovered a strong relationship between the maximum speed of autonomous driving and the geometric shape of the curve. Kobryn [25,26] analyzed the application effectiveness of three different parameter polynomial transition curves on vertical curves. Through analysis, they found that using polynomial curves for vertical curve design offers better adaptability to the environment compared to traditional parabolic curves. It provides certain advantages in ensuring visibility safety and reducing fuel consumption economy. Tamar et al. [27] analyzed driver characteristics in different scenarios using driving simulation methods. They found that changes in shoulder width significantly affect drivers’ speed perception ability and alter their driving behavior only when guardrails are present. Konstantopoulos [28] analyzed driver gaze patterns in different scenarios using simulation driving techniques. Semeida [29] and Singh D [30] conducted separate studies investigating the impact of road-related parameters such as shoulder width, median strip width, and roadside clear zone width on the operating speeds of passenger cars on highways.
In summary, existing research primarily focuses on investigating the influences of road geometry, vehicle characteristics, driver behavior, and other relevant factors on the climbing performance of dominant vehicle types on highways. This research employs theoretical analysis or simulation methods to establish design criteria and limits for highway longitudinal slopes. However, research specifically targeting new energy vehicles, especially new energy heavy-duty vehicles, remains relatively scarce. This study focuses on pure electric heavy-duty vehicles and employs a co-simulation technique using TruckSim and Matlab/Simulink. It involves a comparative analysis with traditional fuel-powered vehicles and an exploration of the climbing performance of pure electric heavy-duty vehicles, aiming to establish suitable design criteria and limits for highway longitudinal slopes specifically tailored to such vehicles.

2. Co-Simulation System

To investigate the climbing characteristics of pure electric heavy-duty vehicles, it is necessary to establish a highly precise whole-vehicle model. This paper constructs vehicle, road, and driver models based on TruckSim while also utilizing MATLAB/Simulink to build models of the driving motor and power battery. Through data exchange, a co-simulation platform for pure electric heavy-duty vehicles is established.

2.1. TruckSim Model

2.1.1. The Road Model

The establishment of the road model is based on the characteristics of typical high-grade highway longitudinal slope sections, determining the coordinates of the road centerline and the road width. The design criteria comply with the relevant provisions of the Chinese road standard “Design Specification for Highway Alignment” (hereinafter referred to as the “Specification”) [31]. The road model simulates the environment of one-way travel on one side of a two-way, four-lane highway, with a lane width of 3.75 m and a total length of 3.1 km for the section. Asphalt is commonly used for road surfaces on Chinese highways; thus, the road surface material is set to asphalt, with a friction coefficient of 0.6.
The longitudinal profile consists of straight lines (uniform slope lines or straight slope sections) and vertical curves, as shown in Figure 1. When the vehicle’s front axle passes the starting point of a vertical curve, the vehicle has already started climbing. Ignoring the vehicle operation within the vertical curve segment before the slope may lead to an overestimation of the vehicle’s predicted speed. Therefore, the investigation of the road’s longitudinal slope grade suitable for the climbing ability of pure electric heavy-duty vehicles and its corresponding maximum longitudinal slope length should commence from the starting point of the vertical curve.
Considering the visual characteristics of road users and driving comfort, the experimental road adopts a combination of straight horizontal alignments and sag vertical curves in the longitudinal profile. Regarding the sag vertical curves, to ensure the authenticity of the experimental results and to align with the design practices of industry professionals, the lengths of the sag vertical curves are set to the normal value specified in the “Specification” for roads of different design speeds, as shown in Table 1.
The text simulates a one-way travel environment on one side of a two-way, four-lane highway. Therefore, the sag vertical curve profile adopts the commonly used parabolic curve profile for high-grade roads, as shown in Equation (1):
y = x 2 2 R
In the equation, x is the horizontal distance from any point on the vertical curve to the starting point of the curve measured in meters. R is the radius of the sag vertical curve measured in meters.
Under the constraint of controlling the length of the vertical curve, the coordinates of the intersection point between the vertical curve and the uphill road segment, as well as the radius R of the vertical curve, are obtained, as shown in Equation (2):
x R = i p
In the equation, i p represents the slope gradient of the experimental road measured as a percentage.
According to Equation (1), we can calculate the coordinates of points on the vertical curve. When the design speeds of the experimental road are 120, 100, and 80 km/h and the longitudinal slope gradient of the vertical curve is 3%, the arrangement of the vertical curves is as it is shown in Figure 2.
According to the “Specification” regarding the maximum grade values for roads with different design speeds, we grouped roads with various design speeds and established road models for experimentation. The longitudinal gradient of each road segment in these groups starts at 1.0% and gradually increases by increments of 0.5% until reaching the maximum grade specified in the “Specification” for roads with different design speeds, as shown in Table 2.

2.1.2. The Vehicle Model

The research object of this paper is a 6 × 4 pure electric heavy-duty vehicle (where 6 × 4 indicates that the vehicle has a total of six wheels, of which four are drive wheels, meaning they receive power from the engine). The basic parameters of the entire vehicle are shown in Table 3.
This study involves both conventional fuel-powered and pure electric heavy-duty vehicles. For the conventional fuel-powered vehicle, the powertrain is modeled using the built-in models of the TruckSim software, with the main parameters as follows: engine-rated power of 330 kW, rated speed of 1800 rpm, maximum torque of 2000 N∙m, and an 18-speed manual transmission (18 Spd.MT). Figure 3 shows the torque–speed curve of the conventional fuel-powered vehicle at different throttle openings. For the pure electric heavy-duty vehicle, since the TruckSim 2019 software does not include a built-in module for such vehicles, the powertrain is modeled using Matlab, while the other systems are modeled using TruckSim. The complete model of the pure electric heavy-duty vehicle is then constructed through co-simulation between Matlab and TruckSim.

2.1.3. The Driver Model

The driver model utilizes closed-loop control, coupled with both the road and vehicle models, forming a human–vehicle–road closed-loop system. Within this system, the car and road are regarded as the controlled elements. The TruckSim driver model comprises primary control modules, including steering control, speed control, and braking control. These modules collaborate to simulate the driving behavior of actual vehicles during uphill driving processes.
Steering control ensures that the vehicle follows the predetermined path, guaranteeing that the vehicle travels along the intended route. Speed control regulates the entry speed of the vehicle. In this simulation, the entry speed is set to 80 km/h, 100 km/h, and 120 km/h. On horizontal road segments, the vehicle travels at the entry speed. When the vehicle encounters an uphill segment, the speed naturally decreases from the entry speed due to limited power output. No braking measures are applied to ensure that the vehicle speed is not influenced by braking.
The steering control is used to manipulate the vehicle’s trajectory, ensuring it follows the predetermined route. Speed control, on the other hand, is responsible for managing the vehicle’s initial velocity. In this simulation, we determined the initial velocities of experimental vehicles on roads with different design speeds based on the recommendations for initial velocities of heavy-duty vehicles in the Chinese highway standard “Specifications for Highway Safety Audit” [32]. Taking into account the characteristic that the speed of heavy-duty vehicles decreases faster when entering longitudinal slope sections with higher initial speeds, we set the initial velocities of experimental vehicles on roads with different design speeds as follows: for roads with a design speed of 80 km/h, the initial velocity is set at 65 km/h; for roads with a design speed of 100 km/h, the initial velocity is set at 75 km/h; and for roads with a design speed of 120 km/h, the initial velocity is set at 80 km/h. This setup not only complies with the standard requirements but also considers the speed variation characteristics of heavy-duty vehicles on longitudinal slope sections with different design speeds during actual operations. When vehicles are traveling on horizontal road sections, they will maintain the set initial velocity. However, when vehicles are traveling on uphill sections, the limited output of vehicle power will cause the speed to gradually decrease based on the set initial velocity, without the need for braking measures, to ensure that the vehicle speed is not affected by braking.

2.2. MATLAB/Simulink Model

2.2.1. The Drive Motor Model

The motor is the core component of electric vehicles. Generally, there are three methods for motor modeling: magnetic field modeling, motor and its drive system modeling, and motor external characteristic modeling. Since this study does not involve the working principles of the motor, we have chosen the modeling method based on the motor’s external characteristics. We obtained torque–speed characteristic curves and efficiency characteristic curves of the selected motor based on experimental data, as shown in the following Figure 4 and Figure 5, and used them as the basis for model establishment. Table 4 presents the basic parameters of the selected drive motor.

2.2.2. The Power Battery Model

Common equivalent circuit models for power batteries encompass the Randle model and the Rint model, among others. Notably, the Rint model demonstrates superior statistical characteristics in terms of voltage error. Hence, this study is grounded on the Rint model for modeling energy storage systems. In the Rint model, the power battery model is equivalently represented as a circuit consisting of the battery’s internal resistance R b a t in series with an open-circuit voltage source U o c [33].
The output voltage U b a t of the power battery is
U b a t = U o c I b a t R b a t
In the equation, U o c is the open-circuit voltage of the power battery, I b a t is the current flowing through the power battery, R b a t is the internal resistance of the power battery, and U b a t is the output voltage of the power battery.
Based on the ampere-hour integration method, the state of charge (SOC) of the energy storage system is calculated, as shown in Equation (4):
S O C = S O C s n b t I b a t d t Q
In the equation, S O C s is the initial state of charge of the energy storage system, Q is the total capacity of the energy storage system, and n b t is the number of batteries connected in series in the energy storage system. Other symbols are as defined in the previous context.

2.3. The Co-Simulation Platform

Currently, TruckSim only provides simulation models for conventional vehicles. To model pure electric heavy-duty vehicles, it is necessary to modify the built-in vehicle powertrain model by disconnecting the internal power system and using an external Simulink model to provide the power, thereby constructing a pure electric heavy-duty vehicle model. Specifically, this is achieved by changing the vehicle’s drivetrain in TruckSim to an external differential and directly applying the motor torque from the Simulink motor model to the wheels or axles. The configuration process in TruckSim is illustrated in Figure 6.
To achieve the co-simulation of TruckSim and Simulink, it is necessary to configure the input and output interfaces between the TruckSim vehicle model and Simulink. In TruckSim, there are two methods for externally applying torque to the wheels: the hub motor drive scheme and the wheel-side motor drive scheme. Their input interface settings are IMP_MYUSM_L1 and IMP_MY_OUT_D1_L, respectively. The former applies external torque to the non-sprung mass, while the latter applies it to the half-shaft. Since this experiment involves a hub-driven electric vehicle, the interface settings are shown in Table 5.

3. Experimental Results and Analysis

There is a significant difference in power performance between large heavy-duty vehicles and small passenger cars. When driving uphill on steep slopes, drivers of heavy-duty vehicles typically increase the accelerator pedal travel before ascending in order to increase the vehicle’s kinetic energy and enhance its climbing ability. Considering the performance characteristics of pure electric heavy-duty vehicles and actual survey findings, the simulation test is set as follows: the driver begins to increase the accelerator pedal travel to full stroke 100 m before reaching the vertical curve and maintains this state until the vehicle speed decreases to zero or the vehicle travels 3000 m, at which point the simulation test ends.

3.1. Analysis of Climbing Characteristics of Pure Electric Heavy-Duty Vehicles

Existing research primarily focuses on conventional fuel-powered vehicles and analyzes their speed variation during the climbing process. This section will compare the speed variation patterns of conventional fuel-powered and pure electric heavy-duty vehicles during climbing. Specifically, this study will conduct simulation tests of vehicles at design speeds of 80 km/h (with grades ranging from 1.0% to 5.0%), 100 km/h (with grades ranging from 1.0% to 4.0%), and 120 km/h (with grades ranging from 1.0% to 3.0%) to gain a deeper understanding of the climbing characteristics of pure electric heavy-duty vehicles.
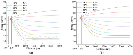
A simulation test was conducted on the vehicle’s performance at a design speed of 80 km/h on a road with grades ranging from 1.0% to 5.0%. As shown in Figure 7, the horizontal axis at −100 marks the starting point of the test road, 0 marks the beginning of the vertical curve, and 170 m marks the starting point of the graded section.
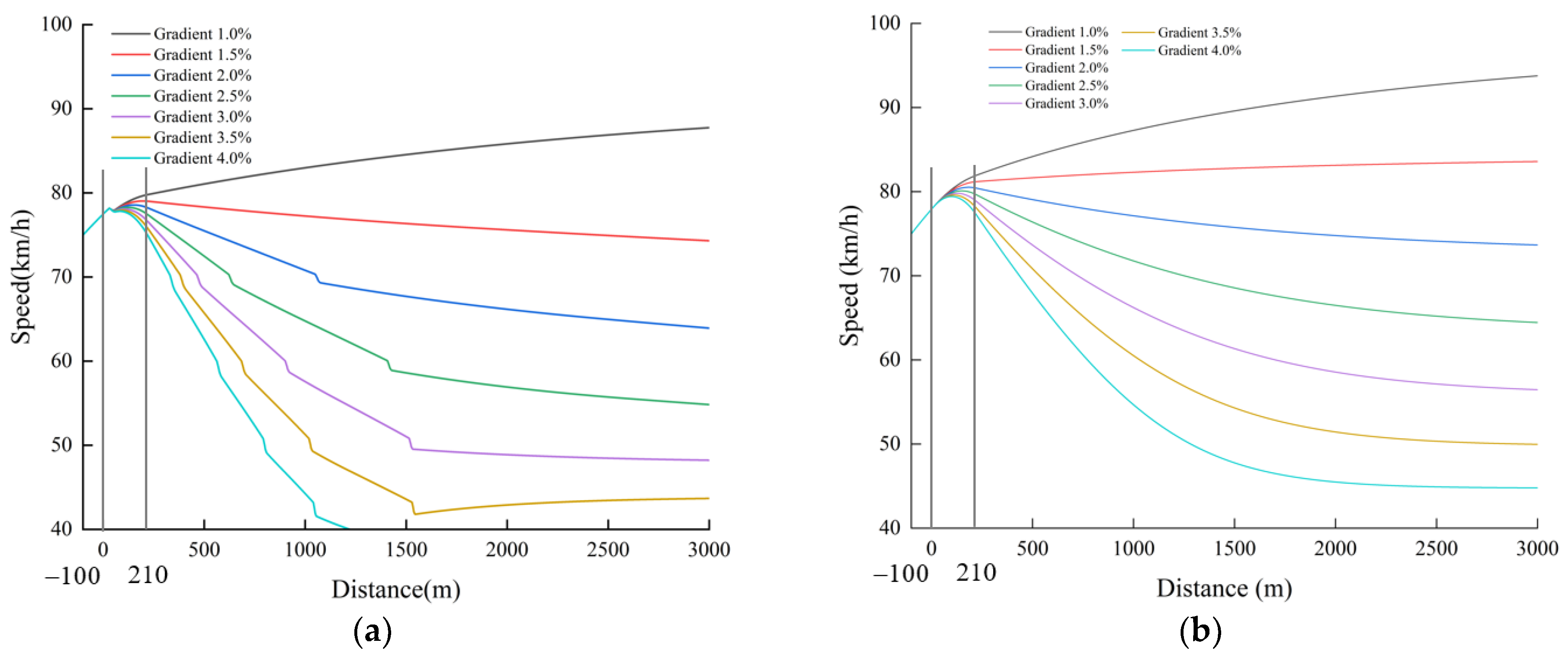
A simulation test was conducted on the vehicle’s performance at a design speed of 100 km/h on a road with grades ranging from 1.0% to 4.0%. As shown in Figure 8, the horizontal axis at −100 marks the starting point of the test road, 0 marks the beginning of the vertical curve, and 210 m marks the starting point of the graded section.
A simulation test was conducted on the vehicle’s performance at a design speed of 120 km/h on a road with grades ranging from 1.0% to 3.0%. As shown in Figure 9, the horizontal axis at −100 marks the starting point of the test road, 0 marks the beginning of the vertical curve, and 250 m marks the starting point of the graded section.
From Figure 7, it can be observed that there are significant differences in the speed variation of heavy-duty vehicles under different longitudinal slope conditions. When the slope is 1.0% and 1.5%, heavy-duty vehicles can accelerate from the starting point to 3000 m, but their longitudinal acceleration gradually decreases. When the slope is between 2.0% and 5.0%, heavy-duty vehicles accelerate on the horizontal road segment and enter the vertical curve segment. However, due to the influence of slope resistance, the longitudinal acceleration of the vehicle begins to decrease until the power is insufficient to balance the slope resistance, at which point the vehicle begins to decelerate. After traveling a certain distance, the speed of the vehicle no longer decreases, remaining in a balanced state, which is referred to as the equilibrium speed. Each slope corresponds to an equilibrium speed. Before reaching the equilibrium speed, the steeper the slope, the faster the speed decreases, and the smaller the corresponding equilibrium speed value. Moreover, the distance required to reach the equilibrium speed becomes shorter as the slope increases.
Pure electric and traditional fuel-powered heavy-duty vehicles exhibit significant heterogeneity in dynamic performance. As illustrated in Figure 7, Figure 8 and Figure 9, under the same longitudinal slope conditions, compared to traditional fuel-powered heavy-duty vehicles, the acceleration and deceleration processes of pure electric heavy-duty vehicles are smoother, with smaller fluctuations in driving speed, higher speed at the same distance, and larger equilibrium speed values. The pure electric heavy-duty vehicle studied in this paper employs hub motor drive configurations, where each motor is driven by a corresponding fixed-ratio reducer. This design eliminates the traditional clutch, automatic transmission, and differential, thereby improving transmission efficiency. Furthermore, the motors possess the characteristics of rapid response and high torque output, enabling them to provide the required torque quickly during climbing, resulting in smoother acceleration and deceleration processes and maintaining higher driving speeds. In contrast, the engine of traditional fuel-powered heavy-duty vehicles requires a certain amount of time to respond to the action of the accelerator pedal, necessitating a shift from a high gear to a low gear and increasing torque to overcome slope resistance. The gear shifting is particularly noticeable when driving on steep slopes, as shown in Figure 7a, where the acceleration and deceleration processes of traditional fuel-powered heavy-duty vehicles are unstable with a noticeable jerkiness, and the speed at which they reach a stable state is relatively low.
In addition to the lateral comparison of the climbing speed variations of traditional fuel-powered and pure electric heavy-duty vehicles under the same design speed road conditions, it is also necessary to conduct a vertical study on the climbing speed characteristics of pure electric heavy-duty vehicles under different design speed road conditions.
As depicted in Figure 7, Figure 8 and Figure 9, under different design speed road conditions, the speed variation trend of pure electric heavy-duty vehicles at the same slope shows a distinct similarity. When slope i 1.5 % , the vehicle accelerates throughout the test section. Conversely, when i > 1.5 % , the vehicle reaches its maximum speed in the vertical curve section and then decelerates continuously. The initial speed of the vehicle corresponding to different design speeds of the road varies, but at the same slope, the final speed of the vehicle in the test section is almost unaffected. Consequently, the initial speed only affects the vehicle’s acceleration and deceleration. At the same slope, the smaller the initial speed, the greater the acceleration and deceleration of the vehicle in the longitudinal slope section, and the shorter the driving distance corresponding to the equilibrium speed.
Based on the above analysis, it can be concluded that as the slope length increases, the climbing speed of pure electric heavy-duty vehicles tends to stabilize, but the stable speed of heavy-duty vehicles is often low, which not only affects traffic efficiency but also leads to psychological fluctuations among the drivers of following vehicles, increasing the risk of traffic accidents. Therefore, it is necessary to appropriately limit the maximum grade and critical length to control the speed loss of vehicles during climbing within a suitable range. Current longitudinal slope design primarily considers traditional fuel-powered heavy-duty vehicles. However, when traveling the same distance at the same slope, the speed variation difference between pure electric and traditional fuel-powered heavy-duty vehicles is significant. Therefore, it is necessary to reconsider the design indicators and limits for highway longitudinal slopes that are suitable for pure electric heavy-duty vehicles.

3.2. Comprehensive Analysis of Factors Influencing Climbing Characteristics

During the uphill journey, the speed of heavy-duty vehicles tends to decrease to varying degrees, causing disturbance to trailing vehicles and potentially leading to severe rear-end accidents [34]. Hence, it is customary to regulate the minimum travel speed on inclines to ensure road traffic safety and enhance highway capacity and service levels. Based on the definition of vehicle speed coordination in the “Highway Project Safety Evaluation Code” (JTG B05-2015), this paper introduces the climbing speed decay degree (DV) to precisely analyze the influencing factors of uphill characteristics for pure electric heavy-duty vehicles. This index not only characterizes the degree of speed variation during uphill travel but also reflects the magnitude of speed changes throughout the uphill process, thereby restraining the minimum travel speed on inclines. The formula for this index is as follows:
D V = v 1 v 2 v 1
In the equation, v 1 represents the maximum driving speed of vehicles on vertical curves and uphill sections, while v 2 denotes the minimum t driving speed of vehicles on uphill sections.
Existing studies have predominantly focused on the uphill speed characteristics of heavy-duty vehicles, primarily traditional fuel-powered ones, from a single-factor perspective. These studies typically examine the individual impacts of factors such as slope, slope length, load weight, specific power, and initial climbing speed on the variation in vehicle climbing speed. However, in actual uphill scenarios, the speed variation of vehicles is influenced by multiple factors simultaneously. Therefore, this study investigates the speed variation characteristics of pure electric heavy-duty vehicles under the joint influence of multiple factors. Utilizing simulation-derived data, interpolation methods are applied in MATLAB(R2018a) software to process the data and generate three-dimensional visualizations, as depicted in the following figure, to more accurately and vividly depict the variation pattern of vehicle climbing speed under the combined effects of multiple factors.
Existing research primarily focuses on traditional fuel-powered heavy-duty vehicles from the perspective of single factors, analyzing the impact of individual factors, such as grade, slope length, load weight, power-to-weight ratio, and initial climbing speed, on vehicle climbing speed changes [3,5,7]. However, in actual climbing processes, the change in vehicle climbing speed is influenced by multiple factors collectively. Therefore, this paper investigates the characteristics of climbing speed changes in pure electric heavy-duty vehicles under the combined influence of multiple factors. Based on simulation data, interpolation methods are employed to process the data using MATLAB software. The climbing speed decay degree (DV) is introduced to represent the speed loss during vehicle climbing, resulting in a three-dimensional graph as shown below, which more accurately and vividly reflects the pattern of vehicle climbing speed changes under the combined effect of multiple factors.
Based on the analysis above, it is evident that when the longitudinal slope gradient is steep, pure electric heavy-duty vehicles attain their highest speeds on gradual vertical curve sections and reach their lowest speeds on straight longitudinal slope sections during uphill climbing. Analyzing the influencing factors of climbing speed for pure electric heavy-duty vehicles reveals that on the experimental route, the slope primarily affects the vehicle’s minimum driving speed on straight uphill sections, while the initial climbing speed affects the vehicle’s maximum speed on both straight and gradual vertical curve sections. Factors such as the load weight and the power-to-weight ratio, as inherent vehicle characteristics, exert influence throughout the entire climbing process on the experimental route, affecting the vehicle’s speed. As shown in Figure 10a, within the range of slope values i [ 3 , 5 ] and load weight M [ 15 , 50 ] , DV generally exhibits an increasing trend with increasing gradient and load weight, with minor fluctuations observed on the three-dimensional surface. When projecting the three-dimensional image onto the Y-Z plane, as depicted in Figure 10b, DV approximately demonstrates a linear positive correlation with load weight, with the level of dispersion remaining relatively constant as load weight increases.
From Equation (5), it can be observed that the larger the maximum vehicle speed and the smaller the minimum vehicle speed, the greater the DV value, making it more likely to cause disturbance to trailing vehicles. Figure 10, Figure 11 and Figure 12 illustrate the variation of DV for pure electric heavy-duty vehicles under the combined influence of the slope with load weight, power-to-weight ratio, and initial climbing speed, respectively, the power-to-weight ratio ranges from [0.00431, 0.00775], and the initial climbing speed ranges from [60, 80]. Analyzing the color transition lines in the three-dimensional images reveals the extent of their combined impact on DV within common value ranges. When the slope is jointly influenced by the load weight or power-to-weight ratio, the color transition lines in the three-dimensional images are approximately at a 45° angle to the axis corresponding to the slope, indicating that the influence of slope is comparable to that of the load weight or power-to-weight ratio on DV. Furthermore, when the slope is jointly influenced by the power-to-weight ratio, the increase in DV is more pronounced. This is because the power-to-weight ratio represents the ratio of motor-rated power to the total vehicle mass, making it a crucial indicator for assessing vehicle power performance and exerting a greater influence on the climbing performance of pure electric heavy-duty vehicles. On the other hand, when the slope is jointly influenced by initial climbing speed, the three-dimensional images exhibit a wavy pattern, with the color transition lines approximately perpendicular to the axis corresponding to the slope. This indicates that the influence of slope on the climbing performance of pure electric heavy-duty vehicles is significantly greater than that of initial climbing speed.
Figure 13 and Figure 14 depict the variation of DV values for pure electric heavy-duty vehicles under the dual influence of the initial climbing speed and load weight, as well as the initial climbing speed and power-to-weight ratio. When the initial climbing speed interacts with the load weight or power-to-weight ratio, the angle formed by the color transition lines in the three-dimensional images with the axis corresponding to the initial climbing speed is relatively small, indicating a weaker impact of initial climbing speed on the DV value for heavy-duty vehicles. By comprehensively considering the combined influence of various factors and identifying the key factors affecting DV, this analysis can provide a reference for setting control standards for road designers and freight management professionals.

3.3. Research on the Limits of Longitudinal Slope Design Criteria

3.3.1. Maximum Grade

According to the requirements in the “Specification” for the minimum speed of heavy-duty vehicles ascending slopes, combined with the equilibrium speeds of the test vehicle under different longitudinal slope conditions, the maximum grade that accommodates the power performance of the test vehicle can be determined for design speeds of 120, 100, and 80 km/h, as shown in Table 6. It can be observed that the maximum grade accommodating the power performance of the test vehicle is lower than the grade specified in the “Specification”. Calculations reveal that under the common 3% longitudinal slope conditions on highways, the equilibrium speed of pure electric heavy-duty vehicles is only about 55 km/h, significantly lower than the typical minimum speed limit of 60 km/h on Chinese highways. In mountainous highway settings, where a 4% longitudinal slope is more prevalent, the equilibrium speed of pure electric heavy-duty vehicles is also lower than the corresponding minimum allowable speed of 50 km/h for a design speed of 100 km/h. In conclusion, the power performance of pure electric heavy-duty vehicles is not compatible with the maximum grade specified in the “Specification”.

3.3.2. Critical Length

On uphill sections, the speed of heavy vehicles is inevitably affected, especially on steep and long inclines, where vehicles experience continuous deceleration. This induces a strong psychological reaction in drivers and rapidly increases the speed differential with other vehicles, posing potential risks to road safety. To ensure transportation safety and efficiency, the “Specification” adopts a 20 km/h speed loss of vehicles as a criterion for calculating the critical length. However, the “Specification” does not account for the fact that the same speed loss of vehicles may elicit different perceptions among drivers at different design speeds. Therefore, DV is introduced as a measure that not only controls the speed loss of vehicles during climbing but also reflects the perceptual differences among drivers at different design speeds. A smaller DV value indicates a smoother speed variation during vehicle climbing, thus enhancing road safety. Based on the literature references, the criteria for defining the climbing speed decay degree of vehicles are presented in Table 7.
The “Specification” does not impose restrictions on the length of longitudinal slopes with gradients below 3%. However, considering that prolonged driving on the same linear road may lead to driver fatigue, it is advisable to comply with the limitations on the length of road linear units as per the linear design. For longitudinal slopes not less than 3%, this study uses a DV value of 0.15 as the limiting criterion to determine the critical length corresponding to different slope gradients under road conditions with design speeds of 120 km/h, 100 km/h, and 80 km/h, as shown in Table 8. On a road with a longitudinal slope gradient of 3.0% and a design speed of 80 km/h, the vehicle speed loss value approaches the equilibrium speed corresponding to the slope and enables stable driving, thus obviating the need to impose restrictions on the length of the longitudinal slope.

4. Discussion and Conclusions

This study conducts an in-depth investigation into the climbing characteristics of pure electric heavy-duty vehicles and their influencing factors and proposes longitudinal slope index limits applicable to the climbing characteristics of such vehicles. The research findings indicate that during uphill climbing, when the power of pure electric heavy-duty vehicles is insufficient to overcome the gradient resistance, the vehicle will decelerate, ultimately reaching an equilibrium state. Furthermore, a corresponding equilibrium speed exists for each longitudinal slope. Before reaching equilibrium speed, the steeper the slope, the faster the vehicle’s speed decreases. This is because a steeper slope increases the gravitational resistance acting on the vehicle, causing it to decelerate more quickly. Consequently, a steeper slope results in a lower equilibrium speed, meaning the vehicle can maintain a lower stable speed when traveling uphill. Additionally, the rapid decrease in speed shortens the distance required to reach equilibrium speed. This phenomenon indicates that slope significantly impacts the vehicle’s energy consumption and power requirements. Therefore, it must be thoroughly considered in vehicle design and energy management to optimize performance and efficiency. This discovery aligns with the results of XU et al. [12]. Under identical road conditions, compared to conventional fuel-powered heavy-duty vehicles, pure electric heavy-duty vehicles exhibit smoother acceleration and deceleration processes during uphill climbing, with minimal fluctuations in driving speed. Moreover, they achieve higher speeds for the same distance and have greater equilibrium speed values. This is attributed to the rapid response and high torque output of electric motors, enabling them to promptly deliver the required torque. Furthermore, under different road conditions with varying design speeds, pure electric heavy-duty vehicles exhibit a noticeable similarity in the speed variation trend at the same gradient. By introducing the climbing speed decay degree (DV), this study analyzes the characteristics of speed variation in pure electric heavy-duty vehicles under the joint influence of multiple factors. It is found that the power-to-weight ratio has a greater impact on the climbing speed of pure electric heavy-duty vehicles compared to initial vehicle speed, which only affects the vehicle’s maximum travel speed. The dynamic performance of pure electric heavy-duty vehicles does not align with the maximum grade specified by “Specification”. The equilibrium speed of these vehicles at the specified maximum grade is significantly lower than the minimum speed allowed by the road. The introduction of DV can reflect the perceptual differences of drivers when heavy-duty vehicles climb slopes at different design speeds. Therefore, using DV as a limit yields a more reasonable critical length.
Different from other studies [3,8,14], the focus of this paper is on pure electric heavy-duty vehicles rather than traditional fuel-powered ones. With the widespread deployment of electric charging infrastructure, the number of pure electric heavy-duty vehicles is expected to increase further. In addition to electrification, intelligence is also a mainstream development direction for vehicles today. Therefore, future research will delve into longitudinal slope design suitable for the trends of electrification and intelligence, providing insights for future highway construction. The main contributions of this study are as follows:
  • This study takes into account the climbing habits of drivers and highway route design to design an experimental road, which includes sections for linear acceleration energy storage, vertical curve sections with minimum length control, and longitudinal slope sections with varying gradients.
  • A co-simulation simulation platform for pure electric heavy-duty vehicles was constructed using TruckSim and MATLAB/Simulink;
  • Comparative research reveals that compared to traditional fuel-powered heavy-duty vehicles, pure electric heavy-duty vehicles demonstrate smoother acceleration and deceleration processes, smaller speed fluctuations, higher travel speeds, and greater equilibrium speed values during uphill climbing;
  • By introducing the climbing speed decay degree (DV), an analysis was conducted on the characteristics of speed variation in pure electric heavy-duty vehicles under the joint influence of multiple factors. It was found that the power-to-weight ratio has a greater impact on the climbing speed of pure electric heavy-duty vehicles compared to initial vehicle speed, which only affects the vehicle’s maximum travel speed;
  • Based on the minimum speed requirements for uphill travel specified in the “Specification” and considering the equilibrium speeds of pure electric heavy-duty vehicles under different longitudinal slope conditions, the maximum grade suitable for the dynamic performance of pure electric heavy-duty vehicles was derived. However, it was observed that the dynamic performance of pure electric heavy-duty vehicles does not align with the maximum grade stipulated by the “Specification”;
  • The introduced DV is intended to reflect the perceptual differences of drivers when heavy-duty vehicles climb slopes at different design speeds. Using DV as a control metric, the critical length for the safe operation of pure electric heavy-duty vehicles was determined.

Author Contributions

Conceptualization, Y.P. and L.H.; methodology, L.H.; software, S.P.; validation, L.H., S.P. and Y.W.; formal analysis, Y.P.; investigation, L.H.; resources, L.H.; data curation, S.P.; writing—original draft preparation, L.H.; writing—review and editing, Y.P.; visualization, S.P.; supervision, Y.P.; project administration, Y.W.; funding acquisition, Y.P. All authors have read and agreed to the published version of the manuscript.

Funding

This work was supported by the National Natural Science Foundation of China [grant number 51278158].

Institutional Review Board Statement

Not applicable.

Informed Consent Statement

Not applicable.

Data Availability Statement

The data that support the findings of this study are available from the corresponding author upon reasonable request.

Conflicts of Interest

The authors declare that there are no conflicts of interest regarding the publication of this article. There are also no conflicts of interest between the authors and the co-authors. The submitting authors are responsible for co-authors declaring their interests.

References

  1. Zhao, Q.; Yu, L.; Song, G.-h. Characteristics of VSP Distributions of Light-duty and Heavy-duty Vehicles on Freeway. J. Transp. Syst. Eng. Inf. Technol. 2015, 15, 196. [Google Scholar]
  2. Harwood D, W. Review of Truck Characteristics as Factors in Roadway Design; Transportation Research Board: Washington, DC, USA, 2003. [Google Scholar]
  3. Castillo-Manzano, J.I.; Castro-Nuño, M.; Fageda, X. Exploring the relationship between truck load capacity and traffic accidents in the European Union. Transp. Res. Part E Logist. Transp. Rev. 2016, 88, 94–109. [Google Scholar] [CrossRef]
  4. Brilon, W.; Bressler, A. Traffic flow on freeway upgrades. Transp. Res. Rec. 2004, 1883, 112–121. [Google Scholar] [CrossRef]
  5. Bonneson, J.A.; Pratt, M.P. Model for predicting speed along horizontal curves on two-lane highways. Transp. Res. Rec. 2009, 2092, 19–27. [Google Scholar] [CrossRef]
  6. D’Andrea, A.; Pellegrino, O. Application of fuzzy techniques for determining the operating speed based on road geometry. Promet-Traffic Transp. 2012, 24, 203–214. [Google Scholar] [CrossRef]
  7. Arkatkar, S.S.; Arasan, V.T. Effect of gradient and its length on performance of vehicles under heterogeneous traffic conditions. J. Transp. Eng. 2010, 136, 1120–1136. [Google Scholar] [CrossRef]
  8. Yan, Y.; Li, G.; Tang, J.; Guo, Z. A novel approach for operating speed continuous predication based on alignment space comprehensive index. J. Adv. Transp. 2017, 2017, 9862949. [Google Scholar] [CrossRef]
  9. Kordani, A.A.; Molan, A.M. The effect of combined horizontal curve and longitudinal grade on side friction factors. KSCE J. Civ. Eng. 2015, 19, 303–310. [Google Scholar] [CrossRef]
  10. Misaghi, P.; Hassan, Y. Modeling operating speed and speed differential on two-lane rural roads. J. Transp. Eng. 2005, 131, 408–418. [Google Scholar] [CrossRef]
  11. Børnes, V.; Aakre, A. Description, validation and use of a model to estimate speed profile of heavy vehicles in grades. Procedia-Soc. Behav. Sci. 2011, 16, 409–418. [Google Scholar] [CrossRef]
  12. Xu, J.-l.; Lei, B.; Li, N. Operating speed characteristics of heavy vehicle on expressway uphill section. J. Traffic Transp. Eng. 2013, 13, 14–19. [Google Scholar]
  13. Rakha, H.; Yu, B. Truck performance curves reflective of truck and pavement characteristics. J. Transp. Eng. 2004, 130, 753–767. [Google Scholar] [CrossRef]
  14. Wang, X.; Pu, H.Q.; Yao, J.B.; Yan, Y.; Li, X.; Zeng, Z. A novel speed model for safety evaluation of freeway alignment in Euclidean 3D space. Traffic Inj. Prev. 2019, 20, 392–399. [Google Scholar] [CrossRef] [PubMed]
  15. Himes, S.C.; Donnell, E.T.; Porter, R.J. Posted speed limit: To include or not to include in operating speed models. Transp. Res. Part A Policy Pract. 2013, 52, 23–33. [Google Scholar] [CrossRef]
  16. Lan, C.-J.; Menendez, M. Truck speed profile models for critical length of grade. J. Transp. Eng. 2003, 129, 408–419. [Google Scholar] [CrossRef]
  17. Torbic, D.J.; Harwood, D.W.; Richard, K.R.; Glauz, W.D. Determining critical length of grade for geometric design of vertical alignments. Transp. Res. Rec. 2004, 1881, 36–45. [Google Scholar] [CrossRef]
  18. Zhuang, C.-Y.; Zhao, Y.-F.; Pan, B.-H.; Zhang, C. Research on key parameter of highway longitudinal grade design. China J. Highw. Transp. 2009, 22, 39–44. [Google Scholar]
  19. Torbic, D.J.; Donnell, E.T.; Brennan, S.N.; Brown, A.; O’Laughlin, M.K.; Bauer, K.M. Superelevation design for sharp horizontal curves on steep grades. Transp. Res. Rec. 2014, 2436, 81–91. [Google Scholar] [CrossRef]
  20. Fwa, T.F.; Chan, W.T.; Sim, Y.P. Optimal vertical alignment analysis for highway design. J. Transp. Eng. 2002, 128, 395–402. [Google Scholar] [CrossRef]
  21. Guo, T.; Zhang, Z.; Liu, B.; Liu, J.B.; Gao, J.S. Maximum Grade and Length of Longitudinal Slope Adapted to Dynamic Performance of Six-axis Articulated Vehicle. J. Traffic Transp. Eng. 2018, 18, 34–43. [Google Scholar]
  22. Kuhn, W.; Leithoff, I.; Kubik, R. Three-dimensional methodology for design of safe rural highways. Transp. Res. Rec. 2012, 2282, 81–90. [Google Scholar] [CrossRef]
  23. Gibreel, G.M.; Easa, S.M.; El-Dimeery, I.A. Prediction of operating speed on three-dimensional highway alignments. J. Transp. Eng. 2001, 127, 21–30. [Google Scholar] [CrossRef]
  24. García, A.; Camacho-Torregrosa, F.J.; Baez PV, P. Examining the effect of road horizontal alignment on the speed of semi-automated vehicles. Accid. Anal. Prev. 2020, 146, 105732. [Google Scholar] [CrossRef] [PubMed]
  25. Kobryń, A. Vertical arcs design using polynomial transition curves. KSCE J. Civ. Eng. 2016, 20, 376–384. [Google Scholar] [CrossRef]
  26. Kobryń, A. Optimization of vertical alignment using general transition curves. KSCE J. Civ. Eng. 2018, 22, 2549–2559. [Google Scholar] [CrossRef]
  27. Ben-Bassat, T.; Shinar, D. Effect of shoulder width, guardrail and roadway geometry on driver perception and behavior. Accid. Anal. Prev. 2011, 43, 2142–2152. [Google Scholar] [CrossRef] [PubMed]
  28. Konstantopoulos, P.; Chapman, P.; Crundall, D. Driver’s visual attention as a function of driving experience and visibility. Using a driving simulator to explore drivers’ eye movements in day, night and rain driving. Accid. Anal. Prev. 2010, 42, 827–834. [Google Scholar] [CrossRef]
  29. Semeida, A.M. Impact of highway geometry and posted speed on operating speed at multi-lane highways in Egypt. J. Adv. Res. 2013, 4, 515–523. [Google Scholar] [CrossRef]
  30. Singh, D.; Zaman, M.; White, L. Neural network modeling of 85th percentile speed for two-lane rural highways. Transp. Res. Rec. 2012, 2301, 17–27. [Google Scholar] [CrossRef]
  31. JTG D20-2017; Ministry of Transport of the People’s Republic of China. Design Specification for Highway Alignment. China Communications Press: Beijing, China, 2017.
  32. JTG B05-2015; Ministry of Transport of the People’s Republic of China. Specifications for Highway Safety Audit. China Communications Press: Beijing, China, 2015.
  33. Feng, J.; Si, Y.; Wu, L.; Huang, K.; Zhang, X. Analysis of dynamic battery characteristics based on dynamic synthesis equivalent circuit model. Energy Storage Sci. Technol. 2020, 9, 986. [Google Scholar]
  34. Zhang, W.; Zhu, S.; Wang, B.; Du, Z.; Wang, H. Study on reasonable length of long steep slope on freeway based on actual loading rate. In Proceedings of the 2010 2nd International Asia Conference on Informatics in Control, Automation and Robotics (CAR 2010), Wuhan, China, 6–7 March 2010; IEEE: New York City, NY, USA, 2010; Volume 2, pp. 425–428. [Google Scholar]
Figure 1. Road model. (a) Profile view; (b) actual effect.
Figure 1. Road model. (a) Profile view; (b) actual effect.
Applsci 14 07043 g001
Figure 2. Vertical curve setting for experimental road.
Figure 2. Vertical curve setting for experimental road.
Applsci 14 07043 g002
Figure 3. Engine speed–torque curve for fuel-powered vehicles.
Figure 3. Engine speed–torque curve for fuel-powered vehicles.
Applsci 14 07043 g003
Figure 4. Motor efficiency map.
Figure 4. Motor efficiency map.
Applsci 14 07043 g004
Figure 5. External characteristic curve of the motor.
Figure 5. External characteristic curve of the motor.
Applsci 14 07043 g005
Figure 6. Schematic diagram of power system settings for an electric vehicle model in TruckSim.
Figure 6. Schematic diagram of power system settings for an electric vehicle model in TruckSim.
Applsci 14 07043 g006
Figure 7. The speed of heavy-duty vehicles on roads with a design speed of 80 km/h. (a) Traditional fuel-powered heavy-duty vehicles; (b) pure electric heavy-duty vehicles.
Figure 7. The speed of heavy-duty vehicles on roads with a design speed of 80 km/h. (a) Traditional fuel-powered heavy-duty vehicles; (b) pure electric heavy-duty vehicles.
Applsci 14 07043 g007
Figure 8. The speed of heavy-duty vehicles on roads with a design speed of 100 km/h. (a) Traditional fuel-powered heavy-duty vehicles; (b) pure electric heavy-duty vehicles.
Figure 8. The speed of heavy-duty vehicles on roads with a design speed of 100 km/h. (a) Traditional fuel-powered heavy-duty vehicles; (b) pure electric heavy-duty vehicles.
Applsci 14 07043 g008
Figure 9. The speed of heavy-duty vehicles on roads with a design speed of 120 km/h. (a) Traditional fuel-powered heavy-duty vehicles; (b) pure electric heavy-duty vehicles.
Figure 9. The speed of heavy-duty vehicles on roads with a design speed of 120 km/h. (a) Traditional fuel-powered heavy-duty vehicles; (b) pure electric heavy-duty vehicles.
Applsci 14 07043 g009
Figure 10. Relationship between slope, load weight, and DV. (a) Three-dimensional plot; (b) Y-Z plane.
Figure 10. Relationship between slope, load weight, and DV. (a) Three-dimensional plot; (b) Y-Z plane.
Applsci 14 07043 g010
Figure 11. Relationship between slope, power-to-weight ratio, and DV.
Figure 11. Relationship between slope, power-to-weight ratio, and DV.
Applsci 14 07043 g011
Figure 12. Relationship between slope, initial climbing speed, and DV.
Figure 12. Relationship between slope, initial climbing speed, and DV.
Applsci 14 07043 g012
Figure 13. Relationship between initial climbing speed, load weight, and DV.
Figure 13. Relationship between initial climbing speed, load weight, and DV.
Applsci 14 07043 g013
Figure 14. Relationship between initial climbing speed, power-to-weight ratio, and DV.
Figure 14. Relationship between initial climbing speed, power-to-weight ratio, and DV.
Applsci 14 07043 g014
Table 1. Minimum radius and length of vertical curve [31].
Table 1. Minimum radius and length of vertical curve [31].
ParameterDesign Speed (km/h)
12010080
Normal value of minimum radius of crest vertical curve (m)17,00010,0004500
Normal value of minimum radius of sag vertical curve (m)600045003000
Normal value of length of vertical curve (m)250210170
Table 2. Maximum grade [31].
Table 2. Maximum grade [31].
ParameterDesign Speed (km/h)
12010080
Maximum grade (%)345
Table 3. Basic parameters of the experimental vehicle.
Table 3. Basic parameters of the experimental vehicle.
Technical ParametersParameter ValueUnit
Length × Width × Height7180 × 2550 × 3100mm
Curb Weight9630kg
Maximum Towing Capacity39,370kg
Frontal Area7.5m2
Wheelbase3600 + 1350mm
Table 4. Drive motor parameters.
Table 4. Drive motor parameters.
Technical ParametersValueTechnical ParametersValue
Rated power (kW)260Peak power (kW)380
Rated torque (N∙m)1400Peak torque (N∙m)2800
Rated speed (r/min)1750Maximum speed (r/min)3500
Table 5. Input/output interface settings for co-simulation of TruckSim and Simulink.
Table 5. Input/output interface settings for co-simulation of TruckSim and Simulink.
Input/OutputVariable NamePhysical Description
InputIMP_MYUSM_L1Torque on left front wheel
IMP_MYUSM_L2Torque on left rear wheel
IMP_MYUSM_R1Torque on right front wheel
IMP_MYUSM_R2Torque on right rear wheel
OutputThrottleElectronic throttle
Table 6. Maximum grades for the power performance of the test vehicle.
Table 6. Maximum grades for the power performance of the test vehicle.
ParameterDesign Speed (km/h)
12010080
Maximum grade (%)2.53.54
Table 7. Evaluation criteria for DV of vehicles.
Table 7. Evaluation criteria for DV of vehicles.
Evaluation StandardEvaluation Indicator Value
ExcellentDV ≤ 0.1
Good0.1 < DV ≤ 0.2
PoorDV > 0.2
Table 8. Critical lengths of various grades.
Table 8. Critical lengths of various grades.
Slope (%)Design Speed (km/h)
12010080
38901000
3.5580610730
4420430460
4.5320330
5250250
5.5210
6
Disclaimer/Publisher’s Note: The statements, opinions and data contained in all publications are solely those of the individual author(s) and contributor(s) and not of MDPI and/or the editor(s). MDPI and/or the editor(s) disclaim responsibility for any injury to people or property resulting from any ideas, methods, instructions or products referred to in the content.

Share and Cite

MDPI and ACS Style

Pei, Y.; Hu, L.; Pan, S.; Wen, Y. Research on Maximum Longitudinal Slope and the Length Limit of Expressways Based on the Performance of Pure Electric Heavy-Duty Vehicles. Appl. Sci. 2024, 14, 7043. https://doi.org/10.3390/app14167043

AMA Style

Pei Y, Hu L, Pan S, Wen Y. Research on Maximum Longitudinal Slope and the Length Limit of Expressways Based on the Performance of Pure Electric Heavy-Duty Vehicles. Applied Sciences. 2024; 14(16):7043. https://doi.org/10.3390/app14167043

Chicago/Turabian Style

Pei, Yulong, Lintao Hu, Sheng Pan, and Yuhang Wen. 2024. "Research on Maximum Longitudinal Slope and the Length Limit of Expressways Based on the Performance of Pure Electric Heavy-Duty Vehicles" Applied Sciences 14, no. 16: 7043. https://doi.org/10.3390/app14167043

APA Style

Pei, Y., Hu, L., Pan, S., & Wen, Y. (2024). Research on Maximum Longitudinal Slope and the Length Limit of Expressways Based on the Performance of Pure Electric Heavy-Duty Vehicles. Applied Sciences, 14(16), 7043. https://doi.org/10.3390/app14167043

Note that from the first issue of 2016, this journal uses article numbers instead of page numbers. See further details here.

Article Metrics

Back to TopTop