Voltage Problems on Farms with Agricultural Biogas Plants—A Case Study
Abstract
1. Introduction
- the possibility of using biogas as a fuel for internal combustion engines [27];
- an increase in regional/national energy security through the development of distributed energy [28];
- a reduction in the cost of disposing of organic waste [29];
- mitigation of adverse climate change [30];
- use of local energy resources [31];
- production of wholesome manure [32].
2. Materials and Methods
- Mains frequency is the number of repetitions in the time waveform of the fundamental component of the supply voltage measured over a specified time interval. The frequency deviation is the difference between a given value and the rated frequency value exhibited during regular power system operation over at least a few seconds. The frequency deviation should, in most cases, not exceed +/− 1% of the rated grid frequency.
- Voltage deviation (slow voltage variation) is the difference between the actual and rated mains voltage values. In most cases, the free voltage variation should not exceed ± 10% of the rated mains voltage value.
- Voltage fluctuations (rapid changes in voltage). Indicators that characterise voltage fluctuations include:
- -
- The amplitude of voltage fluctuations is expressed as the ratio of the voltage variation value to the rated voltage. In most cases, this value should not exceed 3%,
- -
- frequency of voltage fluctuation amplitudes or, in the case of periodic fluctuations, the frequency of voltage fluctuations;Short-term flicker index Pst (index indicating the annoyance of flickering light over a few minutes). Pst = 1 is the conventional threshold for the annoyance of light flicker;
- -
- the long-term flicker index Plt (an index indicating the annoyance of flickering light over a long period, of the order of a few hours). In most cases, the index Plt should not exceed 1. The value of the index is determined from successive values of Pst, according to the relation:in which Psti (i = 1, 2, 3, ... 12) are successive values of the short-term flicker indices Pst.
- Voltage asymmetry—unequal voltage values and/or unequal angles between successive phase voltages. The asymmetry of the system of supply voltages results, among other things, in the appearance of symmetrical components of the opposite order. The parameter describing this condition is the voltage asymmetry factor αU% (opposite voltage asymmetry) [36,44]:where: U1, U2—the composite values of the symmetrical components of the consensual and opposite order of the voltage.In most cases, the voltage asymmetry factor should not exceed 2%.
- The distortion of the voltage waveform, defined by the total harmonic distortion factor (THDU) [45]:where: U1—rms value of voltage for the first harmonic, Uh—rms value of voltage for the h-th harmonic, h—order of harmonic.
3. Results and Discussion
3.1. Analysis of the Supply Network Parameters of the Agricultural Biogas Plant under Study
3.2. Analysis of the Feeding System of the Biogas Plant under Study
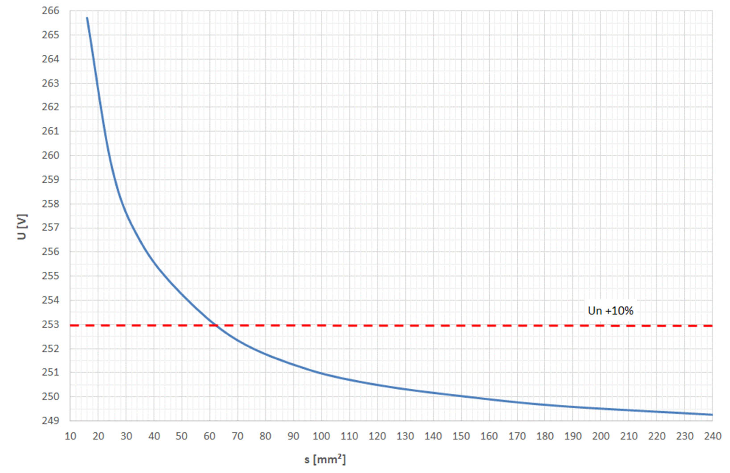
3.3. Analysis of the Main Supply Parameters of the Studied Agricultural Biogas Plant after Changing the Supply Cable
3.4. Analysis of the Main Supply Parameters of the Studied Agricultural Biogas Plant after Changing the Supply Cable
4. Conclusions
Author Contributions
Funding
Informed Consent Statement
Data Availability Statement
Conflicts of Interest
References
- Monteny, G.-J.; Bannink, A.; Chadwick, D. Greenhouse gas abatement strategies for animal husbandry. Agric. Ecosyst. Environ. 2006, 112, 163–170. [Google Scholar] [CrossRef]
- Scheftelowitz, M.; Thrän, D. Unlocking the energy potential of manure-An assessment of the biogas production potential at the farm level in Germany. Agriculture 2016, 6, 20. [Google Scholar] [CrossRef]
- Akyürek, Z. Potential of biogas energy from animal waste in the Mediterranean region of Turkey. J. Energy Syst. 2018, 2, 160–167. [Google Scholar] [CrossRef]
- Saracevic, E.; Frühauf, S.; Miltner, A.; Karnpakdee, K.; Munk, B.; Lebuhn, M.; Wlcek, B.; Leber, J.; Lizasoain, J.; Friedl, A.; et al. Utilisation of food and agricultural residues for a flexible biogas production: Process stability and effects on needed biogas storage capacities. Energies 2019, 12, 2678. [Google Scholar] [CrossRef]
- Friedlingstein, P.; O’sullivan, M.; Jones, M.W.; Andrew, R.M.; Hauck, J.; Olsen, A.; Zaehle, S. Global carbon budget. Earth Sys. Sci. Data 2020, 12, 3269–3340. [Google Scholar] [CrossRef]
- Korberg, A.D.; Skov, I.R.; Mathiesen, B.V. The role of biogas and biogas-derived fuels in Denmark’s 100% renewable energy system. Energy 2020, 199, 117426. [Google Scholar] [CrossRef]
- Angelidaki, I.; Treu, L.; Tsapekos, P.; Luo, G.; Campanaro, S.; Wenzel, H.; Kougias, P.G. Biogas upgrading and utilisation: Current status and perspectives. Biotechnol. Adv. 2018, 36, 452–466. [Google Scholar] [CrossRef] [PubMed]
- Tymińska, M.; Skibko, Z.; Borusiewicz, A. The Effect of Agricultural Biogas Plants on the Quality of Farm Energy Supply. Energies 2023, 16, 4600. [Google Scholar] [CrossRef]
- Meneses-Quelal, O.; Velázquez-Martí, B. Pretreatment of animal manure biomass to improve biogas production: A review. Energies 2020, 13, 3573. [Google Scholar] [CrossRef]
- Kaltschmitt, M.; Scholwin, F.; Gattermann, H.; Schattauer, A.; Weiland, P. Biogas-Production Utilisation; Institut Für Energetik und Umwelt Gmbh: Leipzig, Germany, 2005. [Google Scholar]
- Lansing, S.; Botero, R.; Martin, J.F. Waste treatment and biogas quality in small-scale agricultural digesters. Bioresour. Technol. 2008, 99, 5881–5890. [Google Scholar] [CrossRef]
- Czekała, W.; Nowak, M.; Bojarski, W. Anaerobic Digestion and Composting as Methods of Bio-Waste Management. Agric. Eng. 2023, 27, 173–186. [Google Scholar] [CrossRef]
- Derehajło, S.; Tymińska, M.; Skibko, Z.; Borusiewicz, A.; Romaniuk, W.; Kuboń, M.; Olech, E.; Koszel, M. Heavy Metal Content in Substrates in Agricultural Biogas Plants. Agric. Eng. 2023, 27, 315–329. [Google Scholar] [CrossRef]
- Giesy, R.; Wilkie, A.; De Vries, A.; Nordstedt, R. Economic Feasibility of Anaerobic Digestion To Produce Electricity on Florida Dairy Farms1. EDIS 2006. [Google Scholar] [CrossRef]
- Gloy, B.A.; Dressler, J.B. Financial barriers to the adoption of anaerobic digestion on U.S. livestock operations. Agric. Financ. Rev. 2010, 70, 157–168. [Google Scholar] [CrossRef]
- Soljan, Z.; Holdyński, G.; Zajkowski, M. Decomposition of the load’s current supplied from a sinusoidal and asymmetrical voltage source in accordance with the Currents’ Physical Components (CPC) Theory. In Proceedings of the 2019 20th International Scientific Conference on Electric Power Engineering (EPE), Kouty nad Desnou, Czech Republic, 15–17 May 2019; Rusek, S., Goňo, R., Eds.; IEEE: Piscataway, NJ, USA, 2019; pp. 389–394. [Google Scholar] [CrossRef]
- Klavon, K.H.; Lansing, S.A.; Mulbry, W.; Moss, A.R.; Felton, G. Economic analysis of small-scale agricultural digesters in the United States. Biomass Bioenergy 2013, 54, 36–45. [Google Scholar] [CrossRef]
- Larina, Y.; Galchynska, J.; Kucheruk, P.; Zghurska, O.; Ortina, G.; Al-Nadzhar, F.; Marusei, T.; Kuboń, M.; Dzieniszewski, G. Estimation of the Domestic Agricultural Sector Potential for the Growth of Energy Cultures for Bioenergy Fuel Production. Agric. Eng. 2021, 25, 73–82. [Google Scholar] [CrossRef]
- Dach, J.; Boniecki, P.; Przybył, J.; Janczak, D.; Lewicki, A.; Czekała, W.; Witaszek, K.; Rodríguez Carmona, P.C.; Cieślik, M. Energetic efficiency analysis of the agricultural biogas plant in 250 kWe experimental installation. Energy 2014, 69, 34–38. [Google Scholar] [CrossRef]
- Saaty, T.L.; Vargas, L.G.; Dellmann, K.L. The allocation of intangible resources: The analytic hierarchy process and linear programming. Socioecon. Plann. Sci. 2003, 37, 169–184. [Google Scholar] [CrossRef]
- San Cristobal, J.R. Multi-criteria decision-making in the selection of a renewable energy project in Spain: The Vikor method. Renew. Energy 2011, 36, 498–502. [Google Scholar] [CrossRef]
- Stoltmann, A.; Bućko, P. Analysis of the Biogas Plant Location Using Analytic Hierarchy Process (ahp) and Numerical Taxonomy Methods-Methods Comparison. Zeszyty Naukowe Wydziału Elektrotechniki i Automatyki Politechniki Gdańskiej Nr 53. 2017. Available online: https://www.google.com/url?sa=t&source=web&rct=j&opi=89978449&url=https://yadda.icm.edu.pl/baztech/element/bwmeta1.element.baztech-291c516d-5758-4f23-815e-62df0afc8864/c/ZN_WEIAPG_53-29.pdf&ved=2ahUKEwjyp4rTxuWFAxU6PxAIHeHoDagQFnoECBsQAQ&usg=AOvVaw1nDzQXR50HzVDrOTZ0pMa1 (accessed on 7 July 2024). (In Polish).
- Mazurkiewicz, J. The Impact of Manure Use for Energy Purposes on the Economic Balance of a Dairy Farm. Energies 2023, 16, 6735. [Google Scholar] [CrossRef]
- Vilas Bôas, T.F.; Barros, R.M.; Pinto, J.A.; dos Santos, I.F.S.; Lora, E.E.S.; Andrade, R.V.; Tiago Filho, G.L.; Almeida, K.A.; de Oliveira Machado, G. Energy Potential from the Generation of Biogas from Anaerobic Digestion of Olive Oil Extraction Wastes in Brazil. Clean. Waste Syst. 2023, 4, 100083. [Google Scholar] [CrossRef]
- Furtado, L.A.; Guerreiro Ribeiro, S.; Pradelle, F.; Parise, J.A.R. Modeling and Techno-Economic Analysis of a Hybrid Sugarcane Plant Fed by Vinasse Biogas and Bagasse Surplus for Electricity Generation. J. Clean. Prod. 2023, 413, 137511. [Google Scholar] [CrossRef]
- Wind, Solar Payback Times Under a Year in Some Parts of the World, Says Rystad. Available online: https://www.pv-magazine.com/2022/10/14/wind-solar-payback-times-under-a-year-in-some-parts-of-world-says-rystad/ (accessed on 23 April 2024).
- Hagman, L.; Blumenthal, A.; Eklund, M.; Svensson, N. The role of biogas solutions in sustainable biorefineries. J. Clean. Prod. 2018, 172, 3982–3989. [Google Scholar] [CrossRef]
- Kuboń, M.; Skibko, Z.; Tabor, S.; Malaga-Toboła, U.; Borusiewicz, A.; Romaniuk, W.; Zarajczyk, J.; Neuberger, P. Analysis of Voltage Distortions in the Power Grid Arising from Agricultural Biogas Plant Operation. Energies 2023, 16, 6189. [Google Scholar] [CrossRef]
- Burg, V.; Bowman, G.; Haubensak, M.; Baier, U.; Thees, O. Valorization of an untapped resource: Energy and greenhouse gas emissions benefits of converting manure to biogas through anaerobic digestion. Resour. Conserv. Recycl. 2018, 136, 53–62. [Google Scholar] [CrossRef]
- Tamburini, E.; Gaglio, M.; Castaldelli, G.; Fano, E.A. Biogas from Agri-Food and Agricultural Waste Can Appreciate Agro-Ecosystem Services: The Case Study of Emilia Romagna Region. Sustainability 2020, 12, 8392. [Google Scholar] [CrossRef]
- Jeung, J.H.; Chung, W.J.; Chang, S.W. Evaluation of Anaerobic Co-Digestion to Enhance the Efficiency of Livestock Manure Anaerobic Digestion. Sustainability 2019, 11, 7170. [Google Scholar] [CrossRef]
- Mao, C.; Feng, Y.; Wang, X.; Ren, G. Review on research achievements of biogas from anaerobic digestion. Renew. Sustain. Energy Rev. 2015, 45, 540–555. [Google Scholar] [CrossRef]
- Rao, P.V.; Baral, S.S.; Dey, R.; Mutnuri, S. Biogas generation potential by anaerobic digestion for sustainable energy development in India. Renew. Sustain. Energy Rev. 2010, 14, 2086–2094. [Google Scholar] [CrossRef]
- Garrison, M.; Richard, T. Methane and Manure: Feasibility Analysis of Price and Policy Alternatives. Trans. ASAE 2005, 48, 1287–1294. [Google Scholar] [CrossRef]
- Chen, Y.; Yang, G.; Sweeney, S.; Feng, Y. Household biogas use in rural China: A study of opportunities and constraints. Renew. Sustain. Energy Rev. 2010, 14, 545–549. [Google Scholar] [CrossRef]
- Hołdyński, G.; Skibko, Z.; Borusiewicz, A. Analysis of the Influence of Load on the Value of Zero-Voltage Asymmetry in Medium-Voltage Networks Operating with Renewable Energy Sources. Energies 2023, 16, 580. [Google Scholar] [CrossRef]
- Alshamrani, A.; Majumder, P.; Das, A.; Hezam, I.M.; Božanić, D. An Integrated BWM-TOPSIS-I Approach to Determine the Ranking of Alternatives and Application of Sustainability Analysis of Renewable Energy. Axioms 2023, 12, 159. [Google Scholar] [CrossRef]
- Gonzalez, P.; Romero-Cadaval, E.; Gonzalez, E.; Guerrero, M.A. Impact of grid-connected photovoltaic system in the power quality of a distribution network. In Technological Innovation for Sustainability: Second IFIP WG 5.5/SOCOLNET Doctoral Conference on Computing, Electrical and Industrial Systems, DoCEIS 2011, Costa de Caparica, Portugal, 21-23 February 2011; Proceedings 2; Springer: Berlin/Heidelberg, Germany, 2011; pp. 466–473. [Google Scholar] [CrossRef]
- Ma, C.; Xiong, W.; Tang, Z.; Li, Z.; Xiong, Y.; Wang, Q. Distributed MPC-Based Voltage Control for Active Distribution Networks Considering Uncertainty of Distributed Energy Resources. Electronics 2024, 13, 2748. [Google Scholar] [CrossRef]
- Uddin, M.; Rahman, M.; Hossain, T.R.; Rahman, H. Assessment by Simulation of Different Topological Integration of Solar Photovoltaic Plants in Medium Voltage Distribution Networks. Pertanika J. Sci. Technol. 2021, 29, 1159–1169. [Google Scholar] [CrossRef]
- Alam, S.; Al-Ismail, F.S.; Salem, A.; Abido, M.A. High-Level Penetration of Renewable Energy Sources Into Grid Utility: Challenges and Solutions. IEEE Access 2020, 8, 190277–190299. [Google Scholar] [CrossRef]
- EN 50160:2010; Supply Voltage Parameters for Public Distribution Networks. E.U.: Maastricht, The Netherlands, 2010.
- Regulation of the Minister of Economy of May 4, 2007, on detailed conditions for the operation of the electric power system (in Poland). Dz.U. 2007 nr 93 poz. 623. Available online: https://isap.sejm.gov.pl/isap.nsf/DocDetails.xsp?id=WDU20070930623 (accessed on 7 July 2024).
- Robak, S.; Pawlicki, A.; Pawlicki, B. The analysis of the voltage and current asymmetry in the power transmission lines. Przegląd Elektrotechniczny 2014, 90, 26. [Google Scholar] [CrossRef]
- Kosicki, Ł.; Typańska, D. The research of current and voltage distortions generated by luminaries with the light emitting diodes. Electr. Eng. 2017, 92, 215–226. [Google Scholar] [CrossRef]
- IEC 61000-4-30:2015+AMD1; 2021 CSV Consolidated Version, Electromagnetic compatibility (EMC)-Part 4-30: Testing and Measurement Techniques-Power Quality Measurement Methods. Available online: https://webstore.iec.ch/en/publication/68642 (accessed on 7 July 2024).
















| Parameter | Before the Changes | After Changes | ||
|---|---|---|---|---|
| Frequency | Deviation from Rated Value | Frequency | Deviation from Rated Value | |
| [Hz] | [%] | [Hz] | [%] | |
| Average value | 49.995 | −0.010 | 49.996 | −0.008 |
| Minimum value | 49.910 | −0.180 | 49.900 | −0.200 |
| Maximum value | 50.080 | 0.160 | 50.070 | 0.140 |
| Quantile 95 | 49.970 | 0.040 | 49.970 | 0.040 |
| Parameter | L1 Phase | L2 Phase | L3 Phase | |||
|---|---|---|---|---|---|---|
| Phase Voltage | Deviation from the Rated Voltage | Phase Voltage | Deviation from the Rated Voltage | Phase Voltage | Deviation from the Rated Voltage | |
| [V] | [%] | [V] | [%] | [V] | [%] | |
| Before the changes | ||||||
| Average value | 238.913 | 3.452 | 238.120 | 3.109 | 233.096 | 0.934 |
| Minimum value | 203.260 | −11.986 | 200.130 | −13.341 | 197.070 | −14.666 |
| Maximum value | 258.650 | 11.999 | 257.120 | 11.336 | 248.810 | 7.738 |
| Quantile 95 | 253.480 | 9.760 | 252.110 | 10.167 | 244.450 | 10.850 |
| After changes | ||||||
| Average value | 242.655 | 5.073 | 241.368 | 4.515 | 240.101 | 3.967 |
| Minimum value | 214.320 | −7.197 | 212.130 | −8.145 | 208.580 | −9.682 |
| Maximum value | 254.120 | 10.037 | 254.280 | 10.106 | 251.760 | 9.015 |
| Quantile 95 | 250.980 | 8.678 | 251.737 | 9.005 | 247.690 | 7.253 |
| Parameter | Before the Changes | After Changes |
|---|---|---|
| αU | αU | |
| [%] | [%] | |
| Average value | 0.315 | 0.350 |
| Minimum value | 0.010 | 0.020 |
| Maximum value | 1.230 | 1.120 |
| Quantile 95 | 0.610 | 0.620 |
| Before the Changes | After Changes | |||||
|---|---|---|---|---|---|---|
| Parameter | PltL1 | PltL2 | PltL3 | PltL1 | PltL2 | PltL3 |
| Average value | 2.688 | 2.762 | 2.887 | 0.993 | 1.141 | 1.074 |
| Minimum value | 1.540 | 1.620 | 1.690 | 0.720 | 0.830 | 0.790 |
| Maximum value | 3.840 | 3.960 | 4.160 | 2.180 | 1.830 | 1.860 |
| Quantile 95 | 3.500 | 3.580 | 3.767 | 1.384 | 1.691 | 1.440 |
| Parameter | Before the Changes | After Changes | ||||
|---|---|---|---|---|---|---|
| THDUL1 | THDUL2 | THDUL3 | THDUL1 | THDUL2 | THDUL3 | |
| [%] | [%] | [%] | [%] | [%] | [%] | |
| Average value | 4.366 | 3.641 | 4.693 | 2.114 | 1.821 | 1.925 |
| Minimum value | 2.360 | 2.020 | 2.820 | 1.220 | 1.010 | 1.010 |
| Maximum value | 13.380 | 7.190 | 10.750 | 7.330 | 6.050 | 6.290 |
| Quantile 95 | 8.557 | 5.470 | 7.550 | 2.760 | 2.530 | 2.700 |
Disclaimer/Publisher’s Note: The statements, opinions and data contained in all publications are solely those of the individual author(s) and contributor(s) and not of MDPI and/or the editor(s). MDPI and/or the editor(s) disclaim responsibility for any injury to people or property resulting from any ideas, methods, instructions or products referred to in the content. |
© 2024 by the authors. Licensee MDPI, Basel, Switzerland. This article is an open access article distributed under the terms and conditions of the Creative Commons Attribution (CC BY) license (https://creativecommons.org/licenses/by/4.0/).
Share and Cite
Skibko, Z.; Borusiewicz, A.; Romaniuk, W.; Pietruszynska, M.; Milewska, A.; Marczuk, A. Voltage Problems on Farms with Agricultural Biogas Plants—A Case Study. Appl. Sci. 2024, 14, 7003. https://doi.org/10.3390/app14167003
Skibko Z, Borusiewicz A, Romaniuk W, Pietruszynska M, Milewska A, Marczuk A. Voltage Problems on Farms with Agricultural Biogas Plants—A Case Study. Applied Sciences. 2024; 14(16):7003. https://doi.org/10.3390/app14167003
Chicago/Turabian StyleSkibko, Zbigniew, Andrzej Borusiewicz, Wacław Romaniuk, Marta Pietruszynska, Anna Milewska, and Andrzej Marczuk. 2024. "Voltage Problems on Farms with Agricultural Biogas Plants—A Case Study" Applied Sciences 14, no. 16: 7003. https://doi.org/10.3390/app14167003
APA StyleSkibko, Z., Borusiewicz, A., Romaniuk, W., Pietruszynska, M., Milewska, A., & Marczuk, A. (2024). Voltage Problems on Farms with Agricultural Biogas Plants—A Case Study. Applied Sciences, 14(16), 7003. https://doi.org/10.3390/app14167003

