A Lightweight Fire Detection Algorithm Based on the Improved YOLOv8 Model
Abstract
1. Introduction
2. Model and Methods
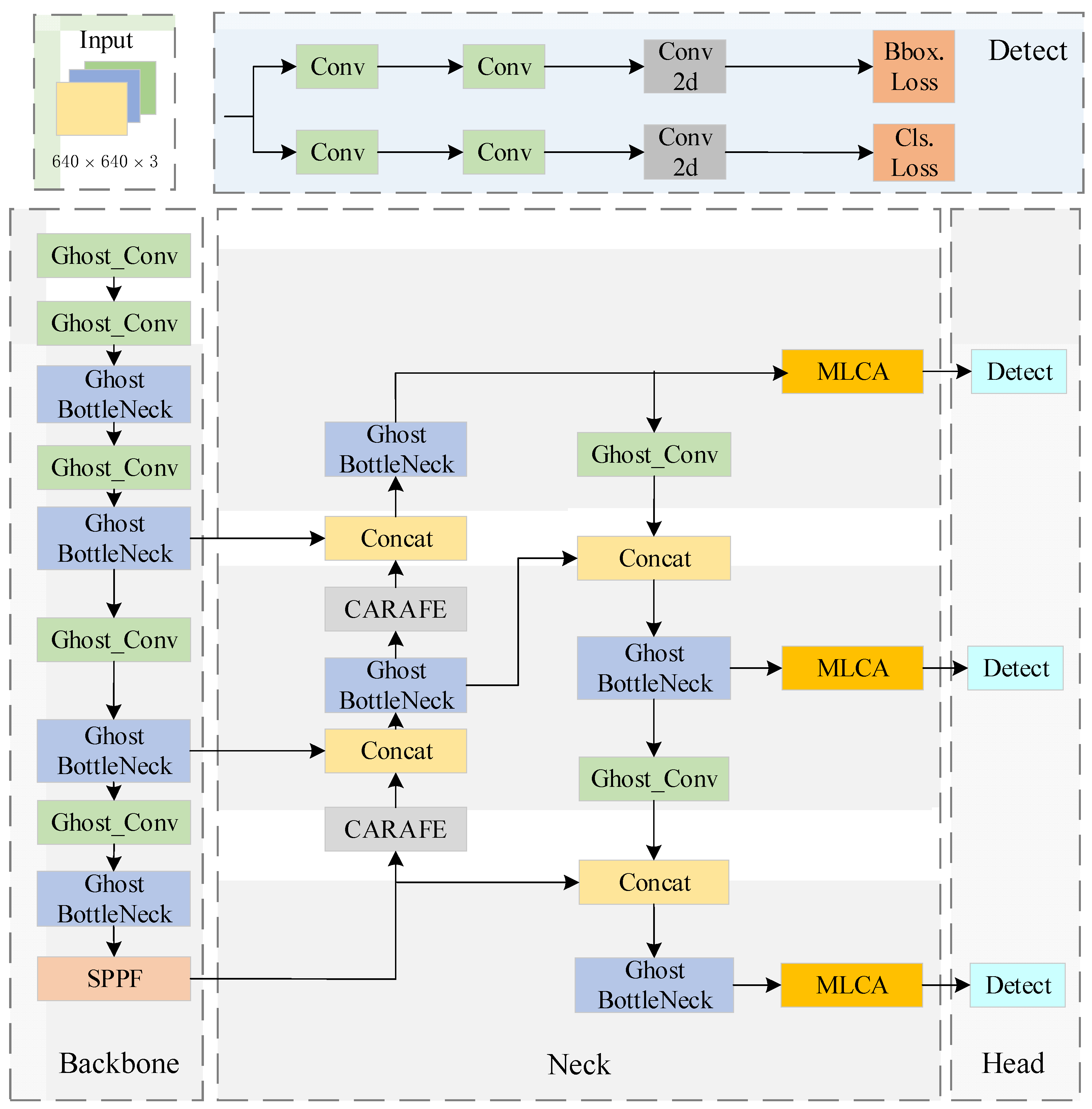
2.1. Improved YOLOv8 Model
2.2. GhostNet
2.3. The Content-Aware ReAssembly of Features Module
2.4. Mixed Local Channel Attention
3. Experiment and Discussion
3.1. Materials
3.2. Training Equipment and Parameter Setting
3.3. Evaluation Indicators
3.4. Comparison of Ablation Experiments
3.5. Comparison Experiment
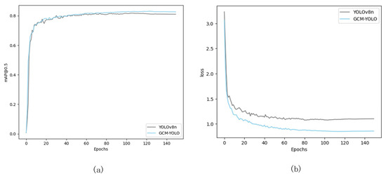
3.6. Results and Analysis
4. Conclusions
Author Contributions
Funding
Institutional Review Board Statement
Informed Consent Statement
Data Availability Statement
Conflicts of Interest
References
- Barmpoutis, P.; Papaioannou, P.; Dimitropoulos, K.; Grammalidis, N. A review on early forest fire detection systems using optical remote sensing. Sensors 2020, 20, 6442. [Google Scholar] [CrossRef] [PubMed]
- Kodur, V.; Kumar, P.; Rafi, M.M. Fire hazard in buildings: Review, assessment and strategies for improving fire safety. PSU Res. Rev. 2020, 4, 1–23. [Google Scholar] [CrossRef]
- Gielen, A.C.; Frattaroli, S.; Pollack, K.M.; Peek-Asa, C.; Yang, J.G. How the science of injury prevention contributes to advancing home fire safety in the USA: Successes and opportunities. Inj. Prev. 2018, 24 (Suppl. S1), i7–i13. [Google Scholar] [CrossRef] [PubMed]
- Ivanov, M.L.; Chow, W.K. Fire safety in modern indoor and built environment. Indoor Built Environ. 2023, 32, 3–8. [Google Scholar] [CrossRef]
- Khan, F.; Xu, Z.; Sun, J.; Khan, F.M.; Ahmed, A.; Zhao, Y. Recent advances in sensors for fire detection. Sensors 2022, 22, 3310. [Google Scholar] [CrossRef] [PubMed]
- El-afifi, M.I.; Team, S.S.A.F.R.; Elkelany, M.M. Development of Fire Detection Technologies. Nile J. Commun. Comput. Sci. 2024, 7, 58–66. [Google Scholar] [CrossRef]
- Borges, P.V.K.; Izquierdo, E. A probabilistic approach for vision-based fire detection in videos. IEEE Trans. Circuits Syst. Video Technol. 2010, 20, 721–731. [Google Scholar] [CrossRef]
- Singh, Y.K.; Deb, D. Detection of fire regions from a video image frames in YCbCr Color Model. Int. J. Recent Technol. Eng. 2019, 8, 6082–6086. [Google Scholar] [CrossRef]
- Xiong, D.; Yan, L. Early smoke detection of forest fires based on SVM image segmentation. J. For. Sci. 2019, 65, 150–159. [Google Scholar] [CrossRef]
- Alkhatib, A.A. A review on forest fire detection techniques. Int. J. Distrib. Sens. Netw. 2014, 10, 597368. [Google Scholar] [CrossRef]
- Farasin, A.; Colomba, L.; Garza, P. Double-step u-net: A deep learning-based approach for the estimation of wildfire damage severity through sentinel-2 satellite data. Appl. Sci. 2020, 10, 4332. [Google Scholar] [CrossRef]
- Bahhar, C.; Ksibi, A.; Ayadi, M.; Jamjoom, M.M.; Ullah, Z.; Soufiene, B.O.; Sakli, H. Wildfire and smoke detection using staged YOLO model and ensemble CNN. Electronics 2023, 12, 228. [Google Scholar] [CrossRef]
- Kim, S.; Jang, I.S.; Ko, B.C. Domain-free fire detection using the spatial–temporal attention transform of the YOLO backbone. Pattern Anal. Appl. 2024, 27, 45. [Google Scholar] [CrossRef]
- Yang, J.; Zhu, W.; Sun, T.; Ren, X.; Liu, F. Lightweight forest smoke and fire detection algorithm based on improved YOLOv5. PLoS ONE 2023, 18, e0291359. [Google Scholar] [CrossRef] [PubMed]
- Chai, E.; Ta, L.; Ma, Z.; Zhi, M. ERF-YOLO: A YOLO algorithm compatible with fewer parameters and higher accuracy. Image Vis. Comput. 2021, 116, 104317. [Google Scholar] [CrossRef]
- Li, X.; Wang, W.; Wu, L.; Chen, S.; Hu, X.; Li, J.; Tang, J.; Yang, J. Generalized focal loss: Learning qualified and distributed bounding boxes for dense object detection. Adv. Neural Inf. Process. Syst. 2020, 33, 21002–22101. [Google Scholar]
- Tang, Y.; Han, K.; Guo, J.; Xu, C.; Xu, C.; Wang, Y. GhostNetv2: Enhance Cheap Operation with Long-Range Attention. Adv. Neural Inf. Process. Syst. 2022, 35, 9969–9982. [Google Scholar]
- Guo, A.; Sun, K.; Zhang, Z. A lightweight YOLOv8 integrating FasterNet for real-time underwater object detection. J. Real-Time Image Process. 2024, 21, 49. [Google Scholar] [CrossRef]
- Zhang, L.; Zheng, J.; Li, C.; Xu, Z.; Yang, J.; Wei, Q.; Wu, X. CCDN-DETR: A Detection Transformer Based on Constrained Contrast Denoising for Multi-Class Synthetic Aperture Radar Object Detection. Sensors 2024, 24, 1793. [Google Scholar] [CrossRef]
- Wei, Z. Fire detection of YOLOv8 model based on integrated se attention mechanism. Front. Comput. Intell. Syst. 2023, 4, 28–30. [Google Scholar] [CrossRef]
- Yu, Q.; Liu, H.; Wu, Q. An Improved YOLO for Road and Vehicle Target Detection Model. J. ICT Stand. 2023, 11, 197–216. [Google Scholar] [CrossRef]








| Parameter | Learning Rate | Optimizer | Batch Size | Image Size | Epochs | Momentum Factor | Weight Decay |
|---|---|---|---|---|---|---|---|
| Value | 0.01 | SGD | 64 | 640 × 640 | 150 | 0.93 | 0.005 |
| Network | GhostNet | CARAFE | MLCA | mAP@0.5 | Recall/% | Parameters | FLOPS/G | Model Size/MB |
|---|---|---|---|---|---|---|---|---|
| YOLOv8n | - | - | - | 81.7 | 75.8 | 3,006,038 | 8.1 | 6.3 |
| Module 1 | √ | - | - | 81.6 | 75.8 | 1,714,466 | 5.0 | 3.8 |
| Module 2 | - | √ | - | 82.7 | 77.6 | 3,146,142 | 8.4 | 6.6 |
| Module 3 | - | - | √ | 82.0 | 76.8 | 3,006,064 | 8.1 | 6.3 |
| Module 4 | √ | √ | - | 82.3 | 76.0 | 1,854,570 | 5.3 | 4.1 |
| Module 5 | √ | - | √ | 82.2 | 76.0 | 1,714,476 | 5.0 | 3.8 |
| Module 6 | - | √ | √ | 82.6 | 76.3 | 3,146,168 | 8.4 | 6.6 |
| GCM-OLO | √ | √ | √ | 82.9 | 76.9 | 1,854,596 | 5.3 | 4.1 |
| Network | mAP@0.5/% | Recall/% | Parameters | FLOPS/G | Model Size/MB |
|---|---|---|---|---|---|
| YOLOv8n (Baseline) | 81.7 | 75.8 | 3,006,038 | 8.1 | 6.3 |
| YOLOv8n-FasterNet [18] | 81.2 | 76.1 | 2,300,838 | 6.3 | 4.9 |
| YOLOv8n-HGNetv2 [19] | 81.8 | 76.3 | 2,351,290 | 6.9 | 5.0 |
| YOLOv8n-GhostNet | 81.6 | 75.8 | 1,714,466 | 5.0 | 3.8 |
| Network | YOLOv8n (Baseline) | YOLOv8n-SEAttention [20] | YOLOv8n-CBAM [21] | YOLOv8n-SimAM | YOLOv8n-MLCA |
|---|---|---|---|---|---|
| mAP@0.5/% | 81.7 | 81.9 | 81.8 | 81.6 | 82.0 |
| Recall/% | 75.8 | 75.2 | 75.3 | 76.0 | 76.8 |
| Network | mAP@0.5/% | Recall/% | Parameters | FLOPS/G | Model Size/MB |
|---|---|---|---|---|---|
| YOLOv5n | 81.5 | 74.7 | 2,503,334 | 7.1 | 5.3 |
| YOLOv5s | 82.1 | 76.7 | 9,112,310 | 23.8 | 18.5 |
| YOLOv8n | 81.7 | 75.8 | 3,006,038 | 8.1 | 6.3 |
| YOLOv8s | 82.2 | 76.7 | 11,126,358 | 28.4 | 22.5 |
| GCM-YOLO | 82.9 | 76.9 | 1,854,596 | 5.3 | 4.1 |
Disclaimer/Publisher’s Note: The statements, opinions and data contained in all publications are solely those of the individual author(s) and contributor(s) and not of MDPI and/or the editor(s). MDPI and/or the editor(s) disclaim responsibility for any injury to people or property resulting from any ideas, methods, instructions or products referred to in the content. |
© 2024 by the authors. Licensee MDPI, Basel, Switzerland. This article is an open access article distributed under the terms and conditions of the Creative Commons Attribution (CC BY) license (https://creativecommons.org/licenses/by/4.0/).
Share and Cite
Ma, S.; Li, W.; Wan, L.; Zhang, G. A Lightweight Fire Detection Algorithm Based on the Improved YOLOv8 Model. Appl. Sci. 2024, 14, 6878. https://doi.org/10.3390/app14166878
Ma S, Li W, Wan L, Zhang G. A Lightweight Fire Detection Algorithm Based on the Improved YOLOv8 Model. Applied Sciences. 2024; 14(16):6878. https://doi.org/10.3390/app14166878
Chicago/Turabian StyleMa, Shuangbao, Wennan Li, Li Wan, and Guoqin Zhang. 2024. "A Lightweight Fire Detection Algorithm Based on the Improved YOLOv8 Model" Applied Sciences 14, no. 16: 6878. https://doi.org/10.3390/app14166878
APA StyleMa, S., Li, W., Wan, L., & Zhang, G. (2024). A Lightweight Fire Detection Algorithm Based on the Improved YOLOv8 Model. Applied Sciences, 14(16), 6878. https://doi.org/10.3390/app14166878

