Reduction Potential of Gaseous Emissions in European Ports Using Cold Ironing
Abstract
1. Introduction
2. General Approach to Maritime Decarbonization
3. Cold Ironing Concept
- (1)
- The ship enters a port and docks at a berth or pier,
- (2)
- The port provides an electrical connection point,
- (3)
- The electrical system of the ship is connected to the electrical connection point using a cable and a plug,
- (4)
- The electrical system of the ship is powered by the onshore electrical connection point,
- (5)
- The engines and the generators of the ship are switched off, and the zero-emission phase starts,
- (6)
- The electrical system of the ship powers all necessary onboard systems during the time spent at berth,
- (7)
- The ship is declared ready to depart,
- (8)
- The main engines and the auxiliary generators of the ship are switched on, and the zero-emission phase ends,
- (9)
- The onshore electrical connection is interrupted.
4. Methodological Approach
- (1)
- Extensive overview of the current state of cold ironing in European ports, which includes the following:
- Search and analysis of data on cold ironing usage across EU ports,
- Selection of a sampling group of 10 ports for the development of further investigations,
- Estimation of power demand of ships at berths,
- Estimation of emission/energy [g/kW/h] for auxiliary engines and electricity production,
- (2)
- Quantification of the time spent by ships in ports, based on a survey on a selected sampling group of ports, which includes the collection of MarineTraffic® data for 2 weeks on dwell time in the sampling group of ports with cold ironing in operation,
- (3)
- Estimation of the potential reduction of gaseous emissions of various typologies of ships in ports achievable by cold ironing implementation, which includes the calculation of emissions from auxiliary engines in a reference scenario (without cold ironing) and during cold ironing in full operation (auxiliary engines switched off),
- (4)
- Estimation of global potential benefits, implementation challenges, and identification of technological and operational solutions,
- (5)
- Assessment of potential solutions and identification of further research needs.
5. Ports with Cold Ironing in Operation
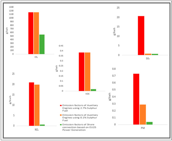
6. Power Needs and Gaseous Emissions in Ports
7. Time Spent in Ports by the Ships
8. Potential Savings of Emissions
- CO2: −53%;
- NOx: −97%;
- SOx: −96%;
- VOC: −95%;
- PM: −94%.
9. Potential Benefits of Cold Ironing in European Ports
- It can significantly reduce emissions of air pollutants and greenhouse gases that have a negative impact on the health of humans and the planet, improving the local air quality and decelerating the global warming process;
- It can help to save energy and reduce costs for ships: its utilization can decrease fuel utilization by about 50%, which can yield substantial fuel cost reductions for ships, thereby making them more competitive and ecologically sustainable;
- It can bring economic benefits to ports, increasing revenue and creating jobs, thereby fostering economic development;
- It can help European ports and countries to meet their emissions reduction targets set by the European Union;
- It is a key element in the transition towards a low-carbon economy and sustainable shipping;
- It can also significantly reduce noise pollution as ships turn off their engines while docked;
- It can reduce the risk of accidents caused by ships’ engines and auxiliary systems, such as oil spills and fires.
10. Potential Barriers for Cold Ironing Implementation
- Technical and logistics: the introduction of cold ironing technology requires significant investment in infrastructure and equipment, installing power supplies, transformers, and cables; this can be a complex and time-consuming process, requiring the involvement of multiple stakeholders, including port authorities, ship owners, and energy companies,
- Funding and financing: cold ironing can be a costly investment, and funding the necessary infrastructure and equipment can be challenging; ports and ship owners may need to work with governments, financial institutions, and other stakeholders to secure it. According to the literature, the total cost of retrofitting a ship with shore-side power equipment can range from 0.2 to 2.0 MEUR/berth, which demonstrates the importance of the local complexity of the connection between grid and berths,
- Standards and regulations: cold ironing is a relatively new technology, and there are currently no standardized guidelines for its implementation; this can make it difficult for ports and ships to define required equipment and infrastructure and ensure that the system is operating safely and efficiently [13],
- Interoperability: different countries and ports have different standards, regulations, and infrastructure for cold ironing, which can make it difficult for ships to use the technology across ports; it is a significant challenge for shipping companies that operate in multiple countries and regions,
- Lack of awareness: some ports and ship owners may not yet be completely familiar with the technology and its benefits and may not be motivated to invest in it, which can be a significant barrier to the implementation of cold ironing,
- Grid infrastructure: some ports may not have the necessary power grid infrastructure to support the large power needs of cold ironing; this can make it difficult to implement the technology,
- Environmental regulations: cold ironing requires a large amount of energy, which can be derived from fossil fuels if renewable sources are not sufficient to cover the need; this can be a significant challenge for ports and ships that are looking to implement it in compliance with environmental regulations and targets [15],
- Safety: cold ironing systems can be vulnerable to power failures, power surges, and other issues that can affect the safety of ships, ports, and cargo; this can be a significant concern for ports and ships and can limit the overall benefits,
- Technological progress: cold ironing technology is still in the development phase, and there are continuous advancements in the technology, which can be adopted in the future, such as hydrogen-based and other forms of alternative maritime power that could offer even greater emissions reduction benefits; therefore, ports and ships must be prepared to continuously update and improve their systems to stay competitive and maximize the benefits.
11. Potential Solutions to Overcome Barriers: Next Research Developments
- Technical and logistics: establishing standardized guidelines and protocols for the installation and operation of cold ironing systems can help to ensure safety and efficiency and reduce costs and complexity of the implementation,
- Funding and financing: establishing funding mechanisms, such as grants and low-interest loans, to support the implementation of cold ironing. Additionally, ports and ship owners can collaborate with local governments, financial institutions, and other stakeholders to secure the needed funding [16],
- Standards and regulations: accelerating the multilateral standardization in equipment and the international agreements about concerned rules and regulations will pave the way to faster and more efficient implementations; the high-level framework recently consolidated by [5,6] should be enriched by the concerned harmonized technical standards,
- Limited availability of shore power: increasing the availability of shore power in ports by encouraging investment in the necessary infrastructure and equipment and by working with governments and other stakeholders to support the implementation,
- Interoperability: establishing a harmonized approach in the European Union and beyond by adopting a common set of standardized infrastructures can help to ensure that ships can use the technology while traveling across ports,
- Lack of awareness: increasing evidence of the achievable benefits among ship owners and other operators by providing information and training on the technology, as well as by promoting the benefits of cold ironing to the public,
- Grid infrastructure: upgrading the power grid infrastructure to support the large power needs by working with power companies and governments to invest in new infrastructure and equipment,
- Environmental regulations: using clean energy sources, such as wind, solar, and hydroelectric power, to generate the energy needed to make cold ironing compliant with environmental regulations and targets,
- Safety: establishing guidelines by working with industry experts and regulatory bodies to develop protocols for the safe operation of systems and components,
- Technological progress: staying updated with the latest technological advancements so that ports and ships can adopt them, which can provide better results than the traditional cold ironing; additionally, ports and ships can invest in research and development to further improve the technologies and make them more efficient, reliable, and cost-effective.
12. Conclusions
- ▪
- A still restricted sampling group of ports with cold ironing in operation, partially limiting the generalizability of findings and feedback on implementation hurdles, resistance to adoption, etc.,
- ▪
- A certain lack of data on emissions and energy demands, often considered sensible and not disclosable by the concerned stakeholders.
- ▪
- Enlargement of the sampling groups of ports in Europe and worldwide,
- ▪
- Comparison of effectiveness and integration with other initiatives, such as electric or hydrogen-powered cargo handling equipment,
- ▪
- Addressing concerns and educating stakeholders,
- ▪
- Prediction of long-term impacts,
- ▪
- Prediction of effects on local communities, such as health and well-being, including noise and vibration reduction,
- ▪
- Assessment of regulations for large implementation in EU ports, such as identification of legal or policy obstacles,
- ▪
- Evaluation of potential impacts of weather conditions.
Author Contributions
Funding
Institutional Review Board Statement
Informed Consent Statement
Data Availability Statement
Conflicts of Interest
References
- Suykens, F.; Van de Voorde, E. The role of seaports in intermodal transport chains: The market impact of changing transport policies. Marit. Policy Manag. 1998, 25, 71–88. [Google Scholar] [CrossRef]
- Notteboom, T.E.; Winkelmans, W. Structural changes in logistics: How will port authorities face the challenge? Marit. Policy Manag. 2001, 28, 71–89. [Google Scholar] [CrossRef]
- Brooks, M.-R.; Pallis, A.A. The Blackwell Companion to Maritime Economics, 1st ed.; Talley, W.K., Ed.; Blackwell Publishing Ltd.: Hoboken, NJ, USA, 2012; pp. 491–516. [Google Scholar] [CrossRef]
- Alamoush, A.S.; Ballini, F.; Ölçer, A.I. Revisiting port sustainability as a foundation for the implementation of the United Nations Sustainable Development Goals (UN SDGs). J. Shipp. Trade 2021, 6, 19. [Google Scholar] [CrossRef]
- European Parliament; Council of the European Union. Regulation (EU) 2023/1805 of the European Parliament and of the Council of 13 September 2023 on the use of renewable and low-carbon fuels in maritime transport. Off. J. Eur. Union 2023, 234, 48–100. [Google Scholar]
- European Parliament; Council of the European Union. Directive (EU) 2024/1711 of the European Parliament and of the Council of 13 June 2024 on improving the Union’s electricity market design. Off. J. Eur. Union 2024. Available online: https://eur-lex.europa.eu/eli/dir/2024/1711 (accessed on 10 July 2024).
- Marinacci, C.; Masala, R.; Ricci, S.; Tieri, A. Technical-Economical and Financial Analysis of Cold-Ironing: Case study of Cruise Terminal of Port of Venice—In Computational Methods in Marine Engineering V. In Proceedings of the 5th International Conference on Computational Methods in Marine Engineering MARINE, Hamburg, Germany, 29 May 2013; pp. 564–574, ISBN 978-849414074-7. [Google Scholar]
- Abu Bakar, N.N.; Bazmohammadi, N.; Vasquez, J.C.; Guerrero, J.M. Electrification of onshore power systems in maritime transportation towards decarbonization of ports: A review of the cold ironing technology. Renew. Sustain. Energy Rev. 2023, 178, 113243. [Google Scholar] [CrossRef]
- Kizielewicz, J. Environmentally Friendly Cruise Seaports in Northern Europe—Onshore Power Supply. TransNav 2023, 17, 357–363. [Google Scholar] [CrossRef]
- Fiadomor, R. Assessment of Alternative Maritime Power (Cold Ironing) and Its Impact on Port Management and Operations. Master’s Thesis, World Maritime University, Malmo, Sweden, 2009. [Google Scholar]
- Zis, T.P.V. Prospects of cold ironing as an emissions reduction option. Transp. Res. Part A 2019, 119, 82–95. [Google Scholar] [CrossRef]
- Piccoli, T.; Fermeglia, M.; Bosich, D.; Bevilacqua, P.; Sulligoi, G. Environmental Assessment and Regulatory Aspects of Cold Ironing Planning for a Maritime Route in the Adriatic Sea. Energies 2021, 14, 5836. [Google Scholar] [CrossRef]
- Pruyn, J.; Willeijns, J. Cold ironing: Modelling the interdependence of terminals and vessels in their choice of suitable systems. J. Shipp. Trade 2022, 7, 17. [Google Scholar] [CrossRef]
- Glavinovic, R.; Krcum, M.; Vukic, L.; Karin, I. Cold Ironing Implementation Overview in European Ports—Case Study—Croatian Ports. Sustainability 2023, 15, 8472. [Google Scholar] [CrossRef]
- Sifakis, N.; Tsoutsos, T. Planning zero-emissions ports through the nearly zero energy port concept. J. Clean. Prod. 2021, 286, 125448. [Google Scholar] [CrossRef]
- Zanne, M.; Twrdy, E. The Economic Feasibility of Port Air Emissions Reduction Measures: The Case Study of the Port of Koper. Econ. Bus. Rev. 2021, 23, 141–151. [Google Scholar] [CrossRef]





| Country | Port |
|---|---|
| Belgium | Antwerp |
| France | Le Havre |
| Germany | Hamburg |
| Greece | Piraeus |
| Italy | Genoa |
| Netherlands | Amsterdam |
| Netherlands | Rotterdam |
| Spain | Barcelona |
| Sweden | Gothenburg |
| United Kingdom | London |
| Category of Ship | Power Need at Port |
|---|---|
| Cruise | 7.0–11.1 |
| Container | 4.0–8.8 |
| LNG carrier | 3.0–7.7 |
| Ro-Ro | 1.0–2.2 |
| Passenger | 0.7–1.1 |
| Solid bulk | 0.5–1.1 |
| Service and support | 0.5–0.8 |
| Fuel in Use | NOx | SO2 | VOC | PM |
|---|---|---|---|---|
| 2.7% Sulphur | 12.47 | 12.30 | 0.40 | 0.80 |
| 0.1% Sulphur | 11.80 | 0.46 | 0.40 | 0.30 |
| Source | NOx | SO2 | VOC | PM |
|---|---|---|---|---|
| Average EU mix | 0.35 | 0.46 | 0.02 | 0.03 |
Disclaimer/Publisher’s Note: The statements, opinions and data contained in all publications are solely those of the individual author(s) and contributor(s) and not of MDPI and/or the editor(s). MDPI and/or the editor(s) disclaim responsibility for any injury to people or property resulting from any ideas, methods, instructions or products referred to in the content. |
© 2024 by the authors. Licensee MDPI, Basel, Switzerland. This article is an open access article distributed under the terms and conditions of the Creative Commons Attribution (CC BY) license (https://creativecommons.org/licenses/by/4.0/).
Share and Cite
Peddi, K.P.; Ricci, S.; Rizzetto, L. Reduction Potential of Gaseous Emissions in European Ports Using Cold Ironing. Appl. Sci. 2024, 14, 6837. https://doi.org/10.3390/app14156837
Peddi KP, Ricci S, Rizzetto L. Reduction Potential of Gaseous Emissions in European Ports Using Cold Ironing. Applied Sciences. 2024; 14(15):6837. https://doi.org/10.3390/app14156837
Chicago/Turabian StylePeddi, Krishna Pavan, Stefano Ricci, and Luca Rizzetto. 2024. "Reduction Potential of Gaseous Emissions in European Ports Using Cold Ironing" Applied Sciences 14, no. 15: 6837. https://doi.org/10.3390/app14156837
APA StylePeddi, K. P., Ricci, S., & Rizzetto, L. (2024). Reduction Potential of Gaseous Emissions in European Ports Using Cold Ironing. Applied Sciences, 14(15), 6837. https://doi.org/10.3390/app14156837

