Influence of Improved Particle Breakage Index on Deformation Strength Characteristics of Soil-Rock Mixtures
Abstract
1. Introduction
2. Introduced the Improved Particle Breakage Index BC
2.1. Improved the Definition of the Breakage Index
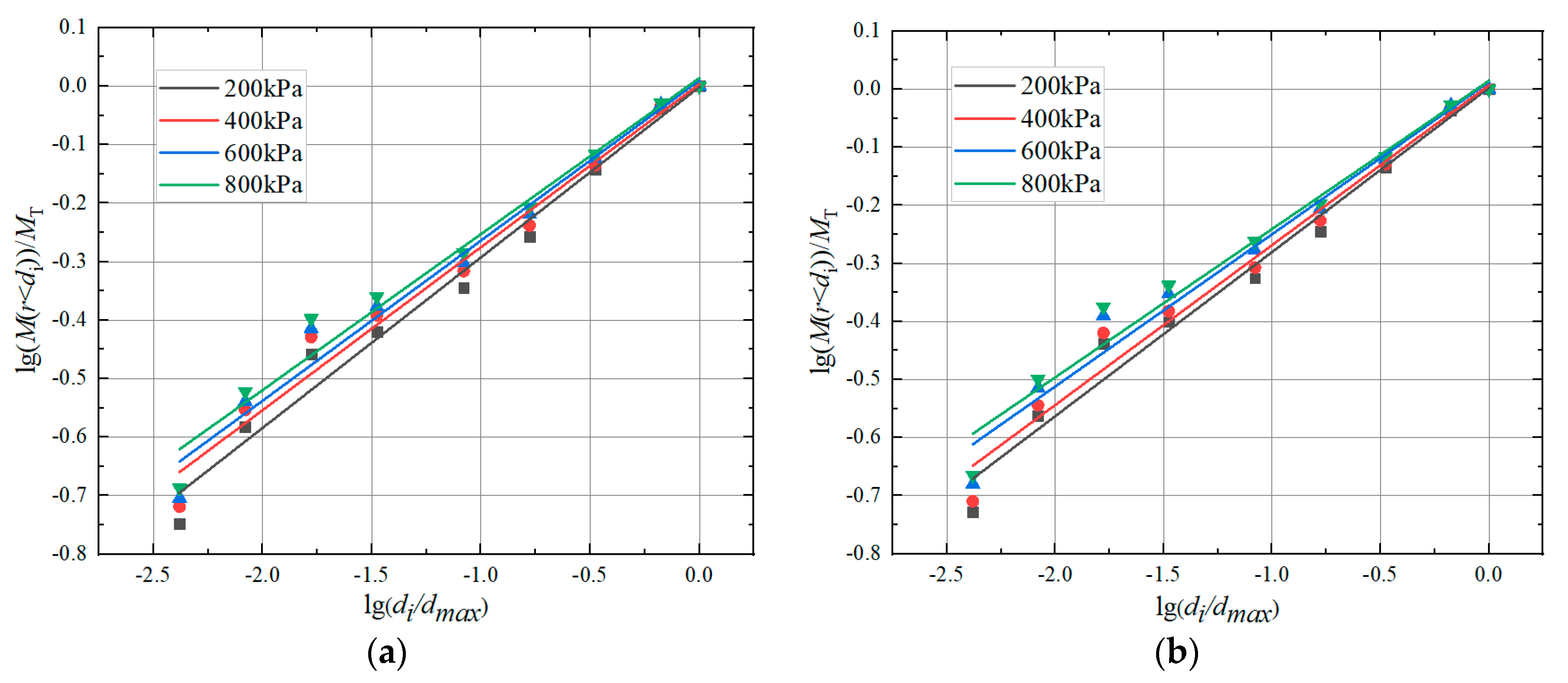
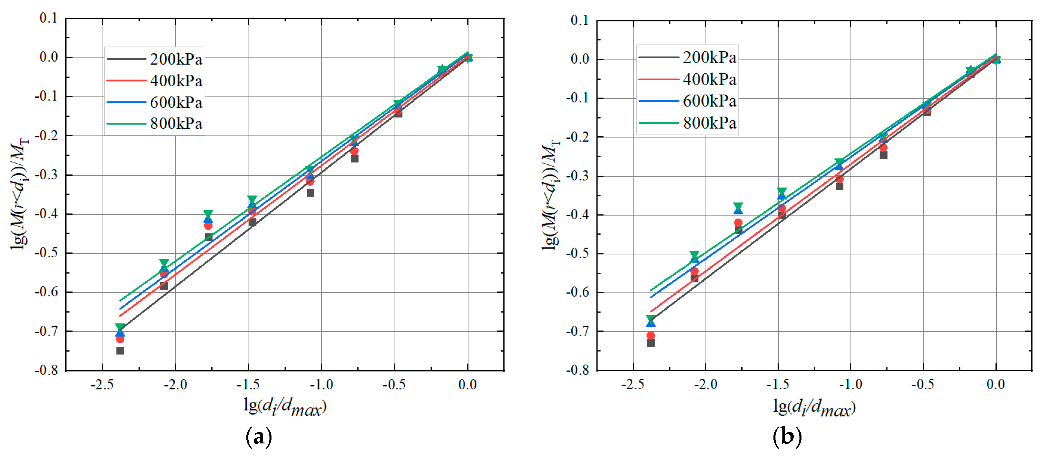
2.2. Improve the Quantitative Correlation between the Breakage Index BC and Fractal Dimension D
3. Large-Scale Triaxial Test on the Shear Failure Characteristics of a Soil-Rock Mixture
3.1. Experimental Procedures
3.2. Analysis of the Stress‒Strain Relationship Curve
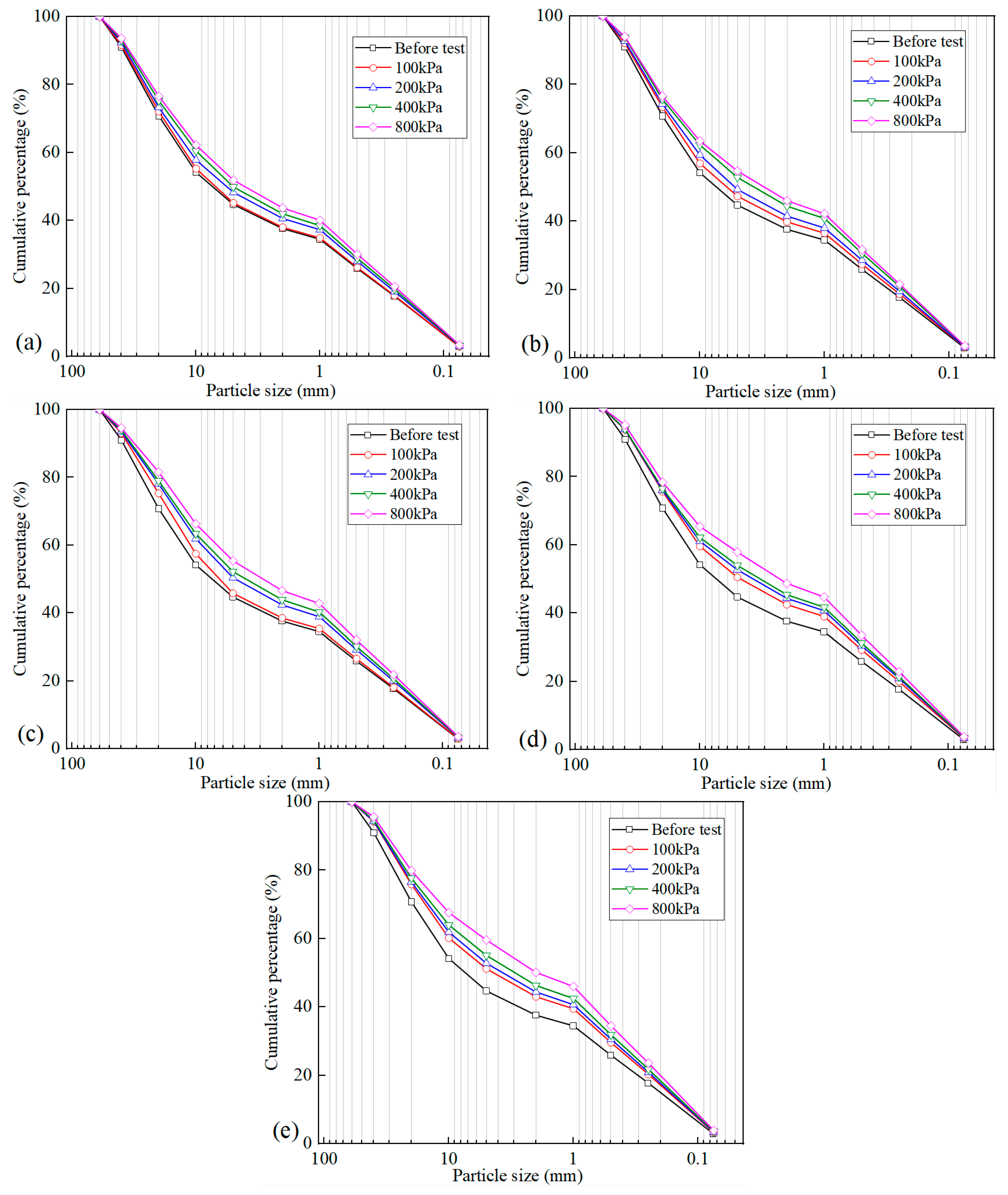
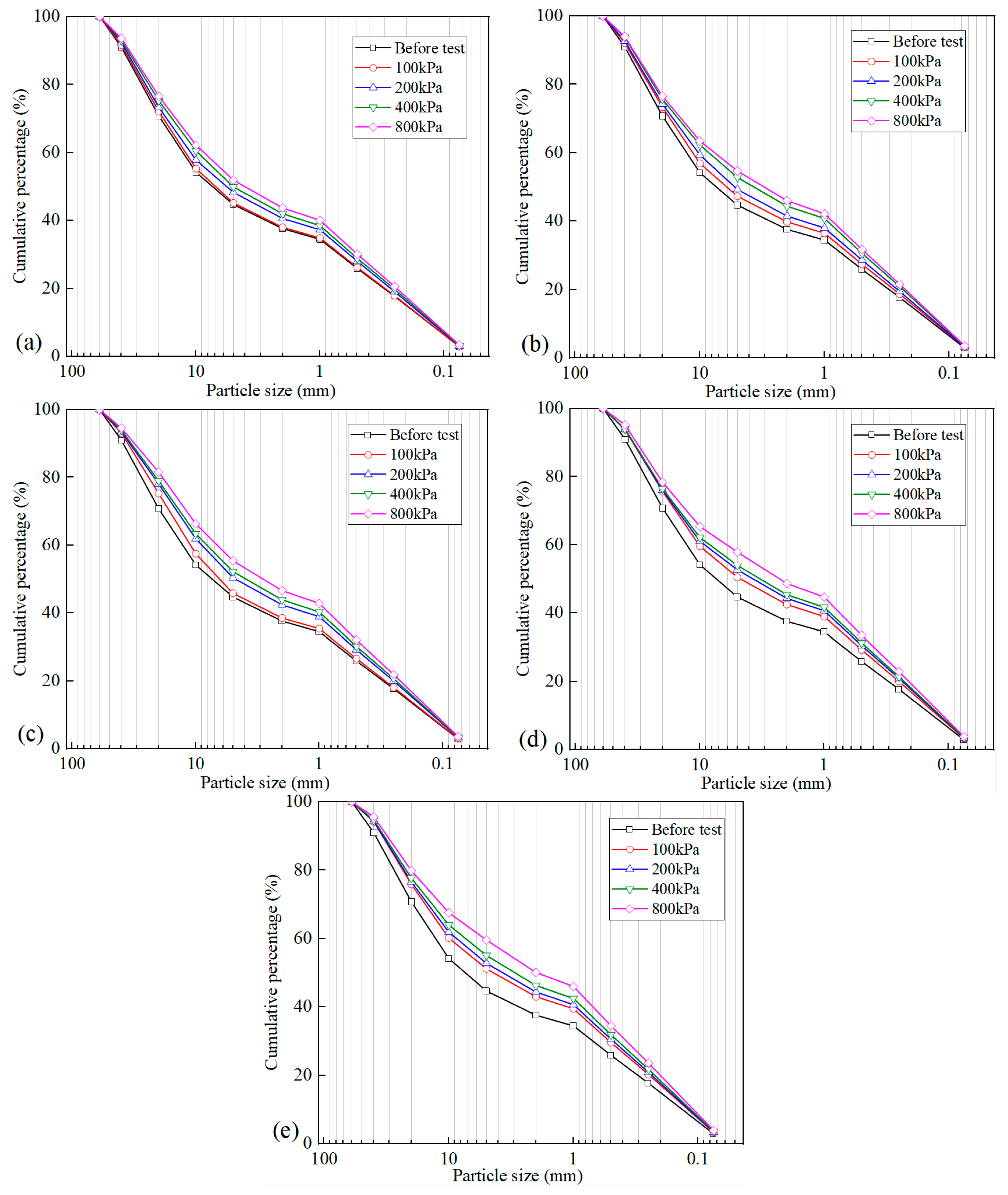
3.3. Analyzing the Particle-Grading Curves before and after Shearing at Various Dry Densities
3.4. Analyzing the Particle Breakage Characteristics of Soi-Rock Mixtures Using an Improved Particle Breakage Index, BC
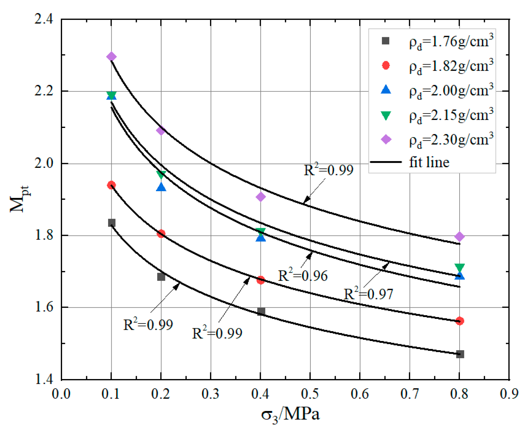
4. Analyzing the Impact of the Particle Breakage Index BC on the Deformation Strength Characteristics
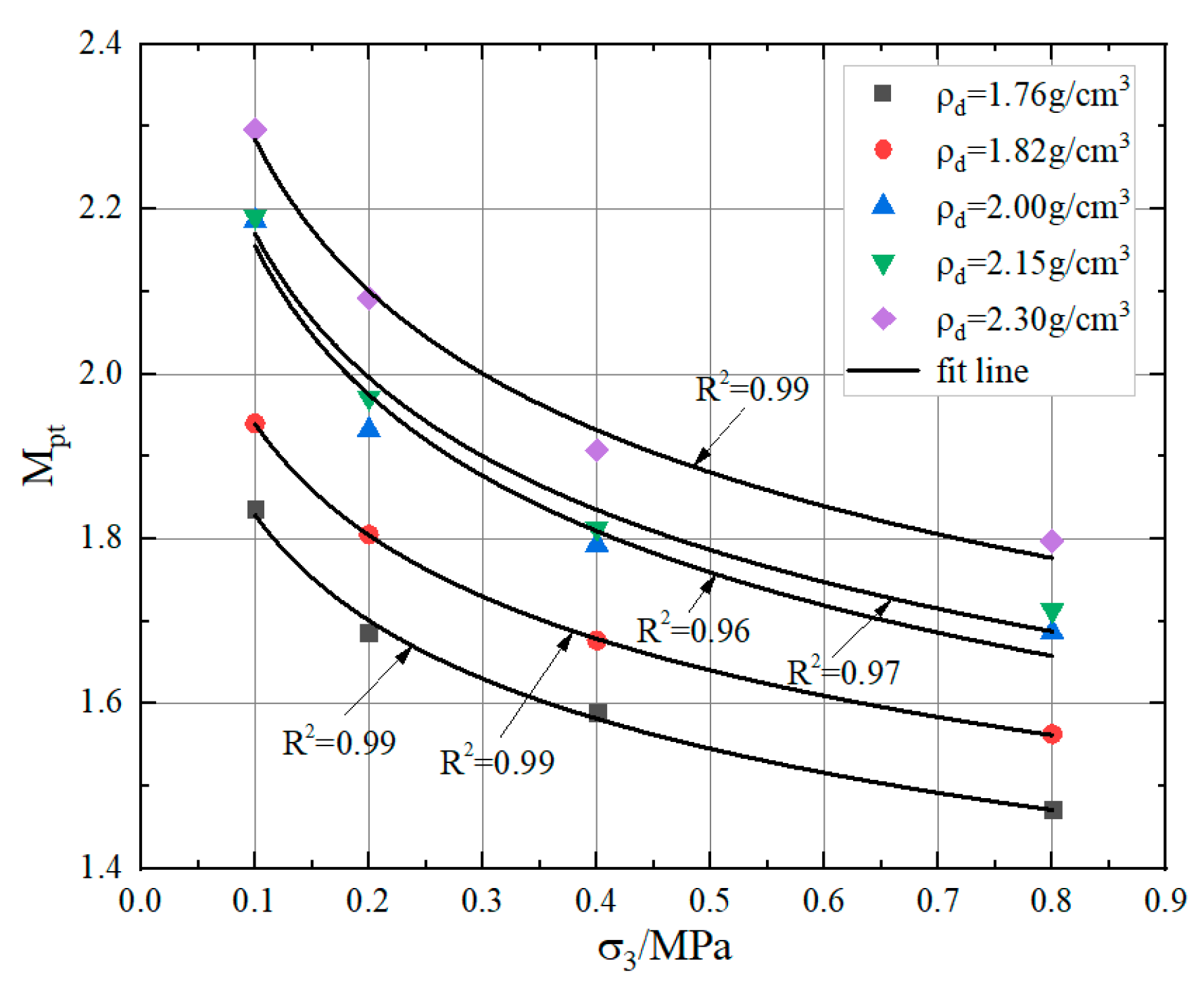
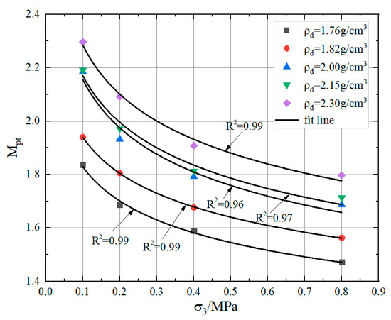
4.1. Analyzing the Impact of the Breakage Index BC on the Deformation Characteristics
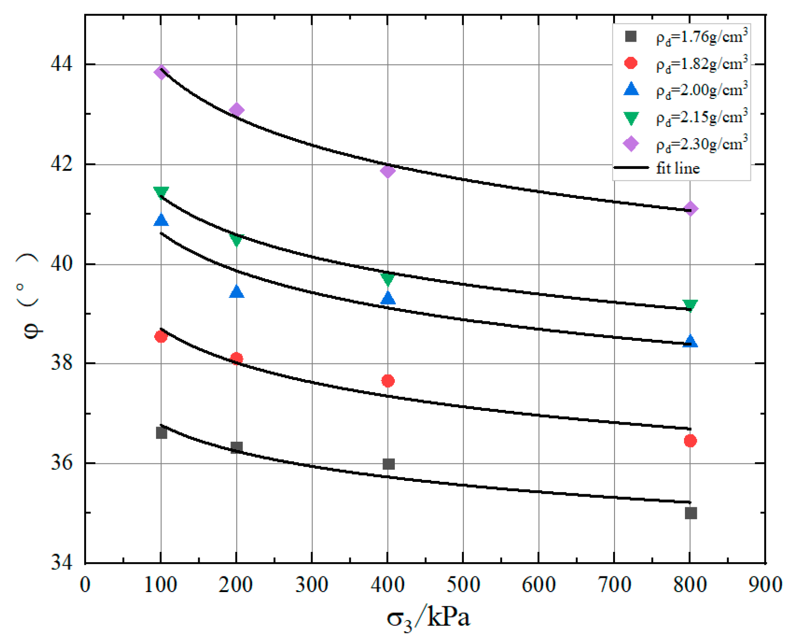
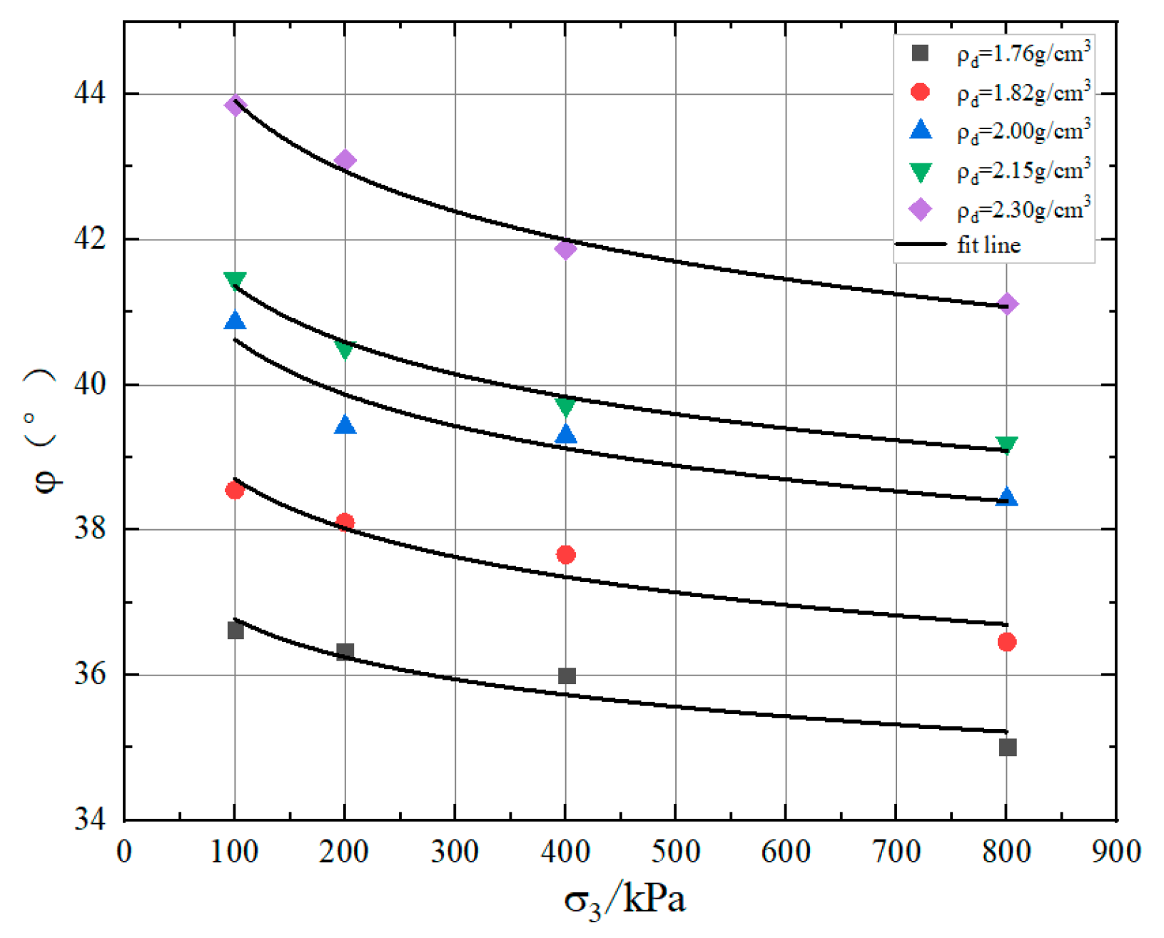
4.2. Analyzing the Impact of the Breakage Index BC on the Strength Characteristics
5. Conclusions
Author Contributions
Funding
Institutional Review Board Statement
Informed Consent Statement
Data Availability Statement
Conflicts of Interest
References
- Marsal, R.J. Mechanical properties of rockfill. In Embankment Dam Engineering Casagrande Volume; Wiley: New York, NY, USA, 1973. [Google Scholar]
- Hardin, B.O. Breakage of soil particles. J. Geotech. Eng. 1985, 111, 1177–1192. [Google Scholar] [CrossRef]
- Einav, I. Breakage mechanics—Part i: Theory. J. Mech. Phys. Solids 2007, 55, 1274–1297. [Google Scholar] [CrossRef]
- Wu, E.L.; Zhu, J.G.; Huang, W.; Liu, Z. Evolution law of particle breakage of coarse-grained soil during triaxial shearing. Chin. J. Geotech. Eng. 2020, 42, 2330–2335. [Google Scholar]
- Guo, W.L.; Zhu, J.G.; Wang, Q.L.; Yu, T. Mathematical model based on the gradation equation for predicting gradation evolution of coarse-grained soils. J. Cent. South Univ. (Sci. Technol.) 2018, 49, 2076–2082. [Google Scholar]
- Tao, Q.D.; He, Z.Y.; Jia, Y. Strength Characteristics and Influencing Factors of Soil-rock Mixture Based on Large Triaxial Test. Sci. Technol. Eng. 2019, 19, 310–318. [Google Scholar]
- Tu, Y.L.; Liu, X.R.; Ren, Q.Y.; Chai, H.J.; Wang, J.B.; Yu, J.Y. Effects of rock contents and particle breakage on strength characteristics of soil-rock aggregate. Rock Soil Mech. 2020, 41, 3919–3928. [Google Scholar]
- Lei, X.D.; Yang, Z.P.; Zhang, X.J.; Tu, Y.L.; Liu, S.L.; Hu, Y.X. Shear properties and rock block breakage characteristics of soil-rock mixtures. Rock Soil Mech. 2018, 39, 899–908+916. [Google Scholar]
- Yang, S.; Li, X.Q. Simulation Analysis of Large Direct Shear Test of Soil and Rock Mixture Based on PFC3D. Adv. Eng. Sci. 2020, 52, 78–85. [Google Scholar]
- Hu, W.; Dano, C.; Hicher, P.-Y.; Le Touzo, J.-Y.; Derkx, F.; Merliot, E. Effect of sample size on the behavior of granular materials. Geotech. Test. J. 2011, 34, 103095. [Google Scholar] [CrossRef]
- Jiang, M.J.; Ji, E.Y.; Wang, T.C.; Li, S.; Zhu, J.; Mei, G. Experimental study on laws of scale effects of shear strength of coarse-grained soils. Chin. J. Geotech. Eng. 2023, 45, 855–861. [Google Scholar]
- Cai, Z.Y.; Li, X.M.; Guan, Y.F.; Huang, Y.H. Particle breakage rules of rockfill materials. Chin. J. Geotech. Eng. 2016, 38, 923–929. [Google Scholar]
- Guo, W.L.; Zhu, J.G.; Qian, B.; Zhang, D. Particle breakage evolution model of coarse-grained soil and its experimental verification. Rock Soil Mech. 2019, 40, 1023–1029. [Google Scholar]
- Wu, X.L.; Shi, B.X.; Liu, S.C.; Xu, W.W.; Chang, W.K. Large-scale Triaxial Test of Rockfill Material Considering Particle Breakage. Sci. Technol. Eng. 2022, 22, 749–756. [Google Scholar]
- Liang, P.; Yang, Y.; Huang, H.; Liu, J.; Guo, N. Experimental Study on Fractal Characteristics of Particle Size Distribution by Repeated Compaction of Road Recycling Crushed Stone. Appl. Sci. 2022, 12, 10303. [Google Scholar] [CrossRef]
- Shi, Z.M.; Zhao, X.W.; Peng, M. Review of Studies on Large Scale Triaxial Tests of Coarse-Grained Soils. J. Eng. Geol. 2014, 22, 792–796. [Google Scholar]
- Liu, M.C.; Meng, F.; Wang, Y.Y. Evolution of particle crushing of coarse-grained materials in large-scale triaxial tests. Chin. J. Geotech. Eng. 2020, 42, 561–567. [Google Scholar]
- Yu, F. Particle breakage in granular soils: A review. Part. Sci. Technol. 2021, 39, 91–100. [Google Scholar] [CrossRef]
- Muir Wood, D.; Maeda, K. Changing grading of soil: Effect on critical state. Acta Geotech. 2008, 3, 3–14. [Google Scholar] [CrossRef]
- Mandelbrot, B.B.; Wheeler, J.A. The fractal geometry of nature. Am. J. Phys. 1983, 51, 286–287. [Google Scholar] [CrossRef]
- Du, J.; Hou, K.P.; Liang, W.; Peng, G.C. Experimental study of compaction characteristics and fractal feature in breakage of coarse-grained soils. Rock Soil Mech. 2013, 34, 155–161. [Google Scholar]
- Tyler, S.W.; Wheatcraft, S.W. Fractal scaling of soil particle-size distributions: Analysis and limitations. Soil Sci. Soc. Am. J. 1992, 56, 362–369. [Google Scholar] [CrossRef]
- Shi, X.S.; Cheng, Z.L. fractal behavior in crushing of rockfill material. Chin. J. Rock Mech. Eng. 2010, 29, 3852–3857. [Google Scholar]
- Ding, L.N.; Li, G.Y. SBG model for particle breakage of rockfills based on fractal gradation equation. Chin. J. Geotech. Eng. 2022, 44, 264–270. [Google Scholar]
- GB/T 50123-2019; Standard for Geotechnical Testing Method. Chinese Standard: Beijing, China, 2019. (In Chinese)
- Manzari, M.T.; Dafalias, Y.F. A critical state two-surface plasticity model for sand. Géotechnique 1997, 47, 255–272. [Google Scholar] [CrossRef]
- Liu, H.L.; Qin, H.Y.; Gao, Y.F.; Zhou, Y.D. Experimental study on particle breakage of rockfill and coarse aggregates. Rock Soil Mech. 2005, 26, 562–566. [Google Scholar]
- Guo, Y.; Zhang, J.; Li, M.; Timms, W.; Shen, L.; Li, P. Effects of Loading Stress and Velocity on Compression and Particle Breakage Behaviour of Waste Rocks in Backfill Coal Mining. Appl. Sci. 2022, 12, 11175. [Google Scholar] [CrossRef]
- Liu, Y.; Yu, P.Q.; Zhang, D.; Wang, X.X. Micromechanics-based stress-dilatancy relationship for granular materials. Chin. J. Geotech. Eng. 2021, 43, 1816–1824. [Google Scholar]
- Cai, Z.Y.; Hou, H.Y.; Zhang, J.X.; Zhang, F.; Guan, Y.; Cao, Y. Experimental study on the influence of density and stress level on particle breakage of coral sand. Shuili Xuebao 2019, 50, 184–192. [Google Scholar]
- Guo, W.L.; Zhu, J.G.; Peng, W.M. Dilatancy equation and generalized plastic constitutive model for coarse-grained soils. Chin. J. Geotech. Eng. 2018, 40, 1103–1110. [Google Scholar]
- Cai, Z.Y.; Zhong, Q.M.; He, N.; Xia, Y.F.; Zhu, J.G. Research Framework of the State-dependent Dilatancy Theory and Breach Evolution Law of Landslide Dam. Adv. Eng. Sci. 2021, 53, 21–32. [Google Scholar]
- Shi, B.X.; Liu, S.C.; Wu, X.L.; Chang, W.K. Dilatancy behaviors of rockfill materials considering particle breakage. Chin. J. Geotech. Eng. 2021, 43, 1360–1366. [Google Scholar]
- Zhang, Z.P.; Fu, X.D.; Sheng, Q.; Yin, D.; Song, D.; Du, Y. A non-linear ultimate strength criterion for soil-rock mixture based on rock block proportion. Chin. J. Rock Mech. Eng. 2021, 40, 1672–1686. [Google Scholar]
- Duncan, J.M.; Byrne, P.; Wong, K.S.; Mabry, P. Strength, stress-strain and bulk modulus parameters for finite element analyses of stresses and movements in soil masses. J. Consult. Clin. Psychol. 1980, 49, 554–567. [Google Scholar]
- Liu, X.R.; Tu, Y.L.; Wang, P.; Zhong, Z.L.; Tang, W.B.; Du, L.B. Particle breakage of soil-rock aggregate based on large-scale direct shear tests. Chin. J. Geotech. Eng. 2017, 39, 1425–1434. [Google Scholar]


















| Test Number | Minimum Dry Density g/cm3 | Maximum Dry Density g/cm3 | Sample Dry Density g/cm3 | Initial Void Ratio e0 |
|---|---|---|---|---|
| 1 | 1.65 | 1.85 | 1.76 | 0.61 |
| 2 | 1.71 | 1.91 | 1.82 | 0.55 |
| 3 | 1.82 | 2.15 | 2.00 | 0.42 |
| 4 | 1.98 | 2.28 | 2.15 | 0.32 |
| 5 | 2.16 | 2.39 | 2.30 | 0.23 |
| ρd (g/cm3) | σ3 (kPa) | Different Particle Size of Each Particle Group Content (%) | ||||||||
|---|---|---|---|---|---|---|---|---|---|---|
| 60~40 mm | 40~20 mm | 20~10 mm | 10~5 mm | 5~2 mm | 2~1 mm | 1~0.5 mm | 0.5~0.25 mm | <0.25 mm | ||
| Before test | 9.00 | 20.20 | 16.60 | 9.50 | 7.10 | 3.10 | 8.60 | 8.20 | 17.70 | |
| 1.76 | 100 | 8.40 | 19.50 | 16.70 | 10.20 | 7.20 | 3.10 | 8.70 | 8.30 | 17.90 |
| 200 | 7.60 | 19.10 | 15.50 | 9.50 | 7.70 | 3.30 | 9.30 | 8.90 | 19.10 | |
| 400 | 7.00 | 17.70 | 14.80 | 10.50 | 7.90 | 3.50 | 9.60 | 9.20 | 19.80 | |
| 800 | 6.40 | 17.00 | 14.40 | 10.30 | 8.20 | 3.60 | 10.00 | 9.50 | 20.60 | |
| 1.82 | 100 | 7.90 | 18.70 | 16.40 | 9.60 | 7.50 | 3.30 | 9.10 | 8.70 | 18.80 |
| 200 | 7.30 | 18.40 | 14.90 | 10.10 | 7.80 | 3.40 | 9.50 | 9.00 | 19.60 | |
| 400 | 6.20 | 18.10 | 13.40 | 9.50 | 8.40 | 3.70 | 10.20 | 9.70 | 20.80 | |
| 800 | 6.00 | 17.40 | 13.10 | 8.90 | 8.70 | 3.80 | 10.50 | 10.00 | 21.60 | |
| 2.00 | 100 | 6.90 | 17.70 | 17.80 | 11.70 | 7.30 | 3.20 | 8.80 | 8.40 | 18.20 |
| 200 | 6.50 | 15.50 | 16.20 | 11.40 | 8.00 | 3.50 | 9.70 | 9.30 | 19.90 | |
| 400 | 6.00 | 14.90 | 15.70 | 11.20 | 8.30 | 3.60 | 10.00 | 9.60 | 20.70 | |
| 800 | 5.40 | 13.00 | 15.30 | 10.90 | 8.80 | 3.80 | 10.70 | 10.20 | 21.90 | |
| 2.15 | 100 | 6.20 | 18.20 | 16.00 | 9.10 | 8.00 | 3.50 | 9.70 | 9.30 | 20.00 |
| 200 | 6.10 | 17.90 | 14.90 | 8.40 | 8.40 | 3.70 | 10.10 | 9.80 | 20.70 | |
| 400 | 6.00 | 17.50 | 14.30 | 8.10 | 8.60 | 3.70 | 10.40 | 9.90 | 21.50 | |
| 800 | 4.80 | 16.80 | 13.10 | 7.50 | 9.20 | 4.00 | 11.10 | 10.60 | 22.90 | |
| 2.30 | 100 | 5.80 | 18.30 | 15.70 | 9.10 | 8.10 | 3.50 | 9.80 | 9.40 | 20.30 |
| 200 | 5.70 | 17.70 | 14.70 | 9.10 | 8.40 | 3.70 | 10.20 | 9.70 | 20.80 | |
| 400 | 5.30 | 16.90 | 13.70 | 8.90 | 8.70 | 3.80 | 10.60 | 10.10 | 22.00 | |
| 800 | 4.40 | 15.70 | 12.30 | 8.00 | 9.50 | 4.10 | 11.50 | 10.90 | 23.60 | |
| ρd (g/cm3) | σ3 (kPa) | D | BC (%) |
|---|---|---|---|
| Before test | / | 2.7080 | / |
| 1.76 | 100 | 2.7086 | 0.94 |
| 200 | 2.7215 | 2.40 | |
| 400 | 2.7264 | 3.93 | |
| 800 | 2.7335 | 5.05 | |
| 1.82 | 100 | 2.7174 | 2.15 |
| 200 | 2.7248 | 3.40 | |
| 400 | 2.7380 | 5.31 | |
| 800 | 2.7448 | 6.16 | |
| 2.00 | 100 | 2.7075 | 3.09 |
| 200 | 2.7260 | 5.56 | |
| 400 | 2.7322 | 6.57 | |
| 800 | 2.7431 | 8.62 | |
| 2.15 | 100 | 2.7286 | 4.54 |
| 200 | 2.7376 | 5.24 | |
| 400 | 2.7427 | 5.82 | |
| 800 | 2.7554 | 8.05 | |
| 2.30 | 100 | 2.7309 | 4.98 |
| 200 | 2.7370 | 5.76 | |
| 400 | 2.7452 | 6.97 | |
| 800 | 2.7601 | 9.31 |
| Number | ρd g/cm3 | (σ1 − σ3)f kPa | |||
|---|---|---|---|---|---|
| 100 | 200 | 400 | 800 | ||
| 1 | 1.76 | 473.2 | 770.1 | 1350.8 | 2311.8 |
| 2 | 1.82 | 548.8 | 906.5 | 1520.8 | 2610.8 |
| 3 | 2.00 | 805.2 | 1085.6 | 1782.2 | 3083.1 |
| 4 | 2.15 | 812.7 | 1150.3 | 1832.9 | 3196.0 |
| 5 | 2.30 | 978.7 | 1383.9 | 2095.6 | 3587.4 |
| ρd (g/cm3) | (kPa) | φ | φ0 | ∆φ | /kPa |
|---|---|---|---|---|---|
| 1.76 | 100 | 36.63 | 36.55 | 1.72 | 57 |
| 200 | 36.33 | ||||
| 400 | 36.00 | ||||
| 800 | 35.01 | ||||
| 1.82 | 100 | 38.55 | 38.44 | 2.23 | 73 |
| 200 | 38.10 | ||||
| 400 | 37.66 | ||||
| 800 | 36.46 | ||||
| 2.00 | 100 | 40.86 | 40.60 | 2.46 | 109 |
| 200 | 39.42 | ||||
| 400 | 39.30 | ||||
| 800 | 38.43 | ||||
| 2.15 | 100 | 41.45 | 41.34 | 2.71 | 112 |
| 200 | 40.51 | ||||
| 400 | 39.72 | ||||
| 800 | 39.20 | ||||
| 2.30 | 100 | 43.85 | 43.76 | 3.14 | 127 |
| 200 | 43.09 | ||||
| 400 | 41.66 | ||||
| 800 | 41.11 |
Disclaimer/Publisher’s Note: The statements, opinions and data contained in all publications are solely those of the individual author(s) and contributor(s) and not of MDPI and/or the editor(s). MDPI and/or the editor(s) disclaim responsibility for any injury to people or property resulting from any ideas, methods, instructions or products referred to in the content. |
© 2024 by the authors. Licensee MDPI, Basel, Switzerland. This article is an open access article distributed under the terms and conditions of the Creative Commons Attribution (CC BY) license (https://creativecommons.org/licenses/by/4.0/).
Share and Cite
Xu, P.; Chen, Z.; Fang, L.; Xu, Z.; Lin, Q.; Liu, Z. Influence of Improved Particle Breakage Index on Deformation Strength Characteristics of Soil-Rock Mixtures. Appl. Sci. 2024, 14, 5899. https://doi.org/10.3390/app14135899
Xu P, Chen Z, Fang L, Xu Z, Lin Q, Liu Z. Influence of Improved Particle Breakage Index on Deformation Strength Characteristics of Soil-Rock Mixtures. Applied Sciences. 2024; 14(13):5899. https://doi.org/10.3390/app14135899
Chicago/Turabian StyleXu, Ping, Zeliang Chen, Lingyun Fang, Zengguang Xu, Qingwei Lin, and Zhilong Liu. 2024. "Influence of Improved Particle Breakage Index on Deformation Strength Characteristics of Soil-Rock Mixtures" Applied Sciences 14, no. 13: 5899. https://doi.org/10.3390/app14135899
APA StyleXu, P., Chen, Z., Fang, L., Xu, Z., Lin, Q., & Liu, Z. (2024). Influence of Improved Particle Breakage Index on Deformation Strength Characteristics of Soil-Rock Mixtures. Applied Sciences, 14(13), 5899. https://doi.org/10.3390/app14135899
