Next Article in Journal
Space Efficiency in European High-Rise Timber Buildings
Next Article in Special Issue
Accurate Phase Calibration of Multistatic Imaging System for Medical and Industrial Applications
Previous Article in Journal
Analysis of a Mechanism Used to Operate an Oscillating Separator
Previous Article in Special Issue
A Waveform and Velocity Ambiguity Resolution Method for Corner Radar
 
 
Font Type:
Arial Georgia Verdana
Font Size:
Aa Aa Aa
Line Spacing:
Column Width:
Background:
Article

A Reconfigurable Single-/Dual-Bandstop Filter with Controllable Equal-Ripple Performance

1
College of Electronic Science and Engineering, Jilin University, 2699 Qianjin Street, Changchun 130012, China
2
Department of Electrical, Electronics and Information Engineering, Kanagawa University, 1-27-3, Rokkakubashi, Kanagawa-ku, Yokohama-shi 221-8686, Japan
*
Authors to whom correspondence should be addressed.
Appl. Sci. 2024, 14(13), 5837; https://doi.org/10.3390/app14135837
Submission received: 30 May 2024 / Revised: 25 June 2024 / Accepted: 1 July 2024 / Published: 3 July 2024

Abstract

Bandstop filters (BSFs) have many applications in suppressing interference signals and shielding specific bands. Among them, reconfigurable BSFs that cover more frequency bands by switching modes have great research value. In this paper, a novel synthesis approach for compact reconfigurable BSFs with controllable equal-ripple performance is proposed. By switching the ON/OFF state of the positive intrinsic negative (PIN) diode, the proposed reconfigurable BSF can be switched between single-BSF (S-BSF) and dual-BSF (D-BSF). Based on the synthesis approach, the equal-ripple levels of stopband and passband for S-BSF and D-BSF can be independently controlled. To verify, the equal-ripple levels of stopband and passband for S-BSF state and D-BSF state are independently controlled in four groups of examples. Finally, a reconfigurable BSF with a miniaturized size is designed and fabricated. The fabricated reconfigurable BSF behaves with 15 dB and 10 dB return loss (RL) in two different passbands of the D-BSF state, and 25 dB bandpass RL and controllable stopband rejection (SR) for the S-BSF state. The measured results are in good agreement with the electromagnetic (EM) simulation results.

1. Introduction

Microwave passive filters have been widely used in wireless communication systems to eliminate noise and interference signals. With the swift development of radio frequency (RF) microwave technology, RF components are expected to achieve multiple functionalities while exhibiting a limited circuit size. Consequently, reconfigurable filters [1,2,3] have become a research hotspot, which can be, respectively, designed by positive intrinsic negative (PIN) diodes [2,4,5], micro-electro-mechanical system (MEMS) switches [6,7,8], and iron electrical devices [9,10,11], etc.
Recently, PIN-based reconfigurable filters have been favored by researchers because of their strong reconfigurability, low cost, and easy integration. For instance, a novel reconfigurable bandpass-bandstop filter is presented based on varactor-loaded closed-ring resonators [12]. Moreover, a switchable microstrip bandpass filter (BPF) is designed based on two switchable delay lines [13]. This switchable BPF can switch between the Chebyshev response and the quasi-elliptic-function response. However, the circuit analyses of the abovementioned reconfigurable filters have not been conducted, and their performance indexes cannot be controlled specifically.
In [2], a compact reconfigurable with a wide tuning range is presented, which can be switched between bandstop filter (BSF) and BPF and achieves a wide tuning range of frequency. Based on the parallel-coupled lines, a multifunctional switchable filter is proposed in [14]. This multifunctional switchable filter can switch between three different filtering states: BPF, dual-BPF (D-BPF), and BSF. In [15], an electronically reconfigurable stub topology-based BSF is presented, and the response of the BSF filter can be switched from single to dual-band. A bandpass filter with four switchable configurations is proposed based on two parallel-connected dual-band bandpass filters [16]. Recently, a novel multifunctional frequency-selective surface-based switchable absorber/reflector was demonstrated [17]. In the absence of ground and air spacers, it works as a spatial BPF and BSF, respectively. In these studies, the reconfigurable filters have been simply analyzed. However, there is still a lack of analysis to achieve arbitrary control of the performance index, which is essential to the application of the filter.
To fulfill the arbitrary control of the circuit performance, ref. [18] presents a switchable BPF for broadband, dual-band, and tri-band operations, and the relationship between bandwidths (BWs) and return losses (RLs) is analyzed by the proposed algorithm. Moreover, in our previous work, a reconfigurable BSF based on ring structure is proposed and exhibits two filtering states: single-BSF (S-BSF) and dual-BSF (D-BSF) [19]. The control of RL and stopband rejection (SR) is realized initially. However, the controlling mechanism is not detailed and verified. However, the detailed analysis of the proposed reconfigurable BSF is not given and the design theory for equal-ripple is not clear.
Based on [19], a synthesis approach to the reconfigurable BSF is newly introduced in this paper. By switching the ON/OFF state of the PIN diodes, the proposed reconfigurable BSF can be switched between S-BSF and D-BSF. Regarding the number of design parameters, the proposed reconfigurable BSF consists of five types of transmission lines with different characteristic impedances, providing five design parameters. Based on the proposed synthesis approach, the RL and SR of the S-BSF and the RLs for the two different passbands of the D-BSF can be independently controlled, which consumes four design conditions. Moreover, to eliminate the unexpected resonance appearing in the S-parameter response, another design condition needs to be satisfied. Therefore, based on the above-restricted conditions, unique solutions for the characteristic impedances satisfying specific RLs and SRs can be obtained. For verification, a prototype reconfigurable BSF is simulated, fabricated, and measured. In addition, the size of the circuit is miniaturized by bending the short stubs.

2. Design and Analysis of the Proposed Reconfigurable BSF

The topology of the proposed reconfigurable BSF proposed in [19] is shown in Figure 1, in which all the PIN diodes are marked as “Switch”, and characteristic impedances (Z1, Z2, Z3, Z4, and Z5), and electrical lengths (θ) are labeled; θ = 90° at the center frequency f0. In the single topology of the proposed reconfigurable BSF, two different filtering states (State I: S-BSF and State II: D-BSF) can be implemented by switching the ON/OFF state of the PIN diodes.
To facilitate the understanding of State I (S-BSF state) and State II (D-BSF state) mentioned above, the scheme of the general responses for S-parameters is demonstrated in Figure 2. For State I, θ S S 11 and θ S S 21 are, respectively, defined as the poles of S11 and S21 of the S-BSF. RLS and SRS are the return loss and the SR of the S-BSF, respectively. For State II, θ D 1 S 11 and θ D 2 S 11 are defined as the poles in the low passband and the center passband of S11 for the D-BSF. RLD1 and RLD2 are the return loss of two different passbands of the D-BSF, respectively. SRD is the SR level of the D-BSF. In this paper, the realizable range for the normalized characteristic impedance is defined from 0.4 Ω to 3 Ω. In the following design, SRD is usually better than 20 dB in the realization range of characteristic impedances. Therefore, the suppression performance of the stopband can be implemented without deliberately controlling SRD.

2.1. State I: S-BSF

From Figure 1, the proposed reconfigurable BSF behaves as an S-BSF state, when the two switches are turned to OFF state.

2.1.1. Design Equation of State I

Figure 3 exhibits the topologies of the even-mode and odd-mode equivalent circuits for State I. The step-by-step input impedances and the total input impedances for even-mode and odd-mode are indicated in Figure 3 and can be calculated as follows:
For the even mode, the input impedances of two step-impedance open stubs are represented by Zine(1) and Zine(2). Zine1 is defined as the total input impedance of the even-mode equivalent circuits. The abovementioned input impedances can be obtained by the following:
Z i n e 1 = j Z 2 Z 3 + j Z 2 Z 2 + Z 3 sin 2 θ cos θ sin θ Z 2 + Z 3
Z i n e 2 = 2 j Z 1 Z 4 + j Z 1 Z 1 + 2 Z 4 sin 2 θ cos θ sin θ Z 1 + 2 Z 4
Z i n e 1 = 1 j cos θ sin θ Z 1 + 2 Z 4 2 Z 1 Z 4 Z 1 Z 1 + 2 Z 4 sin 2 θ + j cos θ sin θ Z 2 + Z 3 Z 2 Z 3 Z 2 Z 2 + Z 3 sin 2 θ
Similarly, for the odd mode, Zino(1) and Zino(2) are defined as the input impedances of the step-impedance open stub and the step impedance short stub. The total input impedance of the odd-mode equivalent circuits is represented by Zino1. The abovementioned input impedances are expressed by the following:
Z i n o 1 = j Z 2 Z 3 + j Z 2 Z 2 + Z 3 sin 2 θ cos θ sin θ Z 2 + Z 3
Z i n o 2 = j Z 1 tan θ = j Z 1 sin θ cos θ
Z i n o 1 = 1 j cos θ Z 1 cos θ + j cos θ sin θ Z 2 + Z 3 Z 2 Z 3 Z 2 Z 2 + Z 3 sin 2 θ
Based on (1)–(6), the reflection coefficients of the odd-mode equivalent circuit Γ o S and even-mode equivalent circuit Γ e S can be, respectively, expressed as follows:
Γ o S = Z i n o 1 Z 0 Z i n o 1 + Z 0
Γ e S = Z i n e 1 Z 0 Z i n e 1 + Z 0
Then, the reflection and transmission coefficients S 11 S and S 21 S for State I can be obtained by the following:
S 11 S = Γ e S + Γ o S 2
S 21 S = Γ e S Γ o S 2
In order to facilitate the analysis, the transfer function for State I FS is defined as follows:
F S = S 11 S S 21 S = Z i n e 1 Z i n o 1 Z 0 2 Z i n e 1 Z i n o 1 = j sin θ A 0 + A 2 cos 2 θ + A 4 cos 4 θ + A 6 cos 6 θ A 1 cos θ + A 3 cos 3 θ + A 5 cos 5 θ
where, Ai (i = 0, 1, …, 6) are the coefficients of the power term of FS, and can be derived as follows:
A 0 = 2 Z 1 Z 2 4 Z 4
A 1 = 2 Z 1 Z 2 4 Z 4
A 2 = 3 Z 2 4 + 2 Z 2 3 Z 3 Z 2 2 2 Z 2 Z 3 Z 3 2 Z 1 3 + 2 Z 4 Z 2 4 2 Z 2 3 2 Z 3 Z 2 2 Z 1 2 + Z 2 4 2 Z 4 Z 2 3 2 Z 3 Z 4 Z 2 2 Z 1 2 Z 2 4 Z 4
A 3 =   4 Z 1 Z 2 3 Z 4 Z 2 + Z 3
A 4 = Z 2 + Z 3 2 Z 1 Z 2 3 + 2 Z 1 3 Z 2 + 2 Z 1 3 Z 3 + 4 Z 2 3 Z 4 + 4 Z 1 2 Z 2 2 3 Z 1 3 Z 2 3 Z 1 3 Z 2 2 Z 3 4 Z 1 2 Z 2 3 Z 4 + 2 Z 1 2 Z 2 Z 3 + 6 Z 1 Z 2 2 Z 4 + 2 Z 1 2 Z 2 Z 4 + 2 Z 1 2 Z 3 Z 4 + 2 Z 1 Z 2 Z 3 Z 4
A 5 = 2 Z 1 Z 2 2 Z 4 Z 2 + Z 3 2
A 6 = Z 2 + Z 3 2 Z 1 Z 2 Z 2 Z 1 Z 1 Z 2 + Z 2 + Z 1 Z 1 + 2 Z 4

2.1.2. Design Approach of State I

To implement the arbitrary control of the equal-ripple level of S11 for State I, the following equations should be satisfied:
F S θ | θ = θ S S 11 = 0
F S | θ = θ S S 11 = 1 10 R L S / 10 1
where (19) enables θ S S 11 to be employed as the pole of S11 and (20) is used to set the ripple level corresponding to θ S S 11 to RLS.
Similarly, the following equations should be maintained for arbitrarily controlling the equal-ripple level of S21 for State I:
F S θ | θ = θ S S 21 = 0
F S | θ = θ S S 21 = 1 10 S R S / 10 1
where (21) enables θ S S 21 satisfy the condition of the pole of S21, and (22) is employed to ensure the ripple level corresponding to θ S S 21 equalling to SRS.
In addition, in the conduct of the actual design, the S-parameter response exhibits an unexpected resonance. This resonance can be eliminated while the characteristic impedances for State I satisfy the following equation:
Z 1 = 2 Z 2 Z 4 Z 3
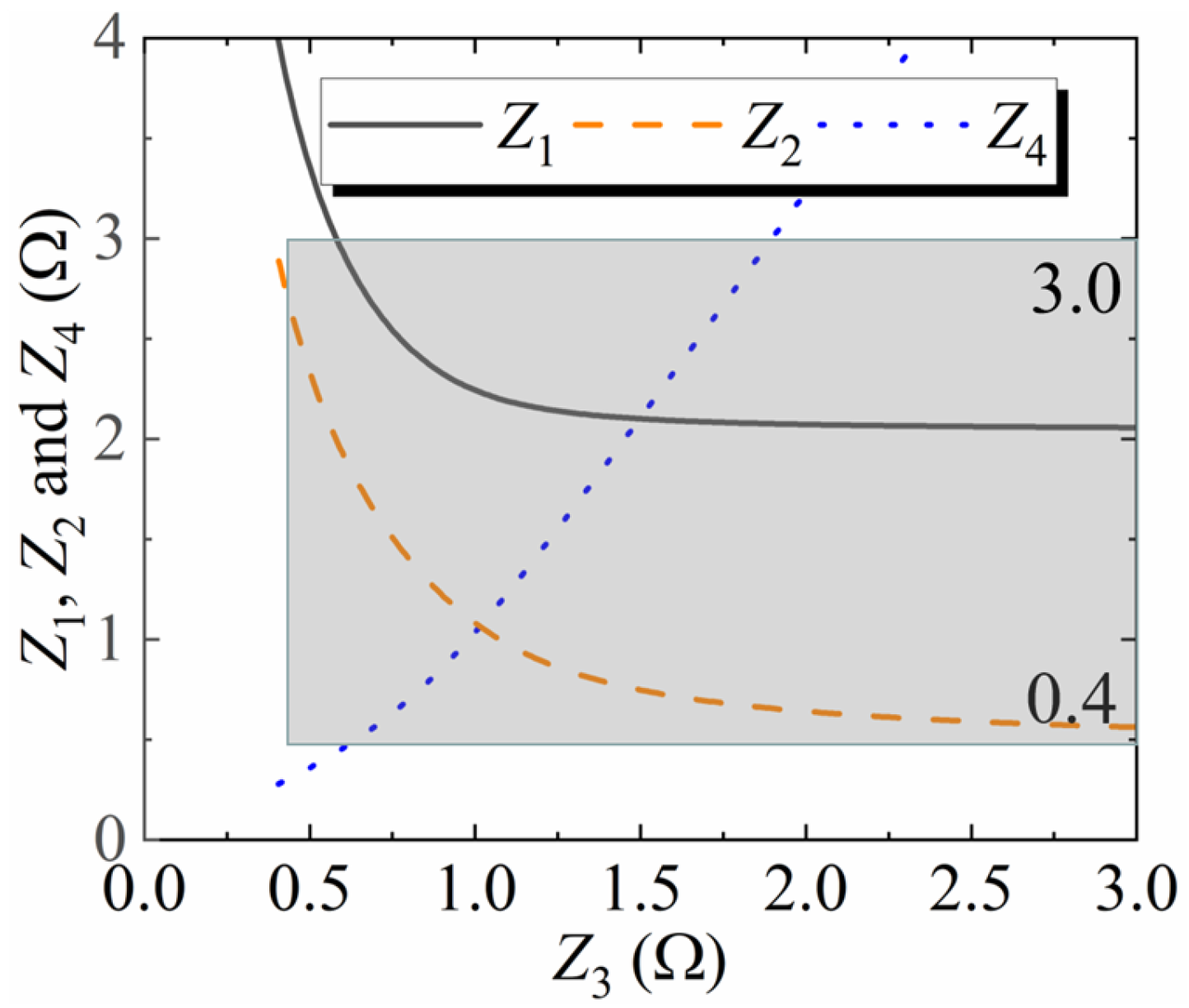
By substituting (23) into (11), the highest power of the numerator and denominator of FS decreases by 2. In terms of the number of design parameters, the proposed S-BSF in State I has four variable parameters (Z1, Z2, Z3, and Z4). A unique solution satisfying the desired performance (RLS and SRS) can be acquired by combining (19)–(23) and fixing a variable parameter. In State I, Z3 is selected to be fixed.

2.1.3. Design Examples of State I

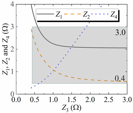
To verify the proposed theory for controlling equal-ripple levels of SRS and RLS, SRS, and RLS are selected as 20 dB and 25 dB. The variation curves of Z1, Z2, and Z4 versus Z3 are exhibited in Figure 4. The realizable range is marked by the gray area in Figure 4. It can be seen that Z1 and Z2 decrease, and Z4 increases, as Z3 increases.
To verify that Z3 can be given arbitrarily with SRS and RLS fixed at 20 dB and 25 dB, three design examples are selected from Figure 4. The detailed design parameters of three examples are summarized in Table 1, which verifies the changing trend of Z1, Z2, and Z4 mentioned above. Figure 5 exhibits the circuit simulated results for three design examples. It can be seen that SRS and RLS are fixed at 20 dB and 25 dB, and the BW of the stopband becomes narrower with the increase of Z3.

2.2. State II: D-BSF

As shown in Figure 1, when the PIN diodes are switched to ON state, the proposed reconfigurable BSF exhibits the D-BSF performance.

2.2.1. Design Equation of State II

The topologies of the even-mode and odd-mode equivalent circuits for State II are shown in Figure 6.
For the even mode, the input impedances of three step-impedance open stubs are represented by Zine(3), Zine(4), and Zine(5), where Zine(5) is consistent with Zine(1) and can be obtained by (1). Zine2 is defined as the total input impedance of the even-mode equivalent circuits. These input impedances can be calculated by the following:
Z i n e 3 = j Z 5 cot θ
Z i n e 4 = 2 j Z 1 Z 4 + j Z 1 Z 1 + 2 Z 4 sin 2 θ cos θ sin θ Z 1 + 2 Z 4
Z i n e 5 = Z i n e 1
Z i n e 2 = 1 j sin θ Z 5 cos θ + j cos θ sin θ Z 1 + 2 Z 4 2 Z 1 Z 4 Z 1 Z 1 + 2 Z 4 sin 2 θ + j cos θ sin θ Z 2 + Z 3 Z 2 Z 3 Z 2 Z 2 + Z 3 sin 2 θ
Similarly, for the odd mode, Zino(3) and Zino(4) are defined as the input impedances of the step-impedance short stub, while Zino(5) is defined as the input impedance of the step impedance open stub. The total input impedance of the odd-mode equivalent circuits is represented by Zino2. These input impedances are expressed by the following:
Z i n o 3 = j Z 5 tan θ = j Z 5 sin θ cos θ
Z i n o 4 = j Z 1 tan θ = j Z 1 sin θ cos θ
Z i n o 5 = j Z 2 Z 3 + j Z 2 Z 2 + Z 3 sin 2 θ cos θ sin θ Z 2 + Z 3
Z i n o 2 = 1 j cos θ Z 5 sin θ + j cos θ Z 1 sin θ + j cos θ sin θ Z 2 + Z 3 Z 2 Z 3 Z 2 Z 2 + Z 3 sin 2 θ
The reflection coefficients for the odd-mode equivalent circuit Γ o D and even-mode equivalent circuit Γ e D can be obtained as follows:
Γ o D = Z i n o 2 Z 0 Z i n o 2 + Z 0
Γ e D = Z i n e 2 Z 0 Z i n e 2 + Z 0
The reflection and the transmission coefficients of the DBSF mode S 11 D and S 21 D can be obtained as follows:
S 11 D = Γ e D + Γ o D 2
S 21 D = Γ e D Γ o D 2
In order to analyze conveniently, the ratio of S 11 D to S 21 D is defined as the transfer function for State II FD, which can be expressed as follows:
F D = S 11 D S 21 D = Z i n e 2 Z i n o 2 Z 0 2 Z i n e 2 Z i n o 2 = j sin θ B 0 cos θ + B 2 cos 3 θ + B 4 cos 5 θ + B 6 cos 7 θ B 1 + B 3 cos 2 θ + B 5 cos 4 θ + B 7 cos 6 θ
where Bj (j = 0, 1, …, 7) are the coefficients for the power terms of FD, and can be deduced by the following:
B 0 = Z 1 2 Z 2 2 Z 1 Z 2 2 Z 5 2 Z 2 2 Z 5 Z 1 Z 2 2 Z 1 Z 2 Z 5 Z 1 Z 3 Z 5
B 1 = Z 1 3 Z 2 4 Z 5
B 2 = 3 Z 2 4 Z 5 2 3 Z 2 4 + 2 Z 2 3 Z 3 Z 5 2 2 Z 2 3 Z 3 4 Z 2 3 Z 5 5 Z 2 2 Z 3 Z 5 Z 2 2 Z 5 2 Z 2 Z 3 2 Z 5 2 Z 2 Z 3 Z 5 2 Z 3 2 Z 5 2 Z 1 3 + 2 Z 2 4 Z 4 Z 5 2 4 Z 2 4 Z 5 2 Z 2 3 Z 5 2 2 Z 2 2 Z 3 Z 5 2 2 Z 2 4 Z 4 2 Z 2 3 Z 3 Z 5 2 Z 2 3 Z 4 Z 5 2 Z 2 2 Z 3 Z 4 Z 5 Z 1 2 + Z 2 4 Z 5 2 4 Z 2 4 Z 4 Z 5 2 Z 2 3 Z 4 Z 5 2 2 Z 2 2 Z 3 Z 4 Z 5 2 Z 1 2 Z 2 4 Z 4 Z 5 2
B 3 = Z 1 Z 2 4 Z 5 Z 1 2 + 2 Z 1 Z 4 + 2 Z 4 Z 5 + 2 Z 1 3 Z 2 3 Z 5 Z 2 + Z 3
B 4 = Z 2 + Z 3 3 Z 1 3 Z 2 3 + Z 1 3 Z 2 2 Z 3 + 4 Z 1 2 Z 2 3 Z 4 + 2 Z 1 Z 2 3 Z 5 2 + 5 Z 1 2 Z 2 3 Z 5 + 2 Z 1 3 Z 2 Z 5 2 + 5 Z 1 3 Z 2 2 Z 5 + 2 Z 1 3 Z 3 Z 5 2 + 4 Z 2 3 Z 4 Z 5 2 + 4 Z 1 2 Z 2 2 Z 5 2 3 Z 1 3 Z 2 3 Z 5 2 + 3 Z 1 3 Z 2 Z 3 Z 5 + 8 Z 1 Z 2 3 Z 4 Z 5 + 2 Z 1 2 Z 2 Z 3 Z 5 2 + Z 1 2 Z 2 2 Z 3 Z 5 + 6 Z 1 Z 2 2 Z 4 Z 5 2 + 2 Z 1 2 Z 2 Z 4 Z 5 2 + 6 Z 1 2 Z 2 2 Z 4 Z 5 + 2 Z 1 2 Z 3 Z 4 4 Z 5 2 Z 1 3 Z 2 2 Z 3 Z 5 2 4 Z 1 2 Z 2 3 Z 4 Z 5 2 + 2 Z 1 Z 2 Z 3 Z 4 Z 5 2 + 2 Z 1 2 Z 2 Z 3 Z 4 Z 5
B 5 = Z 1 Z 2 2 Z 5 Z 2 + Z 3 3 Z 1 2 Z 2 + Z 1 2 Z 3 + 4 Z 1 Z 2 Z 4 + 4 Z 2 Z 4 Z 5
B 6 = Z 2 + Z 3 2 Z 1 Z 2 + Z 1 Z 5 + Z 2 Z 5 + Z 1 Z 2 Z 5 Z 1 Z 2 Z 5 Z 1 Z 5 Z 2 Z 5 Z 1 Z 2 Z 1 + 2 Z 4
B 7 = Z 1 Z 2 2 Z 5 Z 2 + Z 3 2 Z 1 2 + 2 Z 1 Z 4 + 2 Z 4 Z 5

2.2.2. Design Approach of State II

To arbitrarily control the equal-ripple level of S11 in the low-frequency passband of State II, the following equations should be maintained:
F D θ | θ = θ D 1 S 11 = 0
F D | θ = θ D 1 S 11 = 1 10 R L D 1 / 10 1
where (45) enables θ D 1 S 11 to satisfy the condition of the pole of S11, and (46) is used to set the ripple level corresponding to θ D 1 S 11 to RLD1.
Similarly, the arbitrary control of the equal-ripple level for S11 in the center passband of State II can be implemented by following equations:
F D θ | θ = θ D 2 S 11 = 0
F D | θ = θ D 2 S 11 = 1 10 R L D 2 / 10 1
where (47) enables θ D 2 S 11 to be employed as the pole of S11, and (48) is used to set the ripple level corresponding to θ D 2 S 11 to RLD2.
In addition, the same as in State I, (23) also needs to be satisfied to eliminate the unexpected resonance in State II, and the highest power of the numerator and denominator of FD decreases by 2. In light of the number of design parameters, the D-BSF for State II has five design parameters (Z1, Z2, Z3, Z4, and Z5). A unique solution achieving the desired RLD1 and RLD2 can be obtained by combining (23) and (45)–(48) and fixing two design parameters. In the following design, Z3 and Z5 are chosen to be fixed.

2.2.3. Design Examples of State II

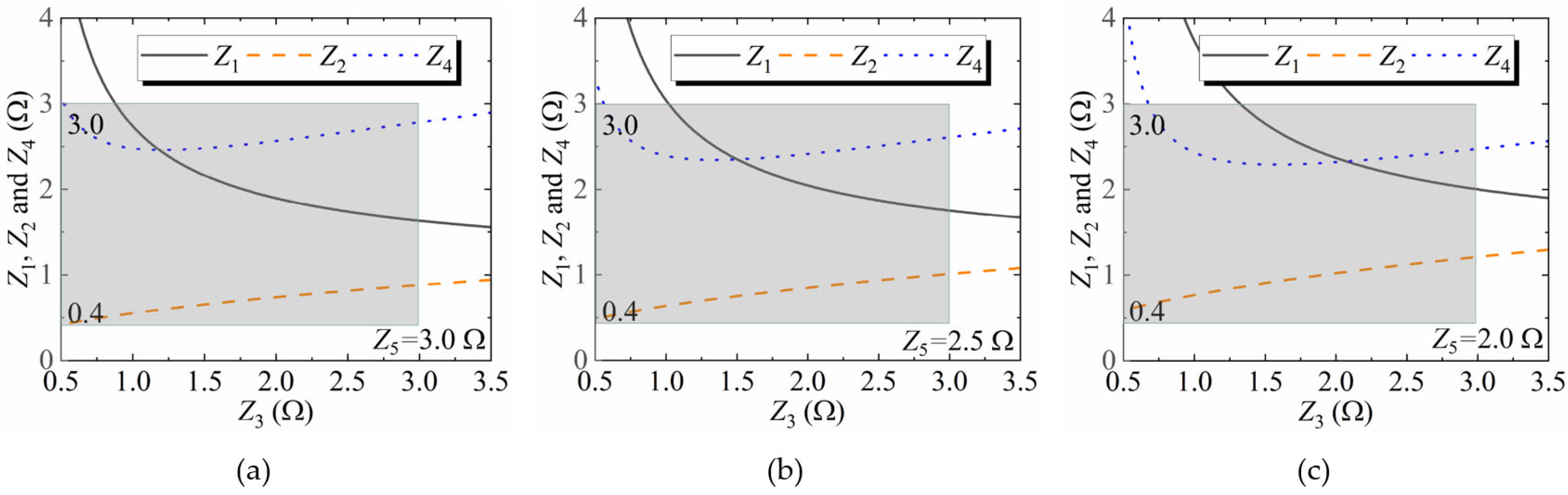
Figure 7 illustrates the altering curves of Z1, Z2, and Z4 versus Z3 with Z5 fixed as 3.0 Ω, 2.5 Ω, and 2.0 Ω, respectively, under the condition of RLD1 = 10 dB and RLD2 = 15 dB. The realizable range is marked by the gray area. As exhibited in Figure 7, under the condition of fixed Z5, as Z3 increases, Z1 and Z2 decreases and increases, respectively, while Z4 first decreases and then increases. In addition, the inflection point in the changing trend of Z3 shifts to the right as Z5 decreases. To verify the abovementioned designing theory, three design examples are selected from Figure 7. The corresponding design parameters and S-parameters are summarized in Table 2 and Figure 8, respectively.

2.3. Total Analysis of the Proposed Reconfigurable BSF

2.3.1. Design Approach of the Proposed Reconfigurable BSF

The proposed reconfigurable BSF has five variable parameters (Z1, Z2, Z3, Z4, and Z5), and five restricted conditions (19)–(23) and (45)–(48) need to be maintained to implement the reconfigurable performance with specific SRS, RLS, RLD1 and RLD2. Therefore, a unique solution satisfying the specific performance can be obtained.

2.3.2. Design Examples of the Proposed Reconfigurable BSF

To further verify the proposed synthesis approach, SRS, RLS, RLD1, and RLD2 are independently controlled in the following examples, respectively.
  • Example A With Controllable SRS
Maintaining RLD1 = 10 dB, RLD2 = 15 dB, and RLS = 25 dB, SRS is selected as 16 dB, 18 dB, and 20 dB, respectively, and the corresponding variable parameters are ensured and summarized in Table 3. The circuit simulation results of corresponding S-parameters for the three examples (Example A1, Example A2, and Example A3) are demonstrated in Figure 9.
2.
Example B With Controllable RLS
Maintaining RLD1 = 10 dB, RLD2 = 15 dB, and SRS = 20 dB, RLS is set as 25 dB, 27 dB, and 29 dB, respectively, and the corresponding variable parameters are ensured and summarized in Table 4. The circuit simulation results of corresponding S-parameters for the three examples (Example B1, Example B2, and Example B3) are demonstrated in Figure 10.
3.
Example C With Controllable RLD1
Maintaining RLD2 = 15 dB, RLS = 25 dB, and SRS = 20 dB, RLD1 is set as 10 dB, 12 dB, and 14 dB, respectively, and the corresponding variable parameters are ensured and summarized in Table 5. The circuit simulation results of corresponding S-parameters for the three examples (Example C1, Example C2, and Example C3) are demonstrated in Figure 11.
4.
Example D With Controllable RLD2
Maintaining RLD1 = 10 dB, RLS = 25 dB, and SRS = 20 dB, RLD2 is set as 15 dB, 17 dB, and 19 dB, respectively, and the corresponding variable parameters are ensured and summarized in Table 6. The circuit simulation results of corresponding S-parameters for the three examples (Example D1, Example D2, and Example D3) are demonstrated in Figure 12.

2.3.3. Discussion for the Realization of the Proposed Reconfigurable BSF

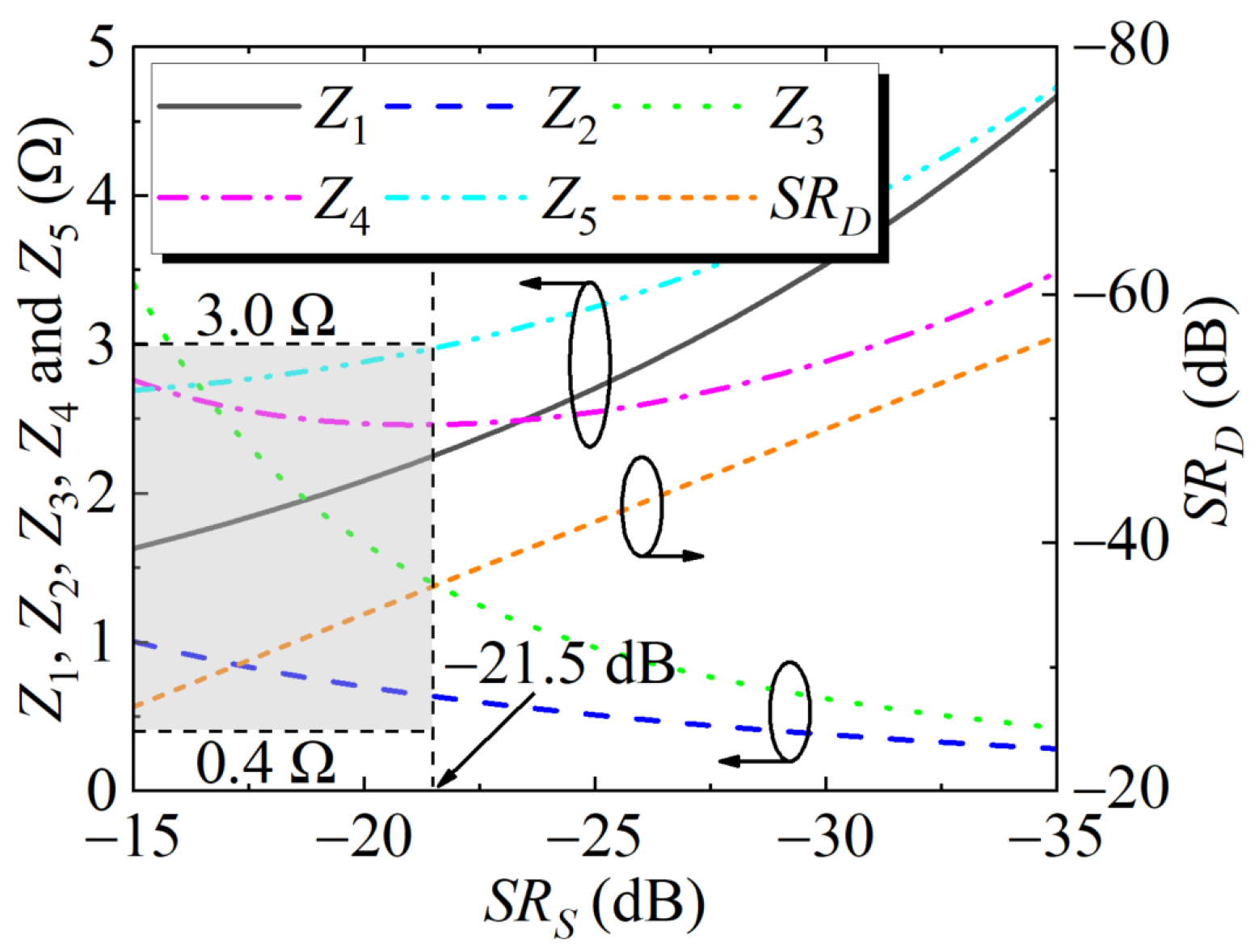
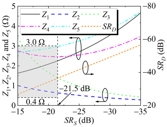
From Figure 10, Figure 11, Figure 12 and Figure 13, it can be seen that the equal-ripple level for State I (RLD1 and RLD2) and State II (SRS and RLS) can be independently controlled. Furthermore, to discuss the specific realization of the proposed reconfigurable BSF, RLD1, RLD2, and RLS are fixed as 10 dB, 15 dB, and 25 dB, respectively. The changing curves of variable parameters (Z1, Z2, Z3, Z4, and Z5) and SRD versus SRS are shown in Figure 13. It can be seen that the Z1, Z3, and Z5 increase with the increase of SRS, and Z2 and Z4 decrease with the increase of SRS. Under the condition id achievable range of characteristic impedance, SRS can be set from 15 dB to 21.5 dB. A set of variable parameters in this range can be selected for the actual circuit fabrication.

3. Experimental Results

In the experiment, a prototype circuit (Example A3) is selected to be fabricated on Rogers RT/5880 substrate by the printed circuit board (PCB) producing method. In order to implement the miniaturization, two short stubs, composed of Z2 and Z3, in series are bent. Figure 14 shows the layout and the photograph of the fabricated reconfigurable BSF. It can be seen that the size of the fabricated circuit is significantly reduced compared with the size of the previous work [19]. The measurement of the fabricated circuit is conducted by Keysight PNA N5227B, which is calibrated in the range of 0.010 to 3.000 GHz with a step frequency of 0.001 GHz. The corresponding circuit simulation, EM simulation, and measured results are summarized and compared in Figure 15 and Table 7. BW@RLS, BW@SRS, BW@RLD1, BW@RLD2, and BW@SRD are the absolute BW corresponding to each ripple level (RLS, SRS, RLD1, RLD2, and SRD). The measured results meet well with the simulation results.
For State I, the proposed reconfigurable BSF has four transmission poles and three transmission zeros in the passband and stopband, and the SRS and RLS are better than 17.5 dB and 23.1 dB, respectively. For State II, the proposed reconfigurable BSF exhibits seven transmission poles and four transmission zeros in the passband and stopband, respectively. RLD1 and RLD2 are controlled below 10 dB with an SRD better than 23.1 dB.
A comparison between the proposed reconfigurable BSF and recent studies is summarized in Table 8. It can be seen that the proposed reconfigurable BSF has the following advantages: (1) Based on the proposed synthesis approach, the equal-ripple levels for the passband and the stopband can be independently controlled for the S-BSF and D-BSF. (2) Two different states can be realized with fewer diodes.

4. Discussion

In this paper, a novel synthesis approach for compact reconfigurable BSF is proposed. The switch between two filtering states (S-BSF and D-BSF) is realized by switching the ON/OFF state of PIN diodes. The proposed reconfigurable BSF is composed of five types of characteristic impedances, providing five design parameters. Based on the proposed synthesis approach, independent control over the RL and SR of the S-BSF, and the RLs for the two different passbands of the D-BSF is realized, which consumes four restricted conditions. In addition, another restricted condition needs to be met to eliminate the unexpected resonance. Consequently, unique solutions for the characteristic impedances that simultaneously satisfy the specific RL and SR of S-BSF and the specific RLs of D-BSF can be obtained. To validate the proposed synthesis approach, a prototype reconfigurable BSF with a miniaturized size was fabricated and measured. The measured results met well with the simulation results, which verified the correction of the proposed theory. In our future works, we will focus on designing a modified topology to further implement the arbitrary control of the BW and more efficiently employ the limited spectrum resources.

Author Contributions

Conceptualization, Y.G., X.W., S.X., W.S., and C.-P.C.; methodology, Y.G. and X.W.; software, Y.G.; validation, Y.G. and X.W.; formal analysis, Y.G. and X.W.; investigation, Y.G. and X.W.; resources, X.W.; data curation, Y.G.; writing—original draft preparation, Y.G., X.W., C.-P.C., and S.X.; writing—review and editing, Y.G., S.X., X.W., and C.-P.C.; visualization, Y.G., X.W., W.S., and T.X.; supervision, X.W.; project administration, X.W.; funding acquisition, X.W. All authors have read and agreed to the published version of the manuscript.

Funding

This work was supported by the National Natural Science Foundation of China (Grant No. 62271229), the Project of Jilin Province Development and Reform Commission (Grant No. 2022C047-6), the Project of Science and Technology Development Program of Changchun City (Grant No. 21ZY23), and Grand-in-Aid for Scientific Research from the Ministry of Education, Culture, Sports, Science and Technology (Grant No. 23K03963), Japan.

Institutional Review Board Statement

Not applicable.

Informed Consent Statement

Not applicable.

Data Availability Statement

Data is contained within the article.

Conflicts of Interest

The authors declare no conflict of interest.

References

  1. Psychogiou, D.; Gómez-García, R.; Peroulis, D. Fully-Reconfigurable Bandpass/Bandstop Filters and Their Coupling-Matrix Representation. IEEE Microw. Wirel. Compon. Lett. 2016, 26, 22–24. [Google Scholar] [CrossRef]
  2. Fan, M.; Song, K.; Zhu, Y.; Fan, Y. Compact Bandpass-to-Bandstop Reconfigurable Filter With Wide Tuning Range. IEEE Microw. Wirel. Compon. Lett. 2019, 29, 198–200. [Google Scholar] [CrossRef]
  3. Fan, M.; Song, K.; Fan, Y. Reconfigurable Low-Pass Filter With Sharp Roll-Off and Wide Tuning Range. IEEE Microw. Wirel. Compon. Lett. 2020, 30, 649–652. [Google Scholar] [CrossRef]
  4. Zhao, K.; Psychogiou, D. Single-to-Multi-Band Reconfigurable Acoustic-Wave-Lumped-Resonator Bandpass Filters. IEEE Trans. Circuits Syst. II Express Briefs 2022, 69, 2066–2070. [Google Scholar] [CrossRef]
  5. Rabbi, K.; Budimir, D. Highly Selective Reconfigurable Filter for UWB Systems. IEEE Microw. Wirel. Compon. Lett. 2014, 24, 146–148. [Google Scholar] [CrossRef]
  6. Laforge, P. MEMS Based Reconfigurable Superconducting Bandstop Filters. In Proceedings of the 18th International Symposium on Antenna Technology and Applied Electromagnetics (ANTEM), Waterloo, ON, Canada, 19–22 August 2018; pp. 1–3. [Google Scholar]
  7. Michetti, G.; Pirro, M.; Yu, Y.; Chen, G.; Cassella, C.; Rinaldi, M. Reconfigurable N-Path MEMS Filter Based on the Periodic Commutation of Single Frequency Resonators. In Proceedings of the 2020 IEEE 33rd International Conference on Micro Electro Mechanical Systems (MEMS), Vancouver, BC, Canada, 18–22 January 2020; pp. 1274–1277. [Google Scholar]
  8. Lee, S.; Kim, J.; Kim, J.; Kim, Y.; Kwon, Y. Millimeter-wave MEMS tunable low pass filter with reconfigurable series inductors and capacitive shunt switches. IEEE Microw. Wirel. Compon. Lett. 2005, 15, 691–693. [Google Scholar]
  9. Huang, F.; Zhou, J.; Hong, W. Ku Band Continuously Tunable Circular Cavity SIW Filter With One Parameter. IEEE Microw. Wirel. Compon. Lett. 2016, 26, 270–272. [Google Scholar] [CrossRef]
  10. Koohi, M.Z.; Nam, S.; Mortazawi, A. Intrinsically Switchable and Bandwidth Reconfigurable Ferroelectric Bulk Acoustic Wave Filters. IEEE Trans. Ultrason. Ferroelectr. Freq. Control 2020, 67, 1025–1032. [Google Scholar] [CrossRef] [PubMed]
  11. Koohi, M.Z.; Lee, S.; Mortazawi, A. Compact Intrinsically Switchable FBAR Filters Utilizing Ferroelectric BST. IEEE Trans. Ultrason. Ferroelectr. Freq. Control 2018, 65, 1468–1474. [Google Scholar] [CrossRef] [PubMed]
  12. Chen, Y.-M.; Chang, S.-F.; Chou, C.-Y.; Liu, K.H. A reconfigurable bandpass-bandstop filter based on varactor-loaded closed-ring resonators [Technical Committee]. IEEE Microw. Mag. 2009, 10, 138–140. [Google Scholar] [CrossRef]
  13. Tu, W.-H. Switchable Microstrip Bandpass Filters With Reconfigurable On-State Frequency Responses. IEEE Microw. Wirel. Compon. Lett. 2010, 20, 259–261. [Google Scholar] [CrossRef]
  14. Li, D.; Xu, K.-D. Multifunctional Switchable Filter Using Coupled-Line Structure. IEEE Microw. Wirel. Compon. Lett. 2021, 31, 457–460. [Google Scholar] [CrossRef]
  15. Rajput, A.; Mukherjee, B. An Electronically Reconfigurable Single to Dual-Band Bandstop Filter for RFID and Modern Wireless Communication Application. IEEE J. Radio Freq. Identif. 2022, 6, 534–539. [Google Scholar] [CrossRef]
  16. Tang, C.-W.; Jiang, J.-M. Design of the Microstrip Bandpass Filter With 4 Band-Switching Modes. IEEE Trans. Circuits Syst. II Express Briefs 2023, 70, 1926–1930. [Google Scholar] [CrossRef]
  17. Shukoor, M.A.; Dey, S. Wideband Reconfigurable Multifunctional Absorber/Reflector With Bandpass/Bandstop Filtering and Band-Notch Absorption for RCS and EMI Shielding. IEEE Trans. Electromagn. Compat. 2024, 66, 153–160. [Google Scholar] [CrossRef]
  18. Sun, Z.; Wang, X.; Li, K. A Switchable Bandpass Filter for Broadband, Dual-Band and Tri-Band Operations. IEEE Trans. Circuits Syst. II Express Briefs 2023, 70, 111–115. [Google Scholar] [CrossRef]
  19. Sun, W.; Xie, T.; Xu, C.; Zhang, N.; Wang, X.; Chen, C.P.; Milinevsky, G.; Lu, G. A Novel Compact Reconfigurable Single-/Dual-bandstop Filter Based on Ring Structure. In Proceedings of the 2023 IEEE 11th Asia-Pacific Conference on Antennas and Propagation (APCAP), Guangzhou, China, 22–24 November 2023; pp. 1–2. [Google Scholar]
  20. Liu, L.; Liang, X.; Fan, H.; Jin, R.; Bai, X.; Geng, J. Compact Wideband Bandstop Filter With Directly Controlled Rejection. IEEE Trans. Circuits Syst. II Express Briefs 2021, 68, 2282–2286. [Google Scholar] [CrossRef]
  21. Tang, C.-W.; Yang, C.-H.; Liao, J.-S. Design of Planar Wide-Stopband Bandstop Filters With Extra-High Attenuation. IEEE Trans. Circuits Syst. II Express Briefs 2022, 69, 1039–1043. [Google Scholar] [CrossRef]
  22. Feng, W.; Shang, Y.; Che, W.; Gómez-García, R.; Xue, Q. Multifunctional Reconfigurable Filter Using Transversal Signal-Interaction Concepts. IEEE Microw. Wirel. Compon. Lett. 2017, 27, 980–982. [Google Scholar] [CrossRef]
  23. Kumar, N.; Singh, Y.K. RF-MEMS-Based Bandpass-to-Bandstop Switchable Single- and Dual-Band Filters With Variable FBW and Reconfigurable Selectivity. IEEE Trans. Microw. Theory Tech. 2017, 65, 3824–3837. [Google Scholar] [CrossRef]
Figure 1. Topology of the proposed reconfigurable BSF [19] (Adapted with permission from Ref. [19]. 2024, Wenzhong Sun).
Figure 1. Topology of the proposed reconfigurable BSF [19] (Adapted with permission from Ref. [19]. 2024, Wenzhong Sun).
Applsci 14 05837 g001
Figure 2. Scheme of the general response for (a) S-BSF state and (b) D-BSF state of the proposed topology in Figure 1. (Solid red lines and dashed blue lines represent S11 and S21 respectively).
Figure 2. Scheme of the general response for (a) S-BSF state and (b) D-BSF state of the proposed topology in Figure 1. (Solid red lines and dashed blue lines represent S11 and S21 respectively).
Applsci 14 05837 g002
Figure 3. Topologies of (a) even-mode and (b) odd-mode equivalent circuits for State I.
Figure 3. Topologies of (a) even-mode and (b) odd-mode equivalent circuits for State I.
Applsci 14 05837 g003
Figure 4. The achievable range of the proposed reconfigurable BSF at State I. (The gray area represents the realizable range for the value of characteristic impedance).
Figure 4. The achievable range of the proposed reconfigurable BSF at State I. (The gray area represents the realizable range for the value of characteristic impedance).
Applsci 14 05837 g004
Figure 5. S-parameters of Example I, Example II, and Example III. (SRS = 20 dB and RLS = 25 dB).
Figure 5. S-parameters of Example I, Example II, and Example III. (SRS = 20 dB and RLS = 25 dB).
Applsci 14 05837 g005
Figure 6. Topologies of (a) even-mode and (b) odd-mode equivalent circuit for State II.
Figure 6. Topologies of (a) even-mode and (b) odd-mode equivalent circuit for State II.
Applsci 14 05837 g006
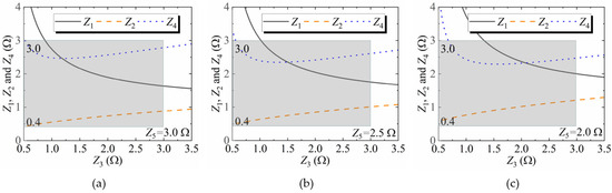
Figure 7. The achievable range of the proposed reconfigurable BSF at State II. (a) Z5 = 3 Ω (b) Z5 = 2.5 Ω (c) Z5 = 2 Ω. (The gray areas represent the realizable range for the value of characteristic impedance).
Figure 7. The achievable range of the proposed reconfigurable BSF at State II. (a) Z5 = 3 Ω (b) Z5 = 2.5 Ω (c) Z5 = 2 Ω. (The gray areas represent the realizable range for the value of characteristic impedance).
Applsci 14 05837 g007
Figure 8. S-parameters of Example IV, Example V, and Example VI. (RLD1 = 10 dB and RLD2 = 15 dB).
Figure 8. S-parameters of Example IV, Example V, and Example VI. (RLD1 = 10 dB and RLD2 = 15 dB).
Applsci 14 05837 g008
Figure 9. Circuit simulation results of the S-parameters for Example A1, Example A2, and Example A3. (RLD1 = 10 dB, RLD2 = 15 dB, and RLS = 25 dB).
Figure 9. Circuit simulation results of the S-parameters for Example A1, Example A2, and Example A3. (RLD1 = 10 dB, RLD2 = 15 dB, and RLS = 25 dB).
Applsci 14 05837 g009
Figure 10. Circuit simulation results of the S-parameters for Example B1, Example B2, and Example B3. (RLD1 = 10 dB, RLD2 = 15 dB, and SRS = 20 dB).
Figure 10. Circuit simulation results of the S-parameters for Example B1, Example B2, and Example B3. (RLD1 = 10 dB, RLD2 = 15 dB, and SRS = 20 dB).
Applsci 14 05837 g010
Figure 11. Circuit simulation results of the S-parameters for Example C1, Example C2, and Example C3 corresponding to different RLD1. (RLD2 = 15 dB, RLS = 25 dB, and SRS = 20 dB).
Figure 11. Circuit simulation results of the S-parameters for Example C1, Example C2, and Example C3 corresponding to different RLD1. (RLD2 = 15 dB, RLS = 25 dB, and SRS = 20 dB).
Applsci 14 05837 g011
Figure 12. Circuit simulation results of the S-parameters for Example D1, Example D2, and Example D3 corresponding to different RLD2. (RLD1 = 10 dB, RLS = 25 dB, and SRS = 20 dB).
Figure 12. Circuit simulation results of the S-parameters for Example D1, Example D2, and Example D3 corresponding to different RLD2. (RLD1 = 10 dB, RLS = 25 dB, and SRS = 20 dB).
Applsci 14 05837 g012
Figure 13. Curves of characteristic impedance and SRD versus SRS. (The gray area represents the realizable range for the value of characteristic impedance).
Figure 13. Curves of characteristic impedance and SRD versus SRS. (The gray area represents the realizable range for the value of characteristic impedance).
Applsci 14 05837 g013
Figure 14. Layout of the proposed miniaturized reconfigurable BSF.
Figure 14. Layout of the proposed miniaturized reconfigurable BSF.
Applsci 14 05837 g014
Figure 15. Circuit simulation, EM simulation and measured results of S-parameters for the miniaturized reconfigurable BSF.
Figure 15. Circuit simulation, EM simulation and measured results of S-parameters for the miniaturized reconfigurable BSF.
Applsci 14 05837 g015
Table 1. The design parameters for three design examples of State I. (SRS = 20 dB and RLS = 25 dB).
Table 1. The design parameters for three design examples of State I. (SRS = 20 dB and RLS = 25 dB).
Z1 (Ω)Z2 (Ω)Z3 (Ω)Z4 (Ω)
Example I2.93141.92700.60000.4564
Example II2.15290.89391.20001.4450
Example III2.08030.67331.80002.7807
Table 2. The design parameters for three examples of State II. (RLD1 = 10 dB and RLD2 = 15 dB).
Table 2. The design parameters for three examples of State II. (RLD1 = 10 dB and RLD2 = 15 dB).
Z1 (Ω)Z2 (Ω)Z3 (Ω)Z4 (Ω)Z5 (Ω)
Example IV1.63430.88073.00002.78343.000
Example V1.87050.93232.5002.50802.500
Example VI2.36831.02132.00002.31892.000
Table 3. The design parameters for Example A1, Example A2, and Example A3. (RLD1 = 10 dB, RLD2 = 15 dB, and RLS = 25 dB).
Table 3. The design parameters for Example A1, Example A2, and Example A3. (RLD1 = 10 dB, RLD2 = 15 dB, and RLS = 25 dB).
SRS (dB)Z1 (Ω)Z2 (Ω)Z3 (Ω)Z4 (Ω)Z5 (Ω)
Example A116.00001.71190.93132.89482.66052.7201
Example A218.00001.88810.80502.15642.52902.7899
Example A320.00002.08780.70251.66182.46952.8860
Table 4. The design parameters for Example B1, Example B2, and Example B3. (RLD1 = 10 dB, RLD2 = 15 dB, and SRS = 20 dB).
Table 4. The design parameters for Example B1, Example B2, and Example B3. (RLD1 = 10 dB, RLD2 = 15 dB, and SRS = 20 dB).
RLS (dB)Z1 (Ω)Z2 (Ω)Z3 (Ω)Z4 (Ω)Z5 (Ω)
Example B125.00002.08790.70251.66182.46952.8860
Example B227.00002.13260.72531.65402.43172.7571
Example B329.00002.17100.74471.64942.40412.6586
Table 5. The specific circuit parameters for Example C1, Example C2, and Example C3. (RLD2 = 15 dB, RLS = 25 dB, and SRS = 20 dB).
Table 5. The specific circuit parameters for Example C1, Example C2, and Example C3. (RLD2 = 15 dB, RLS = 25 dB, and SRS = 20 dB).
RLD1 (dB)Z1 (Ω)Z2 (Ω)Z3 (Ω)Z4 (Ω)Z5 (Ω)
Example C110.00001.88810.80502.15642.52902.7900
Example C212.00001.87140.72332.73863.54283.754
Example C314.00001.86200.66763.53664.93235.1080
Table 6. The specific circuit parameters for Example D1, Example D2, and Example D3. (RLD1 = 10 dB, RLS = 25 dB, and SRS = 20 dB).
Table 6. The specific circuit parameters for Example D1, Example D2, and Example D3. (RLD1 = 10 dB, RLS = 25 dB, and SRS = 20 dB).
RLD2 (dB)Z1 (Ω)Z2 (Ω)Z3 (Ω)Z4 (Ω)Z5 (Ω)
Example D115.00002.08790.70251.66182.46952.8860
Example D217.00002.09580.73081.55512.22992.9093
Example D319.00002.10360.75681.47452.04942.9312
Table 7. The key performance of the circuit simulation, EM simulation, and measured results of S-parameters for the miniaturized reconfigurable BSF.
Table 7. The key performance of the circuit simulation, EM simulation, and measured results of S-parameters for the miniaturized reconfigurable BSF.
Key PerformanceCircuit SimulationEM SimulationMeasured
RLS (dB)25.00027.1823.100
SRS (dB)20.00017.5317.500
RLD1 (dB)10.00010.3710.000
RLD2 (dB)15.00013.0616.400
SRD (dB)34.30033.3133.200
BW@RLS (GHz)0.2580.2370.275
BW@SRS (GHz)1.4781.5721.594
BW@RLD1 (GHz)0.4890.4800.480
BW@RLD2 (GHz)0.3460.3700.317
BW@SRD (GHz)0.2370.2540.265
Table 8. Comparison between the proposed reconfigurable BSF and recent studies.
Table 8. Comparison between the proposed reconfigurable BSF and recent studies.
Ref.Reconfigurable
Performance
ResponseNumber of DiodesSynthesis Design of Equal-Ripples
[20]NoBSF-No synthesis design approach of PB *
[21]NoBSF-No synthesis design approach
[14]YesBPF/DBPF */BSF6No synthesis design approach
[22]YesNBPF */WBPF */BSF6No synthesis design approach
[23]YesDBPF/DBSF *7No synthesis design approach
This workYesSBSF */DBSF2Synthesis equal-ripple design of PB and SB *
* NBSF: Narrow BSF; WBSF: Wide BSF; DBPF: Dual BPF; DBSF: Dual BSF; SBSF: Single BSF; PB: Passband; SB: Stopband.
Disclaimer/Publisher’s Note: The statements, opinions and data contained in all publications are solely those of the individual author(s) and contributor(s) and not of MDPI and/or the editor(s). MDPI and/or the editor(s) disclaim responsibility for any injury to people or property resulting from any ideas, methods, instructions or products referred to in the content.

Share and Cite

MDPI and ACS Style

Gu, Y.; Xue, S.; Sun, W.; Xie, T.; Wang, X.; Chen, C.-P. A Reconfigurable Single-/Dual-Bandstop Filter with Controllable Equal-Ripple Performance. Appl. Sci. 2024, 14, 5837. https://doi.org/10.3390/app14135837

AMA Style

Gu Y, Xue S, Sun W, Xie T, Wang X, Chen C-P. A Reconfigurable Single-/Dual-Bandstop Filter with Controllable Equal-Ripple Performance. Applied Sciences. 2024; 14(13):5837. https://doi.org/10.3390/app14135837

Chicago/Turabian Style

Gu, Yuhang, Shanshan Xue, Wenzhong Sun, Taiyang Xie, Xiaolong Wang, and Chun-Ping Chen. 2024. "A Reconfigurable Single-/Dual-Bandstop Filter with Controllable Equal-Ripple Performance" Applied Sciences 14, no. 13: 5837. https://doi.org/10.3390/app14135837

APA Style

Gu, Y., Xue, S., Sun, W., Xie, T., Wang, X., & Chen, C.-P. (2024). A Reconfigurable Single-/Dual-Bandstop Filter with Controllable Equal-Ripple Performance. Applied Sciences, 14(13), 5837. https://doi.org/10.3390/app14135837

Note that from the first issue of 2016, this journal uses article numbers instead of page numbers. See further details here.

Article Metrics

Back to TopTop