Next Article in Journal
Evaluating a Methodical Approach to Lingual Nerve Protection during Third Molar Surgery Using a Standardized Step-by-Step Procedure: A Retrospective Analysis
Next Article in Special Issue
Measurement of Training and Competition Loads in Elite Rhythmic Gymnastics: A Systematic Literature Review
Previous Article in Journal
Monocular Depth Estimation Based on Dilated Convolutions and Feature Fusion
Previous Article in Special Issue
User Assessment of a Customized Taekwondo Athlete Performance Cyber–Physical System
 
 
Font Type:
Arial Georgia Verdana
Font Size:
Aa Aa Aa
Line Spacing:
Column Width:
Background:
Article

Impact of Transcranial Direct Current Stimulation on the Capacity to Perform Burpees: A Randomized Controlled Trial

by
Tai-Chih Chen
1,
José Manuel García de Frutos
1,
David Colomer-Poveda
2,
Gonzalo Márquez
2,
Shyamali Kaushalya Fernando
3,
Francisco Javier Orquín-Castrillón
1 and
Salvador Romero-Arenas
1,*
1
Facultad de Deporte, UCAM—Universidad Católica de Murcia, Guadalupe, 30107 Murcia, Spain
2
Department of Physical Education and Sport, Faculty of Sports Sciences and Physical Education, University of A Coruña, 15179 A Coruña, Spain
3
Department of Sports Science, Faculty of Applied Sciences, University of Sri Jayewardenepura, Gangodawila, Nugegoda 10250, Sri Lanka
*
Author to whom correspondence should be addressed.
Appl. Sci. 2024, 14(13), 5832; https://doi.org/10.3390/app14135832
Submission received: 28 April 2024 / Revised: 18 June 2024 / Accepted: 1 July 2024 / Published: 3 July 2024
(This article belongs to the Special Issue Advances in Sport Science: Athlete Development and Performance)

Abstract

Transcranial direct current stimulation (tDCS) has emerged as a potential intervention to improve physical performance. This study investigates the effects of tDCS applied to the primary motor cortex (M1) and dorsolateral prefrontal cortex (DLPFC) on performance in a maximal effort task, specifically the No-Jump Burpee exercise. Twenty healthy male subjects (26.0 ± 4.91 years) completed three experimental conditions (a-DLPFC, a-M1, and SHAM) in a double-blind crossover design. Prior to the performance of burpees to exhaustion, tDCS (2 mA, 20 min) was administered. The total number of repetitions, vastus lateralis muscle oxygen saturation, heart rate, and subjective perception of exertion (RPE) during exercise were measured. Repeated ANOVAs showed a significant effect of condition on the number of repetitions (p < 0.001). Subjects performed more repetitions under the M1 condition (68 ± 19.5) compared to DLPFC (63 ± 17.9) and SHAM (58 ± 18.0), with significant differences between all conditions. This study demonstrates that tDCS can improve performance in a physical endurance task such as the No-Jump Burpee. The findings suggest that tDCS may be a viable ergogenic tool for improving athletic performance. Future research should explore the underlying mechanisms and the practical application of these results in long-term physical training programs (NCT06472882).

1. Introduction

In the pursuit of athletic excellence, coaches and researchers are constantly challenged to find safe and effective methods to improve athletic performance. The evolution of training techniques and the incorporation of advanced technologies have played a crucial role in the development of innovative strategies to maximize the physical and mental capacity of athletes. In this sense, transcranial direct current stimulation (tDCS) emerges as a tool capable of enhancing sports performance by modulating neural activity [1,2,3,4,5,6]. tDCS modulates cortical excitability, which can result in significant improvements in both cognitive and motor tasks [1]. When a 2 mA current is applied for ~15 min, tDCS increases neuronal plasticity in specific areas of the brain [7], such as the dorsolateral prefrontal cortex (DLPFC) and the primary motor cortex (M1). These areas are critical for the planning, execution, and coordination of complex movements [6,8], as well as for managing mental and physical fatigue during high-intensity exercises [3,9].
Previous studies have shown that both the prefrontal cortex, located at the top of the motor hierarchy, and the M1, located further down the hierarchy, play critical roles in physical performance [10]. In particular, the importance of the left dorsolateral prefrontal cortex (i.e., DLPFC) in the ability to maintain and complete physical activities has been highlighted through its influence on aspects such as motivation and decision-making [11,12]. Meanwhile, M1 is essential for transmitting neural instructions from higher brain areas to motor units, which directly influences the muscle’s ability to execute specific tasks [10,13]. These findings suggest that altering activity in these brain areas may influence exercise performance, as well as impact cognitive abilities and physiological responses.
Transcranial direct current stimulation has shown promising results in improving endurance, strength, and power output in healthy populations [2,3,4,10,14]. While much of the previous research has focused on assessing the effects of tDCS on endurance performance in relatively simple tasks such as running or cycling and on muscle strength or power [10], there is a notable paucity of studies addressing its impact on more complex exercises [6,15] that involve multiple phases and muscle groups, such as the burpee exercise.
The burpee is a high-intensity exercise that integrates both strength training and cardiovascular conditioning, commonly used in sports conditioning programs to improve endurance, strength, and power [16]. This complex exercise, which activates multiple muscle groups such as the legs, trunk, chest, and arms, is not only effective in increasing cardiovascular fitness through sustained elevation of heart rate but also in promoting intense metabolic and neuromuscular demand. Given the integral and demanding nature of the burpee, which requires complex coordination and muscular endurance, tDCS could play a significant role in improving athletes’ ability to sustain higher volumes of work at high intensity [9]. Stimulation targeting DLPFC and M1 could influence fatigue endurance by modulating neural activity underlying decision-making, cognitive control, and motor performance, which are critical elements during continuous and strenuous repetitions of this exercise. Thus, the application of tDCS before burpees could potentially improve performance by altering how the brain manages both perceived fatigue and actual muscle activation.
Given the possibility that tDCS may significantly improve critical aspects of performance in complex exercises, this study focused on extending our understanding of how targeted application of tDCS to specific regions may influence performance during a physically strenuous task such as the burpee, typical of fitness settings. Therefore, the present study aimed to assess whether stimulation of these regions (DLPFC and M1) improves the number of repetitions until exhaustion and reduces the perception of effort. Based on previous studies, we hypothesized that the application of tDCS in DLPFC and M1 could significantly increase the number of repetitions performed until exhaustion compared to a SHAM condition. Furthermore, we also hypothesize that the influence of tDCS on DLPFC would reduce the perception of effort and that its application on M1 would optimize muscle efficiency, thereby enhancing sports performance.

2. Materials and Methods

2.1. Study Design

The study applied a double-blind, crossover design to examine the viability of tDCS in improving performance during a maximal effort task, particularly the “No-Jump Burpee” exercise. The tDCS was uniformly administered with an intensity of 2 mA for 20 min across two conditions: targeting the DLPFC and the M1. Subjects attended the laboratory on four separate occasions, one week apart. The initial visit was dedicated to familiarizing the subjects with the experimental protocol procedures. Subsequent sessions were randomized using the Research Randomizer website (https://www.randomizer.org; accessed on 8 January 2024), covering three experimental conditions: DLPFC, M1, and SHAM. In each experimental session, subjects completed the Profile of Mood States (POMS), Beck Anxiety Inventory (BAI), and Pittsburgh Sleep Quality Index (PSQI) questionnaires to assess mood, anxiety levels, and sleep quality, respectively. Following the administration of tDCS, participants were tasked to perform burpee exercises until exhaustion. The exercise regimen was standardized at a pace of 20 burpees per minute. The total number of repetitions of each condition was recorded, as was the heart rate, muscle oxygen saturation in the vastus lateralis, and rate of perceived exertion (RPE) throughout the exercise. To ensure consistency in experimental conditions, all sessions were conducted in the morning at the same time for each subject under similar ambient conditions (~22 °C and ~60% humidity).

2.2. Participants

This study involved twenty healthy male subjects (age = 26.0 ± 4.91 years, body mass = 72.2 ± 7.71 kg, height = 175.1 ± 7.55 cm, body mass index: 23.5 ± 1.40), all of whom were either students at the Catholic University of Murcia or residents of the local community. The sample size for this study was calculated using G*POWER software (Version 3.1.9.6, University of Kiel, Kiel, Germany), targeting an effect size of 0.35 [10], a Type I error (α) of 0.05, and a statistical power (1 − β) of 0.80, resulting in a necessary sample of 15 participants. To account for potential attrition during the study, five additional subjects were included, bringing the total to 20 participants. These individuals were regularly active, engaging in physical exercise at least twice a week. The recruitment procedure was mostly performed through personal contacts and emails, targeting individuals aged between 18 and 35 years old. In order to be considered eligible, participants had to be free of any cardiometabolic, neuromuscular, or musculoskeletal diseases and not on any related medication. Prior to their involvement, each subject received detailed information about the study procedures, potential benefits, and associated risks, after which they gave written informed consent. Additionally, subjects were asked to abstain from strenuous physical activities and caffeine intake and to ensure adequate rest on the days of and preceding the testing sessions. The study’s protocol strictly adhered to the ethical guidelines of the Declaration of Helsinki and received approval from the Institutional Review Board (No. CE031908). This clinical trial has been registered at ClinicalTrials.gov with the identifier NCT06472882.

2.3. Procedure

In this study, subjects attended the laboratory on four separate occasions. The first session was devoted to familiarization with the study protocols, and participants experienced a brief demonstration of tDCS for five minutes. In subsequent experimental sessions, subjects began by completing standardized questionnaires: POMS, BAI, and PSQI. Subsequently, stimulation electrodes (DLPFC, M1, or SHAM) were placed, followed by a 20 min tDCS session while the subject remained seated. After stimulation, participants performed a general warm-up, including five minutes on an ergometer cycle at 75 rpm and an average power of 125 W, followed by active stretching and two sets of five push-ups and five squats, with 30-s breaks between exercises and sets. Finally, the subject was equipped with a band to measure heart rate and a device to measure muscle oxygen saturation in the vastus lateralis. Once the latter was calibrated, the participant was ready to perform the burpees-to-exhaustion test.
To ensure a double-blind design, the researcher who administered the tDCS was not present during the physical measurements, and the evaluator responsible for the physical measurements was unaware of the type of tDCS received by the participant. In this way, participants and evaluators remained blinded to the treatment administered.

2.3.1. Transcranial Direct Current Stimulation

In this study, tDCS was implemented in two different modalities: on M1 and DLPFC (Figure 1). For both modalities, participants remained seated during the 20 min of tDCS application at an intensity of 2 mA, using an ApeX Type A 18 V (ApeX Electronics, Flushing, NY, USA) stimulation device. These values of stimulation intensity and duration are based on previous studies that demonstrated their ergogenic efficacy in strength training [2,4]. The electrodes, soaked in saline solution, were fixed by elastic straps. In the M1 tDCS setup, a bilateral extracephalic approach was used with anodes over C3 and C4 (according to EEG 10–20 [17]) and cathodes over the ipsilateral shoulders [18]. In contrast, for a-tDCS in DLPFC, the anodic electrode was placed in the left DLPFC (area F3) and the cathode in the right orbitofrontal cortex (area Fp2). For the SHAM tDCS, stimulation was simulated by switching off the current after 30 s, allowing subjects to feel an initial stinging sensation, without receiving continuous stimulation, which ensures that the blind study design is maintained [19]. This approach ensures that participants are unaware of the type of stimulation received, thus maintaining the integrity of experimental control [20].

2.3.2. No Jump Burpee Test

We investigated the impact of tDCS on physical endurance, as measured by the number of burpees performed until exhaustion. The exercise consisted of a modified burpee sequence, excluding the jumping component, and focusing on three main stages: squats, planks, and push-ups, starting from a standing position and concluding with an overhead handstand. Technical accuracy was prioritized over speed, and a digital metronome was used to pace the execution of 20 repetitions per minute. Incorrect execution, identified by improper postures or omission of movements, was considered a failure and was not counted. Subjects performed the exercise until they could no longer maintain the proper pace or technique, at which point exhaustion was determined. This approach ensured a standardized assessment of physical endurance, regardless of individual variations in exercise duration. The exercise consisted of a modified burpee sequence, excluding the jumping component, and focusing on three main stages: squats, planks, and push-ups, starting from a standing position and concluding with a clap with hands raised above the head (Figure 2). Technical accuracy was prioritized over speed, and a digital metronome was used to pace the execution of 20 repetitions per minute. Incorrect execution, identified by improper postures or omission of movements, was considered a failure and was not counted. Subjects performed the exercise until they could no longer maintain the proper pace or technique, at which point exhaustion was determined. This approach ensured a standardized assessment of physical endurance, regardless of individual variations in exercise duration.

2.3.3. Ratings of Perceived Exertion and Heart Rate

Ratings of perceived exertion were measured using the Category Ratio 10 (CR 10) scale developed by Borg [21]. This scale, which ranges from 0 to 10, provides participants with a quantitative method of reporting the intensity of their perceived effort. Each number on the scale was anchored to specific descriptive terms that helped participants gauge their perceived exertion more accurately. Because the test consisted of exercise until exhaustion, RPE measurements were taken continuously every 20 s. To assist the participants in this task, a poster was placed on the wall with the RPE scale and descriptive examples, allowing subjects to always visualize it and facilitate an accurate assessment of their effort. In addition to the RPE scale, heart rate (HR) was also monitored as a complementary indicator of physical exertion, providing a broader view of the workload experienced by participants during exercise.

2.3.4. Muscle Oxygen Saturation

To measure SmO2 levels in the vastus lateralis, a non-invasive near-infrared spectroscopy (NIRS) device was used (HUMON HEX, Dynometrics Inc., Cambridge, MA, USA). This device is equipped with six slots that emit LED radiation at two wavelengths (760–840 nm), which was used to calculate both hemoglobin content (g/dL) and oxygen saturation levels (%). The NIRS sensor was precisely and consistently positioned on the right vastus lateralis of each subject, specifically two-thirds of the distance between the greater trochanter and lateral epicondyle of the femur. To ensure the stability of the sensor during physical activity, adhesive tape and a black neoprene band were used to ensure that the device remained fixed and, in position, marked with a marker pen to control any displacement during the test.
The sensor was calibrated according to the manufacturer’s specifications before each use. For real-time data collection and visualization, HUMON HEX (Dynometrics Inc., Cambridge, MA, USA) was connected via Bluetooth® to an Android tablet (Samsung Galaxy Tab A7 lite; Samsung Electronics, Seoul, Republic of Korea). The MoxZones application (MoxZones SL, Madrid, Spain) was used to display, playback, and store the collected data at a data output rate of 1 Hz.

2.3.5. Measurements of Control Variables

Three standardized questionnaires were used to monitor control variables: mood, anxiety, and sleep quality. Mood was measured using the Profile of Mood States (POMS), an instrument developed by McNair, et al. [22], which assesses tension, depression, anger, vigor, fatigue, and confusion. We used the short version, highlighting its simplicity and comprehensibility. Anxiety was assessed using the Beck Anxiety Inventory (BAI), a 21-item self-administered questionnaire that measures common anxiety symptoms on a 4-point scale [23]. Sleep quality was assessed using the Pittsburgh Sleep Quality Index (PSQI), which consists of 19 questions covering seven components of sleep habits [24]. All the questionnaires were administered before each session.

2.4. Data Analysis

The collected data for the key variables were systematically organized into an Excel spreadsheet. To facilitate a nuanced within-subject comparison, iso-time points (0, 20, 40, 60, 80, and 100% of the total duration) were established for the analysis of HR, RPE, and SmO2. This approach, aligned with the methodology described by Nicolò, et al. [25] involves examining each participant’s data individually and dividing the exercise test into these predetermined time points. Such a method not only minimizes data loss during experimental interventions but also allows for a more precise estimation of the effects of experimental interventions.
To define the 100% iso-time point, we identified the shortest time to exhaustion (TTE) for each participant across the three sessions. The shortest TTE was then set as the benchmark for 100% iso-time. The data collected during the final 20 s of the shortest TTE were used as a reference point and compared with corresponding data from the same relative time (20 s) in the longer TTE trials. The 20%, 40%, 60%, and 80% iso-time points were calculated by multiplying the 100% iso-time value by 0.20, 0.40, 0.60, and 0.80, respectively. For the initial 0% iso-time point, we compared the values from the baseline to start each TTE test, as suggested in previous studies [18,26].

2.5. Statistical Analysis

Statistical analysis was performed using the JASP 0.18.1 software. The level of statistical significance was set at p < 0.05 for all tests. Initially, the normality of the data was checked using the Shapiro–Wilk test, which was appropriate for our sample size. The total number of burpee repetitions was performed using a repeated-measures ANOVA, with the tDCS condition (i.e., DLPFC, M1, and SHAM) as a within-subjects factor. If significant differences were detected, post-hoc comparisons with Bonferroni adjustment were performed to control for type I error due to multiple comparisons. For HR, RPE, and SmO2, linear mixed models were used to examine variations across different time points (0%, 20%, 40%, 60%, 80%, and 100%) under each tDCS condition. This analysis would allow the assessment of both the main effects of time and condition as well as their possible interactions. Control variables, assessed by the POMS, BAI, and PSQI questionnaires, were analyzed by a repeated-measures ANOVA to explore differences in mood, anxiety, and sleep quality across sessions. In addition, the effect size was calculated using η p 2 and Cohen’s d, thus providing a measure of the effect size of the different tDCS conditions.

3. Results

3.1. Number of Repetitions

The repeated-measures ANOVAs revealed a significant effect of condition on the number of repetitions (F(2, 38) = 24.452, p < 0.001), with a moderate effect size ( η p 2 = 0.563). Comparing the mean values of the SHAM (58 ± 18.0 reps), DLPFC (63 ± 17.9 reps), and M1 (68 ± 19.5 reps) conditions suggests notable differences (Figure 3). Post-hoc contrasts, adjusted using the Bonferroni method, revealed significant differences between all conditions: SHAM vs. DLPFC (mean difference = −5.7; Cohen’s d = −0.308; p = 0.002), SHAM vs. M1 (mean difference = −10.2; Cohen’s d = −0.549; p < 0.001), and DLPFC vs. M1 (mean difference = −4.5; Cohen’s d = −0.241; p = 0.003). These results indicate significant variations in responses depending on the experimental condition, with effect sizes ranging from small to moderate according to Cohen’s d.

3.2. Heart Rate, Rate of Perceived Exertion, and Muscle Oxygen Saturation

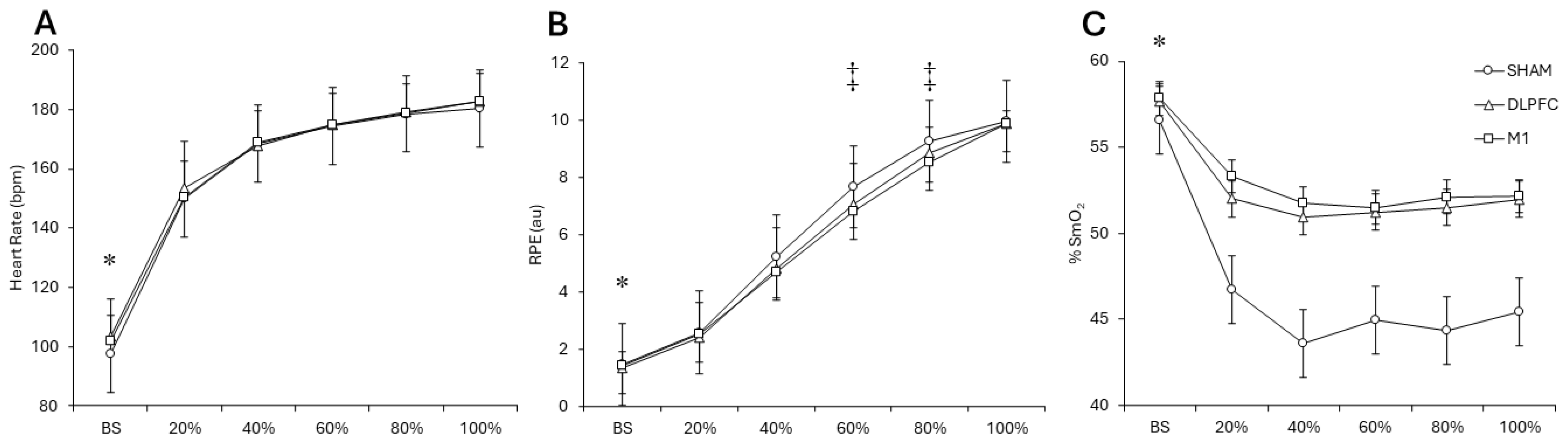
The HR results for each condition over time (measured at six points: baseline, 20%, 40%, 60%, 80%, and 100% of the test) are shown in Figure 4A. Mauchly’s test for sphericity indicated a violation of the sphericity assumption for the time factor and the condition × time interaction, which justified the use of Greenhouse–Geisser corrections for these analyses. The results revealed no statistically significant differences in HR between the different tDCS locations (F(1.866, 26.130) = 1.543; p = 0.233; η p 2 = 0.099). However, a significant main effect of time on HR was observed (F(2.180, 30.524) = 235.416; p < 0.0001, η p 2 = 0.944), indicating a substantial increase in HR during the test to exhaustion. No significant interaction was found between the tDCS condition and time (F(2.784, 38.976) = 0.738; p = 0.526; η p 2 = 0.050), suggesting that HR modulation did not vary throughout the task by tDCS location.
Regarding the RPE results (Figure 4B), Mauchly’s test for sphericity revealed a violation of the sphericity assumption for both the time factor and the condition × time interaction, justifying the use of Greenhouse–Geisser corrections. A two-factor repeated-measures ANOVA showed significant main effects for the condition factor (F(2, 50) = 4.969; p = 0.011; η p 2 = 0. 166), the time factor (F(2.167, 54.180) = 564.845; p < 0.0001; η p 2 = 0.958), and the condition × time interaction (F(5.276, 131.898) = 2.971; p = 0.015; η p 2 = 0.103). Bonferroni-adjusted post-hoc comparisons indicated significant differences in RPE over time under the tDCS stimulation conditions (SHAM, DLPFC, and M1), with no statistically significant differences in RPE between conditions at baseline (p > 0.05). Subsequent analyses showed significant increases in RPE, which were particularly noticeable from 40% of the test onwards. Statistically significant differences were observed between the SHAM and M1 conditions at 60% (p = 0.003; d = 0.682) and 80% (p = 0.030; d = 0.589) of the test. No statistically significant differences were detected at any of the time points between SHAM and DLPFC, nor between DLPFC and M1.
For the SmO2 values (Figure 4C), Mauchly’s test of sphericity indicated a violation of the sphericity assumption for both the condition factor and the time factor, as well as for the condition × time interaction. The two-way repeated-measures ANOVA revealed a significant main effect for the condition factor (F(1397, 16,762) = 4.441; p = 0.040; η p 2 = 0.270), indicating distinct impacts across conditions. Furthermore, a significant main effect of time was observed (F(1.971, 23.647) = 17.197; p < 0.0001; η p 2 = 0.589), reflecting substantial changes in SmO2 over time. In contrast, the interaction between condition and time was not statistically significant (F(2.354, 28.250) = 1.995; p = 0.148; η p 2 = 0.143), suggesting no statistically significant differences in SmO2 modulation among the various tDCS locations over time.

3.3. Control Variables

In this study, control variables were assessed using the POMS, BAI, and PSQI. The results indicated that there were no statistically significant differences between conditions on any of the control variables. A detailed synthesis of the findings is presented in Table 1.

4. Discussion

This study was designed to assess whether tDCS applied specifically to DLPFC and M1 could improve performance in physically demanding exercises such as burpees. It was hypothesized that tDCS would improve the number of repetitions to exhaustion and reduce the perception of exertion. The results partially confirmed this hypothesis, showing that the application of tDCS to these specific areas increased the number of repetitions performed, particularly when stimulated in M1, suggesting that the modulation of neural activity in these areas may have direct benefits on the ability to maintain high-intensity efforts. The study showed a significant effect of condition on the number of replicates, with a moderate effect size, highlighting the effectiveness of the tDCS applied to M1 compared to the DLPFC and SHAM conditions. Although heart rate and muscle oxygen saturation showed no significant differences, RPE varied during the task, suggesting a differential effect of tDCS depending on the area of application, especially in the later stages of exercise.
The effect of tDCS could depend significantly on the stimulation parameters, such as electrode position, current intensity, density, duration, and timing of application. In this regard, our research addresses a gap in the existing literature, as very few studies have directly compared the effects of different tDCS configurations on exercise performance in exercises such as the burpee. The results of the present study suggest that stimulation targeting DLPFC and M1 may have differential influences on the ability of athletes to sustain intense and prolonged efforts. In particular, the observed improvement in the number of repetitions under the M1 condition could reflect an optimization in the transmission of motor commands and better management of neuromuscular fatigue [18]. On the other hand, DLPFC stimulation, although less effective in this respect than M1, may be more related to improving motivation and mental endurance [11,12], which are equally crucial for performance in both physically and cognitively demanding exercises. These findings highlight the importance of properly selecting the target and parameters of tDCS to maximize the specific benefits sought in different types of physical training.
The findings of this study are consistent with previous research exploring the influence of tDCS in different brain areas on physical performance [9,27]. In the study conducted by Teymoori et al. [9], the effects of tDCS targeted at the DLPFC and M1 on physical performance, psychophysiological responses, and cognitive function were evaluated during a high-intensity test on a cycle ergometer (i.e., three sets of 30 s; Wingate). Although no improvements in anaerobic performance were observed, stimulation of the DLPFC significantly reduced the perception of effort and enhanced cognitive function, suggesting that modulation of this area may influence endurance and effort management during intense exercise [9]. In a recent study conducted by Etemadi et al. [27], a crossover design was also implemented to examine the effect of tDCS on the DLPFC and M1 under normobaric hypoxia conditions. The authors found that stimulation of the DLPFC not only enhanced endurance performance but also increased muscular activity and reduced the RPE, in contrast to the effects observed with stimulation over M1, which showed no significant effect [27]. These results support our observation of differentiated effects depending on the stimulated area and provide additional context for understanding how tDCS can be optimized to enhance both physical and cognitive performance across various types of exercises and environmental conditions.
In contrast to the studies by Teymoori et al. [9] and Etemani et al. [27], the present study did observe significant modifications in physical performance following stimulation over M1. The primary difference is that in previous studies involving the M1 tDCS setup, the anode was placed symmetrically over the Cz (2.5 cm on each side of M1), targeting the motor area of the lower limb, and the cathode was positioned on the left shoulder. In contrast, the M1 setup in the present study employed a bilateral extracephalic configuration, similar to that previously described in the study by Angius et al. [18]. In that study [18], the application of anodic tDCS over the bilateral motor cortexes not only prolonged the time to failure but also reduced the perception of effort and increased lactate accumulation, indicating an intensification of muscular effort. These findings corroborate our observations of performance improvements when stimulating the M1 area, suggesting that tDCS may enhance the capacity to sustain prolonged and high-intensity efforts. Furthermore, the reduction in perceived effort, coupled with increased corticospinal excitability, provides a plausible interpretation of how neural modulation facilitated by tDCS may enhance sports performance. These effects could reflect an optimization in neuromuscular communication and an increase in pain or fatigue tolerance during demanding physical activities. Therefore, our findings, along with the results from the study conducted by Angius et al. [18], suggest that tDCS, particularly in extracephalic settings, represents a promising tool for improving not only physical performance but also the cognitive management of effort in sports that require endurance and moderate levels of coordination. This is particularly relevant for exercises such as the burpee, which require not only a combination of motor skills but also coordination, rhythm, and the ability to integrate multiple movements into a fluid and efficient sequence. It is important to note that, despite the observed effects on physical performance, the present study did not find statistically significant differences in SmO2 between the different stimulation conditions. This finding suggests that the performance enhancements induced by tDCS may be mediated more by neuromodulatory effects, such as the optimization of cortical function and management of perceived effort, rather than by changes in aerobic capacity or oxygen utilization efficiency.
The results of the present study on the effectiveness of tDCS over M1 contrast with findings from other sports disciplines that also involve complex tasks. A study on taekwondo found that bilateral extracephalic anodic stimulation over M1 worsened performance in specific tests of the sport, such as kick frequency and speed, and increased perceived effort [15]. This impairment could be attributed to the overstimulation of areas that are crucial for the precise and coordinated execution required in taekwondo, which suggests that the complexity of the task may influence how tDCS affects sports performance. However, in contrast, our study shows performance improvements when stimulating M1 during the burpee, indicating that the type of exercise may play a decisive role in the response to stimulation. Our results point to the possibility that tDCS over M1 may have different effects depending on the nature of the exercise, suggesting that the selection of the stimulation area and specific parameters could be optimized based on the type of exercise and performance goals.
Despite the promising findings, this study has several limitations that should be considered when interpreting the results. Although the required sample size was calculated through G*power, this is a relatively small number of participants, and all participants were male and of a specific age. This may affect the generalizability of the results to larger and more diverse populations. This limitation is particularly relevant due to the high inter-individual variability reported in the literature when using tDCS techniques [28,29], which could influence the consistency of the results obtained. In addition, the study used a crossover design with single tDCS interventions, which does not allow the assessment of the long-term effects of stimulation and the accrual of benefits with multiple sessions. It is also important to note that, although improvements in the number of repetitions and perceived exertion were observed, no significant differences were found in physiological variables such as HR and SmO2, which may indicate that the effects of tDCS may be more perceptual than physiological. This suggests the need for future studies that include a wider range of physiological measures and biomarkers to better understand the mechanisms underlying the observed improvements. Finally, reliance on the self-reporting of perceived exertion may introduce subjective biases that affect the reliability of these data. Future research should consider the use of objective and quantitative methods to measure effort and fatigue to complement self-reported findings.

5. Conclusions

This study provides evidence that tDCS could be an effective tool for improving performance in intense and strenuous physical exercise, such as burpees. The findings particularly highlight the role of M1 in improving the number of repetitions until exhaustion, suggesting that targeted modulation of this area may have beneficial effects on muscular endurance and the ability to sustain high-intensity physical exertion. From a practical perspective, these results open up several potential applications for tDCS in the sportive context. For example, coaches could consider integrating tDCS as part of specific training programs for athletes seeking to improve their endurance and performance in competitions. In addition, this technique could be used in pre-competitive preparation to enhance athletes’ ability to perform prolonged physical effort under fatiguing conditions. However, it is crucial that further studies are conducted to investigate the long-term effects of tDCS and to determine the optimal dosage and application protocols for different populations and conditions. Furthermore, attention should be paid to individual differences in response to tDCS to personalize treatments and maximize their efficacy.

Author Contributions

Conceptualization, S.R.-A., J.M.G.d.F. and G.M.; methodology, T.-C.C. and G.M.; formal analysis, S.R.-A. and D.C.-P.; investigation, T.-C.C., S.K.F. and J.M.G.d.F.; resources, F.J.O.-C.; data curation, T.-C.C. and S.K.F.; writing—original draft preparation, T.-C.C. and J.M.G.d.F.; writing—review and editing, S.R.-A. and D.C.-P.; supervision, S.R.-A. and G.M.; funding acquisition, G.M. All authors have read and agreed to the published version of the manuscript.

Funding

G.M.-S. received funding from the Spanish Ministry of Science, Innovation, and Universities under Grant (PID2021-128204OA-I00-AEI/FEDER, UE); Xunta de Galicia, Universidade da Coruna/CISUG (ED431B 2021/28).

Institutional Review Board Statement

The study was conducted in accordance with the Declaration of Helsinki and approved by the Institutional Review Board of the Catholic University of Murcia (CE031908) on 1 March 2019.

Informed Consent Statement

Informed consent was obtained from all subjects involved in the study.

Data Availability Statement

The datasets generated and analyzed during the current study are not publicly available but are available from the corresponding author who organized the study.

Conflicts of Interest

The authors declare no conflicts of interest.

References

  1. Chinzara, T.T.; Buckingham, G.; Harris, D.J. Transcranial direct current stimulation and sporting performance: A systematic review and meta-analysis of transcranial direct current stimulation effects on physical endurance, muscular strength and visuomotor skills. Eur. J. Neurosci. 2022, 55, 468–486. [Google Scholar] [CrossRef]
  2. Alix-Fages, C.; Romero-Arenas, S.; Castro-Alonso, M.; Colomer-Poveda, D.; Rio-Rodriguez, D.; Jerez-Martinez, A.; Fernandez-Del-Olmo, M.; Marquez, G. Short-term effects of anodal transcranial direct current stimulation on endurance and maximal force production. A systematic review and meta-analysis. J. Clin. Med. 2019, 8, 536. [Google Scholar] [CrossRef]
  3. Kaushalya Fernando, S.; Romero-Arenas, S.; Garcia-Ramos, A.; Colomer-Poveda, D.; Marquez, G. Acute effects of transcranial direct current stimulation on cycling and running performance. A systematic review and meta-analysis. Eur. J. Sport Sci. 2022, 22, 113–125. [Google Scholar] [CrossRef] [PubMed]
  4. Lattari, E.; Oliveira, B.R.R.; Márquez, G. Acute effects of anodal transcranial direct current stimulation in resistance and power exercises: A brief review for coaches and practitioners. Strength Cond. J. 2022, 44, 57–68. [Google Scholar] [CrossRef]
  5. Marcos-Frutos, D.; Lopez-Alonso, V.; Mera-Gonzalez, I.; Sanchez-Molina, J.A.; Colomer-Poveda, D.; Marquez, G. Chronic functional adaptations induced by the application of transcranial direct current stimulation combined with exercise programs: A systematic review of randomized controlled trials. J. Clin. Med. 2023, 12, 6724. [Google Scholar] [CrossRef] [PubMed]
  6. Kamali, A.M.; Ijadi, M.; Keshtkarhesamabadi, B.; Kazemiha, M.; Mahmoudi, R.; Roozbehi, A.; Nami, M. A dual-mode neurostimulation approach to enhance athletic performance outcome in experienced taekwondo practitioners. Sci. Rep. 2023, 13, 251. [Google Scholar] [CrossRef]
  7. Nitsche, M.A.; Paulus, W. Sustained excitability elevations induced by transcranial DC motor cortex stimulation in humans. Neurology 2001, 57, 1899–1901. [Google Scholar] [CrossRef] [PubMed]
  8. Maudrich, T.; Ragert, P.; Perrey, S.; Kenville, R. Single-session anodal transcranial direct current stimulation to enhance sport-specific performance in athletes: A systematic review and meta-analysis. Brain Stimul. 2022, 15, 1517–1529. [Google Scholar] [CrossRef]
  9. Teymoori, H.; Amiri, E.; Tahmasebi, W.; Hoseini, R.; Grospretre, S.; Machado, D. Effect of tDCS targeting the M1 or left DLPFC on physical performance, psychophysiological responses, and cognitive function in repeated all-out cycling: A randomized controlled trial. J. Neuroeng. Rehabil. 2023, 20, 97. [Google Scholar] [CrossRef]
  10. Machado, D.; Unal, G.; Andrade, S.M.; Moreira, A.; Altimari, L.R.; Brunoni, A.R.; Perrey, S.; Mauger, A.R.; Bikson, M.; Okano, A.H. Effect of transcranial direct current stimulation on exercise performance: A systematic review and meta-analysis. Brain Stimul. 2019, 12, 593–605. [Google Scholar] [CrossRef] [PubMed]
  11. Bigliassi, M.; Filho, E. Functional significance of the dorsolateral prefrontal cortex during exhaustive exercise. Biol. Psychol. 2022, 175, 108442. [Google Scholar] [CrossRef]
  12. Robertson, C.V.; Marino, F.E. A role for the prefrontal cortex in exercise tolerance and termination. J. Appl. Physiol. 2016, 120, 464–466. [Google Scholar] [CrossRef]
  13. Grandperrin, Y.; Grospretre, S.; Nicolier, M.; Gimenez, P.; Vidal, C.; Haffen, E.; Bennabi, D. Effect of transcranial direct current stimulation on sports performance for two profiles of athletes (power and endurance) (COMPETE): A protocol for a randomised, crossover, double blind, controlled exploratory trial. Trials 2020, 21, 461. [Google Scholar] [CrossRef] [PubMed]
  14. Angius, L.; Hopker, J.; Mauger, A.R. The ergogenic effects of transcranial direct current stimulation on exercise performance. Front. Physiol. 2017, 8, 90. [Google Scholar] [CrossRef] [PubMed]
  15. Mesquita, P.H.C.; Lage, G.M.; Franchini, E.; Romano-Silva, M.A.; Albuquerque, M.R. Bi-hemispheric anodal transcranial direct current stimulation worsens taekwondo-related performance. Hum. Mov. Sci. 2019, 66, 578–586. [Google Scholar] [CrossRef] [PubMed]
  16. Podstawski, R.; Markowski, P.; Clark, C.C.T.; Choszcz, D.; Ihasz, F.; Stojiljkovic, S.; Gronek, P. International standards for the 3-minute burpee test: High-intensity motor performance. J. Hum. Kinet. 2019, 69, 137–147. [Google Scholar] [CrossRef]
  17. Jasper, H. Report of the committee on methods of clinical examination in electroencephalography. Electroencephalogr. Clin. Neurophysiol. 1958, 10, 370–375. [Google Scholar] [CrossRef]
  18. Angius, L.; Mauger, A.R.; Hopker, J.; Pascual-Leone, A.; Santarnecchi, E.; Marcora, S.M. Bilateral extracephalic transcranial direct current stimulation improves endurance performance in healthy individuals. Brain Stimul. 2018, 11, 108–117. [Google Scholar] [CrossRef]
  19. Gandiga, P.C.; Hummel, F.C.; Cohen, L.G. Transcranial DC stimulation (tDCS): A tool for double-blind sham-controlled clinical studies in brain stimulation. Clin. Neurophysiol. 2006, 117, 845–850. [Google Scholar] [CrossRef]
  20. Boggio, P.S.; Zaghi, S.; Lopes, M.; Fregni, F. Modulatory effects of anodal transcranial direct current stimulation on perception and pain thresholds in healthy volunteers. Eur. J. Neurol. 2008, 15, 1124–1130. [Google Scholar] [CrossRef]
  21. Borg, G. Psychophysical scaling with applications in physical work and the perception of exertion. Scand J. Work Environ. Health 1990, 16 (Suppl. S1), 55–58. [Google Scholar] [CrossRef]
  22. McNair, D.M.; Lorr, M.; Droppleman, L.F. Manual for the profile of mood states. Educ. Ind. Test. Serv. 1971. [Google Scholar]
  23. Beck, A.T.; Epstein, N.; Brown, G.; Steer, R.A. An inventory for measuring clinical anxiety: Psychometric properties. J. Consult. Clin. Psychol. 1988, 56, 893–897. [Google Scholar] [CrossRef] [PubMed]
  24. Buysse, D.J.; Reynolds, C.F., 3rd; Monk, T.H.; Berman, S.R.; Kupfer, D.J. The pittsburgh sleep quality index: A new instrument for psychiatric practice and research. Psychiatry Res. 1989, 28, 193–213. [Google Scholar] [CrossRef]
  25. Nicolò, A.; Sacchetti, M.; Girardi, M.; McCormick, A.; Angius, L.; Bazzucchi, I.; Marcora, S.M. A comparison of different methods to analyse data collected during time-to-exhaustion tests. Sport Sci. Health 2019, 15, 667–679. [Google Scholar] [CrossRef]
  26. Blanchfield, A.; Hardy, J.; Marcora, S. Non-conscious visual cues related to affect and action alter perception of effort and endurance performance. Front. Hum. Neurosci. 2014, 8, 967. [Google Scholar] [CrossRef] [PubMed]
  27. Etemadi, M.; Amiri, E.; Tadibi, V.; Grospretre, S.; Valipour Dehnou, V.; Machado, D. Anodal tDCS over the left DLPFC but not M1 increases muscle activity and improves psychophysiological responses, cognitive function, and endurance performance in normobaric hypoxia: A randomized controlled trial. BMC Neurosci. 2023, 24, 25. [Google Scholar] [CrossRef] [PubMed]
  28. Lopez-Alonso, V.; Cheeran, B.; Rio-Rodriguez, D.; Fernandez-Del-Olmo, M. Inter-individual variability in response to non-invasive brain stimulation paradigms. Brain Stimul. 2014, 7, 372–380. [Google Scholar] [CrossRef]
  29. Lopez-Alonso, V.; Fernandez-Del-Olmo, M.; Costantini, A.; Gonzalez-Henriquez, J.J.; Cheeran, B. Intra-individual variability in the response to anodal transcranial direct current stimulation. Clin. Neurophysiol. 2015, 126, 2342–2347. [Google Scholar] [CrossRef]
Figure 1. Schematic diagram of electrode placement. DLPFC: Dorsolateral prefrontal cortex; M1: Primary motor cortex. A: Anode electrode; C: Cathode electrode.
Figure 1. Schematic diagram of electrode placement. DLPFC: Dorsolateral prefrontal cortex; M1: Primary motor cortex. A: Anode electrode; C: Cathode electrode.
Applsci 14 05832 g001
Figure 2. Modified sequence of the burpee, focusing on stages of squats, planks, and push-ups, starting from a standing position, and ending with a handstand.
Figure 2. Modified sequence of the burpee, focusing on stages of squats, planks, and push-ups, starting from a standing position, and ending with a handstand.
Applsci 14 05832 g002
Figure 3. Total number of repetitions. *: Statistically significant differences with SHAM; **: Statistically significant differences with SHAM and DLPFC.
Figure 3. Total number of repetitions. *: Statistically significant differences with SHAM; **: Statistically significant differences with SHAM and DLPFC.
Applsci 14 05832 g003
Figure 4. Results of (A) heart rate, (B) rate of perceived exertion (RPE), and (C) muscle oxygen saturation (SmO2). Data are presented as mean ± SD for each condition over time (measured at six points: baseline (BS), 20%, 40%, 60%, 80%, and 100% of the test). *: Statistically significant differences from baseline with the rest of the time points for each condition; ‡: Statistically significant differences between SHAM and M1.
Figure 4. Results of (A) heart rate, (B) rate of perceived exertion (RPE), and (C) muscle oxygen saturation (SmO2). Data are presented as mean ± SD for each condition over time (measured at six points: baseline (BS), 20%, 40%, 60%, 80%, and 100% of the test). *: Statistically significant differences from baseline with the rest of the time points for each condition; ‡: Statistically significant differences between SHAM and M1.
Applsci 14 05832 g004
Table 1. Results of the POMS, BAI, and PQSI questionnaires.
Table 1. Results of the POMS, BAI, and PQSI questionnaires.
SHAM
(n = 20)
DLPFC
(n = 20)
M1
(n = 20)
p-Value
POMS
  Tension5 ± 1.85 ± 2.16 ± 1.90.489
  Depression6 ± 3.85 ± 3.26 ± 3.10.721
  Anger5 ± 2.05 ± 2.14 ± 1.90.234
  Vigor17 ± 5.117 ± 5.019 ± 4.40.618
  Fatigue5 ± 1.64 ± 1.75 ± 1.90.069
  Confusion2 ± 1.73 ± 1.32 ± 1.60.431
BAI5 ± 2.54 ± 2.25 ± 2.50.300
PSQI7 ± 2.66 ± 2.96 ±3.20.368
POMS: Profile of Mood State; BAI: Beck Anxiety Inventory; PSQI: Pittsburgh Sleep Quality Index. SHAM: Control situation. DLPFC: dorsolateral prefrontal cortex. M1: Primary motor cortex
Disclaimer/Publisher’s Note: The statements, opinions and data contained in all publications are solely those of the individual author(s) and contributor(s) and not of MDPI and/or the editor(s). MDPI and/or the editor(s) disclaim responsibility for any injury to people or property resulting from any ideas, methods, instructions or products referred to in the content.

Share and Cite

MDPI and ACS Style

Chen, T.-C.; García de Frutos, J.M.; Colomer-Poveda, D.; Márquez, G.; Kaushalya Fernando, S.; Orquín-Castrillón, F.J.; Romero-Arenas, S. Impact of Transcranial Direct Current Stimulation on the Capacity to Perform Burpees: A Randomized Controlled Trial. Appl. Sci. 2024, 14, 5832. https://doi.org/10.3390/app14135832

AMA Style

Chen T-C, García de Frutos JM, Colomer-Poveda D, Márquez G, Kaushalya Fernando S, Orquín-Castrillón FJ, Romero-Arenas S. Impact of Transcranial Direct Current Stimulation on the Capacity to Perform Burpees: A Randomized Controlled Trial. Applied Sciences. 2024; 14(13):5832. https://doi.org/10.3390/app14135832

Chicago/Turabian Style

Chen, Tai-Chih, José Manuel García de Frutos, David Colomer-Poveda, Gonzalo Márquez, Shyamali Kaushalya Fernando, Francisco Javier Orquín-Castrillón, and Salvador Romero-Arenas. 2024. "Impact of Transcranial Direct Current Stimulation on the Capacity to Perform Burpees: A Randomized Controlled Trial" Applied Sciences 14, no. 13: 5832. https://doi.org/10.3390/app14135832

APA Style

Chen, T.-C., García de Frutos, J. M., Colomer-Poveda, D., Márquez, G., Kaushalya Fernando, S., Orquín-Castrillón, F. J., & Romero-Arenas, S. (2024). Impact of Transcranial Direct Current Stimulation on the Capacity to Perform Burpees: A Randomized Controlled Trial. Applied Sciences, 14(13), 5832. https://doi.org/10.3390/app14135832

Note that from the first issue of 2016, this journal uses article numbers instead of page numbers. See further details here.

Article Metrics

Back to TopTop