Abstract
Multimode interference (MMI) couplers based on silicon slot-waveguide structures have received widespread attention in recent years. The key issues that need to be addressed are the size and loss of such devices. This study introduces a 1 × 3 silicon-based slot-waveguide multimode interference power splitter. The device uses a gallium-nitride slot-waveguide structure to reduce the length of the coupling region and decrease additional losses. To reduce the width of the coupling region, the multimode interference coupling area is designed with a parabolic-shaped structure. The introduction of a tapered structure between the input/output waveguides and the coupling region improves additional losses and non-uniformity. Furthermore, we conducted an analysis of the fabrication tolerances of the coupling region. In this paper, we use mode solution to simulate the design of the device in the 1550 nm optical wavelength range. The eigenmode expansion method is used to simulate and optimize the parameters of the device. The device is simulated using the eigenmode expansion solver. The simulation results show that the total length of the coupling region for the device is only 4 μm. The normalized transmission of the device is 0.992, and its excess loss and imbalance are 0.036 dB and 0.003 dB, respectively. The proposed power splitter can be applied to integrated optical circuit design, optical sensing, and optical power measurement.
1. Introduction
Optical waveguide devices based on silicon-on-insulator (SOI) material have become increasingly important in the field of integrated optics due to their high refractive index, low loss, and compatibility with traditional complementary metal–oxide semiconductor (CMOS) processes. Among the silicon-based optical waveguide devices, multimode interference couplers are extensively employed in various optical applications such as power beam splitters [1,2,3], wavelength division multiplexing [4], wavelength division demultiplexing [5], and polarization beam splitters [6,7]. This is primarily due to their advantageous properties, including low loss, compact structure, and large process tolerances.
Multimode interference couplers based on silicon-based slot waveguide structures have been widely studied due to the development of silicon-on-insulator research. In Israel, Dror Malka and his team have focused their research efforts on developing power combiners [8,9,10], a wavelength division demultiplexer [11], and power beam splitters [12,13] that utilize silicon-based slot-waveguide structures. Meanwhile, Jingli Wang and colleagues at Nanjing University of Posts and Telecommunications in China have designed and tested high-performance devices, such as a wavelength division multiplexer [14], wavelength division demultiplexers [15,16], and a power beam splitter [17] with polarization-independent features. These studies have made significant progress in the area of slot-waveguide multimode interference couplers.
The investigation of silicon-based power splitters with a slot-waveguide structure has resulted in notable designs from various research teams. Dror Malka’s team proposed a 1 × 8 power splitter based on a GaN-SiO2 slot-waveguide structure [12], as well as a 1 × 4 power splitter based on a Si-GaN slot-waveguide structure [13]. Additionally, Jingli Wang’s team developed a 1 × 3 polarization-insensitive power splitter based on a Si-SiNx slot-waveguide structure that can achieve polarization-insensitive function [17]. The various types of power splitters designed to date have demonstrated good performance, but further research is needed to improve their size reduction and reduce loss.
With the increasing demand for device integration, the constraints of the traditional rectangular MMI coupler in terms of device structure size are gradually being highlighted. Therefore, reducing the structural size of MMI couplers has become a growing concern for researchers. In order to achieve small size and low loss, a multimode interference coupler with parabolic (including exponential and other quadratic curvilinear) coupling regions has been proposed [18]. The size of the device is reduced by designing the coupling region with a width that varies as a function of the parabola with length.
In this article, we present the simulation and design of a 1 × 3 parabolic power splitter based on a Si-GaN slot-waveguide structure using the effective refractive index method and the eigenmode expansion method. Our objective is to effectively reduce the height and width of the device while minimizing excess losses. To achieve this, we employ a single-mode waveguide with a silicon-nitride-gallium-nitride (Si-GaN) structure, which is known for its excellent optical properties and compatibility with photonic integration. The coupling region of the device is designed with a parabolic-shaped structure. This parabolic design helps to reduce the width of the coupling region, thereby decreasing the overall size of the power splitter. Additionally, taper structures are integrated into the input/output waveguides and the connection sections of the coupling region. These taper structures play a critical role in reducing excess loss and improving the balance of the device. By gradually transitioning the width of the waveguide, the taper structures enhance the coupling efficiency from the single-mode input to the coupling region, thereby reducing waveguide crosstalk and improving overall device performance. The devices are analyzed for tolerances to reduce excess loss and achieve good imbalance. The designed device demonstrates small size and low losses compared to similar power splitters.
2. Structures and Principle
A slot waveguide is a special type of waveguide where a layer made of a low-refractive-index material is sandwiched between two layers made of high-refractive-index materials. Moreover, the slot-waveguide structure exhibits a refractive index difference between the materials with electric field discontinuity [17]. When transmitting optical energy, the transverse magnetic (TM) signals have an optical field concentrated in the low refractive index region. In contrast, transverse electric (TE) signals are concentrated in the high refractive index region. This special structure induces a dual reflection phenomenon that facilitates low-loss transmission.
A simple multimode interference coupler consists of the input waveguide, the output waveguide, and the coupling area. The input and output waveguides must support single-mode propagation. The MMI coupler is based on the self-imaging effect [19]. Self-imaging is a property of multimode waveguides by which an input field profile is reproduced in single or multiple images at periodic intervals along the propagation direction of the waveguide. Thus, the self-imaging effect is a consequence of the mutual interference between excitation modes in an optical waveguide [20]. The length of the MMI can be determined through the self-imaging effect.
Under conditions of symmetric interference, the length of the multimode interference coupling region, with dimensions of 1 × N, can be expressed as follows:
where LMMI is the length of the coupling region. When N is equal to 3, the length that corresponds to the triple image point in the MMI waveguide can be determined. is the beat length of the fundamental mode, and the first-order mode is defined as follows:
where and are the propagation constants of the fundamental and first-order modes, respectively; WMMI is the width of the coupling region; is the wavelength; and is the effective refractive index of the waveguide. The most important performance parameters for MMI couplers are the excess loss and the imbalance [21]. The excess loss of the coupler is described by the following expression:
where Pout is the output optical power and Pin is the input optical power. Imbalance is used to measure the spectral uniformity of a device and is given by the following expression:
where P1 and P2 are the maximum and minimum optical power at the individual outputs, respectively.
3. Design and Simulation
3.1. Design of the Single-Mode Waveguide
Optical waveguides are designed using slot waveguides based on a silicon-gallium nitride (Si-GaN) structure. Gallium nitride (GaN) has been widely used for integrating optically active nanodevices and non-photonic devices due to its superior electrical properties, temperature resistance, and potential to cover a broad-spectrum range [13]. GaN components can be grown on epitaxial substrates or directly on silicon substrates. It is recommended to use materials with the smallest refractive index difference to incorporate slot waveguides into the construction of multimode interference devices.
Recent research has highlighted the superiority of GaN compared to materials such as silicon-alumina and silicon-silica (SiO2) for this application [13]. By utilizing GaN as the material for slot waveguides, the performance of the devices is significantly enhanced. GaN’s high refractive index contrast and its compatibility with silicon technology make it an excellent choice for high-performance integrated optical devices. The use of GaN in slot waveguides not only improves the optical confinement but also enhances the overall efficiency and functionality of the photonic devices. In the fabrication of silicon gallium nitride (Si-GaN) structure, it needs to be prepared through various processes such as photolithography and etching. In the preparation of silicon-based slot waveguides, 0.2 μm is easier to achieve single-mode propagation than 0.22 μm, which helps to reduce mode interference and optical loss, and it has stronger mode constraints, which makes it more suitable for high-density integrated photonic devices. In this paper, we use a mode solution to simulate the design of the device in the 1550 nm optical wavelength range.
Figure 1a depicts a three-layered slot waveguide comprising two Si layers with a refractive index of 3.47 and a GaN layer that has a refractive index of 2.305. This waveguide is encircled by a SiO2 cladding layer, which has a refractive index of 1.45. HSi and HGaN are the heights of Si and GaN, respectively. W is the width of the slot waveguide, which operates at a wavelength of 1550 nm. Figure 1b shows an example of the structure of the power splitter, which comprises three components, i.e., the input waveguide, the multimode interference coupling region, and the output waveguide. LMMI is the length of the coupling region. W0 is the width of the narrow end of the coupling region, whereas W1 is the width of the broad end of the coupling region. LTaper and WTaper are the length and width of the taper structures, respectively. All the waveguides, including the input and output ones, use a slot-waveguide configuration. The multimode interference coupling region is designed to achieve efficient power splitting.
Figure 1.
Structure of a 1 × 3 power splitter: (a) cross section of the slot waveguide and (b) plan view of the power splitter.
Stable transmission of optical signals was achieved through a waveguide under single-mode transmission conditions by using an effective refractive index method to determine the optimal height and width of the slot waveguide. Waveguide configurations with varying heights for silicon and gallium nitride as well as different widths for the slot waveguide were scanned.
The single-mode conditions are analyzed for the Si waveguide height, and the variation of the mode refractive index with the waveguide height is analyzed in the range of 0.16–0.26 μm for the Si waveguide height. From Figure 2a, it can be observed that the criteria for achieving single-mode transmission are fulfilled only when the height of Si is less than and not equal to 0.24 μm. It is noteworthy that the standardized preparation process usually assumes the height of Si to be around 0.2 or 0.22 μm. Therefore, in our study, the height of silicon was set to 0.2 μm to align with the standardized preparation process. In Figure 2b, single-mode conditions are analyzed for the GaN waveguide, and the mode refractive index of the silicon nitride waveguide height is analyzed in the range of 0–0.25 μm as a function of the waveguide height, and the height of GaN is determined to be 0.1 μm; the single-mode transmission condition is satisfied without excessively increasing the height of the waveguide, which is beneficial for the preparation process. After determining the silicon waveguide height as well as the gallium nitride waveguide height, the overall input waveguide width is analyzed for single-mode conditions. As depicted in Figure 2c, single-mode transmission is achieved when the waveguide width is less than and not equal to 0.45 μm. Therefore, the width of the waveguide was chosen to be 0.4 μm in the design.
Figure 2.
Curves of effective refractive index with (a) height of Si, (b) height of GaN, and (c) width of slot waveguide.
The mode distribution characteristics of a single-mode waveguide are shown in Figure 3. From Figure 3a,b, it is evident that the TE-mode optical field is distributed within the silicon layer, while the TM-mode optical field is distributed within the gallium nitride layer. In particular, the discontinuity on the horizontal dividing plane is the primary trait of the TM mode, which is concentrated mainly within the low refractive index domain. Conversely, the optical field distribution of the TE mode mainly resides within the high refractive index range, closely resembling that of a typical silicon-based waveguide configuration [18]. Consequently, the TE mode was chosen for the subsequent analysis.
Figure 3.
Structure of mode distribution: (a) TE polarization mode profile and (b) TM polarization mode profile.
3.2. Optimization of the Multimode Interference Region
In this study, a uniform coupling region with a width of 3 μm was designed. As stated in Equation (2), the beat length is in direct proportion to the width of the coupling region. As a result, decreasing the width of the coupler would result in a shortened length of the coupling region. This is beneficial for creating more compact optical devices. However, there is a trade-off, i.e., excessively reducing the width may lead to unintended coupling between the modes of the output ports. This phenomenon occurs because, as the width narrows, the spatial separation between modes decreases, increasing the likelihood of crosstalk and mode interference. To mitigate this issue, the coupling region is designed in a parabolic shape. The parabolic design helps to gradually taper the width, allowing for a smoother transition and better control over the coupling dynamics. The width change function of the coupling region is formulated to optimize performance while maintaining a balance between reducing the coupling region’s length and avoiding unintended mode coupling. The width change function of the coupling region is formulated according to the following equation [22]:
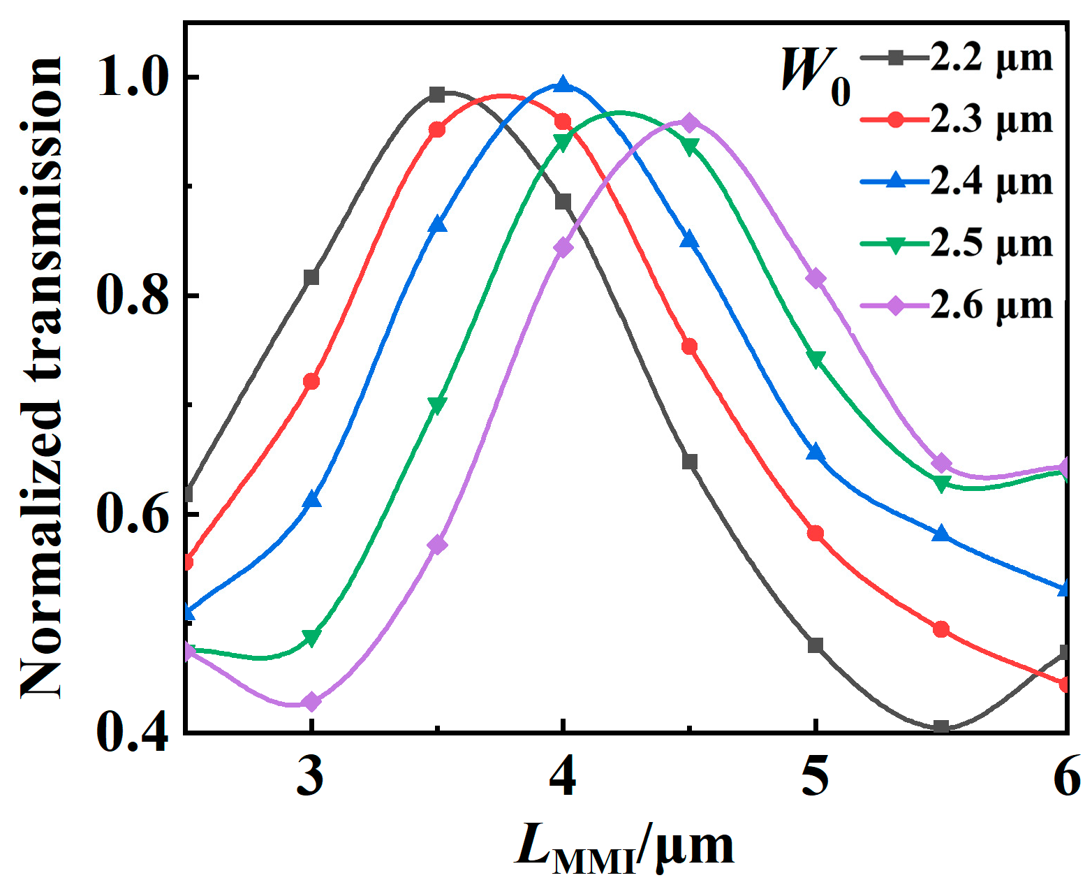
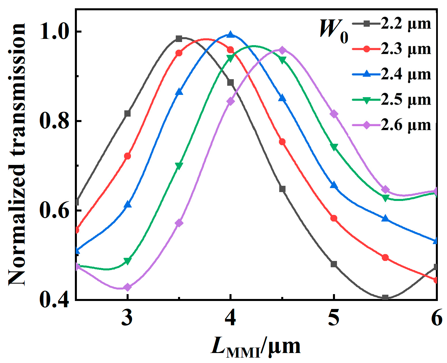
where x and y are the range of values for the length and width of the coupling region, respectively. W0 is the width of the coupling region at x = 0, whereas W1 is the width of the coupling region at x = LMMI. In order to determine the optimal imaging length and width of the coupling zone, this study used the EME function module of the Mode Solutions software (v.2020 r2) for simulation and analysis. The width of the narrow end of the coupling zone, W0, was first determined, and then the value of W0 was systematically varied to assess its effect on the normalized transmission as well as the value of LMMI. Through such simulations, the authors of this study were able to better understand the impact of width and length variations on coupling efficiency and transmission quality and, thus, optimize the design parameters to achieve optimal performance. Figure 4 presents the curves showing the variation in normalized transmission with LMMI for different values of W0.
Figure 4.
Curves of normalized transmission with width and length in the coupling region.
From Figure 4, it can be clearly seen that when the value of W0 increases from 2.2 to 2.6 μm, the normalized transmission shows an increasing and then decreasing trend with the change of LMMI. The normalized transmission is maximum when W0 is 2.4 μm. When W0 is 2.4 μm, the results are shown in Figure 4 when the LMMI increases from 2.5 to 6 μm. It can be seen that the total normalized transmission is highest at 0.992 when the length of the coupling region is kept at 4 μm. Thus, in the subsequent analysis, the length of the coupling region was chosen as 4 μm, and the width of the coupling region was chosen as 2.4 μm. Figure 5 shows the optical field distribution of a 1 × 3 power splitter based on multimode interference in a parabolic Si-GaN slot-waveguide structure. The input light at the output port is evenly divided into 3 parts at the output port.
Figure 5.
Optical field distribution of a 1 × 3 power splitter with a parabolic slot-waveguide structure.
3.3. Optimization of the Taper
The tapered structure in a waveguide system is a key factor in optimizing performance. The tapered structure is a transition region that smooths the mode shift between the single-mode input waveguide and the multimode interference region. This transition is critical because abrupt changes in waveguide dimensions can cause scattering and coupling inefficiencies, leading to higher excess losses and imbalances. Therefore, a tapered structure was introduced in the connecting portion of the input/output waveguide and the multimode interference coupling region. This design feature effectively mitigates the excess loss problem while improving the device imbalance. In addition, the taper improves the coupling efficiency from the single-mode input to the coupling region, further improving the fabrication tolerance of the power divider [21]. According to Figure 6a, there is a clear trend of excess loss and imbalance when the taper length is varied in the range of 1.9 to 2.1 μm. It can be concluded that the best performance is achieved when the taper length is 2 μm. Therefore, the taper length was set to 2 μm. The width of the tapered surface was scanned to assess any associated excess loss or imbalance.
Figure 6.
(a) Effect of taper length on excess loss and imbalance. (b) Effect of taper width on excess loss and imbalance.
It is evident from Figure 6b that within the 0.5 to 0.7 μm range for the width of the taper, there is a notable decrease and subsequent increase in both the excess loss and imbalance. This trend reveals the sensitivity of the device performance to the width of the cone. For smaller taper widths, specifically closer to 0.5 μm, the excess loss and imbalance decrease. This reduction can be attributed to the decrease in waveguide crosstalk. Crosstalk occurs when there is interference between the signals in adjacent waveguides, leading to signal degradation. A narrower taper width reduces the overlap between the modes of adjacent waveguides, thereby minimizing crosstalk and improving performance. However, as the taper width increases beyond a certain threshold, particularly above 0.65 μm, the crosstalk between the output waveguides becomes more pronounced. This increased crosstalk results in a deterioration in the performance of the power splitter, manifesting as higher excess loss and imbalance. Therefore, it is crucial to choose an appropriate value of taper width that balances the reduction in excess loss and imbalance against the increase in crosstalk. Through simulation analysis, it was found that a taper width of 0.65 μm provides the optimal trade-off between these factors. At this width, the device achieves a minimum imbalance and an excess loss of less than 0.036 dB. This balance ensures that the device performs efficiently without significant signal degradation. Thus, based on these findings, the taper width for the device was set to 0.65 μm. This value was chosen to optimize the performance of the power splitter, ensuring low excess loss and minimal imbalance while avoiding the adverse effects of increased crosstalk.
3.4. Analysis of Preparation Tolerance
During the production of optical waveguide devices, variations in the length and width of the coupling region can arise due to both the fabrication process and material characteristics. These discrepancies are often unavoidable because they stem from the inherent limitations and fluctuations in manufacturing technologies and the physical properties of the materials used. These deviations can have significant adverse effects on the performance of the device. Therefore, designing devices with good preparation tolerance is essential. Preparation tolerance refers to a device’s ability to maintain high performance despite variations in its fabrication. Devices with significant tolerance margins can accommodate these variations without substantial decline in performance. This not only ensures consistent device operation but also leads to reduced manufacturing costs, as it minimizes the need for highly precise and expensive fabrication processes. Additionally, it minimizes performance fluctuations, thereby enhancing the reliability of the optical systems in which these devices are used [21]. In this study, we aim to analyze the device tolerance passes under the condition of constant coupling zone width. This approach allows us to systematically study how length variations affect the excess loss and imbalance of the device. This analysis helps to determine the optimal dimensions that provide the best performance while maintaining a high tolerance to fabrication variations.
As depicted in Figure 7, when W0 is kept constant and LMMI increased from 3.5 to 4.5 μm, the excess loss and imbalance are less than 1 dB. These results demonstrate that the device is highly tolerant to variations in LMMI. To further investigate the resulting values of excess loss and imbalance, while keeping the length of the coupling region constant, the width of the coupling region was modified.
Figure 7.
Effect of length of coupling region on excess loss and imbalance.
As depicted in Figure 8, when LMMI is kept constant and W0 increased from 2 to 2.8 μm, the excess loss and imbalance exhibited a strong variation. This can be attributed to the fact that the LMMI is proportional to the square of W0. Thus, even a slight variation in W0 causes a more significant change in both excess loss and imbalance compared to that caused by variation in length. To maintain low levels of excess loss and imbalance, the width deviation of the coupling region should be kept within the range of ±0.2 µm.
Figure 8.
Effect of width of coupling region on excess loss and imbalance.
4. Results and Discussion
Based on the simulation results, the parameters and indicators of the optimized power divider are as follows: The thicknesses of Si and GaN are 0.2 μm and 0.1 μm, respectively. The width of the single-mode waveguide is 0.4 μm, and the length of the coupling area is 4 μm. Furthermore, the two ends of the parabolic coupling region have widths of 2.4 μm and 3 μm. The length and width of the taper are 2 μm and 0.65 μm, respectively. Additionally, the total normalized transmission is up to 0.992, indicative of high efficiency. Specifically, the power divider exhibits excess loss and imbalance of 0.036 dB and 0.003 dB, respectively.
A previous study [12] proposed a power splitter that utilizes gallium nitride and silicon dioxide. The dimensions of the coupling region are specified as 16.55 μm in length and 4 μm in width, resulting in a normalized transmission of 0.976. In contrast, the power splitter described in another study [13] employs silicon and gallium nitride and presents a coupling region with dimensions of 12.03 μm in length and 5 μm in width, resulting in a normalized transmission of 0.984. Our present study introduces a device with a coupling region that is approximately three and four times smaller in length and width, respectively, and displays a higher normalized transmission as compared to those present in the literature [12,13].
The power splitter presented in reference [17] employs Si and SiNx. The refractive index of SiNx is 2.5. The coupling region features an isosceles trapezoidal structure with a length of 13.2 μm and an upper base and lower base of 4 μm and 5.38 μm, respectively. The excess loss and imbalance are below 0.07 dB and 0.03 dB, respectively. Contrastingly, the power splitters developed in our work have coupling regions that are approximately three times smaller in length and width, exhibit roughly twice the amount of excess loss, and have nearly ten times less imbalance when compared to those in reference [17].
To conclude, the size of the power splitter designed in this study is significantly smaller than the power splitters proposed in recent years. This compact design is crucial for integrated photonic circuits where space is at a premium. Additionally, the power splitter designed in this study incurs lower losses, which is a vital aspect for efficient signal transmission and overall device performance. The reduction in excess loss not only improves energy efficiency but also enhances the reliability of the device in practical applications. Moreover, the splitting uniformity of the designed power splitter is notably more favorable. Uniformity in power splitting ensures that the signal is evenly distributed across all output ports, which is essential for maintaining signal integrity in complex photonic circuits. The proposed design provides an efficient solution for power splitting applications, offering a balance between compact size, low loss, and high splitting uniformity. These results highlight the potential of the proposed power splitter for application in integrated photonic optical circuits. Finally, it must be acknowledged that the designed devices may deviate from the expected results when actually prepared. This deviation mainly comes from the fact that the design of the multimode interference coupling region adopts a parabolic structure, which may have many difficulties in actual preparation. However, these preparation errors are relatively small and will not have a large impact on the device performance.
5. Conclusions
In summary, a 1 × 3 power splitter based on multimode interference with a parabolic type was designed utilizing a Si-GaN slot-waveguide structure. The use of silicon and gallium nitride as materials for the slot waveguide can improve the performance of the device. The effective refractive index method and the eigenmode expansion method were employed to simulate the device. The single-mode dimension of the waveguide was calculated for the input and output. The parabolic coupling region was designed and optimized to obtain the best imaging length of 4 μm. Furthermore, tapers were added to the input and output waveguides and connection sections of the coupling region to reduce excess loss and improve imbalance. In addition, a comprehensive analysis of the preparation tolerances of the structural parameters was performed to guide the fabrication process. The findings indicate that the device exhibits a total normalized transmission of 0.992, an excess loss of 0.036 dB, and an imbalance of 0.003 dB. In comparison to analogous devices, the presented power splitter boasts smaller dimensions, reduced loss, and diminished imbalance. It is expected that this study will contribute to the development of high-performance and compact devices for integrated photonic systems in the future.
Author Contributions
Conceptualization, H.L. and S.L.; methodology, H.L. and S.L.; software, S.L.; validation, B.L., F.L., S.L. and H.W.; formal analysis, H.L. and S.L.; investigation, S.L.; resources, H.L.; data curation, S.L.; writing—original draft preparation, S.L.; writing—review and editing, H.L. and S.L.; visualization, S.L.; supervision, X.L., F.L., B.L. and Y.C.; project administration, S.L., F.L., Y.L. and Q.G.; funding acquisition, H.L. All authors have read and agreed to the published version of the manuscript.
Funding
This research was funded by the Foundation of Liaoning Province Education Administration (JYTMS20230429).
Institutional Review Board Statement
Not applicable.
Informed Consent Statement
Not applicable.
Data Availability Statement
Data is contained within the article.
Conflicts of Interest
The authors declare no conflicts of interest.
References
- Zhang, J.; Han, L.; Kuo, B.P.; Radic, S. Broadband angled arbitrary ratio SOI MMI couplers with enhanced fabrication tolerance. J. Light. Technol. 2020, 38, 5748–5755. [Google Scholar] [CrossRef]
- Liu, R.; Lu, L.; Zhang, P.; Chang, W.; Liu, D.; Zhang, M. Integrated dual-mode 3-dB power splitter based on multimode interference coupler. IEEE Photonics Technol. Lett. 2020, 32, 883–886. [Google Scholar] [CrossRef]
- Hassan, S.; Chack, D. Design and analysis of polarization independent MMI based power splitter for PICs. Microelectron. J. 2020, 104, 104887. [Google Scholar] [CrossRef]
- Mohammed, Z.; Paredes, B.; Rasras, M. CMOS compatible ultra-compact MMI based wavelength diplexer with 60 Gbit/s system demonstration. Opt. Express 2022, 30, 8257–8265. [Google Scholar] [CrossRef]
- Menahem, J.; Malka, D. A Two-Channel Silicon Nitride Multimode Interference Coupler with Low Back Reflection. Appl. Sci. 2022, 12, 11812. [Google Scholar] [CrossRef]
- Farhadi, S.; Miri, M.; Alighanbari, A. Design and simulation of a compact and ultra-wideband polarization beam splitter based on sub-wavelength grating multimode interference coupler. Appl. Phys. B Lasers Opt. 2020, 126, 118. [Google Scholar] [CrossRef]
- Hassan, S.; Chack, D.; Mahajan, V. High extinction ratio and low loss polarization beam splitter based on multimode interference for PICs. Appl. Opt. 2020, 59, 3369–3375. [Google Scholar] [CrossRef] [PubMed]
- Khateeb, S.; Katash, N.; Malka, D. O-Band Multimode Interference Coupler Power Combiner Using Slot-Waveguide Structures. Appl. Sci. 2022, 12, 6444. [Google Scholar] [CrossRef]
- Katash, N.; Khateeb, S.; Malka, D. Combining Four Gaussian Lasers Using Silicon Nitride MMI Slot Waveguide Structure. Micromachines 2022, 13, 1680. [Google Scholar] [CrossRef]
- Samoi, E.; Benezra, Y.; Malka, D. An ultracompact 3 × 1 MMI power-combiner based on Si slot-waveguide structures. Photonic Nanostruct. 2020, 39, 100780. [Google Scholar] [CrossRef]
- Ben Zaken, B.B.; Zanzury, T.; Malka, D. An 8-channel wavelength MMI demultiplexer in slot waveguide structures. Materials 2016, 9, 881. [Google Scholar] [CrossRef]
- Nikolaevsky, L.; Shchori, T.; Malka, D. Modeling a 1 × 8 MMI Green Light Power Splitter Based on Gallium-Nitride Slot Waveguide Structure. IEEE Photonics Technol. Lett. 2018, 30, 720–723. [Google Scholar] [CrossRef]
- Malka, D.; Danan, Y.; Ramon, Y.; Zalevsky, Z. A photonic 1 × 4 power splitter based on multimode interference in silicon–gallium-nitride slot waveguide structures. Materials 2016, 9, 516. [Google Scholar] [CrossRef] [PubMed]
- Wang, J.; Huangfu, L.; Chen, H. Design of compact polarization-insensitive multimode interference triplexer. J. Mod. Opt. 2021, 68, 496–506. [Google Scholar] [CrossRef]
- Wang, J.; Huangfu, L.; Chen, H.; Zhong, K. Design of ultra-compact and polarization-insensitive multimode interference demultiplexer. Opt. Commun. 2021, 500, 127333. [Google Scholar] [CrossRef]
- Wang, J.; Chen, Z.; Chen, H. Design of polarization-insensitive 1 × 2 multimode interference demultiplexer based on Si3N4/SiNx/Si3N4 sandwiched structure. Acta Phys. Sin. 2020, 69, 108–115. [Google Scholar]
- Wang, J.; Huangfu, L.; Chen, H. Design of Polarization-Insensitive Multimode Interference 1 × 3 Optical Power Splitter. Acta Opt. Sin. 2021, 41, 95–102. [Google Scholar]
- Wang, J.; Xiao, J.; Sun, X. Compact polarization splitter based on tapered cascaded multimode interference couplers in slot waveguide structures. J. Infrared Millim. Waves 2015, 34, 583–587+592. [Google Scholar]
- Lv, H.; Liang, Y.; Wu, Z.; Han, X.; Morthier, G.; Zhao, M. Polymer-based microring resonator with the multimode interference coupler operating at very-near-infrared wavelengths. Appl. Sci. 2019, 9, 2715. [Google Scholar] [CrossRef]
- Soldano, L.B.; Pennings, E.C.M. Optical multi-mode interference devices based on self-imaging: Principles and applications. J. Light. Technol. 1995, 13, 615–627. [Google Scholar] [CrossRef]
- Lv, H.; Han, X.; Liang, Y.; Zhenlin, W.U.; Jinyan, W.; Mingshan, Z. Design of 1 × 4 multimode interference power splitter based on polymer at visible wavelengths. Jiguang 2016, 37, 5–8. [Google Scholar]
- Chen, Y.Y.; Yang, D.; Yu, J.Z.; Sun, M.; Xing, S.X. Design of an ultra-compact 3 dB MMI coupler. Optoelectron. Lett. 2009, 5, 427–429. [Google Scholar] [CrossRef]
Disclaimer/Publisher’s Note: The statements, opinions and data contained in all publications are solely those of the individual author(s) and contributor(s) and not of MDPI and/or the editor(s). MDPI and/or the editor(s) disclaim responsibility for any injury to people or property resulting from any ideas, methods, instructions or products referred to in the content. |
© 2024 by the authors. Licensee MDPI, Basel, Switzerland. This article is an open access article distributed under the terms and conditions of the Creative Commons Attribution (CC BY) license (https://creativecommons.org/licenses/by/4.0/).







