Next Article in Journal
Malware Classification Using Dynamically Extracted API Call Embeddings
Next Article in Special Issue
Prioritization of Personal Protective Equipment Plans for Construction Projects Based on an Integrated Analytic Network Process and Fuzzy VIKOR Method
Previous Article in Journal
Three-Dimension Inversion of Magnetic Data Based on Multi-Constraint UNet++
Previous Article in Special Issue
Combining the Fuzzy Analytic Hierarchy Process Method with the Weighted Aggregated Sum Product Assessment Method to Address Internet Platform Selection Problems in an Environment with Incomplete Information
 
 
Font Type:
Arial Georgia Verdana
Font Size:
Aa Aa Aa
Line Spacing:
Column Width:
Background:
Article

Fuzzy Relationship between Kansei Images: A Grey Decision-Making Method for Product Form

1
School of Mechanical and Electrical Engineering, Lanzhou University of Technology, Lanzhou 730050, China
2
School of Design Art, Lanzhou University of Technology, Lanzhou 730050, China
*
Author to whom correspondence should be addressed.
Appl. Sci. 2024, 14(13), 5728; https://doi.org/10.3390/app14135728
Submission received: 6 June 2024 / Revised: 23 June 2024 / Accepted: 27 June 2024 / Published: 30 June 2024
(This article belongs to the Special Issue Applications of Fuzzy Systems and Fuzzy Decision Making)

Abstract

Current design decision-making methods ignore the fuzzy relationship between Kansei images, and the use of constant weights reduces the accuracy of cognitive evaluation results. To solve these problems, this paper proposes a grey decision-making method for product form driven by the fuzzy relationship between Kansei images. First, according to the initial weight of the Kansei images, variable weight theory is used to determine the Kansei image variable weights of the samples, and the variable weight comprehensive evaluation results for each sample are obtained. Then, based on the correlation and angle of the Kansei images, a cobweb diagram is drawn to represent the fuzzy relationship between the Kansei images of each sample. Combined with the cobweb grey target decision-making model (CGTDM) for multiple Kansei images, decision coefficients are calculated. The decision coefficients are compared and ranked to determine the relatively optimal design reference sample. Finally, the constructed model is compared with the CGTDM for multiple Kansei images and TOPSIS. The results show that the difference coefficient of the proposed method is the largest, and it can reflect the decision-making thinking of the designers and improve the discrimination among the decision-making results to a certain extent.

1. Introduction

1.1. Importance

Product development is a process in which designers innovatively express their design knowledge according to user needs [1]. As a crucial link in product development, design decision-making requires decision makers to comprehensively consider various factors, such as product function and form aesthetics, to select product schemes and to provide theoretical support for accurate and reasonable product positioning [2]. However, traditional design decision-making is participated in by decision makers, and the decision-making process often depends on the experience of the decision makers, which makes it ambiguous, leading to difficulties for decision makers to objectively and accurately select a product scheme that meets market requirements [3]. In addition, a Kansei image is the psychological feeling that arises when humans perceive the form of a product. For example, the form of Porsche 911 car gives users a psychological feeling of sporty. As the carrier of various Kansei images, the product form has the characteristics of complexity and fuzziness in its inherent information, which leads to product decision-making presented in the form of multi-index group decision-making. Therefore, making more objective decisions for multiple Kansei image product schemes has become a research focus of product development.

1.2. Literature Review

Recently, many decision-making methods have been proposed. Dhumras et al. [4] have employed the q-rung picture fuzzy set to analyse the uncertainty in expert decision-making, and have combined TOPSIS/VIKOR for the evaluation of alternatives, thereby proposing an intelligent decision-making method that integrates conventional decision-making with federated learning. Pliego-Martínez et al. [5] proposed a decision-making method that integrates principal component analysis with entropy from a mixed perspective, offering a reference framework for multi-attribute decision-making of schemes. Shanmugasundar et al. [6] analysed the weight allocation strategy in robot selection in conjunction with different multi-criteria decision-making methods to explore the decision-making problem of robots in diverse industrial environments. Zia et al. [7] introduced complex linear Diophantine fuzzy sets into multi-attribute decision-making, offering a methodological reference for addressing ambiguity in decision-making processes that existing methods find challenging. Sadeghi et al. [8] applied the grey ordinal priority approach to multi-attribute decision-making for schemes based on a focus on the uncertainty of the decision information, providing a new way of thinking about the decision-making of schemes. Garg et al. [9] combined T-spherical fuzzy set information with the Bonferroni mean operator to investigate the uncertainty in the inter-relationships between attributes, and used this to analyse the decision-making process for schemes. Zeng et al. [10] explored the problem of scheme decision-making by building a CGTDM, which weakened the impact of evaluating extreme values of the decision-making results in the decision-making process. Cai et al. [11] constructed a decision-making model for a soft foundation treatment based on the similarity of cobweb structures, and provided a new idea for schematic decision-making by using the differences in cobweb areas and shapes.

1.3. Research Gaps

A comparison of the decision-making methods reveals that existing decision-making methods present decision-making results mainly in numerical form, whereas the CGTDM can present decision-making results in the form of a cobweb diagram, thus making them more concrete. In the model, the difference between the area constituted by a scheme index and the target area is used as the evaluation standard for decision-making [11]. The novel calculation method of CGTDM not only decreases the error caused by extreme values, but also helps decision makers understand the decision-making process more easily. However, in actual product development, there is a certain connection between the Kansei images of a product in terms of semantics and connotations, and there are differences in the degrees of correlation between various Kansei images, while the existing CGTDM does not consider the fuzzy relationship and degree of correlation between Kansei images.
In addition, the current subjective and objective weighting methods are constant weighting methods; that is, a Kansei image weight will not change according to the change in a Kansei image value [12]. In fact, the cognitive comprehensive evaluation of a product scheme is affected by many factors, such as the environment and culture. A fixed Kansei image weight causes an increase in evaluation data errors, which makes it difficult for the cognitive comprehensive evaluation results to meet actual needs. For example, Libório et al. [13] used information entropy to obtain indicator weights. This method only considers the weight relationship between indexes and ignores the difference in the index weights caused by the difference in samples.

1.4. Contributions

To address the problems of existing design decision-making methods ignoring the fuzzy relationship between Kansei images and that constant weights result in a decrease in the accuracy of cognitive evaluation results, this paper combines the variable weights theory with CGTDM for multiple Kansei images, and constructs a grey decision-making model for product form driven by fuzzy relationship between Kansei images. The main contributions of this paper are as follows:
(1)
Variable weight theory and the grey target decision-making model are widely used in the field of engineering technology, but they are less often used to study the fuzzy relationships between product forms and Kansei images. Here, we introduce them to the field of design. Through an innovative combination, the paper proposes a grey decision-making model for product form driven by a fuzzy relationship between Kansei images, which is more in line with the actual decision-making process.
(2)
While solving the problem of the low accuracy of cognitive evaluation results caused by constant weights, this study overcomes the one-sidedness of ignoring the fuzzy relationship between Kansei images in the CGTDM for multiple Kansei images. It provides a more reliable method for multiple Kansei images decision-making of products.
(3)
Compared to other decision-making models, the grey decision-making model constructed in this study can improve the discrimination among decision-making results and make it easier for designers to select design reference samples.

1.5. Organization

The remainder of this paper is as follows: Section 2 briefly introduces the concept and application of variable weight theory and the CGTDM for multiple Kansei images. Section 3 describes in detail how to identify Kansei image weights, how to analyse the fuzzy relationship between Kansei images, and how to construct a grey decision-making model for product form. Section 4 provides an example to verify the usability of the method. Section 5 analyses and discusses the results and limitations of this study. Section 6 briefly summarises the research process, the innovation of the model, and future work directions.

2. Related Theory

2.1. Variable Weight Theory

Variable weight theory, proposed by the Chinese scholar Wang [14] in the 1980s, is a method of changing weight information by comprehensively considering changes in index data. Its basic idea is to continuously adjust the relative importance between indexes and the impact of the index state value on the index weight through the dynamic correction of index weights; it is emphasised that an index weight should change dynamically based on the index state to cope with the problem of “state imbalance” caused by a constant weight being unable to capture the state change. On this basis, Li [15] used factor space theory to axiomatically define variable weights and state variable weight vectors to improve the practical application of the theory. At present, variable weight theory is widely used in product design and other fields [16,17,18].

2.2. Cobweb Grey Target Decision-Making Model for Multiple Kansei Images

The CGTDM makes decision-making judgements by comparing a polygonal area (cobweb area) composed of various indexes in the cobweb diagram and the target centre area to explore the problems of multiple indexes and fuzziness [10]. The selection of multiple Kansei image products is also a multi-index decision-making problem. In this regard, Zhang et al. [19] introduced this model into product design and established a CGTDM for multiple Kansei images, as shown in Figure 1, where each coordinate axis is an evaluation index of the scheme and the included angles of the indexes are equal. The model is similar to a target in a shooting activity. The target centre area is the cognitive comprehensive evaluation result of the optimal target scheme. The smaller the difference between the cobweb area and the target centre area of the scheme to be tested, the more ideal the scheme to be tested is.

3. Grey Decision-Making for Product Form Driven by Fuzzy Relationship between Kansei Images

Because the CGTDM for multiple Kansei images does not consider the fuzzy relationship between Kansei images and the dynamics of Kansei image index states, this study introduces variable weight theory to explore the Kansei image weights of different samples, and analyses the fuzzy relationship between Kansei images by identifying the Kansei image angles to further improve the applicability of the grey decision-making model. Figure 2 is the flowchart of the method proposed in this paper.

3.1. Identification of Kansei Image Weight Based on Variable Weight Theory

3.1.1. Determination of Kansei Image Weights

A questionnaire is constructed based on selected representative samples and Kansei words, and the semantic difference (SD) method is used to investigate users to obtain the Kansei image cognitive evaluation matrix, namely:
R = r 11 r 12 r 1 n r 21 r 22 r 2 n r i j r m 1 r m 2 r m n
where rij is the user’s evaluation value for the j-th Kansei image of the i-th sample.
Equation (2) is used to standardise the Kansei image cognitive evaluation result R [20] to ensure the commensurability and comparability of the data and obtain the standardization matrix X = x i j m × n .
x i j = r i j m i n ( r j ) m a x ( r j ) m i n ( r j )
To reduce the influence of subjective user factors in the process of weighting, this study uses the entropy weight method [21,22] to obtain the weight of each Kansei image. The specific steps are as follows:
Step 1: Using Equation (3) to calculate the probability of the target Kansei image.
P i j = x i j i = 1 m x i j
Step 2: Substituting Pij into Equation (4) to calculate the Kansei image entropy Qj.
Q j = k i = 1 m P i j l n P i j
Step 3: According to Equation (5), the Kansei image weight Wj is determined.
W j = 1 Q j j = 1 n 1 Q j

3.1.2. Calculation of Kansei Image Variable Weights

To address the fuzziness of a product’s Kansei image, this study introduces a penalty-incentive variable weight function [18] to correct the Kansei image weight and reduce the error caused by a constant weight. The expression is:
W 0 X = W · S X j = 1 n w j S j X
where n is the number of Kansei images, S(X) is the equilibrium function, and WS(X) = (w1S1(X), w2S2(X), …, wnSn(X)) is the Hadamard product.
As the focus of variable weight theory, the equilibrium function S(X) adjusts the Kansei image weight by analysing the changes in the Kansei image evaluation to make it more suitable for the actual decision-making process [23]. Its equation is:
S j X = 1 β δ 2 X j δ 2 + β , X j ( 0 , δ ] β , X j ( δ , γ ] 1 β 1 γ 2 X j γ 2 + β , X j ( γ , 1 ]
where Xj is the normalised value of the j-th Kansei image and δ is the penalty threshold. When X j δ , the penalty effect is higher than the incentive effect. γ is the incentive threshold. When X j > γ , the incentive effect is higher than the penalty effect. β is the weight adjustment parameter.
Based on the variable weight, combined with the description of comprehensive evaluation in reference [24], a variable weight comprehensive evaluation can be obtained:
Z X = W 0 X · X

3.2. Construction of the Grey Decision-Making Model for Product Form

3.2.1. Identification of the Fuzzy Relationship and Angle between Kansei Images

In product development, designers cater to the diverse emotional needs of users with concrete product forms, which makes a product a collection of multiple Kansei images [25]. All Kansei images can be divided into main and secondary Kansei images according to their strengths in product form; that is, the strongest subjective feeling generated by users is the main Kansei image, and other images are secondary Kansei images [26]. The main and secondary Kansei images are not independent of each other, but form a user’s overall cognition of a product through coupling. Therefore, when constructing the grey decision-making model for product form, it is necessary to explore the fuzzy relationship and correlation degree between Kansei images to improve the accuracy of the grey decision-making model.
The Pearson correlation coefficient is a method of measuring the linear relationship between two variables, and its value range is [−1, 1]. In this range, the greater the absolute value of the correlation coefficient is, the stronger the correlation between the two variables. In this study, Pearson correlation coefficient analysis is used to explore the degree of correlation between Kansei images. The expression [27] is as follows:
B = j = 1 n V j V ¯ U j U ¯ j = 1 n V j V ¯ 2 j = 1 n U j U ¯ 2
where V and U are columns of Kansei image evaluation data in a standardised matrix X, respectively.
Based on the Kansei image weights Wj, combined with Equation(10) for calculating the angles of Kansei images proposed in reference [26], the angle αj of each Kansei image is obtained, which are then used to determine the range of each Kansei image area. In this study, a single Kansei image is used as the main Kansei image, and other Kansei images are ranked from left to right based on the Kansei image correlation, as shown in Figure 3.
α j = 360 ° · w j j = 1 n w j
To facilitate the representation of the fuzzy relationship between Kansei images, a Kansei image is represented by the angular bisector of the Kansei image area [28], as shown in Figure 4.

3.2.2. Calculation of Decision Coefficients

The grey decision-making method for product form driven by a fuzzy relationship between Kansei images proposed in this study is based on the CGTDM for multiple Kansei images. It integrates variable weights and the fuzzy relationship between Kansei images to make it more consistent with the actual decision-making processes. The relevant expressions are:
τ i = j = 1 n 1 sin θ j Z i , j O j Z i , j + 1 O j + 1 + sin θ n Z i , n O n Z i , 1 O 1 2
O j = W j 0 · X m a x
where θ j is the angle between the Kansei images and θ j = α j + α j + 1 / 2 . Oj is the comprehensive evaluation of the variable weight of the optimal objective scheme. Xmax is the optimal solution of the Kansei image.

4. Case Study

A hand-held electric drill is a necessary tool for families, and the semantic connotations of its form are gradually becoming more emotional and diverse, so decision-making in hand-held electric drill design can further improve user recognition of hand-held electric drills. Therefore, this study takes a hand-held electric drill as an example to explore the grey decision-making method for product form proposed in this study. It verifies the feasibility and applicability of the model through comparative experiments.

4.1. Acquisition of Representative Samples and Kansei Words

The KJ method is a research method proposed by Kawakita Jiro, a professor at the Tokyo Institute of Technology in Japan, to summarise data content and analyse its internal relationships [29]. This method can collect, summarise, and sort fuzzy and complex problems, viewpoints, and data, so that the implicit relationships gradually appear, and it can help researchers grasp the essence of the problem and explore methods for solving the problem through a convergent way of thinking. The advantage of this method is that it enables creative thinking in analysing complex problems to address the current situation and quickly find the optimal solution of the problem.
Fifty-one sample pictures were collected from journals [30]. After screening them based on differences and clarity, 25 sample pictures were obtained to construct to build a sample set. However, due to the different sources of the collected sample pictures, there were great differences in the pixels, brightness and contrast of all the sample pictures, and subtle differences in the shooting angle, colour, material, brand, and other factors can have a great impact on the Kansei image evaluation of the samples. To prevent the influence of the above factors, the outlines of all samples were drawn, the samples were compared and analysed via the KJ method, and 10 representative samples were determined, as shown in Table 1.
A total of 48 Kansei words were collected based on the representative samples, as shown in Table 2. As some of the Kansei words have the same meaning or are expressed in a more fuzzy way, they first needed to be screened in a group discussion. The group discussion was divided into three steps. First, six experts from design disciplines were invited to form an expert group. Second, the group members observed the 48 Kansei words collected and described how each Kansei image style was reflected in the sample. Finally, 14 Kansei words that could best represent the Kansei image styles of electric drills were selected by voting to construct the Kansei word set. Based on this, a semantic similarity survey and K-means clustering analysis were conducted to obtain the clustering results of Kansei words, as shown in Table 3. Five representative Kansei words were determined, namely, high-end, novel, compact, hale, and unified.

4.2. Acquisition of Representative Samples and Kansei Words

Based on the representative samples and Kansei words obtained in Section 3.1, a 5-level SD questionnaire was prepared and administered to 28 users for research. To reduce cognitive errors, the survey results were processed using the mean calculation method to obtain the Kansei image cognitive evaluation matrix R of the users.
R = 2.96 2.04 2.96 3.43 3.43 3.64 3.29 4.14 3.29 4.29 3.43 3.36 1.32 4.00 2.21 2.89 2.36 3.25 3.14 3.64 3.25 3.46 2.43 3.50 2.71 3.00 3.50 2.46 3.14 2.57 3.21 2.50 2.25 3.46 3.07 2.96 2.64 3.46 2.89 3.93 3.46 3.68 3.21 2.57 2.96 2.96 3.18 3.86 2.43 4.00
According to Equation (2), the Kansei image cognitive evaluation matrix R was standardised to obtain the standardised matrix X.
X = 0.093 0.001 0.582 0.637 0.587 1.000 0.762 1.000 0.548 1.000 0.720 0.805 0.001 1.000 0.001 0.001 0.195 0.684 0.452 0.688 0.480 0.866 0.394 0.682 0.240 0.147 0.890 0.404 0.452 0.173 0.427 0.280 0.330 0.656 0.413 0.093 0.366 0.759 0.293 0.827 0.760 1.000 0.670 0.089 0.361 0.093 0.695 0.901 0.001 0.861
The standardised matrix X was substituted into Equations (3)–(5) to obtain the weight W of each Kansei image.
W = 0.332 0.169 0.134 0.180 0.185

4.3. Calculation of Kansei Image Variable Weights

When calculating the Kansei image variable weight, the threshold and weight adjustment parameters of the equilibrium function need to be defined. According to the evaluation interval of the Kansei image and the analysis of the standardised matrix X, δ = 0.25 , β = 0.5 , and γ = 0.75 . According to Equation (7), the equilibrium solution S(X) of the Kansei image of each sample was obtained.
S ( X ) = 0.6972 0.9960 0.5000 0.5000 0.5000 1.0000 0.5012 1.0000 0.5000 1.0000 0.5000 0.5242 0.9960 1.0000 0.9960 0.9960 0.5242 0.5000 0.5000 0.5000 0.5000 0.6076 0.5000 0.5000 0.5008 0.5849 0.6568 0.5000 0.5000 0.5474 0.5000 0.5000 0.5000 0.5000 0.5000 0.6972 0.5000 0.5006 0.5000 0.5474 0.5008 1.0000 0.5000 0.7074 0.5000 0.6972 0.5000 0.6824 0.9960 0.5986
The Kansei image weight W and the equilibrium solution S(X) of the Kansei image were substituted into Equation (6) to obtain the Kansei image variable weight W0.
By substituting the standardised matrix X and the Kansei image variable weight W0 into Equation (8), the variable weight comprehensive evaluation Z of each sample was obtained.
W 0 = 0.356 0.259 0.103 0.139 0.142 0.402 0.103 0.162 0.109 0.224 0.221 0.118 0.177 0.239 0.245 0.494 0.132 0.100 0.135 0.138 0.320 0.198 0.129 0.174 0.179 0.345 0.197 0.119 0.160 0.180 0.332 0.169 0.134 0.180 0.185 0.403 0.147 0.117 0.157 0.176 0.267 0.272 0.108 0.205 0.149 0.332 0.121 0.131 0.257 0.159
Z = 0.033 0.001 0.060 0.089 0.083 0.402 0.078 0.162 0.060 0.224 0.159 0.095 0.001 0.239 0.001 0.001 0.026 0.068 0.061 0.095 0.154 0.171 0.051 0.119 0.043 0.051 0.175 0.048 0.072 0.031 0.142 0.047 0.044 0.118 0.076 0.037 0.054 0.089 0.046 0.146 0.203 0.272 0.072 0.018 0.054 0.031 0.084 0.118 0.001 0.137

4.4. Analysis of the Fuzzy Relationship and Angle between Kansei Images

This study selected “high-end” as the main Kansei image, and the standardised matrix X was substituted into Equation (9) to analyse the correlation between the main Kansei image and other Kansei images. The results are shown in Table 4.
According to the data in Table 4, the order of the Kansei images in the cobweb could be obtained, as shown in Figure 5.
The angle of each Kansei image area was determined according to Equation (10), and the results are shown in Table 5.
According to the angle of each Kansei image area in Table 5, a diagram of the Kansei image proportions and a diagram of the Kansei image cobweb representation are shown in Figure 6 and Figure 7.
In Figure 7, the Kansei image coordinates represent the variable weight comprehensive evaluation results of the Kansei image, and the angles between the Kansei images are shown in Table 6.

4.5. Selection of Reference Samples

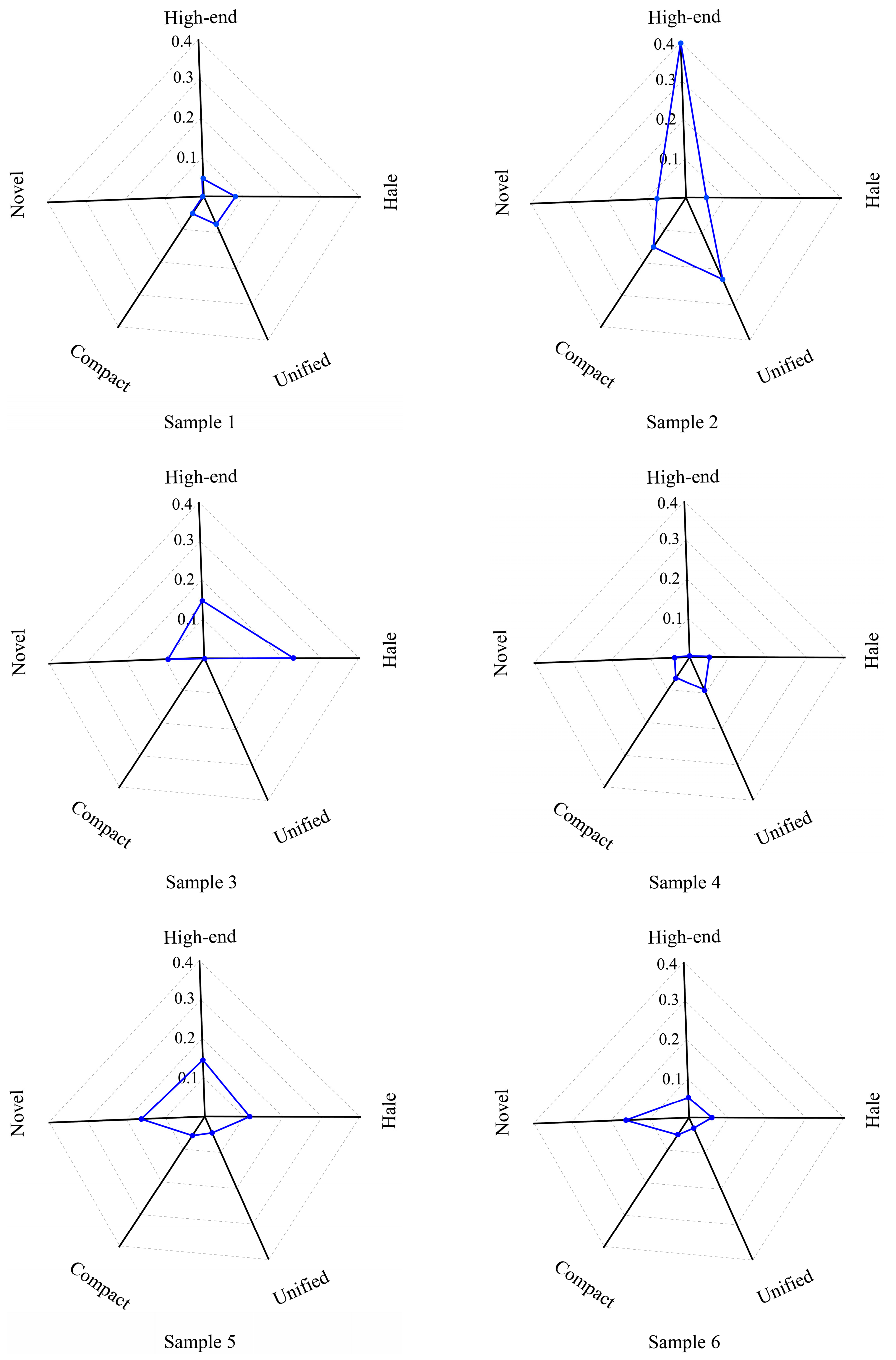
According to the variable weight comprehensive evaluation matrix Z, the cobweb grey target diagram was drawn, and the fuzzy relationship between Kansei images of each product was represented in a visual form, as shown in Figure 8.
Ten samples were compared and analysed by using the grey decision-making model for product form driven by fuzzy relationship between Kansei images. The Kansei image angle θ in Table 6, the Kansei image variable weight matrix W0, and the variable weight comprehensive evaluation matrix Z were substituted into Equations (11) and (12), and the decision coefficients τ = [0.0567, 0, 0.0205, 0.0478, 0.0155, 0.0272, 0.0292, 0.0402, 0.0155, 0.0470] were obtained.
The decision coefficients were ranked, and the results were obtained: τ 2 < τ 9 = τ 5 < τ 3 < τ 6 < τ 7 < τ 8 < τ 10 < τ 4 < τ 1 . It could be seen that the decision coefficient of sample 2 was the smallest; that is, sample 2 was the relatively optimal design sample.

4.6. Verification

To verify the effectiveness and advantages of the grey decision-making model for product form driven by a fuzzy relationship between the Kansei images, a comparative analysis with other decision-making methods is necessary. Since the method proposed in this study is an improvement on the decision-making based on CGTDM for multiple Kansei images, a comparison is required to demonstrate the superiority of the proposed method. In addition, the method proposed in this study and the TOPSIS method both belong to the field of multi-attribute decision-making, and the TOPSIS method is relatively mature and has been widely used in various fields. Therefore, this study used both the CGTDM for multiple Kansei images and the technique for order preference by similarity to ideal solution (TOPSIS) method to conduct a comparative exploration of the proposed method.

4.6.1. The Decision-Making Based on CGTDM for Multiple Kansei Images

The Kansei image weight matrix W and the standardised evaluation matrix X were substituted into the CGTDM for multiple Kansei images [19], as expressed in Equation (13), and the decision coefficient G is obtained, which is represented as G = [0.0424, 0, 0.0153, 0.0436, 0.0167, 0.0295, 0.0296, 0.0376, 0.0179, 0.0358]. The ranking result was G2 < G3 < G5 < G9 < G6 < G7 < G10 < G8 < G1 < G4; that is, sample 2 was the relatively optimal design sample.
G i = 1 2 sin 360 n j = 1 n 1 w j x i , j w j x max w j + 1 x i , j + 1 w j + 1 x max + w n x i , n w n x max w 1 x i , 1 w 1 x max

4.6.2. Multiple Kansei Image Decision-Making Based on TOPSIS

TOPSIS is a decision-making method that compares the relative distances between the tested scheme and the optimal scheme and the worst scheme [31]. The calculation steps are as follows:
Step 1: According to the variable weight comprehensive evaluation matrix Z, the positive and negative ideal solutions are determined separately.
Z + = z 1 + , z 2 + , , z n + ,       z j + = max 1 i m z i j
Z = z 1 , z 2 , , z n ,       z j = min 1 i m z i j
Step 2: Equations (16) and (17) are used to calculate the relative distance between each sample to be tested and the positive and negative ideal solutions.
d i + = Z ( X ) Z + = j = 1 n ( z i j z j + ) 2
d i = Z ( X ) Z = j = 1 n ( z i j z j ) 2
where d i + is the relative distance between the i-th sample to be tested and the positive ideal solution and d i is the relative distance between the i-th sample to be tested and the negative ideal solution.
Step 3: Equation (18) is used to identify the relative closeness H between each sample to be tested and the ideal solution, which is used as the evaluation standard to determine the relatively optimal design sample.
H i = d i d i + + d i
The variable weight comprehensive evaluation matrix Z was substituted into Equations (14)–(18), thus determining the relative distance and relative closeness of each sample to be tested from the positive and negative ideal solutions, as shown in Table 7.
By sorting the relative closeness values, it was possible to obtain H2 > H9 > H3 > H5 > H7 > H6 > H10 > H8 > H1 > H4. Therefore, sample 2 was the relatively optimal design sample.

4.7. Result Analysis

By comparing the ranking results of the three models, it can be seen that the relatively optimal design sample is sample 2, and it is always among the top four samples in the ranking order along with sample 9, sample 3, and sample 5. Sample 1, sample 4, sample 8, and sample 10 are in the last four places in the order. Samples 6 and 7 are always in the middle positions. Therefore, the decision-making trends of the three decision-making models are consistent, so the grey decision-making model for product form driven by a fuzzy relationship between the Kansei images proposed in this paper is reasonable and has certain theoretical and practical significance.
Because the dimension of the decision-making model based on TOPSIS is different from the dimensions of the other two decision-making models, and the difference coefficient is a relative index used to analyse the degree of data dispersion through the standard deviation and average. It is often used to compare data with different measurement units. To establish the superiority of the proposed method, this paper introduces the difference coefficient to conduct a comparative analysis of the three decision-making methods. A higher difference coefficient signifies greater discrimination in sample evaluations, indicating that the decision-making method can help designers more conveniently select multiple Kansei image products that meet a user’s Kansei image needs. The expression [32] is as follows:
C v = S E ¯
E ¯ = 1 m i = 1 m E i
S = i = 1 m E i E ¯ 2 m
where Ei is the decision coefficient or relative closeness of the i-th sample, E ¯ is the average value of the decision coefficient or relative closeness, and S represents the variance.
The decision coefficient τ of the grey decision-making model proposed in this paper, the decision coefficient G of the CGTDM for multiple Kansei images, and the relative closeness H of the decision-making model based on TOPSIS were substituted into Equations (19)–(21). The results are shown in Table 8.
According to Table 8, the difference coefficients of the CGTDM for multiple Kansei images and the decision-making model based on TOPSIS are small. Therefore, the results of these two decision-making models have great similarity and low discrimination. Compared with the other two decision-making models, the grey decision-making model for product form driven by a fuzzy relationship between the Kansei images has the highest difference coefficient, which indicates that the model can enlarge the difference between the decision-making results. By improving the discrimination between the decision-making results, the model can help designers more conveniently select multiple Kansei image products that meet a user’s Kansei image needs, so the decision-making results are closer to actual decision-making outcomes. Therefore, the model proposed in this paper has more advantages.

5. Discussion

A product form is a concrete manifestation of a variety of Kansei image styles, and the current research on the decision-making process often ignores the fuzzy relationship between multiple Kansei images. In addition, the existing weighting methods seldom consider the change in Kansei image weights caused by morphological differences. In this study, variable weight theory is introduced into the design decision-making process to adjust the Kansei image weights of different samples. And on the basis of the CGTDM for multiple Kansei images, the fuzzy relationship between Kansei images is explored from the perspective of the Kansei image. The model can help designers make more convenient decisions to meet market demands, improve the authenticity of design decision-making to a great extent, and provide new research ideas and methods for multiple Kansei image decision-making in product development. However, the method proposed in this study also has limitations, such as the minimal consideration of the absolutisation of cognitive information, the cognitive limitations of design participants, the comprehensive impact of product elements, the practicality validation of the new method, computational complexity and decision-making speed, and the precision of the decision-making model. The specifics are as follows:
(1)
The absolutisation of cognitive information: Human cognition is characterised by fuzziness and complexity due to different factors, such as educational level and living environment. In this study, the SD method is used to obtain the user’s cognitive information about the sample form, which tends to result in absolute data.
(2)
The cognitive limitations of design participants: In actual product development, designers, engineers, and salespeople will participate in addition to users. This study focuses only on user cognition and does not consider the Kansei image cognition of other design participants.
(3)
The comprehensive impact of product elements: Form, colour, technology, and brand are all important elements of products, and the Kansei image characteristics of products can be reflected only by the integration of various elements. This study takes only the product form as the starting point to construct the grey decision-making model, which weakens the comprehensive impact of various elements on human cognition.
(4)
The practicality validation of the new method: The new method needs to be tested repeatedly with a large number of examples to verify its practicability. The method proposed in this study is a combination of variable weight theory and the CGTDM for multiple Kansei images, and only a hand-held electric drill is taken as an example; its practicability needs to be further verified.
(5)
Computational complexity and decision-making speed: Variable weight theory aims to adjust the constant weight in different states, so that it can better meet the needs of indicators. However, this theory increases the amount of calculation of Kansei image weights to a certain extent, which may reduce the decision-making speed of the grey decision-making model for product form driven by the fuzzy relationship between the Kansei images.
(6)
The precision of the decision-making model: The decision-making model should have high accuracy to better simulate the decision-making thinking of designers, and intelligent design needs to be combined with a highly accurate decision-making model to select the product scheme that meets the market demand. This study did not deeply explore the accuracy of the model.
The above limitations may affect the comprehensiveness of the decision-making results in general, thus affecting the quality of product design. To enhance the performance of the decision-making model, future research will delve into the following directions for further exploration:
(1)
Future research will use fuzzy set theory to describe the uncertainty factors in cognitive information to improve the accuracy of data acquisition.
(2)
In future research, the design decision-making process involving the participation of multiple groups will be comprehensively explored to improve the applicability of the grey decision-making model.
(3)
Future research will focus on how to quantify the multidimensional elements of a product, and will explore the product design decision-making process from multiple perspectives.
(4)
Subsequent research will explore other complex products and verify the practicability and generality of the model constructed in this paper through different cases.
(5)
Future research will study variable weight theory in depth to improve the speed of decision-making.
(6)
In the future, the model constructed in this paper will be further discussed to improve the accuracy of decision-making.

6. Conclusions

In this paper, a grey decision-making method for product form driven by a fuzzy relationship between the Kansei images was proposed. The Kansei image weight was analysed by using variable weight theory to obtain the variable weight and comprehensive evaluation of each sample. The fuzzy relationship between the Kansei images of the sample was explored by analysing the angle and correlation degree of the Kansei images. Based on this, the grey decision-making model for product form driven by a fuzzy relationship between the Kansei images was established to make decisions on product schemes. Moreover, a hand-held electric drill was used as a case for verification and comparing the proposed method with the CGTDM for multiple Kansei images and the decision-making model based on TOPSIS.
The results of the data analysis show that the decision-making trend of the grey decision-making model for product form driven by a fuzzy relationship between the Kansei images is consistent with those of the other two decision-making models. Moreover, the difference coefficient of the constructed model is the largest, which means that it can improve the discrimination among decision-making results and make it easier for designers to select design reference samples.
Although this study can address the problems of existing design decision-making methods ignoring the fuzzy relationship between the Kansei images and that constant weights result in a decrease in the accuracy of cognitive evaluation results, it has not yet explored the accuracy issue. In the future, the accuracy of the grey decision-making model will be explored in depth to further improve its decision-making performance.

Author Contributions

Writing—original draft: S.W.; Formal analysis and investigation: S.Z.; Project administration: J.S.; Data curation: Z.Y.; Writing—review and editing: S.L.; Validation: A.Z.; Formal analysis and investigation: W.Y.; Supervision: K.Q. All authors have read and agreed to the published version of the manuscript.

Funding

This work was supported by the National Natural Science Foundation of China (grant no. 52165033) and the Gansu Provincial Department of Education: Innovation Fund Project for College Teachers (grant no. 2023A-024).

Institutional Review Board Statement

Not applicable.

Informed Consent Statement

Not applicable.

Data Availability Statement

All data generated or analysed during this study are included in the article.

Conflicts of Interest

The authors declare no conflicts of interest.

References

  1. Secomandi, F. Design processes in service innovation. Des. Stud. 2018, 55, 1–4. [Google Scholar] [CrossRef]
  2. Arista, R.; Zheng, X.C.; Lu, J.Z.; Mas, F. An ontology-based engineering system to support aircraft manufacturing system design. J. Manuf. Syst. 2023, 68, 270–288. [Google Scholar] [CrossRef]
  3. Kaya, I.; Karasan, A.; Guvercin, O.; Ilbahar, E.; Baracli, H. Appraisal of smart factory design for advance manufacturing plants based on transition strategies by using an integrated fuzzy decision-making methodology. Int. J. Comput. Integr. Manuf. 2023, 36, 1153–1177. [Google Scholar] [CrossRef]
  4. Dhumras, H.; Shukla, P.K.; Bajaj, R.K.; Jain, D.K.; Shukla, V.; Shukla, P.K. On federated learning-oriented q-rung picture fuzzy TOPSIS/VIKOR decision-making approach in electronic marketing strategic plans. IEEE Trans. Consum. Electron. 2024, 70, 2557–2565. [Google Scholar] [CrossRef]
  5. Pliego-Martínez, O.; Martínez-Rebollar, A.; Estrada-Esquivel, H.; Cruz-Nicolás, E.D. An integrated attribute-weighting method based on PCA and entropy: Case of study marginalized areas in a city. Appl. Sci. 2024, 14, 2016. [Google Scholar] [CrossRef]
  6. Shanmugasundar, G.; Kalita, K.; Čep, R.; Chohan, J.S. Decision models for selection of industrial robots—A comprehensive comparison of multi-criteria decision making. Processes 2023, 11, 1681. [Google Scholar] [CrossRef]
  7. Zia, M.D.; Yousafzai, F.; Abdullah, S.; Hila, K. Complex linear Diophantine fuzzy sets and their applications in multi-attribute decision making. Eng. Appl. Artif. Intell. 2024, 132, 107953. [Google Scholar] [CrossRef]
  8. Sadeghi, M.; Mahmoudi, A.; Deng, X.P.; Naeni, L.M. Enterprise blockchain solutions for vibrant construction ecosystem: Grey ordinal priority approach. Grey Syst. Theory Appl. 2024, 14, 115–143. [Google Scholar] [CrossRef]
  9. Garg, H.; Ullah, K.; Akram, M.; Ali, Z. A method to muti-attribute group decision making technique based on T-spherical fuzzy information using Bonferroni mean operators. TWMS J. Pure Appl. Math. 2024, 15, 42–64. [Google Scholar]
  10. Zeng, B.; Liu, S.F.; Li, C.; Chen, J.M. Grey target decision-making model of interval grey number based on cobweb area. Syst. Eng. Electron. 2013, 35, 2329–2334. [Google Scholar]
  11. Cai, Y.; Xu, L.R.; Zhong, Q.R.; Shang, Y.H.; Zhou, J.J. Decision model for soft-foundation treatment of expressway based on similarity of cobweb structure. Control Decis. 2020, 35, 445–452. [Google Scholar]
  12. Casanovas-Rubio, M.D.; Vinolas, B. New method for assigning cardinal weights in multi-criteria decision-making: The constant weight ratio method. Oper. Res. 2024, 24, 28. [Google Scholar] [CrossRef]
  13. Libório, M.P.; Karagiannis, R.; Diniz, A.M.A.; Ekel, P.I.; Vieira, D.A.G.; Ribeiro, L.C. The use of information entropy and expert opinion in maximizing the discriminating power of composite indicators. Entropy 2024, 26, 143. [Google Scholar] [CrossRef] [PubMed]
  14. Wang, Z.P. Shadow of Fuzzy Sets and Random Sets; Beijing Normal University Press: Beijing, China, 1985; pp. 93–102. [Google Scholar]
  15. Li, H.X. Factor spaces and mathematical frame of knowledge representation(VIII): Variable weights analysis. Fuzzy Syst. Math. 1995, 9, 1–9. [Google Scholar]
  16. Sa, R.N.; Zhang, S.Y. Conjoint variable weight group decision method for complex product scheme design. J. Zhejiang Univ. (Eng. Sci.) 2013, 47, 711–719. [Google Scholar]
  17. Li, F.Q.; Yin, Y.; Zhang, S.T.; Lu, Y.N.; Han, S.B. Study on evaluation method of appearance scheme based on contingency-VIKOR theory. J. Lanzhou Univ. Technol. 2022, 48, 56–63. [Google Scholar]
  18. Han, F.; Liu, Z.; Wang, C. Research on a comfort evaluation model for high-speed trains based on variable weight theory. Appl. Sci. 2023, 13, 3144. [Google Scholar] [CrossRef]
  19. Zhang, S.T.; Wang, S.J.; Liu, S.F.; Li, W.X. Cobweb grey target decision-making model of multi-Kansei image in product form. J. Graph. 2022, 43, 548–557. [Google Scholar]
  20. Kammoun, A.; Ravier, P.; Buttelli, O. Impact of PCA pre-normalization methods on ground reaction force estimation accuracy. Sensors 2024, 24, 1137. [Google Scholar] [CrossRef] [PubMed]
  21. Snásel, V.; Perfilieva, I.; Singh, M.; Pant, M.; Alijani, Z.; Kong, L.P. A rankability-based fuzzy decision making procedure for oil supplier selection. Appl. Soft Comput. 2023, 149, 110956. [Google Scholar] [CrossRef]
  22. Roszkowska, E.; Filipowicz-Chomko, M.; Łyczkowska-Hanćkowiak, A.; Majewska, E. Extended Hellwig’s method utilizing entropy-based weights and Mahalanobis distance: Applications in evaluating sustainable development in the education area. Entropy 2024, 26, 197. [Google Scholar] [CrossRef] [PubMed]
  23. Chen, M.S.; Liu, Y.; Ceng, W.G.; Qian, K. Dynamic jamming resource allocation strategy of MALD. Acta Armamentarii 2023, 44, 1443–1455. [Google Scholar]
  24. Trivedi, P.; Shah, J.; Čep, R.; Abualigah, L.; Kalita, K. A hybrid best-worst Method (BWM)—Technique for order of preference by similarity to ideal solution (TOPSIS) approach for prioritizing road safety improvements. IEEE Access 2024, 12, 30054–30065. [Google Scholar] [CrossRef]
  25. Sasaki, H.; Kato, T.; Yanagisawa, H. Quantification of “novelty” based on free-energy principle and its application for “aesthetic liking” for industrial products. Res. Eng. Des. 2024, 35, 21–41. [Google Scholar] [CrossRef]
  26. Zhang, S.T.; Xiao, L.W.; Su, J.N.; Ren, Z.L.; Qiu, K. Research on product image evolutionary algorithm based on the structure of cobweb. Mod. Manuf. Eng. 2018, 11, 7–13. [Google Scholar]
  27. Stoica, P.; Babu, P. Pearson-Matthews correlation coefficients for binary and multinary classification. Signal Process. 2024, 222, 109511. [Google Scholar] [CrossRef]
  28. Zhang, S.T.; Liu, S.F.; Su, J.N.; Zhou, A.M.; Wang, S.J. An evolutionary design method of product form inspired by spider-webs. Comput.-Aided Des. Appl. 2022, 19, 1–25. [Google Scholar] [CrossRef]
  29. Widjaja, W.; Takahashi, M. Distributed interface for group affinity-diagram brainstorming. Concurr. Eng. 2016, 24, 344–358. [Google Scholar] [CrossRef]
  30. Li, X.; Su, J.N.; Zhang, Z.P.; Li, X.X. Intelligent decision-making of fine-grained product form with feature transfer. J. Comput.-Aided Des. Comput. Graph. 2024, 36, 47–62. [Google Scholar]
  31. Ilyas, M.; Jin, Z.; Ullah, I. Optimizing logistics and transportation locations in the China–Pakistan economic corridor: A strategic risk assessment. Appl. Sci. 2024, 14, 1738. [Google Scholar] [CrossRef]
  32. Li, P.F.; Fan, B. Measurement, regional differences and convergence of digital China construction level. Stat. Decis. 2024, 40, 79–84. [Google Scholar]
Figure 1. CGTDM for multiple Kansei images.
Figure 1. CGTDM for multiple Kansei images.
Applsci 14 05728 g001
Figure 2. General framework of the grey decision-making method for product form driven by fuzzy relationship between Kansei images.
Figure 2. General framework of the grey decision-making method for product form driven by fuzzy relationship between Kansei images.
Applsci 14 05728 g002
Figure 3. Diagram of the Kansei image area.
Figure 3. Diagram of the Kansei image area.
Applsci 14 05728 g003
Figure 4. Diagram of the Kansei image representation.
Figure 4. Diagram of the Kansei image representation.
Applsci 14 05728 g004
Figure 5. Sorting diagram for the Kansei images.
Figure 5. Sorting diagram for the Kansei images.
Applsci 14 05728 g005
Figure 6. Diagram of the Kansei image proportions.
Figure 6. Diagram of the Kansei image proportions.
Applsci 14 05728 g006
Figure 7. Diagram of the Kansei image cobweb representation.
Figure 7. Diagram of the Kansei image cobweb representation.
Applsci 14 05728 g007
Figure 8. Cobweb grey target diagram of the multiple Kansei images of each sample.
Figure 8. Cobweb grey target diagram of the multiple Kansei images of each sample.
Applsci 14 05728 g008aApplsci 14 05728 g008b
Table 1. Representative samples.
Table 1. Representative samples.
12345
Applsci 14 05728 i001Applsci 14 05728 i002Applsci 14 05728 i003Applsci 14 05728 i004Applsci 14 05728 i005
678910
Applsci 14 05728 i006Applsci 14 05728 i007Applsci 14 05728 i008Applsci 14 05728 i009Applsci 14 05728 i010
Table 2. Collection of Kansei words.
Table 2. Collection of Kansei words.
Kansei Words for Hand-Held Electric Drills
SimplismAdvancedLightweightHigh-endWarmSoft
ArtlessSturdyTexturalInterestingComfortableClassy
RoundedStaidUnifiedMellowIndividualImplicit
BeautifulStreamlinedHolisticLivelySportyFull
FreshExquisiteLuxuriousElegantSlenderLovely
SolidSubtleBoundedModernFashionableCoordinated
ClassicalRigidCompactGenialNovelPragmatic
TechnologicalCopiousVariableNobleFriendlyHale
Table 3. Clustering results of Kansei words.
Table 3. Clustering results of Kansei words.
Kansei WordCategoryDistance
Simplism51.83477
Fashionable11.82110
Compact31.72450
Individual21.07763
Unified51.24955
Hale40.73568
Technological11.98876
Novel21.07759
High-end11.13860
Solid40.73571
Exquisite11.84361
Coordinated51.48174
Genial31.88341
Lively32.08979
Table 4. Correlations between “high-end” and other Kansei image words.
Table 4. Correlations between “high-end” and other Kansei image words.
High-EndNovelCompactHaleUnified
High-end10.582−0.0800.281−0.154
Table 5. Angle of each Kansei image area.
Table 5. Angle of each Kansei image area.
High-EndNovelCompactHaleUnified
α j 119.52°60.84°48.24°64.80°66.60°
Table 6. Angles between different Kansei images.
Table 6. Angles between different Kansei images.
θ 1 θ 2 θ 3 θ 4 θ 5
Angle90.18°54.54°57.42°65.7°92.16°
Table 7. The relative closeness between each sample and the ideal solution.
Table 7. The relative closeness between each sample and the ideal solution.
Sample d i + d i - H i
10.50680.13960.2160
20.25820.49770.6584
30.40320.30240.4286
40.52250.13430.2045
50.35800.26750.4277
60.45520.20410.3096
70.40520.20980.3411
80.47380.18880.2849
90.35140.35160.5002
100.48410.20180.2942
Table 8. Comparison of the difference coefficients of the three decision-making models.
Table 8. Comparison of the difference coefficients of the three decision-making models.
Difference CoefficientThe Method in This PaperCGTDM for Multiple Kansei ImagesDecision-Making Model Based on TOPSIS
Cv0.56270.49570.3613
Disclaimer/Publisher’s Note: The statements, opinions and data contained in all publications are solely those of the individual author(s) and contributor(s) and not of MDPI and/or the editor(s). MDPI and/or the editor(s) disclaim responsibility for any injury to people or property resulting from any ideas, methods, instructions or products referred to in the content.

Share and Cite

MDPI and ACS Style

Wang, S.; Zhang, S.; Su, J.; Yang, Z.; Liu, S.; Zhou, A.; Yang, W.; Qiu, K. Fuzzy Relationship between Kansei Images: A Grey Decision-Making Method for Product Form. Appl. Sci. 2024, 14, 5728. https://doi.org/10.3390/app14135728

AMA Style

Wang S, Zhang S, Su J, Yang Z, Liu S, Zhou A, Yang W, Qiu K. Fuzzy Relationship between Kansei Images: A Grey Decision-Making Method for Product Form. Applied Sciences. 2024; 14(13):5728. https://doi.org/10.3390/app14135728

Chicago/Turabian Style

Wang, Shijie, Shutao Zhang, Jianning Su, Zhiqiang Yang, Shifeng Liu, Aimin Zhou, Wenjin Yang, and Kai Qiu. 2024. "Fuzzy Relationship between Kansei Images: A Grey Decision-Making Method for Product Form" Applied Sciences 14, no. 13: 5728. https://doi.org/10.3390/app14135728

APA Style

Wang, S., Zhang, S., Su, J., Yang, Z., Liu, S., Zhou, A., Yang, W., & Qiu, K. (2024). Fuzzy Relationship between Kansei Images: A Grey Decision-Making Method for Product Form. Applied Sciences, 14(13), 5728. https://doi.org/10.3390/app14135728

Note that from the first issue of 2016, this journal uses article numbers instead of page numbers. See further details here.

Article Metrics

Back to TopTop