Abstract
In order to analyze the ground vibration responses induced by the dynamic loads in a tunnel, this paper proposes a new simplified tunnel–soil model. Specifically, based on the basic theory of the thin-layer method (TLM), the basic solution of three-dimensional layered foundation soil displacement was derived in the cylindrical coordinate system. The perfectly matched layer (PML) boundary condition was applied to the TLM. Subsequently, a tunnel–soil dynamic interaction analysis model was established using the volume method (VM) in conjunction with the TLM-PML method. The displacement frequency response function of the foundation soil around the tunnel foundation was derived. Finally, a ground vibration test under an impact load in a tunnel was carried out. The test and calculated results were compared. The comparison results show that the ground vibration acceleration response values within 25 m from the load are similar. Compared with the test results, the theoretical calculation results exhibit a decreasing trend in the range of 40–80 Hz between 25 and 60 m, with the maximum reduction being approximately one order of magnitude. In addition, the experimental comparison demonstrates that the model can be used to analyze the ground vibrations caused by underground loads.
1. Introduction
The rapid development of urban rail transit brings the environmental vibration problem [1,2,3]. To predict and evaluate the train-induced ground-borne vibrations, mathematical models are useful. The vibrations can be calculated using empirical or theoretical approaches, or a combination of both. For analyzing the ground vibrations induced by underground train loads, the tunnel–soil dynamic interaction is a significant part of the prediction model. Different analytical, semi-analytical, and numerical models have been developed to consider this interaction. Metrikine and Vrouwenvelder [4] proposed the “beam in the ground” model, which simulated the tunnel as an Euler beam in the elastic stratum (fixed lower surface). This model was used to study the surface vibration response under moving constant force, moving harmonic load, and fixed random load. Koziol et al. [5] improved the model proposed by Metrikine and Vrouwenvelder [4]. The elastic formation was transformed into an elastic half-space, and the wavelet technology was employed to perform the inverse Fourier transform to obtain the vibration response in the space domain.
In order to consider the influence of tunnel lining structure and boundary shape and establish a more refined tunnel model, Forrest and Hunt [6] established the pipe-in-pipe (PIP) model. In this model, a thin-walled cylindrical shell of infinite length was used to simulate the tunnel lining structure, and a thick-walled cylinder with an infinite outer diameter was used to simulate the soil outside the lining. Kuo et al. [7] extended the PIP model to parallel double-hole tunnels to solve the fundamental solution of surface displacement under point load in tunnel. Based on Flugge thin-shell theory and infinite period theory, He et al. [8] established a semi-analytical tube-in-tube model to predict the three-dimensional dynamic response of periodic tunnels in soil. Edirisinghe and Talbot [9] investigated the tunnel–soil–pile dynamic interaction based on the tube-in-tube model. Xu and Ma [10] used the direct stiffness method to solve the dynamic response of a multi-layer half-space under a spatial periodic moving load, which can be used as the fundamental solution of the periodic boundary element formula. Ma et al. [11] proposed a novel periodic tunnel–soil model with a track slab to simulate the propagation of train-induced vibrations, and its validity was verified through the literature and in situ measurement.
In order to consider the reflection effect of surface boundaries on waves, He et al. [12] obtained the fundamental displacement solution of a circular tunnel in a three-dimensional layered half-space by using the transformation characteristics of planar cylindrical waves and the transfer matrix method. Yuan et al. [13] also proposed an analytical solution for the dynamic response of multiple scattering effects between tunnels, taking into account the conversion characteristics of plane cylindrical waves and the case of two adjacent tunnels. Based on the concept of analytic layer elements with circular holes, Yuan et al. [14] adopted the wave function method to solve dynamic responses under moving loads on the ground or within tunnels.
In practical engineering, soil layer parameters tend to change with depth. Treating foundation soil as a uniform elastic body cannot fully reflect the actual situation. Therefore, some scholars simplified the foundation soil model into a layered model. The thin-layer method (TLM), a semi-analytical and semi-numerical method, is suitable for the solution of layered foundations. The TLM was first proposed by Lysmer and Wass [15] in 1972 as a transfer boundary to represent the infinite extension of the horizontal direction of the foundation. Kausel [16] proposed the paraxial boundary to solve the propagation problem of TLM-simulated waves in the infinite domain. Park [17] discussed the accuracy and convergence of the TLM in computational dynamic problems. Based on the two-dimensional TLM, Jones and Hunt [18] investigated the influence of an inclined soil layer on surface vibration and its sensitivity to the inclination angle. Barbosa et al. [19] proposed a TLM with a perfectly matched layer (PML) boundary for calculating the dynamic response of three-dimensional layered foundations, in which the PML efficiently simulated the wave propagation into the underlying semi-infinite space [20].
In recent years, with the rapid development of computer science and technology, the functions of various numerical simulation software have become increasingly perfect. Due to their advantages in terms of application scope, cost, data processing, and other aspects, numerical simulation methods have been widely used in the study of the environmental vibration of rail transit, a complex and interdisciplinary problem. Zhou et al. [21] developed a tunnel–soil layer model using the 2.5D finite element and boundary element method to study the three-dimensional dynamic response of a segmented tunnel in a porous elastic half-space. Ma et al. [22] proposed a 2.5D modeling method using the finite element method (FEM) and PML coupling to study the vibration response of tunnel trains in curved sections. Colaco et al. [23] established a 2.5D track–ground structure model to study its dynamic characteristics under simple harmonic loads. This model employed the FEM to simulate complex ground structures, such as tracks, and the method of fundamental solutions to simulate infinite strata. Due to the introduction of periodic theory along the driving direction, the periodic support and excitation parameters of the track structure cannot be solved in the 2.5D model [24]. Based on the wave propagation analysis theory, Xu et al. [25] proposed a wave FEM considering the longitudinal changes in dynamic soil parameters. This approach derived the dynamic stiffness matrix of internal and boundary fundamental elements to deal with the boundary truncation problem with high computational efficiency and can solve the dynamic response of the surface under the load of subway trains.
In the present study, the TLM was developed to analyze the ground vibration under an embedded dynamic load. As a semi-analytical method, the TLM can improve the computational efficiency to a certain extent and fully consider the soil layers. The tunnel model was simplified using the volume method (VM). Firstly, based on the theory of the TLM, a 3D thin-layer model of layered soil was established in the column coordinate system. By Fourier transform and Fourier–Bessel integral transform, the fundamental differential equation of the TLM in the frequency–wavenumber domain was derived, and the displacement function was introduced. The fundamental solution of soil displacement of 3D layered soil under point load was obtained using the stiffness matrix spectral decomposition method. To control the reflection of the wave at the boundary, the PML was used to simulate the lowest elastic half-space. Subsequently, the Euler–Bernoulli beam was used to simulate the simplified tunnel, and the dynamic interaction analysis model of tunnel and foundation soil was established according to the VM superposition principle. The tunnel–soil model based on the TLM-VM-PML method was eventually established. The displacement frequency response function of soil around the tunnel foundation was derived. Finally, the validity and correctness of the proposed method were verified by tunnel excitation tests conducted in an underground laboratory.
2. Establishment of Prediction Model
2.1. TLM-PML Method
The Green’s function of the layered soil is derived using the TLM in the cylindrical coordinate system. The main idea is as follows: Firstly, the fundamental equation of motion in an elastic half-space expressed in displacement form in the time domain is transformed into the frequency domain by Fourier transform, and the equation of motion in the frequency–space domain is obtained. Subsequently, the ordinary differential equation of displacement in the wavenumber domain with respect to depth direction z is obtained by introducing the Fourier–Bessel integral transform, that is, the fundamental differential equation of the TLM. Subsequently, for each thin-layer element, the layer element equation (the relationship between displacement and stress in the thin-layer element) is derived by using the Galerkin weighted residual method for a discrete solution. Finally, the displacement fundamental solution is obtained by using the stiffness matrix spectral decomposition method.
- (1)
- Fundamental differential equation of TLM
First, for the elastic half-space depicted in Figure 1, the fundamental equation of motion expressed in the form of stress is established under the cylindrical coordinate system as follows:
where Fr, Fθ, and Fz are the body force per unit volume; σrr, σrθ, σrz, σθr, σθθ, σθz, σzr, σzθ, and σzz are the stress components in the cylindrical coordinate system.
where ur, uθ and uz represent the displacement components in the radial, circumferential and vertical directions in the column coordinate system, respectively. ρ is the density of foundation soil, and is a Laplace operator.
Figure 1.
Elastic half-space cylindrical coordinate system.
The Fourier transform is applied to Equation (2) to obtain the equation of motion in the frequency–space domain:
where ω represents the excited circular frequency and the symbol “-” represents a physical quantity in the frequency–space domain.
Then, the Fourier–Bessel integral transform is introduced:
where kr is the wavenumber in the direction of r. Tn(θ) is an expansion of the Fourier series in the θ direction, and n is the number of Fourier series expansions. The coefficient term αn is defined as follows: when n = 0, αn =1/2π; when n ≠ 0, αn =1/π. The transformation matrix Cn(krr) can be expressed by
where Jn(krr) is the Bessel functions of the first kind.
In the case of vertical vibration, with n = 0, the expression of the displacement component in the equation of motion in the frequency domain is as follows:
Substituting Equation (6) into the motion Equation (3) in the frequency domain, the fundamental differential equation of the TLM can be written as follows after sorting:
where the symbol “~” represents a physical quantity in the frequency–wavenumber domain.
For the discrete equation of the TLM in the cylindrical coordinate system, the Galerkin method of weighted residuals is used to solve the fundamental differential Equation (7) of the TLM. As shown in Figure 2, the foundation soil model consists of a series of thin layers of layered soil and the lowest half-space. The soil is divided into N horizontal thin-layer elements along the depth direction of the subsoil model. In the same thin-layer element, the soil parameters are equal.
Figure 2.
Cylindrical coordinate system of subsoil model.
It is assumed that the displacement inside any thin-layer element is linearly or conically distributed along the vertical axis, corresponding to the primary and quadratic functions respectively. Take the quadratic function as an example, an intermediate section (L + 1/2) to the upper and lower sections of a thin-layer element L with thickness h is added as shown in Figure 3. The displacements of the three sections are , and , respectively.
Figure 3.
Sections and coordinates of a thin-layer unit with quadratic function.
The displacement of any plane in the thin-layer element can be expressed by the following formula:
Substituting Equation (8) of any plane in the thin-layer element into Equation (7) in the wavenumber domain, the displacement can be written as follows:
where , , , , and represent the displacement and stress in the r, z, and θ directions of thin layer element sections in wave-number domain, respectively.
Thin-layer element submatrices , , , , , , and are matrices represented by the parameters of layered soil materials:
After lumping each layer, the fundamental equation of the thin-layer method in the frequency–wavenumber domain can be expressed as follows:
where is the load vector. is the displacement vector. is the total stiffness matrix; matrices A and C can be written as:
- (2)
- Fundamental solution of 3D foundation soil vibration by TLM
The stiffness matrix spectral decomposition method is used to solve Equation (13) for the fundamental solution of 3D soil vibration in TLM:
The right eigenvalue analysis of K is carried out. According to the structure of matrix and , it can be decomposed into two right eigenvalue problems: the problem of the Rayleigh wave (r and z direction) and the problem of the Love wave (θ direction). Similarly, there is the left eigenvalue problem. The first j is a set of corresponding left kj eigenvalues ΩL,j = {kjϕr,j ϕz,j ϕθ,j}T and right eigenvalues ΩR,j = {ϕr,j kjϕz,j ϕθ,j}T.
By substituting the eigenvalues into the total stiffness matrix of the fundamental equation of the TLM and combining them, the left and right eigenvectors have the following relationship:
where j = 1, 2, ···, 3N; Φr and Φz are N × 2N matrices; Φθ is an N × N matrix;
are the first 2N elements of the diagonal matrix , and are the last N elements of the diagonal matrix .
Introducing ΩR = I, and combining Equations (13), (15) and (16), the displacement equation in the frequency and wavenumber domain can be expressed as follows:
where Erz = (I − )−1 and Eθ = (I − )−1.
Based on the inverse Fourier–Bessel integral transform method, the displacement can be transformed into the spatial domain:
All derivations in this paper are carried out in column coordinate system. The fundamental solution of displacement in the rectangular coordinate system can be transformed by Equation (19).
The displacement along the α direction at the m layer under the unit load along the direction β at the n layer is illustrated in Figure 4. kRj, , and represent the eigenvalue and eigenvector of the j-order mode in the m layer of the Rayleigh wave signature problem. kLj and represent the eigenvalue and eigenvector of the j-mode in the m layer of the Love eigenvalue problem, respectively. The calculation results are shown in Equations (20) and (21). Equation (20) is the fundamental solution of the displacement in the frequency–space domain under the point load. Equation (21) is the kernels of fundamental solutions.
Figure 4.
Meaning of the fundamental solution of displacement.
In addition, when r approaches 0, the points along the vertical axis at the excitation point are divergent. In order to eliminate this singularity in the calculation, a circular uniform distribution load with radius r0 is considered to replace the concentrated point load. In this research, the fundamental solution of displacement in the frequency–space domain is calculated when a uniform load with radius r0 acts on the axis of the center of the circle (r = 0 m), as shown in Equation (22).
- (3)
- Perfect match layer (PML) is applied to TLM
In order to consider the influence of the lowest elastic half-space of layered soil, the PML is used to simulate the lowest elastic half-space. The PML is a numerical technique, similar to the absorption or transmission boundary [20] based on a discrete finite element model to suppress the reflection of waves in an infinite medium. The PML stretches the space through a position-dependent function. Starting from the interface that defines the elastic layer, the complex values of this function become larger to exponentially attenuate the waves within the PML as the distance from this interface increases. In addition, the impedance difference at the PML boundary is consistent, which means that no reflection occurs regardless of the propagation angle of the wave entering the PML region.
Considering that the SH wave propagates as Cs in a uniform elastic layer with a depth of H, the elastic layer is usually converted to the PML by converting the vertical coordinate z to the complex form defined as follows:
where the real part of is the actual boundary layer depth; the imaginary part is the function that changes with depth. The imaginary part Ψ(z), the undetermined function, changes with depth, as expressed in Equation (24).
where Ψ(s) is an extension function that is always positive. The commonly used extension function [26] is as follows:
where ω0 represents the absorption level of the wave at the boundary. Parameter m is the elongation which should meet the requirement that m > 0.
Consider a plane wave propagating into the PML domain along the z-axis at a θ angle (Figure 5); this wave can be expressed as follows:
Figure 5.
The propagation of a wave in the PML region.
The wave can be reflected at the bottom of the PML domain and on the free plane, and its total energy attenuation is
where Ω = ω0/ω(m + 1).
According to λ = 2πC/ω, and defining η = H/λ, Equation (24) can be expressed as follows:
For the given incidence angle, the effectiveness of the PML layer depends only on the parameter Ω. On the other hand, a wave entering the PML at an angle θ at x0 will return to the surface at a distance from the incident point r = x − x0 = 2Htanθ, i.e.,:
It can be seen from Equations (28) and (29) that the larger the horizontal region of concern, the larger η and Ω.
The PML is constructed through a series of thin-layer elements in the TLM, and the linear size of the element is directly extended according to the horizontal and vertical positions of the elements in the PML domain [27]. Therefore, assuming that the PML domain is divided into N thin layers of the same thickness, the thin-layer extension thickness of the l-layer is as follows:
where 1 ≤ l ≤ N; l increases downward.
It can be seen from Equation (30) that in the TLM, for each thin-layer element, its fundamental equation is composed of element matrices , , and . In order to obtain the layer element matrix of the PML, hl in the original element matrix of the TLM can be replaced by.
It can be seen from the above that the selection of the PML parameters Ω, η, and m has a great influence on the concerned horizontal region. A large number of numerical experiments and regression analyses show [20] that the optimal parameters of the PML can be selected as follows:
where N is the number of divisions of the PML thin layer, and n is the number of shape functions used by TLM discretization. The xmax is the maximum horizontal distance concerned.
2.2. Simplified Tunnel Model Using VM
- (1)
- The VM separates the ground–foundation system
The VM is a technique that utilizes the ground (G) as a free field, subsequently establishing nodes in the internal space occupied by the foundation (F). These nodes are the nodes of the ground–foundation dynamic interaction. The VM is based on the superposition principle of elastic theory. As shown in Figure 6, in the VM solution model, the layered foundation is first dispersed with thin-layer elements along the vertical line, and node groups are configured in the foundation with the same volume as the foundation. Each node of the node group must be located on the node plane of the divided thin-layer elements, and then the foundation–foundation system is separated. The actual stiffness matrix KF and mass matrix MF of the foundation are expressed as the superposition of soil discharge stiffness matrix and mass matrix and stiffness matrix KF − , as well as mass matrix MF − in the same volume as the foundation:
Figure 6.
Calculation principle of the VM.
Due to the separation of the system, the interaction force and displacement will occur in the dissolving space of each substructure, which, respectively, meet the force balance condition and displacement continuity condition.
The force balance conditions can be written as follows:
where , and represent the forces of foundation soil, foundation discharge and foundation respectively.
The displacement continuity condition can be expressed as follows:
where , and represent the displacement of foundation soil, foundation discharge and foundation respectively.
Based on the VM, the ground–foundation system can be divided into three parts: (1) the foundation part F, (2) free-field layered foundation G, and (3) soil discharge part with the same volume as the foundation. These three parts achieve dynamic coupling through the common nodes of foundation and foundation, that is, the ground–foundation system can be equivalent to (1) + (2) − (3).
- (2)
- Derivation of frequency response function of foundation–subsoil displacement
The kinematic equilibrium equation of the ground–foundation system under the action of external excitation force P is as follows:
where K and M are the stiffness and mass matrices, respectively, and u is the displacement vector. The subscripts F and G represent the foundation and ground, respectively.
According to the fundamental principle of the VM, the actual stiffness and mass matrix of the foundation are decomposed into the forms of Equations (32) and (33). Substituting Equations (32) and (33) into Equation (36), the dynamic balance equations can be obtained:
Foundation system:
Ground system:
where FF and FG represent the interaction force vector between the foundation system and the ground system due to the separation of the total system, satisfying the force balance relationship FF + FG = 0.
To determine uF, uG yields need to be eliminated, expressed as follows:
where A(iω) represents the relationship between the exciting force and displacement of the interaction nodes between the foundation and the foundation in the layered foundation soil, that is, the dynamic flexibility matrix of the foundation. A(iω) can be calculated using Green’s function of the TLM of substratum under a concentrated point load derived in Section 2.1. It should be noted that if the horizontal coordinates of the observation point and the excited point are the same, the displacements at the excited point and along the vertical axis passing through the excited point will diverge. In order to eliminate this singularity, the fundamental solution of the displacement in the frequency–space domain under uniformly distributed circular loads can be used to calculate the displacement.
By combining Equation (37) with Equation (39), the impedance matrix S(iω) in the ground–foundation system can be expressed as follows:
By introducing the deformation of Equation (40) into Equation (2), the interaction force between the ground and foundation interaction nodes can be written as follows:
After the ground–foundation interaction force of each node is obtained, the displacement response of any observation point of foundation soil under FF action can be obtained according to the fundamental displacement solution of layered foundation under unit point load derived in Section 2.1.
When the external excitation force P is the vertical unit harmonic load, the displacement response of the soil around the foundation derived above is the foundation–subsoil displacement frequency response function.
- (3)
- Analysis model of tunnel–foundation soil dynamic interaction
In the underground rail transit system, the movement of subway trains causes the vibration of the tunnel structure. The dynamic load of the train is transmitted to the entire tunnel structure through the track and then from the tunnel foundation to the surrounding foundation soil. This results in the formation of a complex and multi-factor communication system composed of the train–track–tunnel–soil layer. Therefore, when investigating the environmental vibration of underground rail transit, the study of the overall vibration propagation mechanism is typically divided into the study of the key problems in each subsystem of the propagation path. The TLM-VM-PML method adopted in this paper can be used to study the vibration transmission characteristics of the tunnel foundation–subsoil system. The dynamic responses at different locations of the surface can be obtained by inputting the foundation–subsoil displacement frequency response function derived above.
The frequency response function of foundation soil displacement derived from TLM-VM-PML is applied to the solution of the dynamic response of foundation soil around the tunnel foundation. Firstly, it is necessary to conduct an appropriate simplification of the tunnel–soil model. In the existing research, tunnel structures were simplified as equivalent beams embedded in layered soil 3. Subsequently, the tunnel vibration is considered to be the source propagating to soil layers. Considering that the TLM is difficult to disperse vertically, the following simplified assumptions are made in the tunnel–soil system:
- Euler–Bernoulli beams in three-dimensional space are used to simulate the tunnel structure. Each node has six degrees of freedom, which encompass the translation in three directions of spatial coordinates and rotation around three coordinate axes.
- The foundation soil is composed of several horizontal thin-layer elements, each of which has the same soil layer properties.
- The foundation soil and tunnel structure are in close contact through the interaction node group with no relative displacement.
Based on the above assumptions, the tunnel–soil model is developed using the proposed TLM-VM-PML method. As shown in Figure 7, the TLM is used to simulate the layered soil. The elastic layer of the soil is divided into N thin-layer elements. The PML boundary conditions are used to simulate the elastic half-space below the elastic layers. The tunnel structure is simulated by the Euler–Bernoulli beam. The tunnel structure is set as a circular shield tunnel with outer diameter D, inner diameter d, wall thickness δ, elastic modulus Ep, mass density ρp, Poisson ratio νp, and rail buried depth H. According to the fundamental principle of the VM, the tunnel–soil interaction node group is set in the inner space of the foundation soil occupied by the tunnel structure. The depth of the node group is equivalent to the buried depth of the tunnel rail. The space coordinate system is established with the ground above the excitation point in the tunnel as the origin. The surface isometric observation points are set along the x axis with an interval of r.
Figure 7.
Calculation model of tunnel and soils.
The research idea for solving the dynamic response of the model is illustrated in Figure 8. Firstly, the tunnel foundation is divided into elements to form a tunnel–soil dynamic interaction node group, which is located on the node surface of thin-layer elements. The spatial position coordinates of each node are calculated. Then, the basic solution of frequency–space domain displacement under point loads derived in Section 2.1 is introduced to form the dynamic flexibility matrix A(iω) of the common node groups of tunnel and foundation soil. The Euler–Bernoulli beam element is used to simulate the tunnel and its same-volume soil discharge. The impedance matrix S(iω) of the tunnel is obtained by calculating the stiffness matrix and mass matrix as well as the soil discharge and combining the impedance function Equation (40). Finally, the dynamic interaction force of the node group is obtained, and the displacement at any point of the foundational soil around the tunnel foundation can be calculated by combining the Green’s function of the TLM.
Figure 8.
Research idea for solving the dynamic response of soils around a tunnel.
3. Field Measurements and Model Verification
3.1. Experimental Outline
In order to verify the TLM-VM-PML method to study the dynamic interaction between the tunnel and soil foundation, a vibration excitation test was carried out in the tunnel. The ground acceleration responses at different horizontal distances under the action of the underground hammer force in the tunnel excitation test were calculated. The calculated results were compared with the measured ones.
The test was conducted in a laboratory with an underground tunnel. The tunnel was a double-layer horseshoe-shaped tunnel. The underground first layer was a curved tunnel with a buried vault depth of 6 m, and the underground second layer was a straight tunnel with a buried vault depth of 14 m. The height and width of both layers were 4 m, and the wall thickness of the tunnel was 0.55 m. The plan and cross-section of the tunnel laboratory are shown in Figure 9. The underground excitation test was carried out in the underground first layer. In order to minimize the interference of external background noise, the test was carried out on a quiet night.
Figure 9.
Laboratory diagram.
In the test, automatic drop hammer excitation equipment was used for exciting the vibration source. As shown in Figure 10, the impact force can be changed by adjusting the weight of the drop hammer and the lifting height of the drop hammer. The falling process of the drop hammer can be approximately regarded as a free-falling motion. The hammer head was equipped with a piezoelectric stress sensor, and the hammer force signal can be collected with high-precision data acquisition instrument. The equipment can excite a large impact energy in the tunnel in order to generate an effective vibration response at ground level.
Figure 10.
Automatic drop hammer equipment.
The INV3062S 24-bit high-precision data acquisition instrument was used for automatic acquisition in the test. The acceleration sensor LC0130 with a measuring range of 0.12 g was used (Figure 11). The sampling frequency of the acceleration signal was 2048 Hz. The vertical vibration acceleration was collected.
Figure 11.
Data acquisition instrument and acceleration transducer.
The automatic drop hammer equipment was used to impact the tunnel track bed in the underground layer of the laboratory. In order to ensure that each sensor on the ground can pick up a clear acceleration signal, five mass counterweight blocks were selected in the automatic drop hammer equipment, each with a lifting height of 15 cm. A total of 20 useful signals were used for average processing.
The sensors were also arranged on the ground. The sensor just above the impact location in the tunnel (0 m) was defined as point P0. From this point to the north along the road, points P1–P11 were defined, as illustrated in Figure 12. Points P1–P11 were located on the ground surface.
Figure 12.
Layout of hammer point and sensors’ locations for underground impact test.
3.2. Experimental Results
The time history and Fourier spectrum of the hammer force are illustrated in Figure 13. The peak value of the hammer force is about 40 kN. It can be observed from the spectrum that a large amount of energy can be aroused in the range of 0~100 Hz. The vertical acceleration time history and spectrum of the sensors between 0 and 80 m on the ground are shown in Figure 14.
Figure 13.
Time courses and frequency spectrum of hammer force.


Figure 14.
Time histories and Fourier spectra of ground accelerations at different positions.
Figure 14 indicates the following:
- (1)
- Under the exciting force of the automatic drop hammer, clear acceleration signals can be collected in the range of 0–80 m on the surface. With the increase in the horizontal distance on the surface, the surface acceleration vibration value also gradually decreases. The peak vertical acceleration on the surface at 0 m is about 0.035 m/s2, that at 30 m is 0.01 m/s2, and that at 80 m is reduced to 0.001 m/s2.
- (2)
- It can be seen from the time history diagram that the maximum vibration acceleration occurs at different locations on the surface at different times. The maximum vibration occurs at about 0.04 s at 0 m on the surface, at about 0.2 s at 30 m on the surface, and at 0.4 s at 80 m on the surface, which also reflects the time difference of vibration propagation in the soil layer.
- (3)
- It can be seen from the spectrum diagram that under the action of the pulse excitation force, a certain amount of energy can be excited at different horizontal distances from the surface between 0 and 100 Hz, of which the energy above 80 Hz is slightly attenuated.
3.3. Model Results and Validation
Based on the tunnel excitation test, thin-layer modeling was adopted. The soil layer parameters were based on the soil layer parameters near the laboratory. The specific soil layer parameters are shown in Table 1. For the tunnel model, the horseshoe tunnel with a net height and width of 4 m was simplified into a circular shield tunnel with an outer diameter of 4 m. The wall thickness δ is 0.5 m, the buried depth of the tunnel rail surface H is 10 m, the dynamic elastic modulus Ed is 29 GPa, the dynamic Poisson ratio ν is 0.2, and the bulk weight γ is 25 kN/m3.
Table 1.
Soil parameters of laboratory model.
The displacement frequency response functions at different observation points in the tunnel–soil system under vertical unit harmonic load were calculated. The frequency calculation range is between 0 and 100 Hz, and the frequency resolution is 0.5 Hz. A total of 17 isometric surface observation points (Q0–Q16) perpendicular to the driving direction were selected from directly above the excitation point x = 0 m to x = 80 m. The distance between the two adjacent observation points is 5 m. The schematic diagram of each observation point on the surface is shown in Figure 15.
Figure 15.
Schematic diagram of surface observation points.
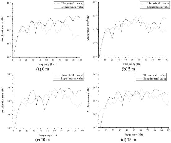
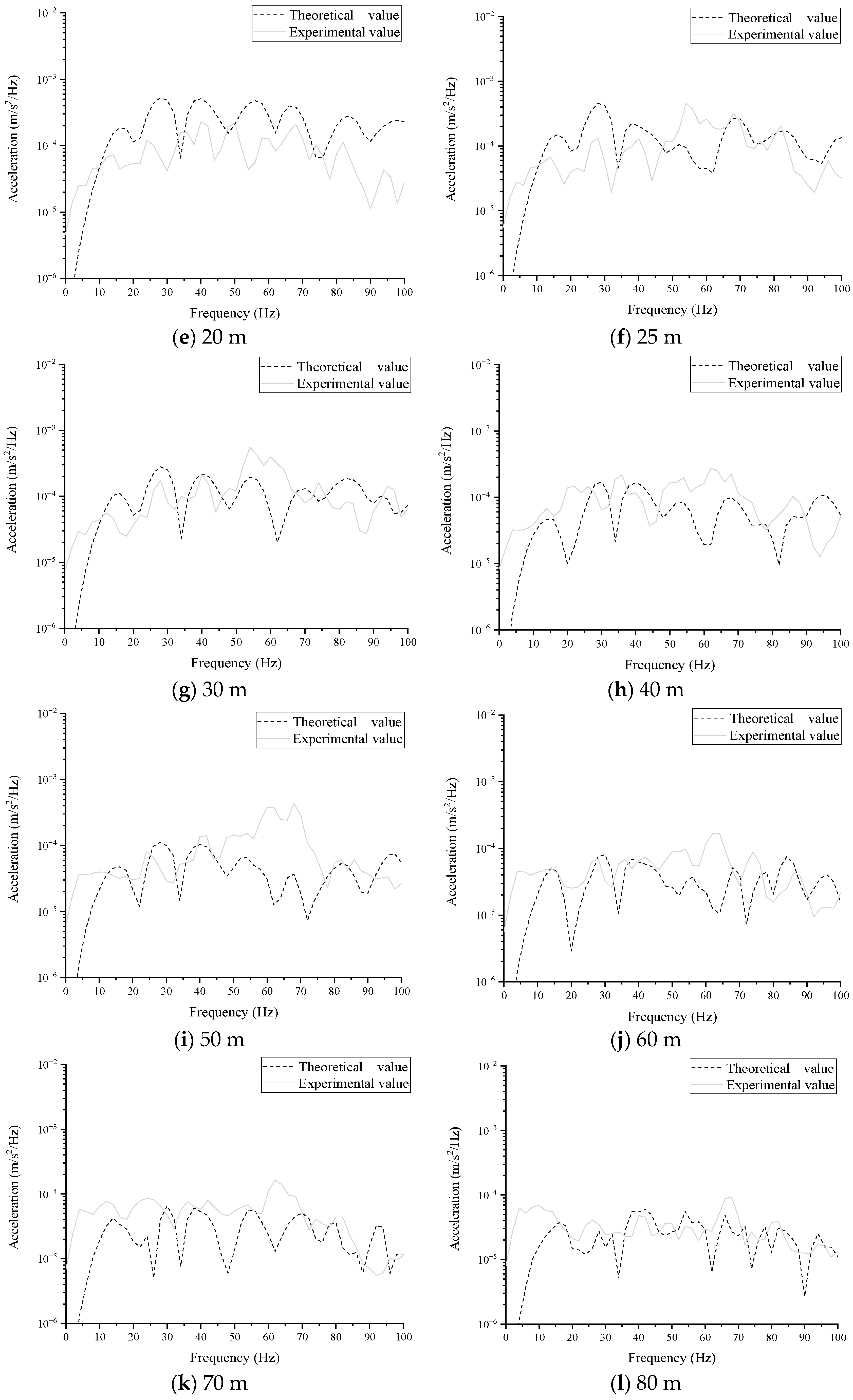
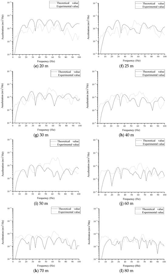
According to the derivation method of displacement frequency response function in Section 2.2, the displacement frequency response functions at each observation point on the surface under vertical unit harmonic load were calculated, as shown in Figure 16.
Figure 16.
Displacement frequency response function of vertical ground vibrations at different locations.
The Figure 17 calculated and experimental results are illustrated. It can be observed that the calculated results are close to the experimental ones, both exhibiting the fluctuation with frequency. The calculated and experimental ground vibrations are in good agreement in most frequency bands at 5, 30, and 80 m and tend to be consistent in most frequency bands but with a slightly different magnitude at 20, 25, and 30 m. Between 25 and 60 m, the experimental results are significantly larger than the calculated ones in the frequency band between 40 and 80 Hz. In general, considering that there are actually two layers of tunnels in the laboratory, the calculated model does not take into account the influence of the tunnel structure of the underground two-layer rail surface at a buried depth of 18 m. In addition, the actual soil layer parameters and tunnel structure were greatly simplified in the calculation process. In addition, the difference between the prediction and measurement results were measured by calculating the Root Mean Square Error (RMSE) of each position, as shown in Figure 18. It can be observed that the smaller the value of the RMSE, the closer the predicted result of the model is to the measured result. The RMSE gradually decreases with the increase in distance, and all magnitude values are one magnitude smaller than the curve. Combined with the comparison results, it is considered that the TLM-VM-PML can be used to study the analysis of the tunnel–foundation dynamic interaction.

Figure 17.
Comparison of the vertical ground vibrations at different locations.
Figure 18.
RMSE at different locations.
4. Conclusions
In summary, a novel TLM-VM-PML method is proposed for the analysis of the tunnel–soil dynamic interaction. The basic theory of the TLM, VM, and PML method was derived. A laboratory test was performed under the impact excitation to obtain the frequency response functions in the tunnel–soil system. Based on the TLM-VM-PML method, a model was established to numerically calculate the frequency response functions. The experimental and calculated results were compared. The main conclusions are as follows:
- (1)
- The vibration response decreases gradually with the increase in distance. The maximum vibration acceleration at different locations occurs at different times, reflecting the time difference in vibration propagation in the soil layer under the impact excitation.
- (2)
- The calculated and experimental ground vibrations are in good agreement in most frequency bands at 5, 30, and 80 m. These two vibration responses have slightly different magnitudes at 20, 25, and 30 m. The experimental results are significantly larger than the calculated ones in the frequency band between 40 and 80 Hz.
- (3)
- Considering the differences in soil parameters between the test site and the numerical model, as well as the differences caused by the simplification of the tunnel structures, the above results prove that the proposed method can be used for the analysis of the tunnel–foundation dynamic interaction.
Author Contributions
Conceptualization, Y.C. and M.M.; Methodology, M.Z., Y.C. and M.M.; Software, M.Z.; Validation, M.Z. and X.W.; Formal analysis, Y.W.; Investigation, Y.W.; Writing—original draft, Y.W.; Writing—review & editing, Z.L. and M.M.; Supervision, Y.C. and M.M.; Funding acquisition, M.M. All authors have read and agreed to the published version of the manuscript.
Funding
This research was funded by the Beijing Natural Science Foundation (Grant Number: L221023) and National Natural Science Foundation of China (No. 51978043).
Institutional Review Board Statement
Not applicable.
Informed Consent Statement
Not applicable.
Data Availability Statement
The original contributions presented in the study are included in the article, further inquiries can be directed to the corresponding authors.
Conflicts of Interest
The authors declare no conflict of interest.
References
- Ma, M.; Jiang, B.; Liu, W.; Liu, K. Control of Metro Train-Induced Vibrations in a Laboratory Using Periodic Piles. Sustainability 2020, 12, 5871. [Google Scholar] [CrossRef]
- He, L.; Tao, Z. Building Vibration Measurement and Prediction during Train Operations. Buildings 2024, 14, 142. [Google Scholar] [CrossRef]
- Zou, C.; Moore, J.A.; Sanayei, M.; Tao, Z.; Wang, Y. Impedance Model of Train-Induced Vibration Transmission Across a Transfer Structure into an Over Track Building in a Metro Depot. J. Struct. Eng. 2022, 148, 04022187. [Google Scholar] [CrossRef]
- Metrikine, A.V.; Vrouwenvelder, A.C.W.M. Surface ground vibration due to a moving train in a tunnel: Two-dimensional model. J. Sound Vib. 2000, 234, 43–66. [Google Scholar] [CrossRef]
- Kozioł, P.; Mares, C.; Esat, I.I. Wavelet approach to vibratory analysis of surface due to a load moving in the layer. Int. J. Solids Struct. 2008, 45, 2140–2159. [Google Scholar] [CrossRef]
- Forrest, J.A.; Hunt, H.E.M. A three-dimensional tunnel model for calculation of train-induced ground vibration. J. Sound Vib. 2006, 294, 678–705. [Google Scholar] [CrossRef]
- Kuo, K.A.; Hunt, H.E.M.; Hussein, M.F.M. The effect of a twin tunnel on the propagation of ground-borne vibration from an underground railway. J. Sound Vib. 2011, 330, 6203–6222. [Google Scholar] [CrossRef]
- He, C.; Zhou, S.; Guo, P.; Di, H.; Yang, X. A three-dimensional semi-analytical method for calculating vibrations from a moving load on a periodic jointed tunnel. Comput. Geotech. 2019, 114, 103150. [Google Scholar] [CrossRef]
- Edirisinghe, T.L.; Talbot, J.P. The significance of source-receiver interaction in the response of piled foundations to ground-borne vibration from underground railways. J. Sound Vib. 2021, 506, 116178. [Google Scholar] [CrossRef]
- Xu, L.; Ma, M. Dynamic response of the multilayered half-space medium due to the spatially periodic harmonic moving load. Soil Dyn. Earthq. Eng. 2022, 157, 107246. [Google Scholar] [CrossRef]
- Ma, M.; Xu, L.; Liu, W.; Tan, X. Semi-analytical solution of a coupled tunnel-soil periodic model with a track slab under a moving train load. Appl. Math. Model. 2024, 128, 588–608. [Google Scholar] [CrossRef]
- He, C.; Zhou, S.; Di, H.; Guo, P.; Xiao, J. Analytical method for calculation of ground vibration from a tunnel embedded in a multi-layered half-space. Comput. Geotech. 2018, 99, 149–164. [Google Scholar] [CrossRef]
- Yuan, Z.; Boström, A.; Cai, Y.; Cao, Z. Analytical solution for calculating vibrations from twin circular tunnels. Soil Dyn. Earthq. Eng. 2019, 117, 312–327. [Google Scholar] [CrossRef]
- Yuan, Z.; Cao, Z.; Tang, H.; Xu, Y.; Wu, T. Analytical layer element with a circular cavity and its application in predicting ground vibrations from surface and underground moving sources. Comput. Geotech. 2021, 137, 104262. [Google Scholar] [CrossRef]
- Lysmer, J.; Waas, G. Shear Waves in Plane Infinite Structures. J. Eng. Mech. 1972, 98, 85–105. [Google Scholar] [CrossRef]
- Kausel, E. Physical interpretation and stability of paraxial boundary conditions. Bull. Seismol. Soc. Am. 1992, 82, 898–913. [Google Scholar] [CrossRef]
- Park, J. Wave Motion in Finite and Infinite Media Using the Thin-Layer Method. Ph.D. Thesis, Department of Civil and Environmental Engineering, MIT, Cambridge, MA, USA, 2002. [Google Scholar]
- Jones, S.; Hunt, H. Effect of Inclined Soil Layers on Surface Vibration from Underground Railways Using the Thin-Layer Method. J. Eng. Mech. 2011, 137, 887–900. [Google Scholar] [CrossRef]
- Barbosa, J.M.D.O.; Kausel, E. The thin-layer method in a cross-anisotropic 3D space. Int. J. Numer. Meth. Eng. 2012, 89, 537–560. [Google Scholar] [CrossRef]
- Barbosa, J.M.D.O.; Park, J.; Kausel, E. Perfectly matched layers in the thin layer method. Comput. Methods Appl. Mech. Eng. 2012, 217–220, 262–274. [Google Scholar] [CrossRef]
- Zhou, S.; He, C.; Guo, P.; Yu, F. Dynamic response of a segmented tunnel in saturated soil using a 2.5-D FE-BE methodology. Soil Dyn. Earthq. Eng. 2019, 120, 386–397. [Google Scholar] [CrossRef]
- Ma, L.; Zhang, C.; Ouyang, H.; Yan, Q.; Yu, W. 2.5D modelling of wave propagation in longitudinally curved viscoelastic structure using a coupled FEM-PML approach. Eng. Struct. 2021, 226, 111337. [Google Scholar] [CrossRef]
- Colaço, A.; Alves Costa, P.; Amado-Mendes, P.; Calçada, R. Vibrations induced by railway traffic in buildings: Experimental validation of a sub-structuring methodology based on 2.5D FEM-MFS and 3D FEM. Eng. Struct. 2021, 240, 112381. [Google Scholar] [CrossRef]
- Degrande, G.; Clouteau, D.; Othman, R.; Arnst, M.; Chebli, H.; Klein, R.; Chatterjee, P.; Janssens, B. A numerical model for ground-borne vibrations from underground railway traffic based on a periodic finite element–boundary element formulation. J. Sound Vib. 2006, 293, 645–666. [Google Scholar] [CrossRef]
- Xu, L.; Ma, M.; Cao, R.; Tan, X.; Liang, R. Effect of longitudinally varying characteristics of soil on metro train-induced ground vibrations based on wave propagation analysis. Soil Dyn. Earthq. Eng. 2022, 152, 107020. [Google Scholar] [CrossRef]
- Berenger, J. A perfectly matched layer for the absorption of electromagnetic waves. J. Comput. Phys. 1994, 114, 185–200. [Google Scholar] [CrossRef]
- Kausel, E.; Barbosa, J.M.D.O. PMLs: A direct approach. Int. J. Numer. Meth. Eng. 2012, 90, 343–352. [Google Scholar] [CrossRef]
Disclaimer/Publisher’s Note: The statements, opinions and data contained in all publications are solely those of the individual author(s) and contributor(s) and not of MDPI and/or the editor(s). MDPI and/or the editor(s) disclaim responsibility for any injury to people or property resulting from any ideas, methods, instructions or products referred to in the content. |
© 2024 by the authors. Licensee MDPI, Basel, Switzerland. This article is an open access article distributed under the terms and conditions of the Creative Commons Attribution (CC BY) license (https://creativecommons.org/licenses/by/4.0/).




















