In Vitro Bioactivities of Cereals, Pseudocereals and Seeds: Assessment of Antiglycative and Carbonyl-Trapping Properties
Abstract
1. Introduction
2. Materials and Methods
2.1. Reagents and Chemicals
2.2. Samples
2.3. Preparation of Extracts
2.4. Measurement of pH
2.5. Determination of Phenolic Acids
2.6. Determination of Total Phenolic Content
2.7. Total Antioxidant Capacity by Direct ABTS (2,2′-azino-bis(3-etilbenzotiazoline-6-sulfonic acid) Assay
2.8. Determination of the Reducing Power Using the Ferric Reducing Antioxidant Power (FRAP) Assay
2.9. Determination of Flavonoids
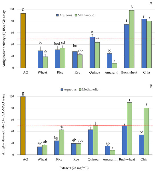
2.10. In Vitro Glycation Assay with BSA–Glucose and BSA–MGO
2.11. Evaluation of Direct MGO-Trapping Capacity
2.12. Statistically Analysis
3. Results and Discussion
4. Conclusions
Author Contributions
Funding
Institutional Review Board Statement
Informed Consent Statement
Data Availability Statement
Conflicts of Interest
References
- WHO. 2023. Available online: https://www.who.int/news-room/fact-sheets/detail/noncommunicable-diseases (accessed on 15 April 2024).
- Mauricio, D.; Alonso, N.; Gratacós, M. Chronic Diabetes Complications: The need to move beyond classical concepts. Trends Endocrinol. Met. 2020, 31, 287–295. [Google Scholar] [CrossRef]
- Khalid, M.; Petroianu, G.; Adem, A. Advanced glycation end products and diabetes mellitus: Mechanisms and perspectives. Biomolecules 2022, 12, 542. [Google Scholar] [CrossRef]
- Poulsen, M.W.; Hedegaard, R.V.; Andersen, J.M.; de Courten, B.; Bügel, S.; Nielsen, J.; Skibsted, L.H.; Dragsted, L.O. Advanced glycation endproducts in food and their effects on health. Food Chem. Toxicol. 2013, 60, 10–37. [Google Scholar] [CrossRef]
- Inan-Eroglu, E.; Ayaz, A.; Buyuktuncer, Z. Formation of advanced glycation endproducts in foods during cooking process and underlying mechanisms: A comprehensive review of experimental studies. Nutr. Res. Rev. 2020, 33, 77–89. [Google Scholar] [CrossRef]
- Song, Q.; Liu, J.; Dong, L.; Wang, X.; Zhang, X. Novel advances in inhibiting advanced glycation end product formation using natural compounds. Biomed. Pharmacother. 2021, 140, 111750. [Google Scholar] [CrossRef]
- OECD/FAO. Cereals. In OECD-FAO Agricultural Outlook 2022–2031; OECD Publishing: Paris, France, 2022. [Google Scholar]
- Călinoiu, L.F.; Vodnar, D.C. Whole grains and phenolic acids: A review on bioactivity, functionality, health benefits and bioavailability. Nutrients 2018, 10, 1615. [Google Scholar] [CrossRef]
- Vidaurre-Ruiz, J.; Bender, D.; Schönlechner, R. Exploiting pseudocereals as novel high protein grains. J. Cereal Sci. 2023, 114, 103795. [Google Scholar] [CrossRef]
- Din, Z.; Alam, M.; Ullah, H.; Shi, D.; Xu, B.; Li, H.; Xiao, C. Nutritional, phytochemical and therapeutic potential of chia seed (Salvia hispanica L.). A mini-review. Food Hydrocoll. Health 2021, 1, 100010. [Google Scholar] [CrossRef]
- Graziano, S.; Agrimonti, C.; Marmiroli, N.; Gullì, M. Utilisation and limitations of pseudocereals (quinoa, amaranth, and buckwheat) in food production: A review. Trends Food Sci. Technol. 2022, 125, 154–165. [Google Scholar] [CrossRef]
- Wang, J.; Sun, B.; Cao, Y.; Tian, Y. Protein glycation inhibitory activity of wheat bran feruloyl oligosaccharides. Food Chem. 2009, 112, 350–353. [Google Scholar] [CrossRef]
- Senevirathne, I.G.N.H.; Abeysekera, W.K.S.M.; Abeysekera, W.P.K.M.; Jayanath, N.Y.; Galbada Arachchige, S.P.; Wijewardana, D.C.M.S.I. Antiamylase, antiglucosidase, and antiglycation properties of millets and sorghum from Sri Lanka. Evid.-Based Complement. Altern. Med. 2021, 2021, 5834915. [Google Scholar] [CrossRef]
- Mesías, M.; Navarro, M.; Gökmen, V.; Morales, F.J. Antiglycative effect of fruit and vegetable seed extracts: Inhibition of AGE formation and carbonyl-trapping abilities. J. Sci. Food Agric. 2013, 93, 2037–2044. [Google Scholar] [CrossRef]
- Gökmen, V.; Serpen, A.; Fogliano, V. Direct measurement of the total antioxidant capacity of foods: The ‘QUENCHER’ approach. Trends Food Sci. Technol. 2009, 20, 278–288. [Google Scholar] [CrossRef]
- Morales, F.J.; Martin, S.; Açar, O.C.; Arribas-Lorenzo, G.; Gökmen, V. Antioxidant activity of cookies and its relationship with heat-processing contaminants: A risk/benefit approach. Eur. Food Res. Technol. 2009, 228, 345–354. [Google Scholar] [CrossRef]
- Abdel-Hameed, E.S.S. Total phenolic contents and free radical scavenging activity of certain Egyptian Ficus species leaf samples. Food Chem. 2009, 114, 1271–1277. [Google Scholar] [CrossRef]
- Houen, G. The solubility of proteins in organic solvents. Acta Chem. Scand. 1996, 50, 68–70. [Google Scholar] [CrossRef]
- Fan, Y.; Picchioni, F. Modification of starch: A review on the application of “green” solvents and controlled functionalization. Carbohydr. Polym. 2020, 241, 116350. [Google Scholar] [CrossRef]
- Wani, T.; Bakheit, A.; Al-Majed, A.R.; Bhat, M.; Zargar, S. Study of the interactions of bovine serum albumin with the new anti-inflammatory agent 4-(1,3-Dioxo-1,3-dihydro-2H-isoindol-2-yl)-N′-[(4-ethoxy-phenyl)methylidene]benzohydrazide using a multi-spectroscopic approach and molecular docking. Molecules 2017, 22, 1258. [Google Scholar] [CrossRef]
- Cianfruglia, L.; Morresi, C.; Bacchetti, T.; Armeni, T.; Ferretti, G. Protection of polyphenols against glyco-oxidative stress: Involvement of glyoxalase pathway. Antioxidants 2020, 9, 1006. [Google Scholar] [CrossRef]
- Reddy, V.P.; Beyaz, A. Inhibitors of the Maillard reaction and AGE breakers as therapeutics for multiple diseases. Drug Discov. Today 2006, 11, 646–654. [Google Scholar] [CrossRef]
- Chen, J.H.; Lin, X.; Bu, C.; Zhang, X. Role of advanced glycation end products in mobility and considerations in possible dietary and nutritional intervention strategies. Nutr. Metab. 2018, 15, 72. [Google Scholar] [CrossRef]
- Schalkwijk, C.; Stehouwer, C. Methylglyoxal, a highly reactive dicarbonyl compound, in diabetes, its vascular complications, and other age-related diseases. Physiol. Rev. 2020, 100, 407–461. [Google Scholar] [CrossRef]
- Thornalley, P.J. Dicarbonyl intermediates in the Maillard reaction. Ann. N. Y. Acad. Sci. 2005, 1043, 111–117. [Google Scholar] [CrossRef] [PubMed]
- Ramis, R.; Ortega-Castro, J.; Caballero, C.; Casasnovas, R.; Cerrillo, A.; Vilanova, B.; Adrover, M.; Frau, J. How does pyridoxamine inhibit the formation of advanced glycation end products? The role of its primary antioxidant activity. Antioxidants 2019, 8, 344. [Google Scholar] [CrossRef] [PubMed]
- Mesías, M.; Holgado, F.; Márquez-Ruiz, G.; Morales, F.J. Risk/benefit considerations of a new formulation of wheat-based biscuit supplemented with different amounts of chia flour. LWT Food Sci. Technol. 2016, 73, 528–535. [Google Scholar] [CrossRef]
- Park, S.; Do, M.; Lee, J.; Jeong, M.; Lim, O.; Kim, S. Inhibitory effect of arachis hypogaea (peanut) and its phenolics against methylglyoxal-derived advanced glycation end product toxicity. Nutrients 2017, 9, 1214. [Google Scholar] [CrossRef] [PubMed]
- Swara-Nowak, D.; Koutsidis, G.; Wiczkowski, W.; Zielinski, H. Evaluation of the in vitro inhibitory effects of buckwheat enhanced wheat bread extracts on the formation of advanced glycation end-products (AGEs). LWT Food Sci. Technol. 2014, 58, 327–334. [Google Scholar] [CrossRef]
- Ramkissoon, J.S.; Mahomoodally, M.F.; Ahmed, N.; Subratty, A.H. Antioxidant and anti-glycation activities correlates with phenolic composition of tropical medicinal herbs. Asian Pac. J. Trop. Med. 2013, 6, 561–569. [Google Scholar] [CrossRef]
- Lin, J.; Zhou, W. Role of quercetin in the physicochemical properties, antioxidant and antiglycation activities of bread. J. Funct. Foods 2018, 40, 299–306. [Google Scholar] [CrossRef]
- Zhou, Q.; Cheng, K.W.; Xiao, J.; Wang, M. The multifunctional roles of flavonoids against the formation of advanced glycation end products (AGEs) and AGEs-induced harmful effects. Trends Food Sci. Technol. 2020, 103, 333–347. [Google Scholar] [CrossRef]
- Shi, L.; Zhao, W.; Yang, Z.; Subbiah, V.; Suleria, H.A.R. Extraction and characterization of phenolic compounds and their potential antioxidant activities. Environ. Sci. Pollut. Res. Int. 2022, 29, 81112–81129. [Google Scholar] [CrossRef]
- Chung, C.P.; Hsia, S.M.; Chang, W.S.; Huang, D.W.; Chiang, W.C.; Ali, M.; Lee, M.Y.; Wu, C.H. Antiglycation effects of adlay seed and its active polyphenol compounds: An in vitro study. Molecules 2022, 27, 6729. [Google Scholar] [CrossRef]
- Colombo, R.; Paolillo, M.; Frosi, I.; Ferron, L.; Papetti, A. Effect of the simulated digestion process on the chlorogenic acid trapping activity against methylglyoxal. Food Funct. 2023, 14, 541–549. [Google Scholar] [CrossRef]
- Cao, X.; Xia, Y.; Zeng, M.; Wang, W.; He, Y.; Liu, J. Caffeic acid inhibits the formation of advanced glycation end products (AGEs) and mitigates the AGEs-induced oxidative stress and inflammation reaction in human umbilical vein endothelial cells (HUVECs). Chem. Biodivers. 2019, 16, e1900174. [Google Scholar] [CrossRef]
- Liu, J.L.; He, Y.L.; Wang, S.; He, Y.; Wang, W.Y.; Li, Q.J.; Ca, X.Y. Ferulic acid inhibits advanced glycation end products (AGEs) formation and mitigates the AGEs-induced inflammatory response in HUVEC cells. J. Funct. Foods 2018, 48, 19–26. [Google Scholar] [CrossRef]
- Yu, L.; Wang, J.; Zhang, N.; Yang, Y.; Guo, C.; Li, M. Inhibition of fluorescent advanced glycation end-products by ferulic acid and chlorogenic acid: A fluorescence spectroscopy and molecular docking study. Food Biosci. 2024, 58, 103790. [Google Scholar] [CrossRef]
- Umadevi, S.; Gopi, V.; Vellaichamy, E. Inhibitory effect of gallic acid on advanced glycation end products induced up-regulation of inflammatory cytokines and matrix proteins in H9C2 (2-1) cells. Cardiovasc. Toxicol. 2013, 13, 396–405. [Google Scholar] [CrossRef]
- Khan, M.S.; Alokail, M.S.; Alenad, A.M.H.; Altwaijry, N.; Alafaleq, N.O.; Alamri, A.M.; Zawba, M.A. Binding studies of caffeic and p-coumaric acid with α-amylase: Multispectroscopic and computational approaches deciphering the effect on advanced glycation end products (AGEs). Molecules 2022, 27, 3992. [Google Scholar] [CrossRef]
- Bhattacherjee, A.; Datta, A. Mechanism of antiglycating properties of syringic and chlorogenic acids in in vitro glycation system. Food Res. Int. 2015, 77, 540–548. [Google Scholar] [CrossRef]
- Liu, Y.; Cai, C.; Yao, Y.; Xu, B. Alteration of phenolic profiles and antioxidant capacities of common buckwheat and Tartary buckwheat produced in China upon thermal processing. J. Sci. Agric. 2019, 99, 5565–5576. [Google Scholar] [CrossRef]
- Sedej, I.; Mandić, A.; Sakač, M.; Mišan, A.; Tumbas, V. Comparison of antioxidant components and activity of buckwheat and wheat flours. Cereal Chem. 2010, 87, 387–392. [Google Scholar] [CrossRef]
- Goufo, P.; Trindade, H. Rice antioxidants: Phenolic acids, flavonoids, anthocyanins, proanthocyanidins, tocopherols, tocotrienols, γ-oryzanol, and phytic acid. Food Sci. Nutr. 2014, 2, 75–104. [Google Scholar] [CrossRef] [PubMed]
- Al-Juhaimi, F.; Erdem, A.; Ahmed, I.A.M.; Uslu, N.; Özcan, M.M.; Adiamo, O. Effect of roasting temperature on bioactive compounds, antioxidant activity, phenolic profile, chemical properties, and oil extraction method on fatty acids composition of chia (Salvia hispanica L.) seeds and oil. Food Measure 2024, 18, 3806–3819. [Google Scholar] [CrossRef]
- Wang, S.; Liu, G.; Xie, C.; Zhou, Y.; Yang, R.; Wu, J.; Xu, J.; Tu, K. Metabolomics analysis of different quinoa cultivars based on UPLC-ZenoTOF-MS/MS and investigation into their antioxidant characteristics. Plants 2024, 13, 240. [Google Scholar] [CrossRef] [PubMed]
- Cisneros-Yupanqui, M.; Lante, A.; Mihaylova, D.; Krastanov, A.I.; Vílchez-Perales, C. Impact of consumption of cooked red and black Chenopodium quinoa Willd. over blood lipids, oxidative stress, and blood glucose levels in hypertension-induced rats. Cereal Chem. 2020, 97, 1254–1262. [Google Scholar] [CrossRef]



| Sample Extract | Soluble Extract (%, w/w) | pH | ||
|---|---|---|---|---|
| Aqueous | Methanolic | Aqueous | Methanolic | |
| wheat | 10.5 ± 1.4 c | 7.8 ± 0.9 ab | 6.5 | 6.9 |
| rice | 12.5 ± 0.6 d | 7.2 ± 0.7 a | 6.7 | 7.7 |
| rye | 17.4 ± 0.6 e | 10.2 ± 1.9 c | 6.5 | 7.0 |
| quinoa | 16.8 ± 1.0 e | 10.4 ± 1.3 c | 6.4 | 7.2 |
| amaranth | 16.1 ± 3.4 e | 9.2 ± 1.3 bc | 6.6 | 7.4 |
| buckwheat | 15.6 ± 0.9 e | 9.0 ± 0.9 abc | 6.7 | 7.4 |
| chia | 25.6 ± 2.3 f | 11.1 ± 2.1 cd | 6.5 | 7.3 |
| Sample Extract | IC50 (mg/mL) | |
|---|---|---|
| Aqueous | Methanolic | |
| Wheat | 3.4 | 9.0 |
| Rice | 4.6 | 10.0 |
| Rye | 4.2 | 9.6 |
| Quinoa | 5.4 | 4.9 |
| Amaranth | 2.8 | 5.8 |
| Buckwheat | 0.3 | 9.4 |
| Chia | 9.6 | 11.8 |
| Sample Extract | FRAP (µmol TEAC/g) | ABTS (µmol TEAC/g) | TPC (mg GAE/g) | Flavonoids (mg/QE/g) |
|---|---|---|---|---|
| wheat | ||||
| aqueous | 29.7 ± 0.4 a | 128.6 ± 12.9 a | 5.2 ± 0.2 a | 0.7 ± 0.0 ab |
| methanolic | 43.2 ± 1.9 a | 191.1 ± 9.1 ab | 5.4 ± 0.1 a | 0.6 ± 0.0 ab |
| rice | ||||
| aqueous | 87.7 ± 5.8 d | 226.7 ± 11.9 bc | 8.0 ± 0.1 abc | 0.3 ± 0.0 a |
| methanolic | 148.9 ± 8.8 e | 212.3 ± 19.3 b | 10.1 ± 0.1 c | 1.8 ± 0.1 d |
| rye | ||||
| aqueous | 66.8 ± 2.0 bc | 113.1 ± 14.2 a | 5.2 ± 0.1 a | 0.7 ± 0.0 ab |
| methanolic | 48.1 ± 1.8 ab | 135.7 ± 11.7 a | 5.5 ± 0.1 a | 0.7 ± 0.0 ab |
| quinoa | ||||
| aqueous | 70.0 ± 4.9 cd | 159.6 ± 19.7 ab | 7.7 ± 0.2 abc | 2.8 ± 0.1 e |
| methanolic | 73.9 ± 5.8 cd | 178.8 ± 7.4 ab | 8.9 ± 0.2 bc | 4.7 ± 0.2 g |
| amaranth | ||||
| aqueous | 41.6 ± 0.6 a | 300.6 ± 23.4 d | 6.6 ± 0.1 ab | 0.8 ± 0.0 b |
| methanolic | 41.1 ± 1.0 a | 217.1 ± 11.9 bc | 7.6 ± 0.2 abc | 3.5 ± 0.1 f |
| buckwheat | ||||
| aqueous | 165.9 ± 1.6 e | 521.3 ± 36.2 e | 22.0 ± 4.1 e | 0.4 ± 0.0 a |
| methanolic | 297.7 ± 13.5 g | 684.2 ± 43.5 f | 28.9 ± 3.1 f | 1.4 ± 0.1 c |
| chia | ||||
| aqueous | 68.8 ± 5.9 cd | 190.0 ± 9.4 ab | 20.2 ± 0.4 de | 0.6 ± 0.1 ab |
| methanolic | 226.1 ± 6.7 f | 295.6 ± 16.8 cd | 16.4 ± 1.2 d | 0.7 ± 0.0 ab |
| BSA–Glc | BSA–MGO | |||
|---|---|---|---|---|
| Aqueous | Methanolic | Aqueous | Methanolic | |
| FRAP | r = 0.5984 p = 0.0010 | r = 0.8242 p < 0.0001 | r = 0.7355 p = 0.0010 | r = 0.9401 p < 0.0001 |
| ABTS | r = 0.4533 p = 0.0261 | r = 0.8389 p < 0.0001 | r = 0.5691 p = 0.0037 | r = 0.7229 p = 0.0002 |
| TPC | r = 0.8393 p < 0.0001 | r = 0.9529 p < 0.0001 | r = 0.6412 p = 0.0007 | r = 0.9124 p < 0.0001 |
| Sample Extract | CGA | pHB | SYN | VA | pCU | FA | GA | PCA | CA |
|---|---|---|---|---|---|---|---|---|---|
| wheat | |||||||||
| aqueous | ND | 50.0 ± 3.3 b | 5.4 ± 0.7 a | ND | 19.7 ± 0.5 a | 262.1 ± 9.6 e | ND | 24.0 ± 0.1 c | 14.4 ± 0.4 b |
| methanolic | ND | 63.1 ± 0.2 b | 16.3 ± 2.4 c | ND | 51.7 ± 1.7 c | 481.9 ± 19.7 g | ND | 40.7 ± 0.8 d | 49.0 ± 1.3 d |
| rice | |||||||||
| aqueous | ND | 194.2 ± 4.0 d | 17.7 ± 1.1 c | 5.1 ± 0.5 ab | 96.9 ± 1.9 e | 674.3 ± 11.1 i | ND | ND | 7.5 ± 0.5 a |
| methanolic | ND | 318.0 ± 0.8 f | 18.7 ± 0.0 c | ND | 191.1 ± 0.8 g | 1218.7 ± 15.0 k | ND | 6.7 ± 0.4 ab | 39.4 ± 0.8 cd |
| rye | |||||||||
| aqueous | 13.3 ± 0.6 b | 33.4 ± 0.8 ab | 29.5 ± 0.6 d | 8.0 ± 0.4 b | 56.3 ± 0.1 cd | 551.6 ± 2.5 h | ND | 9.7 ± 0.4 b | 15.8 ± 0.3 b |
| methanolic | 5.6 ± 0.2 a | 33.4 ± 0.1 ab | 17.8 ± 0.0 c | 3.7 ± 0.3 a | 93.2 ± 3.2 e | 630.0 ± 15.1 i | ND | 5.8 ±0.3 a | 47.8 ± 1.6 d |
| quinoa | |||||||||
| aqueous | ND | 200.3 ± 13.4 d | 7.1 ± 0.5 a | ND | 231.4 ± 11.8 h | 464.3 ± 35.7 g | ND | 8.9 ± 0.9 b | 14.9 ± 0.7 b |
| methanolic | ND | 261.1 ± 20.9 e | ND | ND | 364.5 ± 42.9 i | 802.2 ± 124.0 j | ND | ND | 34.5 ± 2.6 c |
| amaranth | |||||||||
| aqueous | ND | 539.3 ± 5.5 g | 4.2 ± 0.2 a | ND | 17.2 ± 0.2 a | 73.6 ± 1.71 c | 5.7 ± 0.0 a | ND | 11.3 ± 1.0 ab |
| methanolic | ND | 732.1 ± 11.2 h | ND | ND | 26.9 ± 0.3 b | 140.8 ± 2.3 d | ND | 7.7 ± 0.2 b | 22.9 ± 4.9 bc |
| buckwheat | |||||||||
| aqueous | 28.1 ± 0.3 c | 126.1 ± 2.3 c | 11.6 ± 0.7 b | 71.7 ± 2.1 c | 60.4 ± 2.2 d | 20.7 ± 0.5 a | 48.3 ± 0.3 b | ND | 85.3 ± 3.6 e |
| methanolic | 185.4 ± 2.3 d | 434.7 ± 25.1 | 187.1 ± 9.7 f | ND | 132.8 ± 5.2 f | 47.3 ± 1.0 b | 90.6 ± 1.0 c | 4.6 ± 0.3 a | 89.4 ± 2.4 e |
| chia | |||||||||
| aqueous | 219.2 ± 16.7 e | 26.9 ± 0.1 a | 16.1 ± 0.7 c | ND | 31.9 ± 1.1 b | 147.8 ± 6.4 d | ND | 40.6 ± 1.5 d | 1485.4 ± 77.1 f |
| methanolic | 25.0 ± 1.3 c | 48.1 ± 5.4 b | 45.1 ± 2.3 e | ND | 64.2 ± 6.6 d | 301.9 ± 28.3 f | ND | 72.3 ± 4.7 e | 4017.2 ± 323.4 g |
Disclaimer/Publisher’s Note: The statements, opinions and data contained in all publications are solely those of the individual author(s) and contributor(s) and not of MDPI and/or the editor(s). MDPI and/or the editor(s) disclaim responsibility for any injury to people or property resulting from any ideas, methods, instructions or products referred to in the content. |
© 2024 by the authors. Licensee MDPI, Basel, Switzerland. This article is an open access article distributed under the terms and conditions of the Creative Commons Attribution (CC BY) license (https://creativecommons.org/licenses/by/4.0/).
Share and Cite
Mesías, M.; Holgado, F.; Olombrada, E.; Morales, F.J. In Vitro Bioactivities of Cereals, Pseudocereals and Seeds: Assessment of Antiglycative and Carbonyl-Trapping Properties. Appl. Sci. 2024, 14, 5684. https://doi.org/10.3390/app14135684
Mesías M, Holgado F, Olombrada E, Morales FJ. In Vitro Bioactivities of Cereals, Pseudocereals and Seeds: Assessment of Antiglycative and Carbonyl-Trapping Properties. Applied Sciences. 2024; 14(13):5684. https://doi.org/10.3390/app14135684
Chicago/Turabian StyleMesías, Marta, Francisca Holgado, Elena Olombrada, and Francisco José Morales. 2024. "In Vitro Bioactivities of Cereals, Pseudocereals and Seeds: Assessment of Antiglycative and Carbonyl-Trapping Properties" Applied Sciences 14, no. 13: 5684. https://doi.org/10.3390/app14135684
APA StyleMesías, M., Holgado, F., Olombrada, E., & Morales, F. J. (2024). In Vitro Bioactivities of Cereals, Pseudocereals and Seeds: Assessment of Antiglycative and Carbonyl-Trapping Properties. Applied Sciences, 14(13), 5684. https://doi.org/10.3390/app14135684

