Application of Dimension Extending Technique to Unified Hardening Model
Abstract
1. Introduction
2. Introduction to the UH Model and Transformed Stress
2.1. UH Model
2.2. Transformed Stress Method
3. Incremental Constitutive Integration
3.1. Mixed Complementarity Problems
3.2. GSPC Algorithm
3.3. The Dimension-Extending Technique and Constitutive Integration
3.3.1. Description of MiCP with Approximate Elastic Properties (AEP)
3.3.2. The MiCP with Exact Elastic Properties (EEP)
3.3.3. Jacobean Matrix
3.4. The Constitutive Integral of the UH Model under Different Paths
4. Numerical Examples
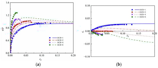
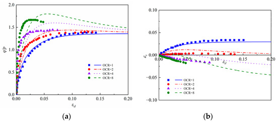
4.1. Verification of Different Stress Paths
4.1.1. Undrained Path
4.1.2. Drain Path
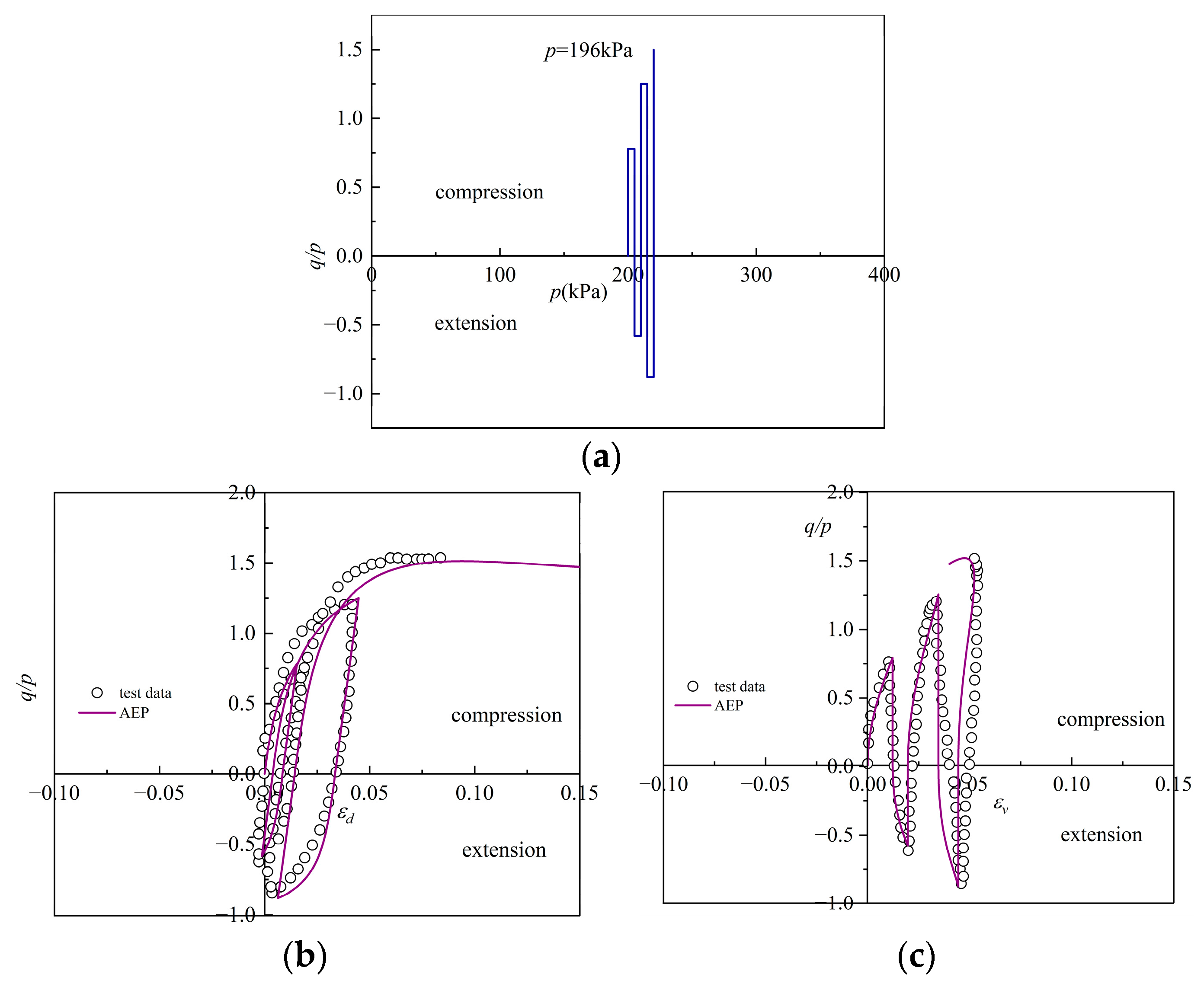
4.1.3. Cyclical Loading
4.1.4. True Triaxial Test
4.1.5. Complex Loading Conditions
4.2. Element Validation
4.3. Undrained Vertical Compressive Capacity of Pile
4.4. Circular Foundation
5. Conclusions
Author Contributions
Funding
Institutional Review Board Statement
Informed Consent Statement
Data Availability Statement
Conflicts of Interest
Appendix A
| GSPC can be invoked in the following way: |
| is the initial iteration value of . and are handle functions. |
| Step 0: Let = = 1; = 0; |
| Step 1: ; |
| ; |
| if and |
| then ; ; break; |
| ; |
| while //1* |
| ; |
| ; |
| ; |
| end(while); |
| ; |
| while |
| ; ; |
| ; |
| end(while); |
| ; |
| ; ; //2* |
| if then ; //3* |
| ; |
| ; ; |
| if then ; |
| Step 2. ; go to Step 1. |
| //1*, //2*, //3*, according to He’s [18] suggestion, |
| , , . |
References
- Roscoe, K.H.; Burland, J.B. On the generalized stress-strain behavior of wet clays. Géotechnique 1968, 10, 535–609. [Google Scholar]
- Borja, R.I.; Lee, S.R. Cam-clay plasticity, part I: Implicit integration of elasto-plastic constitutive relations. Comput. Methods Appl. Mech. Eng. 1990, 78, 49–72. [Google Scholar] [CrossRef]
- Wood, D.M. Soil Behaviour and Critical State Soil Mechanics; Cambridge University Press: Cambridge, UK, 1990. [Google Scholar]
- Atkinson, J.H.; Bransby, P.L. The Mechanics of Soils: An Introduction to Critical State Soil Mechanics; McGRAW W-HILL Book Company (UK) Limited: Berkshire, UK, 1978. [Google Scholar]
- Dafalias, Y.F. Bounding surface plasticity. I: Mathematical foundation and hypoplasticity. J. Eng. Mech. 1986, 112, 966–987. [Google Scholar] [CrossRef]
- Lade, P.V. Elasto-plastic stress-strain theory for cohesionless soil with curved yield surfaces. Int. J. Solids Struct. 1977, 13, 1019–1035. [Google Scholar] [CrossRef]
- Yao, Y.P.; Hou, W.; Zhou, A.N. Uh mode; Three-dimensional unified hardening model for overconsolidated clays. Géotechnique 2009, 59, 451–469. [Google Scholar] [CrossRef]
- Hashiguchi, K. Subloading surface model in unconventional plasticity. Int. J. Plasticity 1989, 25, 917–945. [Google Scholar] [CrossRef]
- Anandarajah, A. Computational Methods in Elasticity and Plasticity; Springer: New York, NY, USA, 2010. [Google Scholar]
- Potts, D.M.; Zdravkovic, L. Finite Element Analysis in Geotechnical Engineering-Theory; Thomas Telford Publishing: London, UK, 1999. [Google Scholar]
- Sheng, D.; Sloan, S.W.; Yu, H.S. Aspects of finite element implementation of critical state models. Comput. Mech. 2000, 26, 185–196. [Google Scholar] [CrossRef]
- Simo, J.C.; Taylor, R.L. Consistent tangent operators for rate-independent elastoplasticity. Comput. Methods Appl. Mech. Eng. 1985, 48, 101–118. [Google Scholar] [CrossRef]
- Bicanic, N.; Pearce, C.J. Computational aspects of a softening plasticity model for plain concrete. Mech. Cohesive-Frict. Mater. 1996, 1, 75–94. [Google Scholar] [CrossRef]
- Ortiz, M.; Simo, J.C. An analysis of a new class of integration algorithms for elastoplastic constitutive relations. Int. J. Numer. Methods Eng. 1986, 23, 353–366. [Google Scholar] [CrossRef]
- Simo, J.C.; Ortiz, M. A unified approach to finite deformation elastoplastic analysis based on the use of hyperelastic constitutive equations. Comput. Methods Appl. Mech. Eng. 1985, 49, 221–245. [Google Scholar] [CrossRef]
- Simo, J.C.; Hughes, T.J.R. Computational Inelasticity; Springer: New York, NY, USA, 1998. [Google Scholar]
- Huang, J.S.; Griffiths, D.V. Return mapping algorithms and stress predictors for failure analysis in geomechanics. J. Eng. Mech. 2009, 135, 276–284. [Google Scholar] [CrossRef]
- He, B.S. A class of projection and contraction methods for monotone variational inequalities. Appl. Math. Opt. 1997, 35, 69–76. [Google Scholar] [CrossRef]
- Zheng, H.; Zhang, T.; Wang, Q.S. The mixed complementarity problem arising from non-associative plasticity with non-smooth yield surfaces. Comput. Methods Appl. Mech. Eng. 2020, 361, 112756. [Google Scholar] [CrossRef]
- Zheng, H.; Chen, Q. Dimension extending technique for constitutive integration of plasticity with hardening–softening behaviors. Comput. Methods Appl. Mech. Eng. 2022, 394, 114833. [Google Scholar] [CrossRef]
- Matsuoka, H.; Sun, D. The Smp Concept-Based 3D Constitutive Models for Geomaterials; Taylor & Francis: London, UK, 2006. [Google Scholar]
- Yao, Y.P.; Luo, T.; Sun, D.A.; Hajime, M. A simple 3-D constitutive model for both clay and sand. Chin. J. Geotech. Eng. 2002, 24, 240–246. [Google Scholar]
- Yao, Y.P.; Wang, N.D. Transformed stress method for generalizing soil constitutive models. J. Eng. Mech. 2014, 140, 614–629. [Google Scholar] [CrossRef]
- Matsuoka, H.; Yao, Y.P.; Sun, D.A. The cam-clay models revised by the SMP criterion. Soils Found. 1999, 39, 81–95. [Google Scholar] [CrossRef]
- Yao, Y.P.; Sun, D.A. Application of lade’s criterion to cam-clay model. J. Eng. Mech. 2000, 126, 112–119. [Google Scholar] [CrossRef]
- Facchinei, F.; Pang, J.S. Finite-Dimensional Variational Inequalities and Complementarity Problems-Volume I; Springer Series in Operations Research; Springer: New York, NY, USA, 2003. [Google Scholar]
- Zheng, H.; Zhang, P.; Du, X.L. Dual form of discontinuous deformation analysis. Comput. Methods Appl. Mech. Eng. 2016, 135, 276–284. [Google Scholar] [CrossRef]
- Tian, D.S.; Zheng, H. A three-dimensional elastoplastic constitutive model for geomaterials. Appl. Sci. 2023, 13, 5746. [Google Scholar] [CrossRef]
- Trapp, M.; Öchsner, A. Computational Plasticity for Finite Elements: A Fortran-Based Introduction; Springer International Publishing AG: Gewerbestrasse, Switzerland, 2018. [Google Scholar]
- Wei, S.M.; Li, Y.; Cui, Z.D. Application of closest point projection method to unified hardening model. Comput. Geotech. 2021, 133, 104064. [Google Scholar] [CrossRef]
- Zhang, F. Computational Soil Mechanics; China Communications Press: Beijing, China, 2007. (In Chinese) [Google Scholar]
- Nakai, T.; Hinokio, M. A simple elastoplastic model for normally and over consolidated soils with unified material parameters. Soils Found. 2004, 44, 53–70. [Google Scholar] [CrossRef]
- Luo, T.; Yao, Y.P.; Hou, W. Soil Constitutive Models; China Communications Press: Beijing, China, 2010. (In Chinese) [Google Scholar]


















| λ | κ | ν | e0 | M |
|---|---|---|---|---|
| 0.24 | 0.045 | 0.2 | 1.27 | 0.898 |
| λ | κ | ν | e0 | M |
|---|---|---|---|---|
| 0.1046 | 0.0231 | 0.3 | 0.915 | 1.36 |
| λ | κ | ν | e0 | M |
|---|---|---|---|---|
| 0.095504 | 0.008836 | 0.3 | 0.88 | 1.3636 |
| λ | κ | ν | e0 | M | γ’ (kN/m3) | k (m/s) |
|---|---|---|---|---|---|---|
| 0.2 | 0.04 | 0.35 | 2.0 | 1.2 | 8 | 1 × 10−7 |
| λ | κ | ν | e0 | M |
|---|---|---|---|---|
| 0.015 | 0.003 | 0.35 | 1.008 | 1.19 |
Disclaimer/Publisher’s Note: The statements, opinions and data contained in all publications are solely those of the individual author(s) and contributor(s) and not of MDPI and/or the editor(s). MDPI and/or the editor(s) disclaim responsibility for any injury to people or property resulting from any ideas, methods, instructions or products referred to in the content. |
© 2024 by the authors. Licensee MDPI, Basel, Switzerland. This article is an open access article distributed under the terms and conditions of the Creative Commons Attribution (CC BY) license (https://creativecommons.org/licenses/by/4.0/).
Share and Cite
Chen, Q.; Zheng, H.; Tian, D. Application of Dimension Extending Technique to Unified Hardening Model. Appl. Sci. 2024, 14, 5677. https://doi.org/10.3390/app14135677
Chen Q, Zheng H, Tian D. Application of Dimension Extending Technique to Unified Hardening Model. Applied Sciences. 2024; 14(13):5677. https://doi.org/10.3390/app14135677
Chicago/Turabian StyleChen, Qian, Hong Zheng, and Dongshuai Tian. 2024. "Application of Dimension Extending Technique to Unified Hardening Model" Applied Sciences 14, no. 13: 5677. https://doi.org/10.3390/app14135677
APA StyleChen, Q., Zheng, H., & Tian, D. (2024). Application of Dimension Extending Technique to Unified Hardening Model. Applied Sciences, 14(13), 5677. https://doi.org/10.3390/app14135677
