Industry Foundation Class-Based Building Information Modeling Lightweight Visualization Method for Steel Structures
Abstract
1. Introduction
2. Research Background
2.1. Research Progress on the BIM Server
2.2. Approaches to IFC Information Extraction and Storage
2.3. BIM Lightweight Visualization Methods
3. Scope and Methodology
3.1. Scope
3.2. Methodology
4. Technical Analysis
4.1. IFC Information Extraction and Storage
4.2. Redundancy Removal of Component Geometry Information
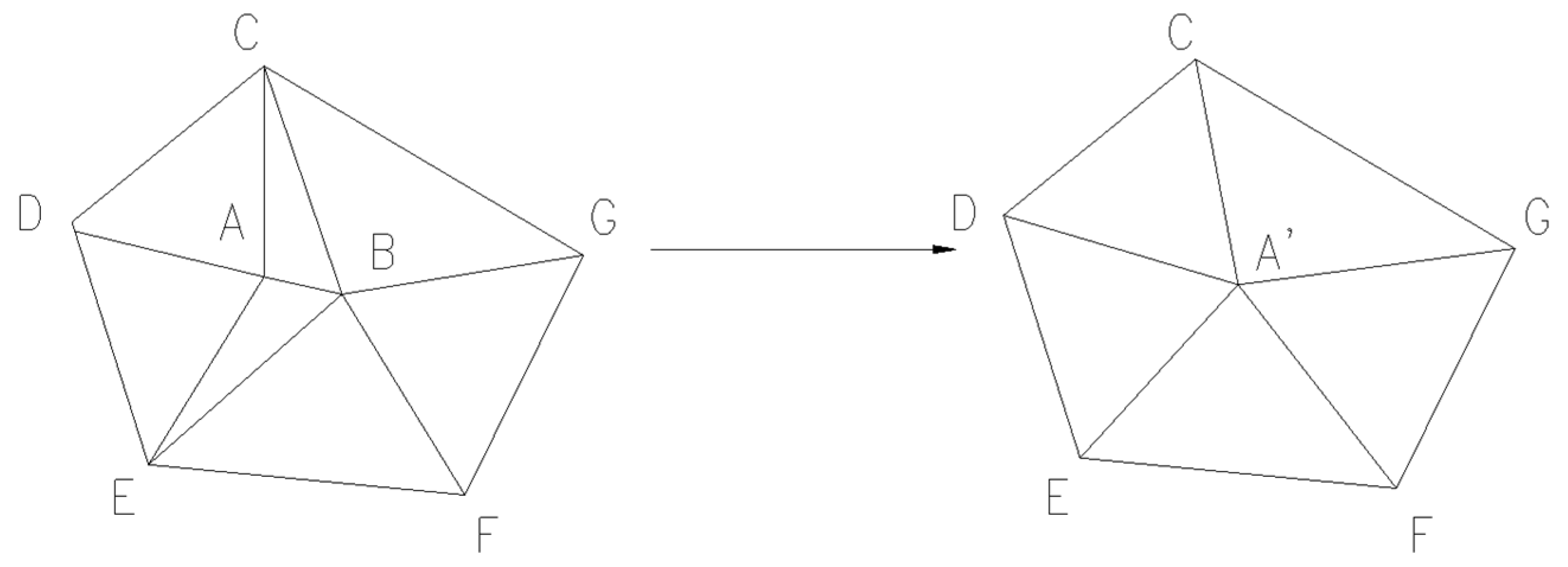
4.2.1. Geometry Alignment
4.2.2. Redundancy Removal
4.3. LOD Model Loading
- (1)
 - Minimum vertex principle: minimize the number of model vertices under the given error limit.
 - (2)
 - Minimum error principle: minimize the error between the generated model and the original one under the given simplification rate.
 
- (1)
 - Calculate the error associated with each edge and create the minimum heap.
 - (2)
 - Take out the edge with the smallest error, and then fold the edge. To decrease the error, place the new vertex, modify the error of the new edge, and adjust the minimum heap.
 - (3)
 - Repeat the process until the user requirements are met or the minimum heap is empty.
 
- (1)
 - Find the shortest edge denoted as E (V1, V2), which needs to be folded.
 - (2)
 - In the vertex array, delete the two vertices, V1 and V2, and add the midpoint V3 of vertices V1 and V2 into the vertex array.
 - (3)
 - In the edge heap, delete edge E (V1, V2) and replace edges E (V1, …) and E (V2, …) with E (V3, …).
 - (4)
 - In the patch array, delete t patch F (V1, V2, …) and replace patches F (V1, …, …) and F (V2, …, …) with F (V3, …, …). Since the minimum heap can only support the deletion of the top element, the deletion of the second type of edge is implemented by lazy deletion.
 
5. System Implementation
5.1. IFC Information Extraction and Storage
5.2. Redundancy Removal of Component Geometry Information
5.3. LOD Model Loading
5.4. Static Rendering Technology
6. Experimental Verification
6.1. System Performance
6.2. System Application
7. Conclusions
- (1)
 - Several techniques of information extraction and storage based on IFC files were proposed. Because of the coupled IFC Tree, the complete extraction and lossless storage of building information from the IFC files seriously burden the network transmission. This study proposed several techniques to extract and decouple the geometric and semantic information of components from IFC files. Then, the spatial relationship and geometric information of components were stored in the form of files and cached on the client side, significantly reducing the overhead of database storage and network transmission.
 - (2)
 - An approach for the redundancy removal of component geometry information was proposed. Because of the large number of similar components in BIM models of steel structures, if the components with the same shape are not specially processed, the processing efficiency of geometry information and the performance of model visualization will be greatly affected. This study proposed an approach combining the PCA algorithm and the Hausdorff-based comparison algorithm to extract the geometric information and remove redundancy in the back end. Additionally, the models are cached in the front end, and the redundant instances are merged when rendering. Thus, the lightweight transmission and highly efficient display of BIM models can be reached.
 - (3)
 - A loading mechanism of multi-level LOD models was presented. In the BIM models of steel structures, there are beams and columns with larger geometric dimensions, as well as bolts, gusset plates, and welds with small dimensions. Different applied functions and observed positions require different display accuracy. Based on the edge collapsing algorithm, this study presented a loading mechanism of multi-level LOD models, which can be customized by users, significantly improving the display efficiency of models in coarse-grained visualization.
 
Author Contributions
Funding
Institutional Review Board Statement
Informed Consent Statement
Data Availability Statement
Acknowledgments
Conflicts of Interest
References
- Lacey, A.W.; Chen, W.; Hao, H.; Bi, K. Structural response of modular buildings—An overview. J. Build. Eng. 2018, 16, 45–56. [Google Scholar] [CrossRef]
 - Zhou, T.; Sun, K.; Chen, Z.; Yang, Z.; Liu, H. Automated optimum design of light steel frame structures in Chinese rural areas using building information modeling and simulated annealing algorithm. Sustainability 2023, 15, 9000. [Google Scholar] [CrossRef]
 - Laefer, D.F.; Truong-Hong, L. Toward automatic generation of 3D steel structures for building information modelling. Autom. Constr. 2017, 74, 66–77. [Google Scholar] [CrossRef]
 - Kineber, A.F.; Othman, I.; Famakin, I.O.; Oke, A.E.; Hamed, M.M.; Olayemi, T.M. Challenges to the implementation of building information modeling (BIM) for sustainable construction projects. Appl. Sci. 2023, 13, 3426. [Google Scholar] [CrossRef]
 - Feng, H.; Kassem, M.; Greenwood, D.; Doukari, O. Whole building life cycle assessment at the design stage: A BIM-based framework using environmental product declaration. Int. J. Build. Pathol. Adapt. 2022, 41, 109–142. [Google Scholar] [CrossRef]
 - Matarneh, S.T.; Danso-Amoako, M.; Al-Bizri, S.; Gaterell, M.; Matarneh, R. Building information modeling for facilities management: A literature review and future research directions. J. Build. Eng. 2019, 24, 100755. [Google Scholar] [CrossRef]
 - Charef, R.; Emmitt, S.; Alaka, H.; Fouchal, F. Building Information Modelling adoption in the European Union: An overview. J. Build. Eng. 2019, 25, 100777. [Google Scholar] [CrossRef]
 - Olugboyega, O. Differential relationships in the BIM implementation process in a developing country: The role of essential BIM implementation strategies. Eng. Constr. Archit. Manag. 2023, 3. [Google Scholar] [CrossRef]
 - Eastman, C.; Teicholz, P.; Sacks, R.; Liston, K. BIM Handbook: A Guide to Building Information Modeling for Owners, Managers, Designers, Engineers and Contractors, 2nd ed.; Wiley: New York, NY, USA, 2011. [Google Scholar]
 - Etabs 21.1.0, Computer Software; Computers and Structures, Inc.: Walnut Creek, CA, USA, 2023.
 - Midas Gen 2023, Computer Software; MIDAS Information Technology Co., Ltd.: Gyeongbuk, Republic of Korea, 2023.
 - Tekla 2022, Computer Software; Trimble Co.: Espoo, Finland, 2022.
 - Chen, Z.; Chen, L.; Zhou, X.; Huang, L.; Sandanayake, M.; Yap, P.-S. Recent technological advancements in BIM and LCA integration for sustainable construction: A review. Sustainability 2024, 16, 1340. [Google Scholar] [CrossRef]
 - BIMserver. Open Building Information Model Server. Available online: https://bimserver.org (accessed on 20 April 2024).
 - xBIM. xBIM Toolkit. Available online: https://docs.xbim.net (accessed on 20 April 2024).
 - Xu, Z.; Zhang, L.; Li, H.; Lin, Y.H.; Yin, S. Combining IFC and 3D tiles to create 3D visualization for building information modeling. Autom. Constr. 2020, 109, 102995. [Google Scholar] [CrossRef]
 - Zhou, X.; Wang, J.; Guo, M.; Gao, Z. Cross-platform online visualization system for open BIM based on WebGL. Multimed. Tools Appl. 2019, 78, 28575–28590. [Google Scholar] [CrossRef]
 - Wang, Y.; He, X.; He, J. Virtual trial assembly of steel structure based on BIM platform. Autom. Constr. 2022, 141, 104395. [Google Scholar] [CrossRef]
 - Zhou, M.; Wang, J.; Yu, B.; Chen, K. A quality management method for prefabricated building desig n based on BIM and VR-integrated technology. Appl. Sci. 2024, 14, 1635. [Google Scholar] [CrossRef]
 - Jorgensen, K.A.; Skauge, J.; Christiansson, P.; Svidt, K.; Sørensen, K.B.; Mitchell, J. Use of IFC Model Servers Modeling Collaboration Possibilities in Practice. Available online: https://adk.elsevierpure.com/ws/files/74831/ReportIfcModelServer-Final.pdf (accessed on 20 April 2024).
 - Jotne, I. EDMmodelServer (ifc). Available online: https://jotneconnect.com/products/edmmodelservermanager (accessed on 20 April 2024).
 - Ayman, H.M.; Mahfouz, S.Y.; Alhady, A. Integrated EDM and 4D BIM-based decision support system for construction projects control. Buildings 2022, 12, 315. [Google Scholar] [CrossRef]
 - Revit 2023, Computer Software; Autodesk, Inc.: San Rafael, CA, USA, 2023.
 - Bentley STAAD.Pro 2023, Computer Software; Bentley Systems, Incorporated: Exton, PA, USA, 2023.
 - BIMcloud. BIM Server-Online Collaboration Tool for Architects & Engineers. Available online: https://www.graphisoft.com/bim-server (accessed on 20 April 2024).
 - Zhang, S.; Pan, F.; Wang, C.; Sun, Y.; Wang, H. BIM-based collaboration platform for the management of EPC projects in hydropower engineering. J. Constr. Eng. Manag. 2017, 143, 04017087. [Google Scholar] [CrossRef]
 - Ma, Z.; Zhang, D.; Li, J. A dedicated collaboration platform for Integrated Project Delivery. Autom. Constr. 2018, 86, 199–209. [Google Scholar] [CrossRef]
 - Rahimian, F.P.; Chavdarova, V.; Oliver, S.; Chamo, F. OpenBIM-Tango integrated virtual showroom for offsite manufactured production of self-build housing. Autom. Constr. 2019, 102, 1–16. [Google Scholar] [CrossRef]
 - Park, J.; Cai, H.; Dunston, P.S.; Ghasemkhani, H. Database-supported and web-based visualization for daily 4D BIM. J. Constr. Eng. Manag. 2017, 143, 04017078. [Google Scholar] [CrossRef]
 - Ma, Z.; Liu, Z. Ontology- and freeware-based platform for rapid development of BIM applications with reasoning support. Autom. Constr. 2018, 90, 1–8. [Google Scholar] [CrossRef]
 - Xu, Z.; Zhang, Y.; Xu, X. 3D visualization for building information models based upon IFC and WebGL integration. Multimed. Tools Appl. 2016, 75, 17421–17441. [Google Scholar] [CrossRef]
 - Bourahla, N.; Tafraout, S.; Bourahla, Y.; Sereir-El-Hirtsi, A.; Skoudarli, A. GA based design automation and optimization of earthquake resisting CFS structures in a BIM environment. Structures 2022, 43, 1334–1341. [Google Scholar] [CrossRef]
 - Morshed, S.A.; Lv, X.; Tanvir, R.B. Network-based information extraction from IFC files to support intelligent BIM companion (iBcom) technology. In Proceedings of the ASCE Construction Research Congress, College Avenue Commons, Tempe, AZ, USA, 8 March 2020; pp. 427–435. [Google Scholar] [CrossRef]
 - Yu, Y.; Kim, S.; Jeon, H.; Koo, B. A systematic review of the trends and advances in IFC schema extensions for BIM interoperability. Appl. Sci. 2023, 13, 12560. [Google Scholar] [CrossRef]
 - Sibenik, G.; Kovacic, I. Assessment of model-based data exchange between architectural design and structural analysis. J. Build. Eng. 2020, 32, 101589. [Google Scholar] [CrossRef]
 - Du, X.; Gu, Y.; Yang, N.; Yang, F. IFC file content compression based on reference relationships. J. Comput. Civ. Eng. 2020, 34, 04020012. [Google Scholar] [CrossRef]
 - Artus, M.; Alabassy, M.S.H.; Koch, C. A BIM based framework for damage segmentation, modeling, and visualization using IFC. Appl. Sci. 2022, 12, 2772. [Google Scholar] [CrossRef]
 - Khalili, A.; Chua, D.K.H. IFC-based graph data model for topological queries on building elements. J. Comput. Civ. Eng. 2015, 29, 04014046. [Google Scholar] [CrossRef]
 - Zhu, J.; Wang, X.; Wang, P.; Wu, Z.; Kim, M.J. Integration of BIM and GIS: Geometry from IFC to shapefile using open-source technology. Autom. Constr. 2019, 102, 105–119. [Google Scholar] [CrossRef]
 - Afsari, K.; Eastman, C.M.; Castro-Lacouture, D. JavaScript Object Notation (JSON) data serialization for IFC schema in web-based BIM data exchange. Autom. Constr. 2017, 77, 24–51. [Google Scholar] [CrossRef]
 - Chen, H.M.; Chang, K.C.; Lin, T.H. A cloud-based system framework for performing online viewing, storage, and analysis on big data of massive BIMs. Autom. Constr. 2016, 71, 34–48. [Google Scholar] [CrossRef]
 - Solihin, W.; Eastman, C.; Lee, Y.C.; Yang, D.H. A simplified relational database schema for transformation of BIM data into a query-efficient and spatially enabled database. Autom. Constr. 2017, 84, 367–383. [Google Scholar] [CrossRef]
 - World Wide Web Consortium (W3C). OWL Web Ontology Language Reference. Available online: https://www.w3.org/TR/owl-ref/ (accessed on 28 May 2024).
 - Cohen-Or, D.; Chrysanthou, Y.L.; Silva, C.T.; Durand, F. A survey of visibility for walkthrough applications. IEEE Trans. Vis. Comput. Graph. 2003, 9, 412–431. [Google Scholar] [CrossRef]
 - Mattausch, O.; Bittner, J.; Wimmer, M. CHC++: Coherent hierarchical culling revisited. Comput. Graph. Forum 2008, 27, 221–230. [Google Scholar] [CrossRef]
 - Terry, J.; Stantic, B. Indexing method for multidimensional vector data. Comput. Sci. Inf. Syst. 2013, 10, 1077–1104. [Google Scholar] [CrossRef][Green Version]
 - Liu, T.; Chaudhuri, S.; Kim, V.G.; Huang, Q.; Mitra, N.J.; Funkhouser, T. Creating consistent scene graphs using a probabilistic grammar. ACM Trans. Graph. 2014, 33, 1–12. [Google Scholar] [CrossRef]
 - Xia, J.C.; El-Sana, J.; Varshney, A. Adaptive real-time level-of-detail based rendering for polygonal models. IEEE Trans. Vis. Comput. Graph. 1997, 3, 171–183. [Google Scholar] [CrossRef]
 - Leite, F.; Akcamete, A.; Akinci, B.; Atasoy, G.; Kiziltas, S. Analysis of modeling effort and impact of different levels of detail in building information models. Autom. Constr. 2011, 20, 601–609. [Google Scholar] [CrossRef]
 - Sun, J.; Liu, Y.S.; Gao, G.; Han, X.G. IFCCompressor: A content-based compression algorithm for optimizing Industry Foundation Classes files. Autom. Constr. 2015, 50, 1–15. [Google Scholar] [CrossRef]
 - Liu, X.; Xie, N.; Tang, K.; Jia, J. Lightweighting for Web3D visualization of large-scale BIM scenes in real-time. Graph. Models 2016, 88, 40–56. [Google Scholar] [CrossRef]
 - Hu, Z.Z.; Yuan, S.; Benghi, C.; Zhang, J.P.; Kassem, M. Geometric optimization of building information models in MEP projects: Algorithms and techniques for improving storage, transmission and display. Autom. Constr. 2019, 107, 102941. [Google Scholar] [CrossRef]
 - Bouaziz, S.; Tagliasacchi, A.; Pauly, M. Sparse iterative closest point. Comput. Graph. Forum 2013, 32, 113–123. [Google Scholar] [CrossRef]
 - East, E.W.; Nisbet, N.; Liebich, T. Facility management handover model view. J. Comput. Civ. Eng. 2013, 27, 61–67. [Google Scholar] [CrossRef]
 - Lee, Y.C.; Shariatfar, M.; Ghannad, P.; Zhang, J.; Lee, J.K. Generation of entity-based integrated model view definition modules for the development of new BIM data exchange standards. J. Comput. Civ. Eng. 2020, 34, 04020011. [Google Scholar] [CrossRef]
 - Liu, H.; Gao, G.; Zhang, H.; Liu, Y.S.; Song, Y.; Gu, M. MVDLite: A fast validation algorithm for Model View Definition rules. Adv. Eng. Inform. 2023, 58, 102132. [Google Scholar] [CrossRef]
 - Sellers, G.; Wright, R.S.; Haemel, N. OpenGL SuperBible: Comprehensive Rutorial and Reference, 7th ed.; Addison-Wesley Professional: Redding, MA, USA, 2015. [Google Scholar]
 - buildingSMART. Industry Foundation Classes (IFC)—An Introduction. Available online: https://technical.buildingsmart.org/standards/ifc/ (accessed on 20 April 2024).
 - Jolliffe, I.T. Principal Component Analysis, 2nd ed.; Springer: New York, NY, USA, 2002. [Google Scholar]
 - Besl, P.J.; McKay, N.D. A method for registration of 3-D shapes. IEEE Trans. Pattern Anal. Mach. Intell. 1992, 14, 239–256. [Google Scholar] [CrossRef]
 - Huttenlocher, D.P.; Klanderman, G.A.; Rucklidge, W.J. Comparing images using the Hausdorff distance. IEEE Trans. Pattern Anal. Mach. Intell. 1993, 15, 850–863. [Google Scholar] [CrossRef]
 - Clark, J.H. Hierarchical geometric models for visible-surface algorithms. Commun. ACM 1976, 19, 547–554. [Google Scholar] [CrossRef]
 - Cohen, J.; Varshney, A.; Manocha, D.; Turk, G.; Weber, H.; Agarwal, P.; Brooks, F.; Wright, W. Simplification envelopes. In Proceedings of the 23rd Annual Conference on Computer Graphics and Interactive Techniques, Association for Computing Machinery, New York, NY, USA, 1 August 1996; pp. 119–128. [Google Scholar] [CrossRef]
 - Schroeder, W.J.; Zarge, J.A.; Lorensen, W.E. Decimation of triangle meshes. SIGGRAPH Comput. Graph. 1992, 26, 65–70. [Google Scholar] [CrossRef]
 - Rossignac, J.; Borrel, P. Multi-Resolution 3D Approximations for Rendering Complex Scenes; Modeling in Computer Graphics; Springer: Berlin, Germany, 1993; pp. 455–465. [Google Scholar] [CrossRef]
 - Hamann, B. A data reduction scheme for triangulated surfaces. Comput. Aided Geom. Des. 1994, 11, 197–214. [Google Scholar] [CrossRef]
 - Kalvin, A.D.; Taylor, R.H. Superfaces: Polygonal mesh simplification with bounded error. IEEE Comput. Graph. Appl. 1996, 16, 64–77. [Google Scholar] [CrossRef]
 - Garland, M.; Heckbert, P.S. Surface simplification using quadric error metrics. In Proceedings of the 24th Annual Conference on Computer Graphics and Interactive Techniques; ACM Press/Addison-Wesley Publishing Co.: New York, NY, USA, 1997; pp. 209–216. [Google Scholar] [CrossRef]
 - IfcOpenShell. The Open Source ifc Toolkit and Geometry Engine. Available online: https://ifcopenshell.org/ (accessed on 20 April 2024).
 - glTF. Runtime 3D Asset Delivery. Available online: https://www.khronos.org/gltf/ (accessed on 20 April 2024).
 - IFC Engine. The Fastest and the Most Flexible Solution to Support IFC. Available online: http://rdf.bg/product-list/ifc-engine/ (accessed on 20 April 2024).
 
















| Model Category | IFC File Size | Number of Instances in IFC File | Number of Properties | Number of Relationships | 
|---|---|---|---|---|
| Model 1 | 15.4 MB | 29,178 | 8777 | 13,483 | 
| Model 2 | 46.4 MB | 39,335 | 9649 | 13,941 | 
| Model 3 | 61.8 MB | 112,897 | 24,460 | 44,668 | 
| Model Type | Geometry File Size | Geometry Conversion Time (s) | FPS | Memory Footprint (MB) | Drawcall Times | Redundancy Elimination Rate | 
|---|---|---|---|---|---|---|
| Model 1 | 18.2 | 8.22 | 38 | 330.6 | 698 | 24,310/25,008 = 97.21% | 
| Model 2 | 57.9 | 29.57 | 29 | 568.4 | 2249 | 32,789/35,038 = 93.58% | 
| Model 3 | 57.8 | 28.00 | 33 | 517.5 | 1307 | 91,379/92,686 = 98.59% | 
| Model Type | Length of Folded Edge (mm) | Instances | Vertices | Patches | |||
|---|---|---|---|---|---|---|---|
| Number | Simplification Rate | Number | Simplification Rate | Number | Simplification Rate | ||
| Model 1 | 0 | 25,008 | --- | 7,670,758 | --- | 4,673,856 | --- | 
| 10 | 20,247 | 19.04% | 3,017,113 | 60.67% | 890,839 | 80.94% | |
| 50 | 14,039 | 43.86% | 519,794 | 93.22% | 74,574 | 98.40% | |
| Model 2 | 0 | 35,038 | --- | 19,967,939 | --- | 11,843,427 | --- | 
| 10 | 35038 | 0.00% | 11,648,350 | 41.66% | 3,645,642 | 69.22% | |
| 50 | 20,488 | 41.53% | 560,056 | 97.20% | 141,657 | 98.80% | |
| Model 3 | 0 | 92,686 | --- | 19,171,744 | --- | 11,554,938 | --- | 
| 10 | 59,889 | 35.39% | 7,787,798 | 59.38% | 2,521,562 | 78.18% | |
| 50 | 36,764 | 60.33% | 817,754 | 95.73% | 209,202 | 98.19% | |
Disclaimer/Publisher’s Note: The statements, opinions and data contained in all publications are solely those of the individual author(s) and contributor(s) and not of MDPI and/or the editor(s). MDPI and/or the editor(s) disclaim responsibility for any injury to people or property resulting from any ideas, methods, instructions or products referred to in the content.  | 
© 2024 by the authors. Licensee MDPI, Basel, Switzerland. This article is an open access article distributed under the terms and conditions of the Creative Commons Attribution (CC BY) license (https://creativecommons.org/licenses/by/4.0/).
Share and Cite
Sun, Z.; Wang, C.; Wu, J. Industry Foundation Class-Based Building Information Modeling Lightweight Visualization Method for Steel Structures. Appl. Sci. 2024, 14, 5507. https://doi.org/10.3390/app14135507
Sun Z, Wang C, Wu J. Industry Foundation Class-Based Building Information Modeling Lightweight Visualization Method for Steel Structures. Applied Sciences. 2024; 14(13):5507. https://doi.org/10.3390/app14135507
Chicago/Turabian StyleSun, Zhiguo, Chen Wang, and Jie Wu. 2024. "Industry Foundation Class-Based Building Information Modeling Lightweight Visualization Method for Steel Structures" Applied Sciences 14, no. 13: 5507. https://doi.org/10.3390/app14135507
APA StyleSun, Z., Wang, C., & Wu, J. (2024). Industry Foundation Class-Based Building Information Modeling Lightweight Visualization Method for Steel Structures. Applied Sciences, 14(13), 5507. https://doi.org/10.3390/app14135507
        