You are currently viewing a new version of our website. To view the old version click .
Applied Sciences
  • Article
  • Open Access

24 June 2024

A Waveform and Velocity Ambiguity Resolution Method for Corner Radar

,
,
and
College of Information Science and Technology, Nanjing Forestry University, Nanjing 210037, China
*
Author to whom correspondence should be addressed.
This article belongs to the Special Issue Development and Applications of Microwave/Millimeter Wave Diagnostics in Industry, 2nd Edition

Abstract

Millimeter-wave radar is experiencing an increasing demand for higher resolution and elevation measurement, necessitating its evolution from 3D millimeter-wave radar systems to 4D millimeter-wave radar. Unlike front automotive radar, corner radar is particularly interested in close-range targets. This article proposes a composite waveform tailored for automotive corner radar, employing different waveform schemes for various distances. This allows millimeter-wave angle radar to achieve superior range resolution and velocity resolution in the close and medium ranges. However, enhancing velocity resolution inevitably results in a reduction in the maximum unambiguous velocity. Consequently, a velocity ambiguity resolution method based on target parameter matching for front and rear frames is proposed to address this issue. The feasibility of the composite waveform and method are verified through simulation. Finally, a radar designed with the ALPS PRO chip is employed to test the designed waveform and velocity ambiguity resolution method, yielding results that are largely consistent with the simulation outcomes. The findings indicate a notable enhancement in resolution for medium distances ranging from 60 to 100 m when employing the proposed waveform. Moreover, the velocity ambiguity resolution method effectively resolves velocity ambiguity, leading to enhanced accuracy in velocity measurements. This suggests that the composite waveform and algorithm are well suited for current automotive angle radar applications.

1. Introduction

In the context of the dynamic and diverse driving environments encountered in everyday use, automotive millimeter-wave radar must swiftly and accurately furnish essential information regarding vehicles and pedestrians, including their distance, velocity, and azimuth, placing stringent demands on millimeter-wave radar technology [1]. While traditional 3D millimeter-wave radar typically measures these parameters, the contemporary 4D millimeter-wave radar, gaining popularity, incorporates elevation measurement, thereby furnishing more comprehensive target information and bolstering driving safety. Moreover, the provided target information can be leveraged to support autonomous driving initiatives.
In comparison to pulse radar systems, FMCW (Frequency Modulated Continuous Wave) [2] radar exhibits a shorter detection range; however, for automotive radar applications, a maximum detection range of 200–300 m suffices [3]. FMCW radar boasts high resolution and minimal blind zones, rendering it extensively utilized in automotive radar systems [4]. Additionally, MIMO (Multiple-Input Multiple-Output) [5] technology finds widespread application in the design of automotive radar antenna arrays, enabling the enhancement of virtual aperture within constrained physical dimensions and meeting resolution requirements [6,7].
Xiong proposed an engineering variable velocity disambiguation method based on staggered repetition frequency [8]. Reference [9] provided three engineering velocity disambiguation algorithms, utilizing the CRT (Chinese Remainder Theorem) [10] to resolve velocity ambiguities through energy matching, as well as a velocity disambiguation method based on Doppler phase offset compensation. Y. Wang proposed a stepped chirp design aimed at enhancing range resolution [11]. While the literature has demonstrated success in disambiguating target velocity, reference [8] is applicable solely to single-transmitter and multiple-receiver radar systems and is not compatible with the prevalent multi-transmitter and multiple-receiver radar systems. The target matching method outlined in reference [9] is effectively applicable in TI’s first-generation TDMA (Time Division Multiple Access) radar; however, for DDMA (Doppler Division Multiple Access) transmission systems, TI (Texas Instruments) offers only one method in its subsequent product lines. The waveform described in reference [11] can enhance resolution without necessitating bandwidth expansion but introduces complex motion phase compensation challenges [12,13]. Furthermore, this waveform generation method necessitates chip hardware support, which is currently available from TI and NXP (NXP Semiconductors) but remains unattainable for Chinese automotive radar chips.
This paper builds upon FMCW radar technology within the framework of TDMA-MIMO [14] and introduces a multi-mode waveform tailored specifically for corner radar systems featuring four transmitters and four receivers. Additionally, the paper presents a corresponding velocity ambiguity resolution method. Notably, this methodology extends its applicability to radars operating under the DDMA system and has been validated using the Alps pro chip. Alps Pro is a radar chip launched by Calterah at the end of 2022.

2. Materials and Methods

Presently, TDMA modulation dominates the automotive radar market; however, chip manufacturers are transitioning towards developing chips equipped with DDMA modulation, signaling the forthcoming prominence of DDMA [15] in the next generation. The widespread adoption of DDMA antennas notably enhances radar detection range. Channel separation in DDMA is facilitated through adjustments in the transmitter phase across different transmitter antennas via phase shifters. Notably, prior to azimuth estimation, channel separation is unnecessary, allowing range and velocity estimation under DDMA to reference the TDMA method. Moreover, the velocity ambiguity resolution method proposed in this paper remains effective for velocity estimation under DDMA.
Under the assumption of radar stationarity and a target moving toward the radar at velocity v, Figure 1 illustrates the time–frequency relationship between the transmit and receive signals [16].
Figure 1. FMCW radar transmitting and receiving signal model.
B represents the chirp transmit bandwidth, Tc denotes the chirp period, f0 signifies the center frequency, τ0 represents the echo time delay, fd denotes the Doppler frequency, and Ts stands for the sampling time length. The FM slope, denoted as μ, is expressed as the ratio of B to Tu, where Tu signifies the rising edge time. The received and transmitted signals undergo mixing and filtering processes to yield the intermediate frequency (IF) signal fIF:
f I F = 2 μ r c 2 v f 0 c = μ τ 0 f d
The repetition frequency is denoted as PRF, where PRF equals 1 divided by Tc. The input frequency for the FFT (Fast Fourier Transform) is FD. Consequently, the range of fd spans from −FD/2 to FD/2. In scenarios where the object’s velocity exceeds the permissible range, resulting in fd falling outside this interval, velocity ambiguity arises. In such cases, the Doppler frequency is denoted as fD:
f D = f d + k · 1 T c = f d + k · F D ,   k Z , f d F D 2 , F D 2
where k represents the ambiguous multiple. Additionally, there exists the following relationship between the radar’s range resolution ΔR, maximum unambiguous range Rmax, velocity resolution ΔV, and maximum unambiguous velocity Vmax [17]:
R = c 2 B
R m a x = R · N r F F T
V = λ 2 N d F F T · T c
V m a x = N d F F T 2 · V = λ 4 T c
NrFFT denotes the number of range FFT points, while NdFFT represents the number of velocity FFT points. Equation (6) illustrates the positive correlation between Vmax and ΔV. Typically, the waveform duration is initially determined based on the desired velocity resolution. However, it often fails to satisfy the requirements for maximum unambiguous velocity. For instance, when Tc = 40 μs (f0 = 76.5 GHz), Vmax is limited to 88 km/h, which may not align with the scene’s demands, necessitating the restoration of true velocity. Moreover, Rmax and ΔR exhibit a positive correlation, with resolution often being sacrificed to detect targets at further distances, while higher resolution is prioritized for nearby targets. Consequently, a single waveform may not suffice for all range modes.
The prevailing automotive radar systems currently encompass three modes: short-range radar (SRR), middle-range radar (MRR), and long-range radar (LRR). SRR typically operates within a range of less than 60 m, MRR covers approximately 100 m, and LRR spans distances generally exceeding 200 m [18]. The waveform configuration for multi-mode operation is depicted in Figure 2, where “R&P” denotes receiving and processing. Assuming a frame period of 50 ms, and with two modes’ waveforms configured within a single frame, all three modes can be accommodated within two frames.
Figure 2. Waveform configuration in multiple modes.
The waveform parameters can be determined by referring to Figure 3. The practical bandwidth and frame length are formulated based on the system’s demand for velocity resolution (ΔV) and range resolution (ΔR). NrFFT is calculated according to Rmax. Ts is determined based on the sampling rate Fs, and the FM slope μ is derived. The frame length, represented by the number of chirps in a frame (NdFFT), is determined considering that each chirp comprises the rising edge, descending edge, and delay time. Finally, the transmit bandwidth is determined by the utilization ratio.
Figure 3. Chirp parameter design process.
Corner radar necessitates superior range resolution compared to front radar due to its specific operational requirements. Consequently, this paper presents a waveform tailored specifically for corner radar, with detailed parameters outlined in Table 1.
Table 1. 4T4R corner radar waveform parameters.
Corner radar primarily serves the purpose of detecting the side and oblique front areas of the vehicle, facilitating functionalities such as lane change assistance and parking assistance. For parking applications, where the radar operates predominantly in ultra-close range and low-velocity scenarios, a high-resolution waveform is provided in this paper. This waveform utilizes a large bandwidth to cater to the specific requirements of parking scenarios.
To simplify the description of the velocity disambiguation method discussed later in the paper, the waveform envelope only illustrates the relationship along the time axis. Leveraging the concept of the Chinese Remainder Theorem, this paper proposes a matching method termed AB waveform disambiguation, based on dual-frequency waveforms. This method utilizes information from frames preceding and succeeding the target point to determine range, velocity, and azimuth information.

3. AB Wave Velocity Ambiguity Resolution Method

If N groups of chirp repetition periods are denoted as {T1, T2, T3, …, TN}, the repetition frequency PRF can be represented as {F1: F2: F3: …: FN} = {K1: K2: K3: …: KN}, where K1, K2, K3, …, KN are mutually prime positive integers. The target Doppler frequencies of different repetition cycle waveforms can be derived from Equation (2) as
f D = f d 1 + k 1 · F 1 ,   f D = f d 2 + k 2 · F 2 , , f D = f d N + k N · F N
where k1, k2, k3, …, kN represent the ambiguous multiples corresponding to different cycles. According to the Chinese Remainder Theorem, the maximum ambiguous multiples that can be resolved for these N sets of waveforms is the product of k1, k2, k3, …, kN. In this paper, two different repetition period waveforms are considered, as depicted in Figure 4.
Figure 4. AB wave velocity ambiguity resolution.
The repetition frequency of the AB waveform, denoted as FA: FB = TB: TA = KA: KB, aligns with a machine cycle based on MMIC chips set at 50 ms. Consequently, the frame length is also set to 50 ms. The method employed for velocity ambiguity resolution involves alternating between frames, disambiguating the next frame based on the unambiguous velocity information obtained from the preceding frame, and continuing this process alternately.
In contrast to the TI energy matching method, this approach hinges on the successful matching of target parameters estimated by the AB waveform to establish relationships for eliminating velocity ambiguity.
The detection set of the AB waveform in detecting the target is represented by TarsetA and TarsetB, comprising data such as range, velocity, azimuth, and signal-to-noise ratio. TarsetA is further divided into TarsetA_S (points successfully matched) and TarsetA_F (points failed to match), while TarsetB undergoes similar division into TarsetB_S and TarsetB_F.
The maximum unambiguous velocities corresponding to the Doppler frequency of the AB wave are denoted as VmaxA and VmaxB, respectively. The ambiguous multiple, denoted as k, ranges from −m to m, where m represents the maximum ambiguous multiple. The true velocity of the target, denoted as V′, is expressed as
V = V + k · V m a x , k m , m
At a given moment t, where wave A represents the previous frame and wave B denotes the current frame, the points detected in frame B are categorized into TarsetB_S if they are successfully matched with the points from frame A. Conversely, if the points fail to match, they are grouped into TarsetB_F. Similarly, frame A also consists of two subsets: TarsetA_S and TarsetA_F, following the disambiguation process of the preceding frame.
The current disambiguation process is as follows:
(1)
Perform range prediction for the points in TarsetA.
After TarsetA is disambiguated by the previous frame, yielding the ambiguous multiple kA, the original ambiguous velocity VA, and the range RA, the range R′A of the target in the next frame is predicted, and the subset is updated accordingly. Then, the unambiguous velocities V′A and R′A are calculated as follows:
V A = V A + k A · V m a x A , R A = R A + V A · T A
(2)
Primary target matching based on A:
Using TarsetA_S as a reference, the target points are sought within TarsetB, with the matching condition defined by Equation (10). If the match is successful, the points in B are classified into TarsetB_S, and the corresponding kB is recorded. In cases of failure, the points are categorized into TarsetB_F. Similarly, points in TarsetA_S that fail to find a match are grouped into TarsetA_F. The matching conditions are as follows:
V B i = V B + k i · V m a x B T H R = R A R B < T h R 1 T H V i = V A V B i < T h V 1 T H θ = | θ A θ   B | < T h 1 A 1 T H S = S N R A S N R B < T h S 1 k B = a r g m i n i a 1 × T H R + a 2 × T H V i + a 3 × T H + a 4 × T H S i = 1 2 m + 1
where ki is within the range of [−m, m]. RB represents the range estimated by wave B, V′Bi denotes the corresponding velocity in wave B when the ambiguous multiple is ki, and THVi signifies the velocity difference between V′Bi and the true velocity. θA and θB denote the target azimuth estimated by the AB waveform. THR, THθ, and THS represent the range difference, azimuth difference, and SNR difference of AB waveform estimation, respectively. ThR1, ThV1, ThA1, and ThS1 are the range threshold, velocity threshold, azimuth threshold, and SNR threshold of the first matching. a1, a2, a3, and a4 are the weighting coefficients assigned to the corresponding parameters, which may be adjusted based on the estimation quality of azimuth and energy to bias towards other parameters.
(3)
A-based secondary target matching:
Utilizing TarsetA_F as the reference, search within TarsetB_F. If the matching is successful, the points in TarsetB_F are classified into TarsetB_S, and the corresponding kB is recorded. The conditions are as follows:
V B i = V B + k i · V m a x B V A j = V A + k j · V m a x A R A j = R A + V A j · T A T H R = R A j R B < T h R 2 T H V i j = V A j V B i < T h V 2 T H θ = | θ A θ   B | < T h A 2 T H S = S N R A S N R B < T h S 2 k B = a r g m i n i a 1 × T H R + a 2 × T H V i j + a 3 × T H + a 4 × T H S i = 1 2 m + 1 , j = 1 2 m + 1
where ki and kj range from −m to m. THVij represents the velocity difference between the estimates from wave B (ki) and wave A (kj).
(4)
B-based primary target matching:
Search within TarsetA_S using TarsetB_F as the reference. If the match is successful, the points in TarsetB_F are classified into TarsetB_S, and kB is recorded according to the following conditions:
V B i = V B + k i · V m a x B T H R = R A R B < T h R 3 T H V i = V A V B i < T h V 3 T H θ = | θ A θ   B | < T h A 3 T H S = S N R A S N R B < T h S 3 k B = a r g m i n i a 1 × T H R + a 2 × T H V i + a 3 × T H + a 4 × T H S i = 1 , , 2 m
where THVi represents the velocity difference between wave B (ki) and the true velocity.
(5)
Secondary target matching based on B:
Utilizing TarsetB_S as the reference, search within TarsetB_F. If the match is successful, the points in TarsetB_F are classified into TarsetB_S, and kB is recorded. The conditions are as follows:
R B S R B F < T h R 4 V B S V B F < T h V 4 θ B S θ B F < T h A 4 S N R B S S N R B F < T h S 4
The range of TarsetB_S is denoted as RBS, and the range of TarsetB_F is denoted as RBF.
The target matching process of the AB waveform is depicted in Figure 5.
Figure 5. AB wave matching flowchart.
The final output TarsetB_S represents the set of target points along with their corresponding kB values, and the true velocity of these target points can be obtained using Equation (8). At this stage, all the ambiguous velocity points in wave B are resolved. Subsequently, the velocity ambiguity of wave A in the next frame after wave B is addressed using the method, and this process continues iteratively, continuously updating the information about the target points.

4. Simulation Experimental Verification

To design the AB waveform to expand the maximum velocity after meeting the velocity resolution and calculate the Vmax and ΔV of the A and B waves, simulation follows these steps:
Designing the AB waveform: Determine the waveform parameters, such as bandwidth, frame length, and modulation scheme, to meet the requirements for expanding the maximum velocity while ensuring sufficient velocity resolution.
Calculating Vmax and ΔV: Use the designed waveform parameters to calculate the maximum unambiguous velocity (Vmax) and velocity resolution (ΔV) for both the A and B waves. To simulate the waveform parameters in LRR mode with a frame period of 50 ms, the configured parameters are detailed in Table 2.
Table 2. Simulation waveform parameters.
Simulation targets are as follows. T1: Positioned at 160 m to simulate the maximum detection distance for corner radar in LRR mode. T2: Set at 105 m, slightly beyond the detection range of 100 m for MRR mode. Its velocity is positive, indicating proximity to the radar. T3: Placed at 60 m, representing the maximum detection distance for SRR mode. Its velocity is negative, indicating movement away from the radar.
The velocity ambiguous multiples are set to 0, 1, and 2. To mitigate the impact of velocity on observations at the ambiguous boundary, they are adjusted to 1.1 times and 2.2 times the maximum unambiguous velocity.
The specific parameters of distance, velocity, and azimuth for the simulation targets are shown in Table 3. These targets are strategically positioned at the intersection of different distance modes to simulate critical points where signal processing complexities are often encountered. This approach allows for a comprehensive evaluation of radar data processing performance.
Table 3. Simulation target parameters.
In accordance with Figure 4, a frame of the A wave and a frame of the B wave are transmitted, respectively. Combined with the target parameters in Table 2, the echo signal is generated. Subsequently, the two frames of chirp are processed, and before disambiguation, the AB wave was plotted. Figure 6 shows the peak index, Figure 7 shows the distance velocity map, and Figure 8 shows the CFAR map, (a) shows A wave, and (b) shows B wave. Velocity ambiguity does not occur in T1, whereas velocity ambiguity is observed in the two frames of T2 and T3 in the AB waveform.
Figure 6. Peak index of AB wave. (a) Peak index of A wave. (b) Peak index of B wave.
Figure 7. Range Doppler spectrum of AB wave. (a) Range Doppler spectrum of A wave. (b) Range Doppler spectrum of B wave.
Figure 8. CFAR spectrum of AB wave. (a) CFAR spectrum of A wave. (b) CFAR spectrum of B wave.
The process can be decomposed into the following solution steps:
  • Ambiguous Multiple Determination: Based on the successful disambiguation of the A wave in the previous frame of wave B, the corresponding ambiguous multiple kA is the output. For T1, T2, and T3, the ambiguous multiples are 0, −1, and 1, respectively.
  • Velocity Derivation in A Wave: Utilizing the indexes of the target parameters in the Constant False Alarm Rate (CFAR) of frame A, the velocities of the three targets (T1, T2, and T3) in the A wave are derived as 0 m/s, −30.2685 m/s, and 70.254 m/s, respectively.
  • Range Prediction in the B Wave: The ranges of the targets in wave B are predicted based on the velocities derived in the A wave. For T1, T2, and T3, the predicted ranges are 159.079 m, 103.882 m, and 65.0916 m, respectively.
  • Comparison with Actual B-Wave Output: The actual output of RB (range) and VB (velocity) from the B-wave CFAR is compared with the predicted range R’A of the A wave. If the difference between RB and R’A is less than 2 range bin, it is initially considered to correspond to the same target.
  • Velocity Comparison and Adjustment: Subsequently, the velocities of each fuzzy multiple corresponding to VB are calculated and compared with VA. If the difference between the two velocities is less than 4 doppler bin, it is considered the true velocity corresponding to the B-wave target point, and the fuzzy multiple kB is the output.
  • Iteration for Unmatched Points: If the above conditions are not met, a re-match is performed with other points until all points that meet the conditions are found. The corresponding kB for all points is then output, concluding the B-wave disambiguation process.
According to Table 4, in the B wave, the target T2 corresponds to the target point in the A wave when the velocity ambiguous multiple of T2 is −1. Similarly, when the ambiguous multiple of T3 is 2, it can be successfully matched with the one in the A wave. The ambiguous multiple k of the corresponding velocity with the unambiguous velocity is output after the target is successfully matched. When performing target matching based on the current frame, the threshold value can be set slightly larger than that of the previous frame when the target is matched to prevent matching omission. The final AB wave deblurring simulation results are shown in Figure 9.
Table 4. Simulation result of AB wave matching.
Figure 9. Velocity after disambiguation.
When simulating the velocity disambiguation algorithm in this article, only the waveform of LRR mode was used for simulation to simplify the description of the algorithm. Simulation utilizes data after a constant false alarm rate (CFAR), which enhances the velocity of data processing. The three simulation targets are all selected at the junction of the three waveforms, but due to the use of a single waveform, simulation will not encounter significant difficulties. Matching distance and velocity using a single waveform is more consistent with real-world scenarios.
If composite waveforms are used, a more appropriate approach would be to place velocity disambiguation after tracking. This involves adding more matching information, such as angle, signal-to-noise ratio (SNR), etc. This approach would provide more reliable results in complex situations but would consume more computing resources.
The experiment utilized a radar designed by the Alps Pro chip to verify the waveform and velocity ambiguity resolution method. The Alps Pro chip supports DDMA transmission mode, with a maximum support of 4T4R (4 transmitters and 4 receivers). The road test scenario was selected at Nameless Road in Nanjing, which is a semi-closed road that is relatively safe and will not interfere with traffic. The corner radar (uncovered) was installed at a 45° corner in the left rear direction of the main vehicle, as illustrated in Figure 10. Since this article does not involve antenna layout, array layout information is not displayed.
Figure 10. (a) Test scenario. (b) Test radar.
The maximum unambiguous velocity represents the radial velocity of the target towards the radar. However, corner radars primarily detect lateral oncoming vehicles, meaning the direction of the target’s movement is often not radial. As a result, even when the actual vehicle velocity exceeds the maximum unambiguous velocity, the mapping to the radial velocity may still not become ambiguous. This phenomenon leads to an increase in the unambiguous range due to the change in direction, posing significant difficulties for testing.
To address this challenge and ensure the safety and feasibility of the experimental verification, the method Tc was set to 42 μs. This adjustment successfully verified the unambiguous method in an operable experimental environment. However, it is important to note that there is a slight difference between the set parameters and those listed in Table 4. Due to the increase in Tc, the maximum unambiguous velocity during actual testing decreased from 27.2 m/s to 23.3 m/s.
During the experiment, the main vehicle was parked at one end of the open road, and the target vehicle accelerated from a distance towards the vicinity of the main vehicle. Upon entering the radar detection range, the distance was calculated. As the target vehicle approached the safe braking point, braking was initiated. At this point, the target vehicle reached its maximum velocity and gradually decelerated to 0 m/s. The radar detection data is illustrated in Figure 11a, Figure 12a, Figure 13a, Figure 14a.
To ensure the authenticity of the radar data verified in the experiment, a mature commercial radar was also installed in the right rear of the vehicle during testing. This radar served as a comparative reference for validating the algorithm. The test results of the mature radar were utilized as a reliable source for extracting information from the target vehicle. The algorithm validation radar is referred to as the validation radar, while the mature radar is known as the comparative radar. The test results of the comparative radar are displayed in Figure 11b, Figure 12b, Figure 13b, Figure 14b.
Figure 11 illustrates the motion trajectory of the target in the radar coordinate system, specifically capturing the trajectory of the target near its maximum velocity.
Figure 11. Test target trajectory. (a) Validation radar. (b) Comparative radar.
Figure 12 displays the relationship between target distance and energy. The energy points detected and returned by the two radars for the target vehicle closely match, fluctuating within a reasonable range.
Figure 12. Results of range–power. (a) Validation radar. (b) Comparative radar.
Figure 13 depicts the relationship between distance and match points. As the distance increases, the number of points for the two radars gradually decreases from multiple to one. Considering the low signal-to-noise ratio at longer distances, the results fall within a reasonable range.
Figure 13. Results of range-matched points. (a) Validation radar. (b) Comparative radar.
Figure 14 displays the velocity and distance results of the target vehicle. From Figure 14b, it can be observed that the target reached a maximum velocity of 27.5 m/s at around 67 m, which exceeds the unambiguous velocity range of the validation radar. However, upon examining the results in Figure 14a, it was found that the target did not experience velocity blur. Instead, it reached a maximum velocity of 27.4 m/s at around 67 m, which closely matches the test results of the comparative radar. The error is within an acceptable range.
The velocity disambiguation algorithm proposed in this article has been successfully validated on corner radar and demonstrates a certain degree of accuracy.
Figure 14. Results of range–velocity. (a) Validation radar. (b) Comparative radar.
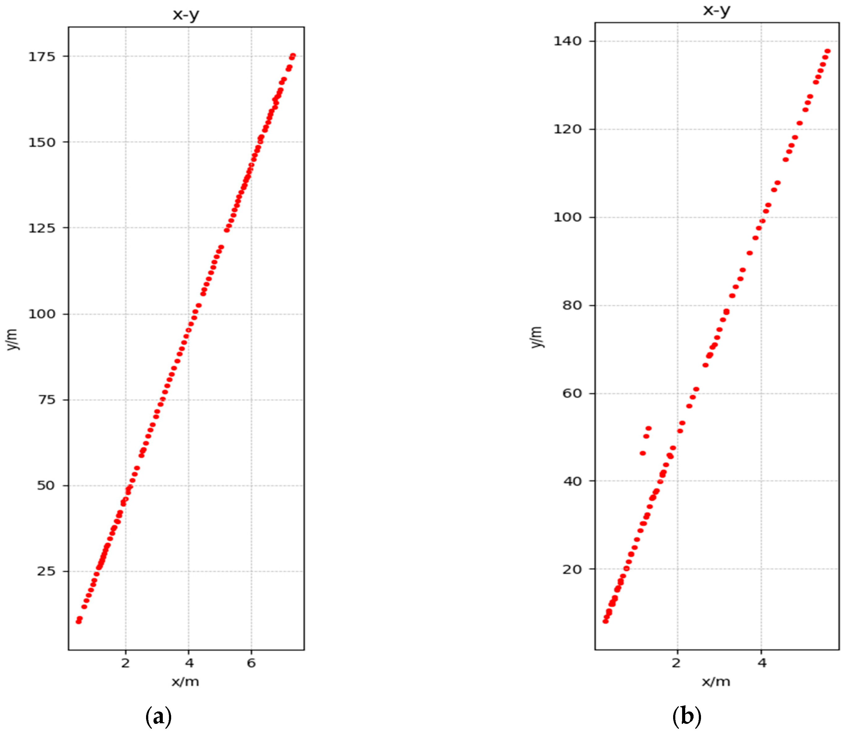
Testing different radar configurations involved installing two identical radars: one configured with composite waveforms and the other with single LRR mode waveforms. These radars were positioned on the left and right rear of the main vehicle, respectively. The target vehicle approached the main vehicle at a uniform low velocity from the rear. Test data were recorded, and stable detection points were captured, as illustrated in Figure 15, Figure 16, Figure 17, Figure 18 and Figure 19.
Figure 15 displays the motion trajectory of the target vehicle in different coordinate systems. The red and green lines represent the motion trajectory in the radar coordinate system, while the gray line represents the motion trajectory in the main vehicle coordinate system. Within the range of 60 m to 100 m, the target points of multi-mode waveforms are notably denser compared to those of single-mode waveforms. This suggests that the resolution of multi-mode waveforms at medium distances is superior to that of single-mode waveforms. The limited difference within the 60 m range may be attributed to the high energy of the target vehicle and the dense target points, resulting in less obvious distinctions. Similarly, the long-range performance of LRR mode waveforms used beyond 120 m exhibits similarity.
Figure 15. Trajectories of different waveforms. (a) Multi mode. (b) Single mode.
Figure 16 demonstrates that both schemes were tested using the same CFAR threshold, resulting in similar energy levels of the target points at different distances. This conformity meets the detection expectations.
Figure 16. Range–power of different waveforms. (a) Multi mode. (b) Single mode.
Figure 17 illustrates the results of distance and match points. Within the 80–140 m range, the higher resolution of multi-mode waveforms results in fewer missing points compared to single-mode waveforms.
Figure 17. Range-matched points of different waveforms. (a) Multi mode. (b) Single mode.
Figure 18 and Figure 19 illustrate the correlation among distance, velocity, and angle. Upon comparing the results depicted in Figure 18, a notable disparity in the measurements of target velocity between the two radar systems is observed. This variance could likely be attributed to road curvature and potential discrepancies in radial velocity mapping arising from variations in installation locations. Conversely, the angle measurement outcomes presented in Figure 19 demonstrate fundamental consistency.
Figure 18. Range–velocity of different waveforms. (a) Multi mode. (b) Single mode.
Figure 19. Range–azimuth of different waveforms. (a) Multi mode. (b) Single mode.

5. Conclusions

This article proposes a FMCW MIMO single-frame multi-mode radar waveform and design concept by studying the common transmission methods and waveforms of automotive millimeter wave radar. Compared with intra-frame single waveforms, it better balances detection distance and resolution and makes the detection of nearby targets more accurate. A target parameter matching based AB wave velocity ambiguity resolution method is also proposed for the velocity ambiguity problem of this waveform, which solves the velocity ambiguity problem under high velocity resolution and can also adapt to future mainstream DDMA transmission modes. The reference waveform configuration and unambiguation method presented in this article have also been experimentally validated based on the Alps Pro radar chip, proving that this method is suitable for automotive radars in current engineering.

Author Contributions

Conceptualization, Y.L. and D.Z.; methodology, Y.L.; validation, Y.L., S.W. and J.L.; formal analysis, D.Z.; investigation, Y.L.; resources, D.Z.; writing—original draft preparation, Y.L. and D.Z.; writing—review and editing, Y.L. and S.W.; visualization, S.W.; supervision, D.Z. All authors have read and agreed to the published version of the manuscript.

Funding

This work is supported in part by the Fundamental Research Funds for the Central Universities, and in part by the Jiangsu Agriculture Science and Technology Innovation Fund (JASTIF; Project number: CX (21)3187).

Institutional Review Board Statement

Not applicable.

Data Availability Statement

Data are contained within the article.

Conflicts of Interest

The authors declare no conflicts of interest.

References

  1. Venon, A.; Dupuis, Y.; Vasseur, P.; Merriaux, P. Millimeter Wave FMCW RADARs for Perception, Recognition and Localization in Automotive Applications: A Survey. IEEE Trans. Intell. Veh. 2022, 7, 533–555. [Google Scholar] [CrossRef]
  2. Pearce, A.; Zhang, J.A.; Xu, R.; Wu, K. Multi-Object Tracking with mmWave Radar: A Review. Electronics 2023, 12, 308. [Google Scholar] [CrossRef]
  3. Rohling, H.; Ernst, L. 77 GHz radar sensor for car application. In Proceedings of the Proceedings International Radar Conference, Alexandria, VA, USA, 8–11 May 1995; pp. 373–379. [Google Scholar]
  4. Zhou, H.; Cao, P.; Chen, S. A novel waveform design for multi-target detection in automotive FMCW radar. In Proceedings of the 2016 IEEE Radar Conference (RadarConf), Philadelphia, PA, USA, 2–6 May 2016; pp. 1–5. [Google Scholar]
  5. Robey, F.C.; Coutts, S.; Weikle, D.; Mcharg, J.C.; Cuomo, K. MIMO radar theory and experimental results. In Proceedings of the Conference Record of the Thirty-Eighth Asilomar Conference on Signals, Systems and Computers, Pacific Grove, CA, USA, 7–10 November 2004; Volume 1, pp. 300–304. [Google Scholar]
  6. Yu, X.; Alhujaili, K.; Cui, G.; Monga, V. MIMO radar waveform design in the presence of multiple targets and practical constraints. IEEE Trans. Signal Process. 2020, 68, 1974–1989. [Google Scholar] [CrossRef]
  7. Li, Y. MIMO radar waveform design: An overview. J. Beijing Inst. Technol. 2021, 30, 44–59. [Google Scholar]
  8. Xiong, D.; Li, D. An engineering implementation method for speed disambiguation in automotive radar systems. Radar Countermeas. 2022, 42, 52–57. [Google Scholar]
  9. Adam, Y. Research on Speed Expansion Algorithm Based on AWR1642 Automotive Radar. 2019. Available online: https://www.ti.com.cn/product/cn/AWR1642#tech-docs (accessed on 3 July 2023).
  10. Lin, K.Y.; Krishna, B.; Krishna, H. Rings, fields, the Chinese remainder theorem and an extension-Part I: Theory. IEEE Trans. Circuits Syst. II Analog. Digit. Signal Process. 1994, 41, 641–655. [Google Scholar] [CrossRef]
  11. Wang, Y. Bandwidth synthesis for stepped chirp signal: A multichannel sampling prospective. In Proceedings of the IET, Xi’an, China, 14–16 April 2013; pp. 1–5. [Google Scholar]
  12. Zhai, W.; Zhang, Y. Motion parameters estimation of high-speed moving target for stepped frequency chirp signal. In Proceedings of the 2014 International Radar Conference, Lille, France, 13–17 October 2014; pp. 1–5. [Google Scholar]
  13. Liu, K.; Liao, X.; Wan, Q.; Peng, H.; Mao, J. Investigation of Chirp Stepped Signal Performance for 60GHz Millimeter Wave Radar. In Proceedings of the 2022 IEEE Electrical Design of Advanced Packaging and Systems (EDAPS), Urbana, IL, USA, 12–14 December 2022; pp. 1–3. [Google Scholar]
  14. Sun, H.; Frederic, B.; Lesturgie, M. Analysis and Comparison of MIMO Radar Waveforms. In Proceedings of the Radar Conference, Lille, France, 13–17 October 2014; pp. 1–6. [Google Scholar]
  15. Yang, Y.; Blum, R.S. MIMO Radarwaveform Design. In Proceedings of the IEEE/SP Workshop on Statistical Signal Processing, Madison, WI, USA, 26–29 August 2007; pp. 468–472. [Google Scholar]
  16. Hakobyan, G.; Yang, B. High-performance automotive radar: A review of signal processing algorithms and modulation schemes. IEEE Signal Process. Mag. 2019, 36, 32–44. [Google Scholar] [CrossRef]
  17. Zhou, P.; Xu, Y.; Wang, X.; Xu, H.; Shi, X.; Li, X. Design of Vital Signs Detection System Based on 77GHz FMCW Radar. In Proceedings of the 2022 International Conference on Microwave and Millimeter Wave Technology (ICMMT), Harbin, China, 12–15 August 2022; pp. 1–3. [Google Scholar]
  18. Yu, Y.; Hong, W.; Zhang, H.; Xu, J.; Jiang, Z.H. Optimization and implementation of siw slot array for both medium and long range 77ghz automotive radar application. IEEE Trans. Antennas Propag. 2018, 66, 3769–3774. [Google Scholar] [CrossRef]
Disclaimer/Publisher’s Note: The statements, opinions and data contained in all publications are solely those of the individual author(s) and contributor(s) and not of MDPI and/or the editor(s). MDPI and/or the editor(s) disclaim responsibility for any injury to people or property resulting from any ideas, methods, instructions or products referred to in the content.

Article Metrics

Citations

Article Access Statistics

Multiple requests from the same IP address are counted as one view.