Next Article in Journal
FA-VTON: A Feature Alignment-Based Model for Virtual Try-On
Previous Article in Journal
A Novel Techno-Economical Control of UPFC against Cyber-Physical Attacks Considering Power System Interarea Oscillations
error_outline You can access the new MDPI.com website here. Explore and share your feedback with us.
 
 
Font Type:
Arial Georgia Verdana
Font Size:
Aa Aa Aa
Line Spacing:
Column Width:
Background:
Article

Numerical Simulation of Tunnel Ventilation Considering the Air Leakage Mechanism of a Ventilation Duct

1
School of Architecture and Civil Engineering, Xi’an University of Science and Technology, Xi’an 710054, China
2
State Key Laboratory Base of Eco-Hydraulic Engineering in Northwest Arid Area, Xi’an University of Technology, Xi’an 710048, China
*
Author to whom correspondence should be addressed.
Appl. Sci. 2024, 14(12), 5252; https://doi.org/10.3390/app14125252
Submission received: 8 May 2024 / Revised: 2 June 2024 / Accepted: 13 June 2024 / Published: 17 June 2024

Abstract

Ventilation problems are critical in tunnel engineering, and the loss of air volume in ventilation ducts is generally estimated using empirical methods. The air volume calculation makes it difficult to meet the accuracy requirements, resulting in resource waste or insufficient air supply. In this study, the forced ventilation system of the tunnel under construction was investigated based on the computational fluid dynamics method. The mechanism of air leakage on airflow distribution and pollutant transport in the tunnel is determined. Air leakage reduces the distribution peak of pollutants and effectively accelerates the emission of harmful gases. However, this effect decreases with distance from the air duct inlet. Through the calculation results of nearly one hundred models, it is found that the air leakage of the duct can be fitted by logarithmic function and verified by empirical equation. The matching degree between the fitting function of the model and the empirical equation depends on the length of the tunnel. On this basis, the calculation formula of effective air volume near the working face is derived. This study can be applied to the ventilation engineering of the tunnel under construction and provide a theoretical basis for the calculation of the effective air supply.

1. Introduction

A large amount of harmful gases and dust are generated due to blasting and mechanical operation during the excavation process of tunnels. The pollutants seriously endanger the health of workers and the normal operation of equipment. These harmful gases are mainly CO, and the concentration must be reduced to below the safe concentration standard before proceeding with the next construction operation [1,2,3]. Ventilation is one of the most effective methods for removing harmful gases [4]. In order to quickly eliminate pollutants and accelerate construction progress, the optimization of the ventilation scheme is extremely important [5,6]. Mastering the transport and diffusion mechanism of pollutants under ventilation conditions is a prerequisite for optimizing the scheme.
The ventilation system of the tunnel is composed of axial fans and ventilation ducts [7]. Fans are usually installed at tunnel outlets to deliver fresh air to the working face through ventilation ducts. Fresh air dilutes and discharges pollutants generated by work in the working area outside the tunnel [8,9]. During the ventilation scheme design phase, full consideration will be given to the number of workers, the power of diesel engines operating simultaneously, and the quantity and type of explosives used in blasting operations [10]. Ventilation engineering needs to ensure that the working area has sufficient airflow power to expel pollutants and purify the working area. In the construction of tunnels, due to poor duct quality (such as breakage caused by collisions), it is more common for the joints between ducts to cause air leakage [11]. However, air leakage in ducts can directly lead to insufficient airflow in the working face, making it difficult to achieve the preset purification effect [12]. The phenomenon of air leakage in ventilation ducts makes the design of ventilation systems more complex [13]. Therefore, it is necessary to conduct a thorough analysis of the ventilation system of the construction tunnel to ensure that the working face meets the required air volume. Mastering the ventilation laws can achieve purification of the workplace and accelerate construction progress [14,15,16].
Numerical simulation methods are commonly used to solve complex engineering problems. The results of numerical simulation can further deepen the theoretical research. For ventilation research in tunnels, the analysis of flow field characteristics is the basis for solving the diffusion laws of pollutants [17,18]. The blocking rate and blocking distance of tunnels are one of the reasons for the decrease in ventilation performance due to the resistance of ventilation airflow [8,19]. Due to the blockage of tunnel equipment, collisions between airflow and tunnel walls and equipment can lead to the generation of the vortex. The pitch angle variation of the fan can accelerate the dispersion of pollutants in the vortex area [20]. This is due to the instability of fluid motion caused by the shear force generated by changes in flow velocity during airflow movement. The motion of the vortex is influenced by the inertial and viscous forces of the fluid. Inertial force keeps the vortex rotating, while viscous force gradually weakens and causes the vortex to disappear. In addition, the installation spacing of fans also has a certain impact on the stability of air velocity and turbulence. Wang [21] derived a function-fitting formula for the effect of fan installation spacing on fan airflow through numerical modeling, in order to obtain the optimal ventilation effect. Guo et al. [22] obtained the optimal position of the vertical shaft by analyzing the influencing factors of the flow field.
The transport process of pollutants is based on the fluid movement inside the tunnel. Mastering the spatiotemporal evolution and distribution patterns of pollutants is the basis for formulating ventilation control strategies [23,24]. Zhou [19] discovered the diffusion law of CO concentration through experiments. Based on the spatiotemporal distribution of CO, a new expression for calculating the air supply volume was derived. The air volume calculation formula provides a reference for guiding practical engineering. Chang et al. [25] simulated the effect of different ventilation parameters on the distribution of CO concentration and derived the functional relationship between CO concentration and multiple variables. The estimation function of ventilation time was derived based on the spatiotemporal distribution function of CO. Huang et al. [26] used the grey correlation analysis method to obtain the mechanism of factors affecting the CO diffusion coefficient. Feng et al. [18] used numerical simulation methods to derive the distribution function of CO concentration after tunnel construction blasting in high-altitude areas. Their results reveal the impact of air parameters in high-altitude areas on pollutant diffusion. Shi [27] analyzed the influence of various factors on the ventilation effect of tunnel shafts based on numerical models. The relationship between the spatiotemporal distribution function of CO gas and the ventilation time estimation function after the blasting of the working face of the vertical shaft was derived based on the results of numerical simulation. These research results fully demonstrate the feasibility of theoretical research on numerical simulation derivation.
According to engineering examples and data statistics, the cost of tunnel ventilation usually accounts for a large proportion of the total investment in tunnel engineering [28]. An excellent ventilation plan can greatly optimize the investment and energy costs during tunnel excavation [14,15,16]). The leakage of ventilation ducts leads to a large amount of gas leakage, and the impact must be highly valued. Auld [11] conducted a study on tunnel ventilation considering the characteristics of duct leakage. The research results quantified the duct leakage coefficient by establishing a spreadsheet method. Aydin and Ozerdem [29] established a leakage measurement device using a power-law model. They proved that energy loss is related to air leakage by using different single round tubes, rectangular tubes, and joint tubes. Onder and Cevik [13] developed a leaky ventilation duct using a prediction model based on data obtained from a Turkish hard coal enterprise. Nassif [30] proposed a new measurement technique to estimate the local and total leakage rates of typical residential buildings. The verification results indicate that this technology is a good method that can provide the correct repair location and accurate information for catheter repair. In addition, Nassif [31] proposed two measurement techniques to estimate the leakage of residential building ducts. They explored different measurement techniques suitable for predicting local and total leaks. Wang et al. [32] used the three-dimensional renormalization (RNG) k-ε model to study a long diversion tunnel with forced ventilation and considered the effects of air leakage and frictional resistance. The simulation results indicate that the airflow, air velocity, and leakage rate gradually decrease along the tunnel direction. These results are in good agreement with the experimental data. Moujaes and Gundavelli [33] used a three-dimensional CFD model to simulate fluid flow in ducts and simulated leaks in six different geometric shapes of ducts. They compared the simulation results with the literature to determine the flow coefficient and pressure. Hurtado et al. [34] used a mine ventilation network solver to simulate the loss from the lower layer of intake ventilation through drift to the lower layer of exhaust ventilation. Krishnamoorthy and Modera [35] established a simplified model to evaluate the effects of duct leakage on fan power, fan heat dissipation, and regulating excess outdoor air. Their research findings explored the impact of various factors on electrical energy. Akhtar et al. [36] used modeling methods combined with Monte Carlo simulation and multiple regression to analyze the impact of duct leaks. They found that the operating point of the fan is related to the location and size of the rupture. Millar et al. [37] analyzed the air leakage between the joints of the ventilation ducts in tunnel ventilation systems. They believe that by using duct systems with lower Atkinson friction coefficients and selecting duct systems with leak-free couplings, the cost of ventilation systems can be reduced.
In summary, a large number of research results have shown that an important factor leading to construction delays due to insufficient effective air volume in the working face is air leakage in ducts. The prediction of duct leakage can effectively determine the fan capacity and accurately meet the ventilation requirements of the working face. The derivation of ventilation leakage rates for specific engineering projects through theoretical calculations and numerical simulations has been widely confirmed. However, the small amount of data on existing achievements has led to the need to test their generalizability.
In order to optimize energy efficiency, reduce ventilation costs, and fully grasp the migration and diffusion laws of pollutants in ventilation systems considering duct leakage, this paper conducts research on tunnel ventilation systems. The law of duct leakage has been explored based on the data organization of hundreds of duct models. The leakage data under different conditions were compared with existing empirical equations, and an estimation equation for the effective airflow rate of tunnels considering duct leakage was obtained. And the mechanism of the impact of duct leakage on the spatiotemporal distribution of pollutants was discussed. This project supplements and improves previous research results, and establishes a set of tunnel construction ventilation technology systems. The calculation of air leakage provides support for the in-depth study of ventilation theory and technology in underground engineering.

2. Numerical Methods

Harmful gases such as carbon monoxide (CO) diffuse through the whole space of the tunnel in an extremely short mixing time after tunnel blasting. As pollutant movement is constrained by the working face, gases tend to spread toward the tunnel outlet. To ensure simulation effectiveness, we made the following assumptions [38]: (1) the fluid inside the tunnel is incompressible; (2) fluid movement is independent of the influence factor of viscosity, and the air velocity distribution of the duct inlet is uniform; (3) the tunnel wall is adiabatic, and the ventilation process is isothermal; and (4) the initial distribution of the harmful gas is uniform within the region between the working face and the outlet of the ventilation duct.
Simulations were conducted for the Jiaoxihe tunnel of the Hanjiang–Weihe River Project, Shaanxi Province, China. The geological structure is relatively simple and does not include fractures or folds. The main tunnel is located in the middle and lower areas of southern Qinling. The Jiaoxihe tunnel has a horseshoe-shaped cross-section and employs forced ventilation. The ventilating pipe, located at the top wall of the tunnel, has a diameter of 1 m.

2.1. Boundary Conditions

As the inlet boundary condition, the air velocity of the duct inlet was considered to be   V x = 30   m / s , with V y = V z = 0 . The CO concentration of the duct was considered to be 0 mg/m3.
As the outlet boundary condition, the pressure in the duct outlet was considered to be uniform with V i X i = 0 and   P = P o u t = 0 , where   K and   ε are slip-free. K represents the turbulent kinetic energy of the fluid. ε represents the dissipation rate of turbulent kinetic energy in a fluid.
The side wall of the tunnel and the working face were both considered to be fixed side walls, and we used the law of fixed walls. In addition, all nodes in the fixed walls used the no-slip condition; that is, V i = 0 .

2.2. Initial Conditions

The initial CO concentration within the scope of tunnel blasting near the working face was calculated as c = G b L A [39], where c is the initial CO concentration, G is the amount of explosive used in each blast (366 kg), L denotes the distance to which smoke is expelled by the explosion (35 m), b represents the amount of harmful gases produced by 1 kg of the explosive (0.04 m3/kg), and A is the cross-sectional area of the tunnel (113.12 m2). Thus,   c = 3696   mg / m 3 . The CO concentration in the rest of the tunnel was disregarded.

2.3. Empirical Equations and Physical Models

In tunnel construction, air leakage is inevitable at the connectors and ruptures of the ventilation duct due to construction operations or transportation. The commonly used calculation formulas for air leakage of duct are shown as flows [32,38]:
Calculation formula of air leakage per hundred meters:
P 100 = Q f Q e Q f × L 100 × 100 %
Japanese high wooden formula:
Q e = Q f e z L
Voronin formula:
Q f = Q e
Japanese Qinghan tunnel formula:
Q f = Q e ( 1 β ) L 100
The equation for the air leakage rate in the last 100 m of a duct:
Q f = ( ( 1 + 1 1 M 100 1 M 100 ) × ( L 100 ) 2 3 ) 2 × Q e
where P 100 is the air leakage rate, Q e is the ventilation of the working face (m3/min), Q f   is the ventilation of the duct, and L is the length of the duct (m). In addition, the following equations were used to calculate tunnel leakage. And Z = 1 500 I n x 10 . = ( 1 + 1 3 D n K R ) 2 is the air-leakage coefficient. β is the leakage coefficient. M 100 is the air-leakage coefficient.
The air leakage rate for standard duct manufacturing is ≤4%; however, when purchasing a duct, an air leakage rate of 2% is assumed. When the control standard is more stringent, the air duct leakage rate is 0.5% [39]. Owing to different management and maintenance conditions, air leakage in tunnels varies widely. According to engineering experience, the air leakage rate of an air duct in a 100 m tunnel is generally taken as 1% [39].
Five tunnel models with different mesh densities were established in Figure 1. A mesh independence study was performed for a tunnel of length 100 m by conducting simulations on grids with 274,303 elements (grid A), 137,154 elements (grid B), 68,623 elements (grid C), 46,646 elements (grid D), and 27,435 elements (grid E). The five models are shown in Figure 1a. Because this study mainly focuses on the distributions of air velocity and pollutant concentration of the tunnel, the average air velocity in the tunnel is analyzed and compared. Fresh airflows from the duct outlet towards the tunnel. Under the drive of fluid, the fluid inside the tunnel flows from the working face towards the tunnel exit direction. The flow velocity distribution from the working face to the tunnel exit inside the tunnel is shown in Figure 1b. The difference in air velocity between grids A and B is 2.5%, that between grids B and C is 3.7%, that between grids C and D is 8.9%, and that between grids D and grid E is 12.1%. For the accuracy and efficiency of calculation, grids B and C were selected.
In order to select the appropriate leakage size and leakage direction, multiple ventilation duct models of different sizes were established. The calculation results of the model were compared with the theoretical calculation results of Equation (1), as shown in Table 1. The model with the leakage size 0.08 m × 0.10 m is ultimately determined as the model for subsequent simulation. Based on the selected leakage size model, the direction of duct leakage holes was studied. As can be seen from the table, the leakage is the largest when the hole is located at the bottom of the duct. Thus, the case with the largest amount of leakage was taken as the research object.
According to the selected air duct models in Table 1, the simulated tunnel ventilation system is established as shown in Figure 2. The length of the tunnel is 500 m. Ventilation ducts are equipped with air leakage holes with a vertical downward direction of 0.08 m × 0.08 m every 100 m.
The finite element model is established by ADINA software. The CFD module in the finite element software ADINA has the characteristic of reasonable and efficient solutions for turbulence equations. It can model, solve, and analyze the results of large-scale projects through a visual interface. The turbulence simulation method of the flow field adopts the Renormalization Group k - ε turbulence model. The turbulence model is an airflow model based on the Navier–Stokes equations. During the establishment of the tunnel model, the grid was locally encrypted near the holes of the duct to obtain accurate simulation data within the operating capacity range of the equipment. Grid C is used to construct the overall model of the ventilation duct, while Grid B is used to refine the area of the duct where air leaks occur. Similarly, Grid C is used to construct most parts of the tunnel, and Grid B is used to build the parts of the tunnel near the leakage of the duct. The model of the ventilation duct with holes is shown in Figure 3. The model included five holes for air leakage, with hole L1 being the closest to the duct inlet and hole L5 being the closest to the working face.
Four nodes (AI, AII, AIII, and AIV) were selected as research objects in the tunnel to explore the changes in air velocity and concentration of harmful gases at different positions within the tunnel. Node AI is 1.7 m from the bottom of the tunnel and represents the average height of construction workers. Node AIII is 1.0 m from the bottom of the duct, and node AII and AIV are 1.5 m from the sides wall of the tunnel.

3. Results and Discussion

3.1. Distribution of Airflow in the Ventilation Duct

The process of model simulation was based on the actual engineering project. The ventilator in the project was opened before tunnel blasting; consequently, the air inside the duct quickly reached a stable flow field. Figure 4 lists the average air velocity at each hole after the stabilization of the flow field. From the results in Figure 4, it can be seen that there is a clear pattern of flow velocity changes in the X and Z directions. With increasing ventilation distance, the air velocity at the hole gradually decreases.
The simulation results show that there is a significant difference in air velocity among different holes. The airflow velocity of the five holes in L1–L5 shows a gradually decreasing trend in all directions. L1 has the most leakage since the delta P between the duct and tunnel is the largest. L5 has the lowest leakage rate among them. This indicates that the flow rate of leaked gas gradually decreases from the tunnel outlet to the working face direction. By combining the numerical values of air velocity in each hole, it can be determined that the direction of the leaked airflow gradually changes from Y-direction to X-direction.
The reason for this phenomenon is that the air enters the ventilation duct from the fan, and due to the effect of air resistance and friction with the tunnel walls, the airflow distribution gradually follows a parabolic distribution pattern with high flow velocity in the middle and low flow velocity at the edges. Furthermore, the degree of decrease in the air velocity of the side wall increases as the leakage at the hole increases. Therefore, as the length of the ventilation duct increases, the air volume leaked by holes of the same size shows a decreasing trend.

3.2. Distribution of the Flow Field and Pollutant Concentration along the Tunnel

Figure 5 shows the variations in air velocity at the four analysis positions in the tunnel. The curve in Figure 5 indicates that there is a significant difference in air velocity at different positions of the tunnel section.
Node AIII, located near the ventilation duct, shows a significant change in air velocity near the locations of air leakage: the air velocity increases sharply, and the direction of flow is opposite to the airflow of the tunnel. The velocities corresponding to AIII at the five hole locations are −0.4, −3.24, −5.24, −7.36, and −7.92 m/s. The range of air velocity changes gradually reduced as the distance to the working face decreased. The velocity distribution of node AI was similar to that of node AIII, but the degree of the increase was smaller. The corresponding velocity values were found to be 1.04, 0.97, 0.37, −0.19, and −0.19 m/s. The change in air velocity is smaller at the node positions of AII and AIV. The air velocity increased slightly near the locations of air leakage, and the direction of flow was the same as that of the average flow velocity. This indicates that the areas on both sides of the tunnel section are less affected by ventilation duct leakage.
Figure 6 shows the process of CO gas gradually discharging from the working face to the tunnel outlet. The figure shows the distribution of CO concentration in the tunnel at different times. Due to the leakage of fresh gas, the CO concentration near the ventilation duct hole has diluted. The diluted concentration area is mainly distributed in the area below the pores, consistent with the direction of the leaked gas. The difference in the gas flow rate of duct leakage results in different distributions of CO concentration fields. According to the results of the duct model simulation, as the distance from the leakage point to the air inlet decreases, the amount of air flowing from the duct into the tunnel increases. Therefore, the hole L1 with the highest leakage gas flow rate has the greatest impact on the CO distribution inside the tunnel. The leaked gas has a significant dilution effect on the CO concentration inside the tunnel. Air leakage near the working face has a smaller effect on the concentration-field distribution in the tunnel. The leaked gas only slightly reduces the concentration around the ventilation duct and has little impact at the bottom of the tunnel.
In order to observe the mechanism of the influence of air leakage in the ventilation duct at different positions of the tunnel section, Figure 7 shows the variation curve of CO concentration values at different positions of the tunnel section. The variation pattern of CO concentration at different positions of the tunnel is generally consistent. The curve shows a parabolic distribution at different times, indicating that there is always a peak in the CO concentration distribution inside the tunnel. The peak value of the curve gradually decreases with ventilation time, but the span of the curve gradually increases. Therefore, the emission process of CO gas can be divided into the movement process and diffusion process. The movement process moves harmful gases from the working face towards the tunnel outlet, while the diffusion process gradually expands the distribution range of harmful gases during the movement, causing the concentration to gradually dilute. This pattern is consistent with the mass transfer process of turbulent airflow. The discharge of harmful gases has both the transport effect of the main airflow and the diffusion effect of the turbulent airflow.
In addition, in the early stage of ventilation, the CO peak values in Figure 7b,d are relatively high, indicating that harmful gases on both sides of the tunnel are not easily dissipated. The leakage air leads to a varying degree of decrease in concentration at points AI and AIII, demonstrating that the leaked gas has a significant dilution effect on the position directly below the ventilation duct. Holes with smaller air leakage result in a slight decrease in the CO concentration distribution in the lower part of the duct but have little effect on the rest of the tunnel. Holes with larger air leakage help reduce the CO concentration at various locations, rather than just the locations near the leakage point (e.g., the CO concentration is reduced at the bottom and both sides of the tunnel at holes L1, L2, and L3).

3.3. Equation of Air Leakage Rate in the Tunnel Air Duct

The leakage of the ventilation duct results in a lower supply of air volume to the working face than the air volume of the fan. In order to estimate the effective air volume of the working face, this study established three models with different hole sizes to explore the impact of air duct leakage on the tunnel air supply volume.
Three different hole sizes were selected based on a range of around 1% air leakage rate per hundred meters. In total, 30 ventilation duct models with varying lengths of 100–3000 m were established for each type of hole. The air volume results at the end of each model have been organized, as shown in Figure 8. Each blue dot represents the calculation result of a tunnel model.
The effective air volume estimation function is shown in Figure 8. According to the above research results, the airflow velocity of the duct hole leakage near the fan is relatively high. With an increase in the length of the air duct, the amount of air leaking into holes closer to the working face gradually decreases. As the ventilation distance increases, the effective air volume of the working face shows a logarithmic function variation pattern. The curves of three different hole size models have similar equations. Comparing the three function expressions, it is found that the coefficient of the function is directly proportional to the size of the hole.
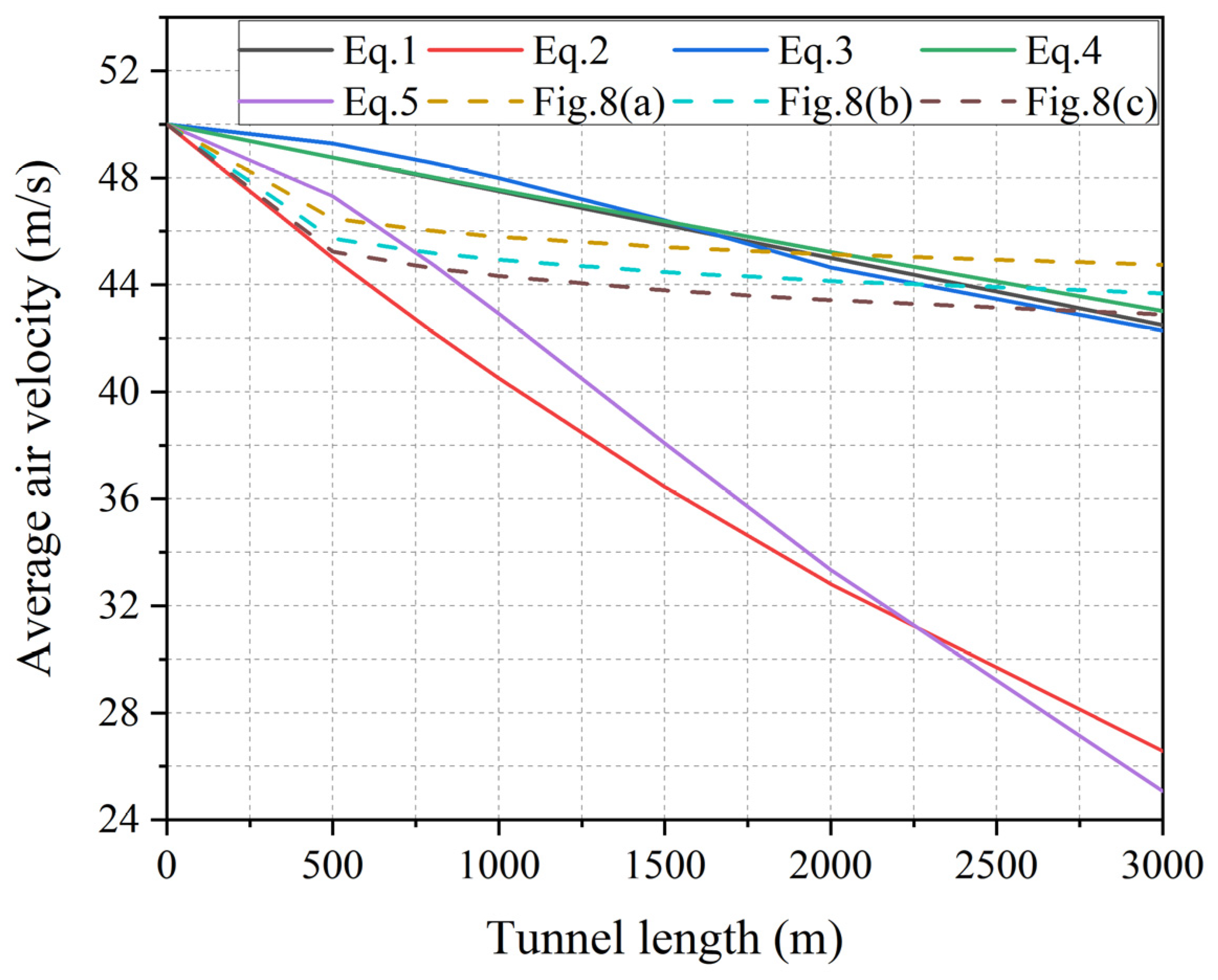
Figure 9 shows the effective air supply results of the tunnel calculated by the estimation equations of three models and empirical equations.
When the ventilation distance is short (L < 500 m), the results of the estimation equations are relatively close to Equations (2) and (5). However, with the gradual increase in the ventilation distance, the estimated air leakage volume calculated by Equations (2) and (5) will be too large. The calculated values of Equations (1), (3) and (4) are more conservative in long tunnels. When the ventilation distance is longer (L > 500 mf), the results of the estimation equations are relatively close to Equations (1), (3) and (4). When the estimation is performed in the early stage of the project, the air volume loss can be effectively calculated while avoding the waste of financial resources.
The results of the estimation equations show that, when the tunnel length is less than 500 m, the model results are most consistent with the calculations using Equations (2) and (5). When the tunnel length is greater than 1000 m, the model result is closer to the calculations using Equations (1), (3) and (4). The estimation equation can be applied in practical engineering. For example, in the process of tunnel construction, estimation equations can be used to calculate the actual air supply of the tunnel working face. Alternatively, during the fan selection stage, the fan type can be selected based on the actual air supply required for the working face.
According to the model results,
y = α I n ( x ) + β
where y is the average air velocity at the working face; x is ventilation distance; and α and β are calculation parameters related to the hole size. The values of α and β can be increased by adjusting the hole size.
Equation (6) can be used to calculate the actual air supply of the tunnel working face during tunnel construction.
y = γ e x p ( x α )
Equation (7) can estimate the distance that can be ventilated based on the actual air volume of the working face. The further calculation results can serve as the basis for fan selection.
The coefficients α , β , and γ are parameters related to the size of duct openings. Table 2 lists the average air velocity and leakage rate for different hole sizes.
According to Table 2, the effective air volumes on the working face for different hole sizes differ under the same fan volume. Therefore, different hole sizes lead to different air-volume losses. The increase in longitudinal dimensions has a significant impact on air leakage. Thus, materials of different strengths should be considered for different duct directions to reduce the loss of air volume.

4. Conclusions

The general laws that govern flow and concentration fields were determined through a numerical simulation study. The following conclusions can be drawn:
The flow rate of air leakage in the ventilation duct is inversely proportional to the distance from the fan. Due to the effect of air resistance and friction with the tunnel walls, the airflow distribution in the duct gradually follows a parabolic distribution pattern with high flow velocity in the middle and low flow velocity at the edges.
In the forced ventilation mode, the discharge of pollutants inside the tunnel is divided into movement and diffusion processes. This pattern is consistent with the mass transfer process of turbulent airflow. The discharge of harmful gases has both the transport effect of the main airflow and the diffusion effect of the turbulent airflow.
The gas leakage from the ventilation duct has a significant dilution effect on the concentration of pollutants inside the tunnel. The dilution effect is mainly reflected in the vertical direction of the leakage hole. And the dilution effect of leaked gas on pollutants is directly proportional to the gas flow rate. The leaked airflow can be effectively utilized in engineering to eliminate pollutants.
The models with different apertures and tunnel lengths have similar air leakage laws. The calculation of air leakage can be fitted with a logarithmic function. The matching degree between the simulation results of the model and the empirical equation depends on the length of the tunnel. The estimation function can be used to calculate the actual air supply of the working face during the tunnel construction. The estimation function can also be used to calculate the actual required air volume of the working face for fan selection.
The mechanism of air leakage of the duct on the flow field distribution and pollutant transport in tunnel engineering is mastered through numerical simulation. Accurate estimation of the effective air volume of the tunnel working face avoids the waste of resources. And it provides a theoretical basis for practical engineering.

Author Contributions

All authors contributed to the study conception and design. Methodology and Software were performed by X.C., J.C. and J.R. Formal Analysis and Data Curation were organized by X.C. and R.Y. Writing—Original Draft and Writing—Review and Editing was prepared by all X.C. All authors commented on previous versions of the manuscript. All authors have read and agreed to the published version of the manuscript.

Funding

This research was funded by [the National Natural Science Foundation of China], grant number [52209147], and [the Natural Science Basic Research Program of Shaanxi], grant number [2022JQ-426].

Institutional Review Board Statement

All procedures performed in studies involving human participants were in accordance with the ethical standards of the institutional and/or national research committee and with the 1964 Helsinki Declaration and its later amendments or comparable ethical standards. This article does not contain any studies with animals performed by any of the authors. Informed consent was obtained from all individual participants included in the study.

Informed Consent Statement

Informed consent was obtained from all subjects involved in the study.

Data Availability Statement

All data, models, and code generated or used during the study appear in the submitted article.

Conflicts of Interest

The authors declare no conflicts of interest.

References

  1. Harris, M.L.; Mainiero, R.J. Monitoring and removal of CO in blasting operations. Saf. Sci. 2008, 46, 1393–1405. [Google Scholar] [CrossRef]
  2. Massanés, M.B.; Pera, L.S.; Moncunill, J.O. Ventilation management system for underground environments. Tunn. Undergr. Space Technol. 2015, 50, 516–522. [Google Scholar] [CrossRef]
  3. Zhang, J.H.; Dong, Y.; Chen, Y.D.; Sun, H.S.; Wu, J.K.; Liu, W.L.; Chen, J.R.; Pan, S.Q. Numerical simulation of gas ventilation mode in highway gas tunnel. Geofluids 2021, 2021, 5549168. [Google Scholar] [CrossRef]
  4. Pu, Q.; Luo, Y.; Huang, J.; Zhu, Y.; Li, X. Simulation Study on the Effect of Forced Ventilation in Tunnel under Single-Head Drilling and Blasting. Shock Vib. 2020, 3, 8857947. [Google Scholar] [CrossRef]
  5. He, K.; Cheng, X.; Zhang, S.; Yao, Y.; Peng, M.; Yang, H.; Cong, W.; Shi, Z.; Chen, Z. Experimental study on smoke control using wide shafts in a natural ventilated tunnel. J. Wind. Eng. Ind. Aerod. 2019, 195, 104015. [Google Scholar] [CrossRef]
  6. Waman, W.; Harish, R. Influence of volume blockage ratio on turbulent buoyant plume dispersion in mixed ventilated tunnel. J. Wind Eng. Ind. Aerod. 2020, 207, 104397. [Google Scholar] [CrossRef]
  7. Menéndez, J.; Fernández-Oro, J.M.; Merlé, N.; Galdo, M.; Álvarez, L.; López, C.; Bernardo-Sánchez, A. Auxiliary ventilation systems in mining and tunnelling: Air leakage prediction and system design to optimize the energy efficiency and operation costs. Tunn. Undergr. Space Technol. 2023, 140, 105298. [Google Scholar] [CrossRef]
  8. Xin, Y.; Wang, Y.; Li, X.; Lai, K.; Xie, Y. Investigation of the effect of a resistance grid on a tunnel ventilation physical distorted model. Tunn. Undergr. Space Technol. 2021, 109, 103794. [Google Scholar] [CrossRef]
  9. Chang, X.; Chai, J.; Liu, Z.; Qin, Y.; Xu, Z. Comparison of ventilation methods used during tunnel construction. Eng. Appl. Comp. Fluid. 2020, 14, 107–121. [Google Scholar] [CrossRef]
  10. Menéndez, J.; Merle, N.; Fernández-Oro, J.M.; Galdo, M.; Álvarez, L.; Loredo, J.; Bernardo-Sánchez, A. Concentration, Propagation and Dilution of Toxic Gases in Underground Excavations under Different Ventilation Modes. Int. J. Environ. Res. Public Health 2022, 19, 7092. [Google Scholar] [CrossRef]
  11. Auld, G. An estimation of fan performance for leaky ventilation ducts. Tunn. Undergr. Space Technol. 2004, 19, 539–549. [Google Scholar] [CrossRef]
  12. Lee, D.K. Evaluation of the optimum conditions for a local ventilation system in connection with the mine ventilation network. In UMT 2017: Proceedings of the First International Conference on Underground Mining Technology, Sudbury, ON, Canada, 11–13 October 2017; Australian Centre for Geomechanics: Perth, Australia, 2017; pp. 655–661. [Google Scholar] [CrossRef]
  13. Onder, M.; Cevik, E. Statistical model for the volume rate reaching the end of ventilation duct. Tunn. Undergr. Space Technol. 2008, 23, 179–184. [Google Scholar] [CrossRef]
  14. Dang, P.; Malanchuk, Z.; Zaiets, V. Investigation of resistance and air leakage of auxiliary ventilation ducting in underground mine in Quang ninh. E3S Web Conf. 2021, 280, 08002. [Google Scholar] [CrossRef]
  15. Dang, T.; Bui, D. Improving duct parameters to design auxiliary ventilation in mining roadways driven. IOP Conf. Ser. Mat. Sci. Eng. 2020, 780, 032013. [Google Scholar] [CrossRef]
  16. De Vihena, L.; Margarida, J. Strategies used to control the costs of underground ventilation in some Brazilian mines. Int. Eng. J. 2020, 73, 555–560. [Google Scholar] [CrossRef]
  17. Du, C.; Wang, J.; Wang, Y. Study on environmental pollution caused by dumping operation in open pit mine under different factors. J. Wind. Eng. Ind. Aerod. 2022, 226, 105044. [Google Scholar] [CrossRef]
  18. Feng, X.; Jiang, Z.; Zhang, G.; Luo, X.; Zeng, F. Study on CO diffusion law and concentration distribution function under ventilation after blasting in high-altitude tunnel. J. Wind Eng. Ind. Aerod. 2022, 220, 104871. [Google Scholar] [CrossRef]
  19. Zhou, Y.; Yang, Y.; Bu, R.; Ma, F.; Shen, Y. Effect of press-in ventilation technology on pollutant transport in a railway tunnel under construction. J. Clean. Prod. 2020, 243, 118590. [Google Scholar] [CrossRef]
  20. Zhao, S.; Xue, P.; Xie, J.; Wang, Y.; Jiang, Z.; Liu, J. Optimal pitch angle of jet fans based on air age evaluation for highway tunnel ventilation. J. Wind Eng. Ind. Aerod. 2022, 228, 105088. [Google Scholar] [CrossRef]
  21. Wang, H.; Jiang, Z.; Zhang, G.; Zeng, F. Parameter analysis of jet tunnel ventilation for long distance construction tunnels at high altitude. J. Wind Eng. Ind. Aerod. 2022, 228, 105128. [Google Scholar] [CrossRef]
  22. Guo, C. Single-channel blowing-in longitudinal ventilation method and its application in the road tunnel. Tunn. Undergr. Space Technol. 2021, 108, 103692. [Google Scholar] [CrossRef]
  23. Qian, C.; Chen, J.; Luo, Y.; Zhao, Z. Monitoring and analysis of the operational environment in an extra-long highway tunnel with longitudinal ventilation. Tunn. Undergr. Space Technol. 2019, 83, 475–484. [Google Scholar] [CrossRef]
  24. Guo, L.; Nie, W.; Yin, S.; Liu, Q.; Hua, Y.; Cheng, L.; Cai, X.; Xiu, Z.; Du, T. The dust diffusion modeling and determination of optimal airflow rate for removing the dust generated during mine tunneling. Build. Environ. 2020, 178, 106846. [Google Scholar] [CrossRef]
  25. Chang, X.; Chai, J.; Luo, J.; Qin, Y.; Xu, Z.; Cao, J. Tunnel ventilation during construction and diffusion of hazardous gases studied by numerical simulations. Build. Environ. 2020, 177, 106902. [Google Scholar] [CrossRef]
  26. Huang, R.; Shen, X.; Wang, B.; Liao, X. Migration characteristics of CO under forced ventilation after excavation roadway blasting: A case study in a plateau mine. J. Clean. Prod. 2020, 267, 122094. [Google Scholar] [CrossRef]
  27. Shi, Q.; Chai, J.; Cao, J.; Yang, T. Numerical simulation study on ventilation and harmful gas diffusion during the construction period of shafts. Int. J. Environ. Sci. Technol. 2023, 21, 4789–4806. [Google Scholar] [CrossRef]
  28. Shi, P. Three-Dimensional Numerical Simulation Analysis and Research on Local Effects of Ventilation in Highway Tunnels. Ph.D. Thesis, Chang’an University, Xi’an, China, 2004. [Google Scholar]
  29. Aydin, C.; Ozerdem, B. Air leakage measurement and analysis in duct systems. Energy Build. 2006, 38, 207–213. [Google Scholar] [CrossRef][Green Version]
  30. Nassif, N.; Moujaes, S. Development and validation of a new field measurement technique for estimating the local and total air duct leakage in residential buildings. J. Energy Eng. 2008, 134, 87–94. [Google Scholar] [CrossRef]
  31. Nassif, N.; Moujaes, S.; Gundavelli, R.; Selvaraj, D.; Teeters, K. Measurement techniques for estimating local and total duct leakages in residential buildings. J. Energy Eng. 2009, 135, 3–11. [Google Scholar] [CrossRef]
  32. Wang, X.; Zhang, Z.; Zhou, Z.; Chen, H. Numerical simulation of TBM construction ventilation in a long diversion tunnel. Tunn. Undergr. Space Technol. 2011, 26, 560–572. [Google Scholar] [CrossRef]
  33. Moujaes, S.; Gundavelli, R. CFD simulation of leak in residential HVAC ducts. Energy Build. 2012, 54, 534–539. [Google Scholar] [CrossRef]
  34. Hurtado, J.P.; Díaz, N.; Acuña, E.I.; Fernández, J. Shock losses characterization of ventilation circuits for block caving production levels. Tunn Undergr. Space Technol. 2014, 41, 88–94. [Google Scholar] [CrossRef]
  35. Krishnamoorthy, S.; Modera, M. Impacts of duct leakage on central outdoor-air conditioning for commercial-building VAV systems. Energy Build. 2016, 119, 340–351. [Google Scholar] [CrossRef]
  36. Akhtar, S.; Kumral, M.; Sasmito, A.P. Correlating variability of the leakage characteristics with the hydraulic performance of an auxiliary ventilation system. Build. Environ. 2017, 121, 200–214. [Google Scholar] [CrossRef] [PubMed]
  37. Millar, D.; Levesque, M.; Hardcastle, S. Leakage and airflow resistance in mine auxiliary ventilation ducts: Effects on system performance and cost. Min. Technol. 2017, 126, 10–21. [Google Scholar] [CrossRef]
  38. Cao, Z.M. Study on Ventilation Characteristics and Key Technologies of Long Tunnels and Complicated Underground Engineering in the Construction Stage. Ph.D. Thesis, Southwest Jiaotong University, Chengdu, China, 2016. [Google Scholar]
  39. TB 10003-2016; Code for Design of Railway Tunnel. China Railway Press: Beijing, China, 2016.
Figure 1. Grid independence analysis: (a) five models of different mesh densities; (b) the results obtained with the five models.
Figure 1. Grid independence analysis: (a) five models of different mesh densities; (b) the results obtained with the five models.
Applsci 14 05252 g001
Figure 2. Schematic of the selected tunnel model.
Figure 2. Schematic of the selected tunnel model.
Applsci 14 05252 g002
Figure 3. Sketch of the finite-element mesh partition of the tunnel.
Figure 3. Sketch of the finite-element mesh partition of the tunnel.
Applsci 14 05252 g003
Figure 4. Distribution of airflow in leakage holes: (a) air velocity values in all directions; (b) schematic diagram of airflow.
Figure 4. Distribution of airflow in leakage holes: (a) air velocity values in all directions; (b) schematic diagram of airflow.
Applsci 14 05252 g004aApplsci 14 05252 g004b
Figure 5. Air velocity with increasing distance from the working face at the four analysis nodes in the tunnel.
Figure 5. Air velocity with increasing distance from the working face at the four analysis nodes in the tunnel.
Applsci 14 05252 g005
Figure 6. Distribution of CO concentration in the tunnel over a 10 min ventilation period.
Figure 6. Distribution of CO concentration in the tunnel over a 10 min ventilation period.
Applsci 14 05252 g006
Figure 7. Distribution of CO concentration at some nodes in the tunnel: (a) AI; (b) AII; (c) AIII; (d) AIV.
Figure 7. Distribution of CO concentration at some nodes in the tunnel: (a) AI; (b) AII; (c) AIII; (d) AIV.
Applsci 14 05252 g007
Figure 8. Calculated average air velocity in tunnels: (a) 0.08 × 0.06 m holes; (b) 0.08 × 0.10 m holes; (c) 0.08 × 0.15 m holes.
Figure 8. Calculated average air velocity in tunnels: (a) 0.08 × 0.06 m holes; (b) 0.08 × 0.10 m holes; (c) 0.08 × 0.15 m holes.
Applsci 14 05252 g008aApplsci 14 05252 g008b
Figure 9. Comparison of model and empirical calculation results.
Figure 9. Comparison of model and empirical calculation results.
Applsci 14 05252 g009
Table 1. Comparison of errors among different models.
Table 1. Comparison of errors among different models.
Leakage size (m)0.08 × 0.040.08 × 0.060.08 × 0.080.08 × 0.100.08 × 0.15
Average air velocity with no leakage (m/s)3030303030
Calculated value (m/s)29.7029.7029.7029.7029.70
Simulated value (m/s)29.8329.7529.7129.6829.66
Error0.44%0.17%0.03%0.07%0.13%
The angle between the rupture position and the bottom of the duct (°)015304590
The air velocity of the duct inlet (m/s)3030303030
The air velocity of the duct outlet (m/s)29.7129.7229.7129.7329.77
Error0.03%0.06%0.03%0.10%0.24%
Table 2. Effect of hole size on air velocity and leakage rate.
Table 2. Effect of hole size on air velocity and leakage rate.
Leakage Size 1 (m)Average Air Velocity (m/s)Air Leakage RateLeakage Size 2 (m)Average Air Velocity (m/s)Air Leakage Rate
030.000.00%030.000.00%
0.08 × 0.0429.830.57%0.1 × 0.0629.541.53%
0.08 × 0.0629.750.83%0.1 × 0.0829.521.60%
0.08 × 0.0829.710.97%0.1 × 0.1529.182.73%
0.08 × 0.1029.681.07%0.12 × 0.229.122.93%
0.08 × 0.1529.661.13%0.16 × 0.229.043.20%
Disclaimer/Publisher’s Note: The statements, opinions and data contained in all publications are solely those of the individual author(s) and contributor(s) and not of MDPI and/or the editor(s). MDPI and/or the editor(s) disclaim responsibility for any injury to people or property resulting from any ideas, methods, instructions or products referred to in the content.

Share and Cite

MDPI and ACS Style

Chang, X.; Chai, J.; Ren, J.; Yang, R. Numerical Simulation of Tunnel Ventilation Considering the Air Leakage Mechanism of a Ventilation Duct. Appl. Sci. 2024, 14, 5252. https://doi.org/10.3390/app14125252

AMA Style

Chang X, Chai J, Ren J, Yang R. Numerical Simulation of Tunnel Ventilation Considering the Air Leakage Mechanism of a Ventilation Duct. Applied Sciences. 2024; 14(12):5252. https://doi.org/10.3390/app14125252

Chicago/Turabian Style

Chang, Xiaoke, Junrui Chai, Jianxi Ren, and Rong Yang. 2024. "Numerical Simulation of Tunnel Ventilation Considering the Air Leakage Mechanism of a Ventilation Duct" Applied Sciences 14, no. 12: 5252. https://doi.org/10.3390/app14125252

APA Style

Chang, X., Chai, J., Ren, J., & Yang, R. (2024). Numerical Simulation of Tunnel Ventilation Considering the Air Leakage Mechanism of a Ventilation Duct. Applied Sciences, 14(12), 5252. https://doi.org/10.3390/app14125252

Note that from the first issue of 2016, this journal uses article numbers instead of page numbers. See further details here.

Article Metrics

Back to TopTop