Investigating the Performance of a Novel Modified Binary Black Hole Optimization Algorithm for Enhancing Feature Selection
Abstract
1. Introduction
- Astrophysics inspiration: BHO draws inspiration from astrophysics, specifically the fascinating concept of black holes. This unique property sets it apart from traditional statistical methods. By mimicking the gravitational interactions of black holes, BHO explores feature spaces in a novel and non-deterministic manner.
- Randomness-based exploration: BHO leverages randomness and domesticity techniques to explore wider areas within the search space. Unlike deterministic approaches, it embraces stochasticity, allowing it to escape the local optima problem, found in many FS methods, and avoid premature convergence. This adaptability is particularly valuable in complex optimization landscapes.
- Simplicity and computational efficiency: The mathematical model underlying BHO is not overly complex. Consequently, it requires less computational expense compared to more intricate approaches. This efficiency makes it practical for real-world applications that need feature selection.
- We propose a novel wrapper feature selection (FS) approach that combines the black hole algorithm with inversion mutation to select the most descriptive subset of features from datasets that cover different application domains.
- We modify a well-established, multi-objective function that focuses on the interleaved classifier and the number of selected features in the decision-making process. Additionally, we enhance the decision-making process by considering the correlation among the selected subset of features and the correlation of each feature within that subset with the corresponding label.
- We assess our approach using fourteen benchmark datasets. We benchmark the performance of a wrapper FS approach called binary cuckoo search (BCS). We also benchmark the performance of three filter-based FS, namely Mutual Information Maximization (MIM), Joint Mutual Information (JMI), and minimum Redundancy Maximum Relevance (mRMR).
- We release the source codes of our framework for the research community. The implementation link is https://github.com/Mohammed-Ryiad-Eiadeh/A-Modified-BHO-and-BCS-With-Mutation-for-FS-based-on-Modified-Objective-Function (accessed on 13 May 2024).
2. Related Work
2.1. Meta-Heuristic Algorithms for Feature Selection
2.2. Approximate Algorithms for Search
2.3. Filter-Based FS Approaches
2.4. Contributions of Our Work
3. Background on Mutual Information
4. Methodology
4.1. Optimization Problem
4.2. Population Representation
4.3. Evaluation Function
4.4. Modified Evaluation Function
4.5. Correlation between Two Candidate Feature Vectors
4.5.1. Background about Correlation
4.5.2. Intuition of Adding Correlation Terms in Our Objective
4.5.3. Correlation Functions Used in This Study
4.6. Binary Improved Black Hole Optimizer (BHO)
4.6.1. Background about Motivation for BHO
4.6.2. Mathematical Modeling of Black Hole Optimization
4.6.3. Mitigating Main Issues in BHO Search Algorithm
| Algorithm 1: Pseudocode of MBHO |
![]() |
4.7. Time Complexity Analysis
5. Experimental Results
5.1. Datasets Used
5.2. Main Models and Hyperparameters
5.3. Baselines
- (i)
- Binary Cuckoo Search (BCS) [37]: Cuckoo Search (CS) is an optimization algorithm inspired by the reproductive behavior of cuckoo birds. These birds lay their eggs in the nests of other birds, increasing the chances of their own eggs hatching. To avoid detection, cuckoos mimic the appearance of the host bird’s eggs. Additionally, cuckoo eggs tend to hatch before the host’s eggs, allowing the chicks to assert dominance and secure a larger share of the food provided by the host bird.
- (ii)
- Mutual Information Maximization (MIM) [38]: MIM is a filter-based FS approach inspired by the idea of MI. It computes the MI among the class label and the selected features. In other terms, MIM aims to select features that are highly informative about the target class while minimizing the redundancy, selecting the most relevant features that maximize the MI from the original dataset.
- (iii)
- Joint Mutual Information (JMI) [39]: JMI is a filter-based FS approach that computes the amount of shared information among at least two variables. It is an extension of MI. In other words, JMI tends to measure the relevance of features according to their joint information with the class label.
- (iv)
- minimum Redundancy Maximum Relevance (mRMR) [40]: mRMR is a filter-based FS approach widely used in ML and applied mathematics, aiming to select a subset of features that maximizes the correlation with the target class while minimizing the redundancy among the selected features.
5.4. Evaluation Measurement
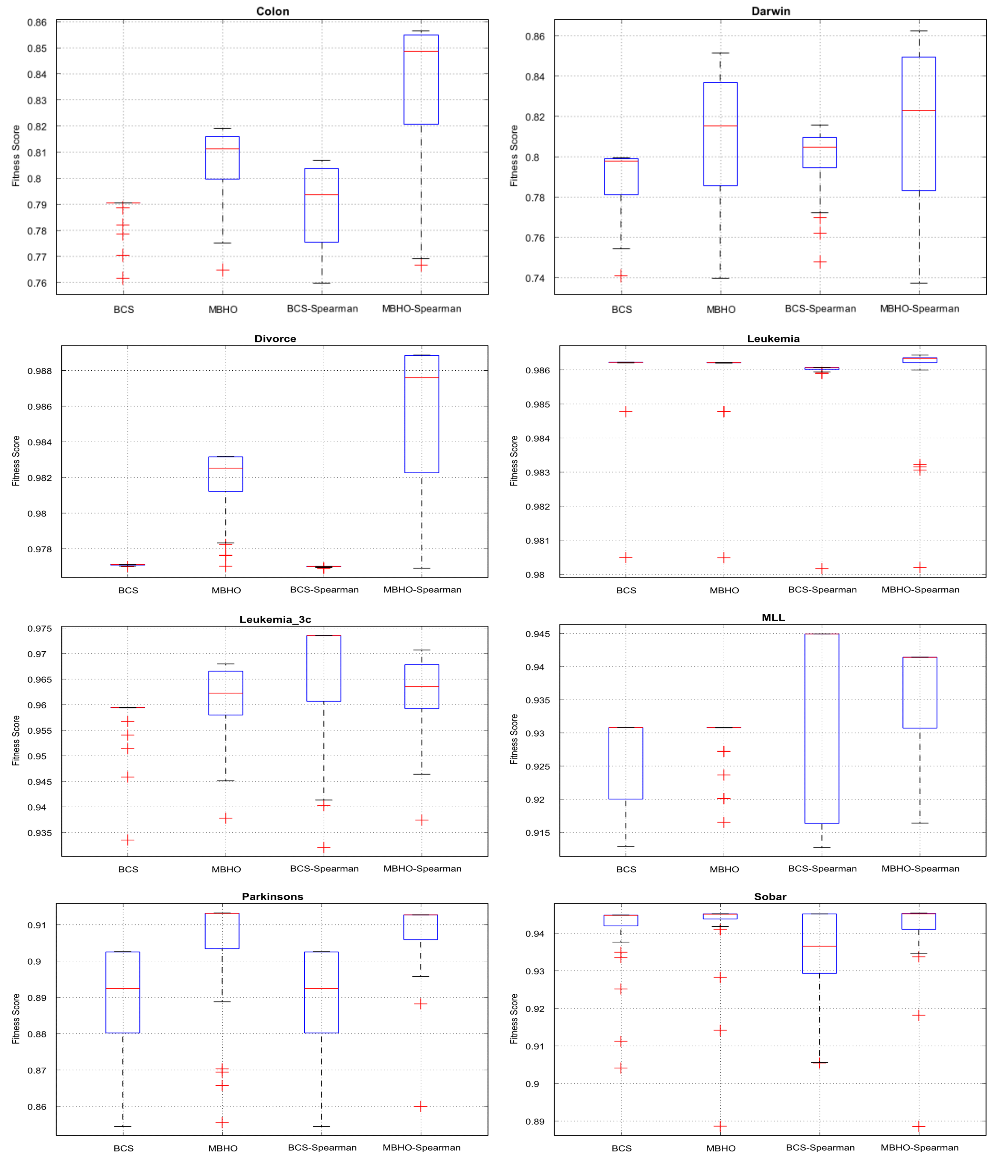
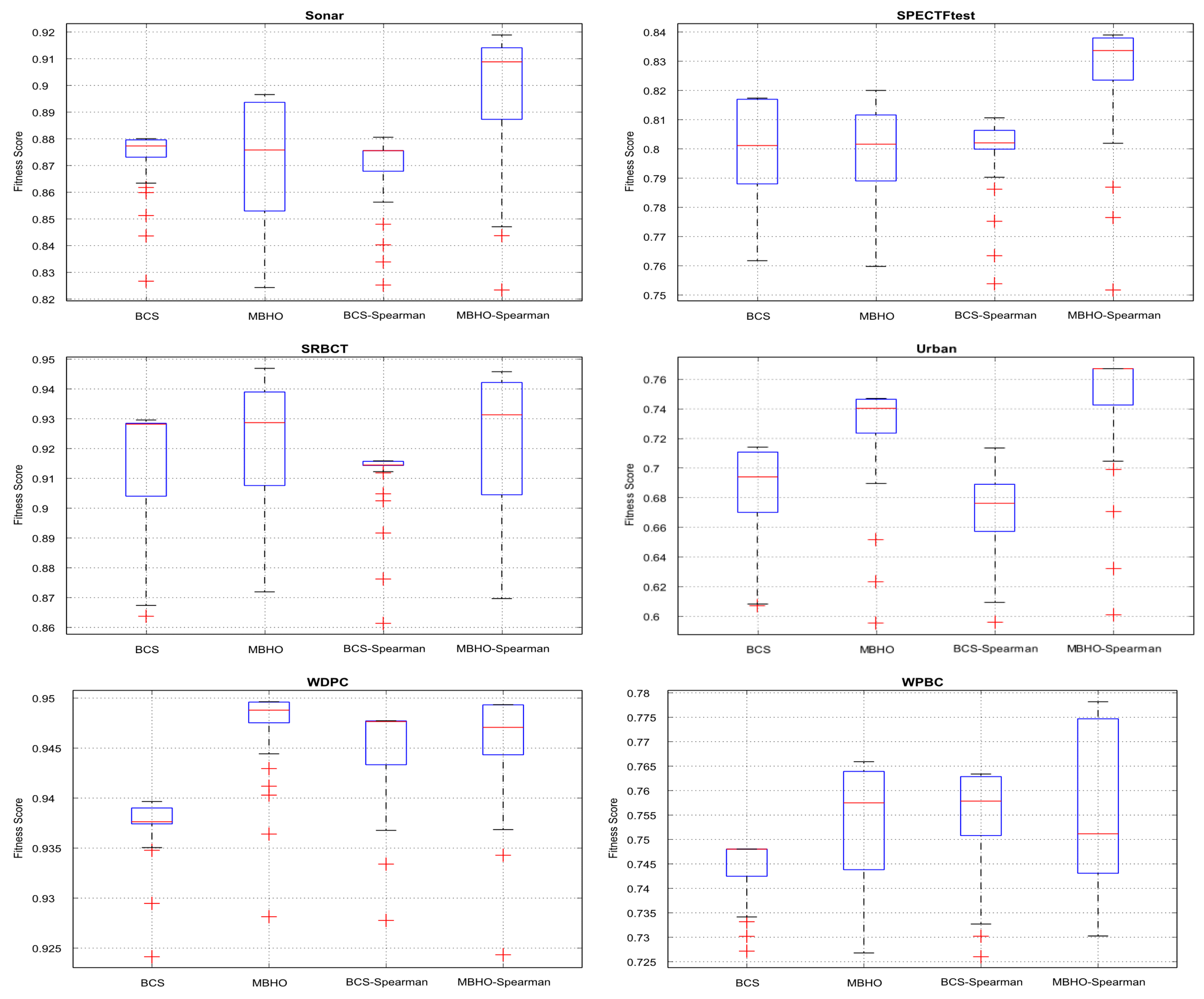
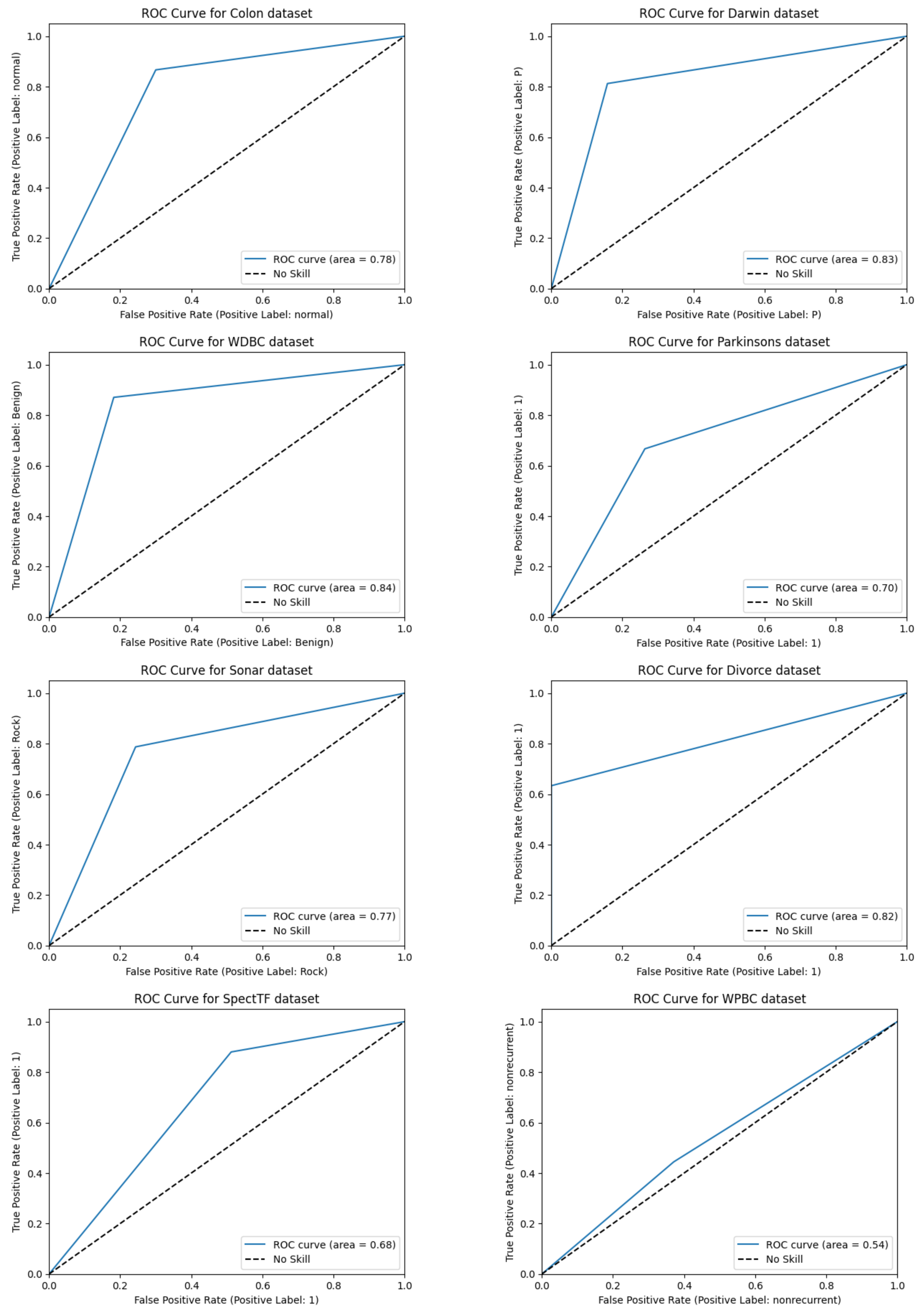
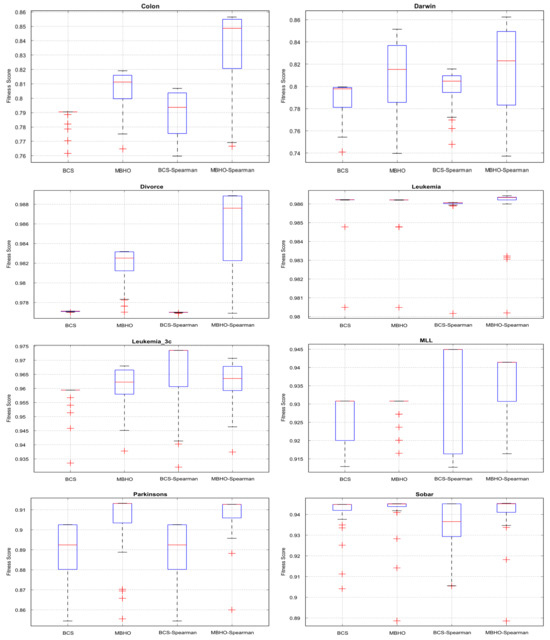
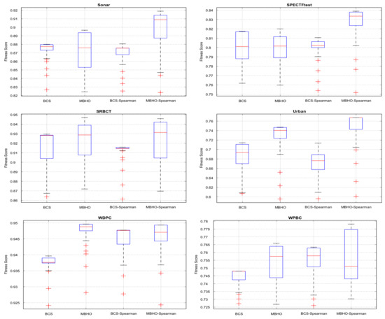
5.5. Evaluation Results
6. Discussion
Wrapper Feature Selection for Enhancing Unsupervised Learning
7. Conclusions
Author Contributions
Funding
Institutional Review Board Statement
Informed Consent Statement
Data Availability Statement
Conflicts of Interest
References
- García, S.; Luengo, J.; Herrera, F. Feature selection. Intell. Syst. Ref. Libr. 2015, 72, 163–193. [Google Scholar] [CrossRef] [PubMed]
- Kursa, M.B.; Rudnicki, W.R. Feature selection with the boruta package. J. Stat. Softw. 2010, 36, 1–13. [Google Scholar] [CrossRef]
- Gao, Y.; Zhou, Y.; Luo, Q. An Efficient Binary Equilibrium Optimizer Algorithm for Feature Selection. IEEE Access 2020, 8, 140936–140963. [Google Scholar] [CrossRef]
- Xie, S.; Zhang, Y.; Lv, D.; Chen, X.; Lu, J.; Liu, J. A new improved maximal relevance and minimal redundancy method based on feature subset. J. Supercomput. 2023, 79, 3157–3180. [Google Scholar] [CrossRef]
- Vergara, J.R.; Estévez, P.A. A review of feature selection methods based on mutual information. Neural Comput. Appl. 2014, 24, 175–186. [Google Scholar] [CrossRef]
- Lillywhite, K.; Lee, D.J.; Tippetts, B.; Archibald, J. A feature construction method for general object recognition. Pattern Recognit. 2013, 46, 3300–3314. [Google Scholar] [CrossRef]
- Motoda, H.; Liu, H. Feature selection, extraction and construction. Commun. IICM 2002, 5, 67–72. [Google Scholar]
- Khalid, S.; Khalil, T.; Nasreen, S. A survey of feature selection and feature extraction techniques in machine learning. In Proceedings of the 2014 Science and Information Conference, SAI 2014, London, UK, 27–29 August 2014; pp. 372–378. [Google Scholar] [CrossRef]
- Singh, K.P.; Basant, N.; Gupta, S. Support vector machines in water quality management. Anal. Chim. Acta 2011, 703, 152–162. [Google Scholar] [CrossRef]
- Remeseiro, B.; Bolon-Canedo, V. A review of feature selection methods in medical applications. Comput. Biol. Med. 2019, 112, 103375. [Google Scholar] [CrossRef]
- Bolón-Canedo, V.; Remeseiro, B. Feature selection in image analysis: A survey. Artif. Intell. Rev. 2020, 53, 2905–2931. [Google Scholar] [CrossRef]
- Mladenić, D. Feature Selection in Text Mining. In Encyclopedia of Machine Learning; Sammut, C., Webb, G.I., Eds.; Springer: Boston, MA, USA, 2010; pp. 406–410. [Google Scholar] [CrossRef]
- Deng, Z.; Han, T.; Liu, R.; Zhi, F. A fault diagnosis method in industrial processes with integrated feature space and optimized random forest. In Proceedings of the 2022 IEEE 31st International Symposium on Industrial Electronics (ISIE), Anchorage, AL, USA, 1–3 June 2022; pp. 1170–1173. [Google Scholar] [CrossRef]
- Qaddoura, R.; Biltawi, M.M.; Faris, H. A Metaheuristic Approach for Life Expectancy Prediction based on Automatically Fine-tuned Models with Feature Selection. In Proceedings of the 2023 IEEE International Conference on Artificial Intelligence, Blockchain, and Internet of Things (AIBThings), Mount Pleasant, MI, USA, 16–17 September 2023; pp. 1–7. [Google Scholar]
- Biltawi, M.M.; Qaddoura, R. The impact of feature selection on the regression task for life expectancy prediction. In Proceedings of the 2022 International Conference on Emerging Trends in Computing and Engineering Applications (ETCEA), Karak, Jordan, 23–25 November 2022; pp. 1–5. [Google Scholar]
- Jović, A.; Brkić, K.; Bogunović, N. A review of feature selection methods with applications. In Proceedings of the 2015 38th International Convention on Information and Communication Technology, Electronics and Microelectronics, MIPRO 2015, Opatija, Croatia, 25–29 May 2015; pp. 1200–1205. [Google Scholar] [CrossRef]
- Brezočnik, L.; Fister, I.; Podgorelec, V. Swarm intelligence algorithms for feature selection: A review. Appl. Sci. 2018, 8, 1521. [Google Scholar] [CrossRef]
- Rais, H.M.; Mehmood, T. Dynamic Ant Colony System with Three Level Update Feature Selection for Intrusion Detection. Int. J. Netw. Secur. 2018, 20, 184–192. [Google Scholar] [CrossRef] [PubMed]
- Amierh, Z.; Hammad, L.; Qaddoura, R.; Al-Omari, H.; Faris, H. A Multiclass Classification Approach for IoT Intrusion Detection Based on Feature Selection and Oversampling. In Cyber Malware: Offensive and Defensive Systems; Springer: Cham, Switzerland, 2023; pp. 197–233. [Google Scholar]
- Biltawi, M.M.; Qaddoura, R.; Faris, H. Optimizing Feature Selection and Oversampling Using Metaheuristic Algorithms for Binary Fraud Detection Classification. In Proceedings of the IFIP International Conference on Artificial Intelligence Applications and Innovations, León, Spain, 14–17 June 2023; pp. 452–462. [Google Scholar]
- Kumar, V. Feature Selection: A literature Review. Smart Comput. Rev. 2014, 4, 211–229. [Google Scholar] [CrossRef]
- Spolaôr, N.; Cherman, E.A.; Monard, M.C.; Lee, H.D. Filter approach feature selection methods to support multi-label learning based on relieff and information gain. In Lecture Notes in Computer Science (Including Subseries Lecture Notes in Artificial Intelligence and Lecture Notes in Bioinformatics); Springer: Berlin/Heidelberg, Germany, 2012; Volume 7589, pp. 72–81. [Google Scholar] [CrossRef]
- Wang, P.; Xue, B.; Liang, J.; Zhang, M. Differential Evolution With Duplication Analysis for Feature Selection in Classification. IEEE Trans. Cybern. 2022, 46, 6676–6689. [Google Scholar] [CrossRef]
- Xue, B.; Zhang, M.; Browne, W.N.; Yao, X. A Survey on Evolutionary Computation Approaches to Feature Selection. IEEE Trans. Evol. Comput. 2016, 20, 606–626. [Google Scholar] [CrossRef]
- Suppers, A.; van Gool, A.J.; Wessels, H.J. Integrated chemometrics and statistics to drive successful proteomics biomarker discovery. Proteomes 2018, 6, 20. [Google Scholar] [CrossRef]
- Pocock, A.C. Feature Selection Via Joint Likelihood. Ph.D. Thesis, University of Manchester, Manchester, UK, 2012; 173p. [Google Scholar]
- Mafarja, M.; Eleyan, D.; Abdullah, S.; Mirjalili, S. S-shaped vs. V-shaped transfer functions for ant lion optimization algorithm in feature selection problem. In Proceedings of the International Conference on Future Networks and Distributed Systems, Cambridge, UK, 19–20 July 2017. ACM International Conference Proceeding Series, Part F1305. [Google Scholar] [CrossRef]
- Liu, H.; Dougherty, E.R.; Dy, J.G.; Torkkola, K.; Tuv, E.; Peng, H.; Ding, C.; Long, F.; Berens, M.; Parsons, L.; et al. Evolving feature selection. IEEE Intell. Syst. 2005, 20, 64–76. [Google Scholar] [CrossRef]
- Fakhraei, S.; Soltanian-Zadeh, H.; Fotouhi, F. Bias and stability of single variable classifiers for feature ranking and selection. Expert Syst. Appl. 2014, 41, 6945–6958. [Google Scholar] [CrossRef] [PubMed]
- Ververidis, D.; Kotropoulos, C. Sequential forward feature selection with low computational cost. In Proceedings of the 2005 13th European Signal Processing Conference, Antalya, Turkey, 4–8 September 2005; pp. 1–4. [Google Scholar]
- Abe, S. Modified backward feature selection by cross validation. In Proceedings of the ESANN, Bruges, Belgium, 27–29 April 2005; pp. 163–168. [Google Scholar]
- Sabzekar, M.; Aydin, Z. A noise-aware feature selection approach for classification. Soft Comput. 2021, 25, 6391–6400. [Google Scholar] [CrossRef]
- Ramos, C.C.; Rodrigues, D.; De Souza, A.N.; Papa, J.P. On the study of commercial losses in Brazil: A binary black hole algorithm for theft characterization. IEEE Trans. Smart Grid 2018, 9, 676–683. [Google Scholar] [CrossRef]
- Pashaei, E.; Aydin, N. Binary black hole algorithm for feature selection and classification on biological data. Appl. Soft Comput. 2017, 56, 94–106. [Google Scholar] [CrossRef]
- Qasim, O.S.; Al-Thanoon, N.A.; Algamal, Z.Y. Feature selection based on chaotic binary black hole algorithm for data classification. Chemom. Intell. Lab. Syst. 2020, 204, 104104. [Google Scholar] [CrossRef]
- Winter, J.D.; Gosling, S.D. Supplemental Material for Comparing the Pearson and Spearman Correlation Coefficients Across Distributions and Sample Sizes: A Tutorial Using Simulations and Empirical Data. Psychol. Methods 2016, 21, 273–290. [Google Scholar] [CrossRef] [PubMed]
- Rodrigues, D.; Pereira, L.A.M.; Almeida, T.N.S.; Papa, J.P.; Souza, A.N.; Ramos, C.C.O.; Yang, X.-S. BCS: A Binary Cuckoo Search algorithm for feature selection. In Proceedings of the 2013 IEEE International Symposium on Circuits and Systems (ISCAS2013), Beijing, China, 19–23 May 2013; pp. 465–468. [Google Scholar] [CrossRef]
- Gu, X.; Guo, J.; Xiao, L.; Li, C. Conditional mutual information-based feature selection algorithm for maximal relevance minimal redundancy. Appl. Intell. 2022, 52, 1436–1447. [Google Scholar] [CrossRef]
- Vinh, N.X.; Zhou, S.; Chan, J.; Bailey, J. Can high-order dependencies improve mutual information based feature selection? Pattern Recognit. 2016, 53, 46–58. [Google Scholar] [CrossRef]
- Angulo, A.P.; Shin, K. Mrmr+ and Cfs+ feature selection algorithms for high-dimensional data. Appl. Intell. 2019, 49, 1954–1967. [Google Scholar] [CrossRef]
- Abdel-Basset, M.; Abdel-Fatah, L.; Sangaiah, A.K. Metaheuristic algorithms: A comprehensive review. In Computational Intelligence for Multimedia Big Data on the Cloud with Engineering Applications; Academic Press: Cambridge, MA, USA, 2018; pp. 185–231. [Google Scholar]
- Forrest, S.; Mitchell, M. What Makes a Problem Hard for a Genetic Algorithm? Some Anomalous Results and Their Explanation. Mach. Learn. 1993, 13, 285–319. [Google Scholar] [CrossRef]
- Wu, S.; Hu, Y.; Wang, W.; Feng, X.; Shu, W. Application of global optimization methods for feature selection and machine learning. Math. Probl. Eng. 2013, 2013, 241517. [Google Scholar] [CrossRef]
- Wang, Y.; Li, T. Local feature selection based on artificial immune system for classification. Appl. Soft Comput. J. 2020, 87, 105989. [Google Scholar] [CrossRef]
- Huang, Z.; Yang, C.; Zhou, X.; Huang, T. A Hybrid Feature Selection Method Based on Binary State Transition Algorithm and ReliefF. IEEE J. Biomed. Health Inform. 2019, 23, 1888–1898. [Google Scholar] [CrossRef]
- Lee, C.Y.; Le, T.A. Optimised approach of feature selection based on genetic and binary state transition algorithm in the classification of bearing fault in bldc motor. IET Electr. Power Appl. 2020, 14, 2598–2608. [Google Scholar] [CrossRef]
- Kennedy, J.; Eberhart, R. Particle swarm optimization PAPER—IGNORE FROM REFS. In Proceedings of the ICNN’95-International Conference on Neural Networks, Perth, WA, Australia, 27 November–2 December 1995; pp. 1942–1948. [Google Scholar]
- Sharkawy, R.; Ibrahim, K.; Salama, M.; Bartnikas, R. Particle swarm optimization feature selection for the classification of conducting particles in transformer oil. IEEE Trans. Dielectr. Electr. Insul. 2011, 18, 1897–1907. [Google Scholar] [CrossRef]
- Zhang, Y.; Gong, D.W.; Cheng, J. Multi-objective particle swarm optimization approach for cost-based feature selection in classification. IEEE/ACM Trans. Comput. Biol. Bioinform. 2017, 14, 64–75. [Google Scholar] [CrossRef]
- Sakri, S.B.; Abdul Rashid, N.B.; Muhammad Zain, Z. Particle Swarm Optimization Feature Selection for Breast Cancer Recurrence Prediction. IEEE Access 2018, 6, 29637–29647. [Google Scholar] [CrossRef]
- Zamani, H.; Nadimi-Shahraki, M.H. Feature Selection Based on Whale Optimization Algorithm for Diseases Diagnosis. Int. J. Comput. Sci. Inf. Secur. 2016, 14, 1243–1247. [Google Scholar]
- Tubishat, M.; Abushariah, M.A.; Idris, N.; Aljarah, I. Improved whale optimization algorithm for feature selection in Arabic sentiment analysis. Appl. Intell. 2019, 49, 1688–1707. [Google Scholar] [CrossRef]
- Guha, R.; Ghosh, M.; Mutsuddi, S.; Sarkar, R.; Mirjalili, S. Embedded chaotic whale survival algorithm for filter–wrapper feature selection. Soft Comp. 2020, 24, 12821–12843. [Google Scholar] [CrossRef]
- Babatunde, O.; Armstrong, L.; Leng, J.; Diepeveen, D. A Genetic Algorithm-Based Feature Selection. Int. J. Electron. Commun. Comput. Eng. 2014, 5, 899–905. [Google Scholar]
- Desale, K.S.; Ade, R. Genetic algorithm based feature selection approach for effective intrusion detection system. In Proceedings of the 2015 International Conference on Computer Communication and Informatics, ICCCI 2015, Coimbatore, India, 8–10 January 2015. [Google Scholar] [CrossRef]
- Khammassi, C.; Krichen, S. A GA-LR wrapper approach for feature selection in network intrusion detection. Comput. Secur. 2017, 70, 255–277. [Google Scholar] [CrossRef]
- Liu, X.Y.; Liang, Y.; Wang, S.; Yang, Z.Y.; Ye, H.S. A Hybrid Genetic Algorithm with Wrapper-Embedded Approaches for Feature Selection. IEEE Access 2018, 6, 22863–22874. [Google Scholar] [CrossRef]
- Bardamova, M.; Konev, A.; Hodashinsky, I.; Shelupanov, A. A fuzzy classifier with feature selection based on the gravitational search algorithm. Symmetry 2018, 10, 609. [Google Scholar] [CrossRef]
- Taradeh, M.; Mafarja, M.; Heidari, A.A.; Faris, H.; Aljarah, I.; Mirjalili, S.; Fujita, H. An evolutionary gravitational search-based feature selection. Inf. Sci. 2019, 497, 219–239. [Google Scholar] [CrossRef]
- Faramarzi, A.; Heidarinejad, M.; Stephens, B.; Mirjalili, S. Equilibrium optimizer: A novel optimization algorithm. Knowl.-Based Syst. 2020, 191, 105190. [Google Scholar] [CrossRef]
- Aarts, E.; Korst, J. Chapter 2 Simulated annealing 2.1 Introduction of the algorithm. In Simulated Annealing: Theory and Application; Reidel: Dordrecht, The Netherlands, 1987; p. 7. [Google Scholar]
- Ghosh, K.K.; Guha, R.; Bera, S.K.; Sarkar, R.; Mirjalili, S. BEO: Binary Equilibrium Optimizer Combined with Simulated Annealing for Feature Selection; Research Square: Durham, NC, USA, 2020. [Google Scholar] [CrossRef]
- Too, J.; Mirjalili, S. General Learning Equilibrium Optimizer: A New Feature Selection Method for Biological Data Classification. Appl. Artif. Intell. 2021, 35, 247–263. [Google Scholar] [CrossRef]
- Sayed, G.I.; Khoriba, G.; Haggag, M.H. A novel Chaotic Equilibrium Optimizer Algorithm with S-shaped and V-shaped transfer functions for feature selection. J. Ambient. Intell. Humaniz. Comput. 2021, 13, 3137–3162. [Google Scholar] [CrossRef]
- Vazirani, V.V. Approximation Algorithms; Springer: Berlin/Heidelberg, Germany, 2001; Volume 1. [Google Scholar]
- Aziz, M.A.E.; Hassanien, A.E. Modified cuckoo search algorithm with rough sets for feature selection. Neural Comput. Appl. 2018, 29, 925–934. [Google Scholar] [CrossRef]
- Wang, L.; Gao, Y.; Li, J.; Wang, X. A Feature Selection Method by using Chaotic Cuckoo Search Optimization Algorithm with Elitist Preservation and Uniform Mutation for Data Classification. Discret. Dyn. Nat. Soc. 2021, 2021, 7796696. [Google Scholar] [CrossRef]
- Zhang, Z. Speech feature selection and emotion recognition based on weighted binary cuckoo search. Alex. Eng. J. 2021, 60, 1499–1507. [Google Scholar] [CrossRef]
- Askarzadeh, A. A novel metaheuristic method for solving constrained engineering optimization problems: Crow search algorithm. Comput. Struct. 2016, 169, 1–12. [Google Scholar] [CrossRef]
- Jain, M.; Rani, A.; Singh, V. An improved Crow Search Algorithm for high-dimensional problems. J. Intell. Fuzzy Syst. 2017, 33, 3597–3614. [Google Scholar] [CrossRef]
- De Souza, R.C.T.; Coelho, L.D.S.; De MacEdo, C.A.; Pierezan, J. A V-Shaped Binary Crow Search Algorithm for Feature Selection. In Proceedings of the 2018 IEEE Congress on Evolutionary Computation, CEC 2018, Rio de Janeiro, Brazil, 8–13 July 2018; pp. 1–8. [Google Scholar] [CrossRef]
- Yang, X.S.; Deb, S. Cuckoo Search via Levy Flights. arXiv 2010, arXiv:1003.1594. [Google Scholar]
- Nakamura, R.Y.; Pereira, L.A.; Costa, K.A.; Rodrigues, D.; Papa, J.P.; Yang, X.S. BBA: A binary bat algorithm for feature selection. In Proceedings of the Brazilian Symposium of Computer Graphic and Image Processing, Ouro Preto, Brazil, 22–25 August 2012; pp. 291–297. [Google Scholar] [CrossRef]
- Liu, F.; Yan, X.; Lu, Y. Feature Selection for Image Steganalysis Using Binary Bat Algorithm. IEEE Access 2020, 8, 4244–4249. [Google Scholar] [CrossRef]
- Chu, S.C.; Tsai, P.W.; Pan, J.S. Cat Swarm Optimization; Springer: Berlin/Heidelberg, Germany, 2006; pp. 854–858. [Google Scholar]
- Siqueira, H.; Santana, C.; MacEdo, M.; Figueiredo, E.; Gokhale, A.; Bastos-Filho, C. Simplified binary cat swarm optimization. Integr.-Comput.-Aided Eng. 2021, 28, 35–50. [Google Scholar] [CrossRef]
- Mirjalili, S.; Mirjalili, S.M.; Lewis, A. Grey Wolf Optimizer. Adv. Eng. Softw. 2014, 69, 46–61. [Google Scholar] [CrossRef]
- Pathak, Y.; Arya, K.V.; Tiwari, S. Feature selection for image steganalysis using levy flight-based grey wolf optimization. Multimed. Tools Appl. 2019, 78, 1473–1494. [Google Scholar] [CrossRef]
- Saabia, A.A.B.R.; El-Hafeez, T.A.; Zaki, A.M. Face Recognition Based on Grey Wolf Optimization for Feature Selection; Springer International Publishing: Cham, Switzerland, 2019; Volume 845, pp. 273–283. [Google Scholar] [CrossRef]
- Al-Tashi, Q.; Rais, H.M.; Abdulkadir, S.J.; Mirjalili, S. Feature Selection Based on Grey Wolf Optimizer for Oil Gas Reservoir Classification. In Proceedings of the 2020 International Conference on Computational Intelligence, ICCI 2020, Las Vegas, NV, USA, 16–18 December 2020; pp. 211–216. [Google Scholar] [CrossRef]
- Venkata Rao, R. Jaya: A simple and new optimization algorithm for solving constrained and unconstrained optimization problems. Int. J. Ind. Eng. Comput. 2016, 7, 19–34. [Google Scholar] [CrossRef]
- Awadallah, M.A.; Al-Betar, M.A.; Hammouri, A.I.; Alomari, O.A. Binary JAYA Algorithm with Adaptive Mutation for Feature Selection. Arab. J. Sci. Eng. 2020, 45, 10875–10890. [Google Scholar] [CrossRef]
- Chaudhuri, A.; Sahu, T.P. Binary Jaya algorithm based on binary similarity measure for feature selection. J. Ambient. Intell. Humaniz. Comput. 2021, 13, 5627–5644. [Google Scholar] [CrossRef]
- Alijla, B.O.; Peng, L.C.; Khader, A.T.; Al-Betar, M.A. Intelligent water drops algorithm for rough set feature selection. In Lecture Notes in Computer Science (Including Subseries Lecture Notes in Artificial Intelligence and Lecture Notes in Bioinformatics); Springer: Berlin/Heidelberg, Germany, 2013; Volume 7803 LNAI, pp. 356–365. [Google Scholar] [CrossRef]
- Jadhav, S.; He, H.; Jenkins, K. Information gain directed genetic algorithm wrapper feature selection for credit rating. Appl. Soft Comput. J. 2018, 69, 541–553. [Google Scholar] [CrossRef]
- Martinás, K. Entropy and information. World Futur. 1997, 50, 483–493. [Google Scholar] [CrossRef]
- Priyadarsini, R.P.; Valarmathi, M.L.; Sivakumari, S. Gain Ratio Based Feature Selection Method for Privacy Preservation. ICTACT J. Soft Comput. 2011, 1, 201–205. [Google Scholar] [CrossRef]
- Barzegar, Z.; Jamzad, M. Fully automated glioma tumour segmentation using anatomical symmetry plane detection in multimodal brain MRI. IET Comput. Vis. 2021, 15, 463–473. [Google Scholar] [CrossRef]
- Bakhshandeh, S.; Azmi, R.; Teshnehlab, M. Symmetric uncertainty class-feature association map for feature selection in microarray dataset. Int. J. Mach. Learn. Cybern. 2020, 11, 15–32. [Google Scholar] [CrossRef]
- Aswani, C.; Amir, K. Integrated Intrusion Detection Model Using Chi-Square Feature Selection and Ensemble of Classifiers. Arab. J. Sci. Eng. 2019, 44, 3357–3368. [Google Scholar] [CrossRef]
- Senliol, B.; Gulgezen, G.; Yu, L.; Cataltepe, Z. Fast Correlation Based Filter (FCBF) with a different search strategy. In Proceedings of the 2008 23rd International Symposium on Computer and Information Sciences, ISCIS 2008, Istanbul, Turkey, 27–29 October 2008. [Google Scholar] [CrossRef]
- Deng, X.; Li, M.; Wang, L.; Wan, Q. RFCBF: Enhance the performance and stability of Fast Correlation-Based Filter. Int. J. Comput. Intell. Appl. 2021, 21, 2250009. [Google Scholar] [CrossRef]
- Dash, M.; Liu, H.; Motoda, H. Consistency based feature selection. In Lecture Notes in Computer Science (Including Subseries Lecture Notes in Artificial Intelligence and Lecture Notes in Bioinformatics); Springer: Berlin/Heidelberg, Germany, 2000; Volume 1805, pp. 98–109. [Google Scholar] [CrossRef]
- Dash, M.; Liu, H. Consistency-based search in feature selection. Artif. Intell. 2003, 151, 155–176. [Google Scholar] [CrossRef]
- Palma-Mendoza, R.J.; De-Marcos, L.; Rodriguez, D.; Alonso-Betanzos, A. Distributed correlation-based feature selection in spark. Inf. Sci. 2019, 496, 287–299. [Google Scholar] [CrossRef]
- De Tre, G.; Hallez, A.; Bronselaer, A. Performance optimization of object comparison. Int. J. Intell. Syst. 2014, 29, 495–524. [Google Scholar] [CrossRef]
- Bugata, P.; Drotar, P. On some aspects of minimum redundancy maximum relevance feature selection. Sci. China Inf. Sci. 2020, 63, 112103. [Google Scholar] [CrossRef]
- Karegowda, A.G.; Manjunath, A.S.; Ratio, G.; Evaluation, C.s.F. Comparative study of Attribute Selection Using Gain Ratio. Int. J. Inf. Technol. Knowl. Knowl. Manag. 2010, 2, 271–277. [Google Scholar]
- Gulgezen, G.; Cataltepe, Z.; Yu, L. Stable and accurate feature selection. In Lecture Notes in Computer Science (Including Subseries Lecture Notes in Artificial Intelligence and Lecture Notes in Bioinformatics); Springer: Berlin/Heidelberg, Germany, 2009; Volume 5781 LNAI, pp. 455–468. [Google Scholar] [CrossRef]
- Yaramakala, S.; Margaritis, D. Speculative Markov blanket discovery for optimal feature selection. In Proceedings of the IEEE International Conference on Data Mining, ICDM, Houston, TX, USA, 27–30 November 2005; pp. 809–812. [Google Scholar] [CrossRef]
- Sumaiya Thaseen, I.; Aswani Kumar, C. Intrusion detection model using fusion of chi-square feature selection and multi class SVM. J. King Saud Univ. Comput. Inf. Sci. 2017, 29, 462–472. [Google Scholar] [CrossRef]
- Yijun, S.; Jian, L. Iterative RELIEF for feature weighting. ACM Int. Conf. Proceeding Ser. 2006, 148, 913–920. [Google Scholar] [CrossRef]
- Abdulrazaq, M.B.; Mahmood, M.R.; Zeebaree, S.R.; Abdulwahab, M.H.; Zebari, R.R.; Sallow, A.B. An Analytical Appraisal for Supervised Classifiers’ Performance on Facial Expression Recognition Based on Relief-F Feature Selection. J. Phys. Conf. Ser. 2021, 1804, 012055. [Google Scholar] [CrossRef]
- Peker, M.; Ballı, S.; Sağbaş, E.A. Predicting Human Actions Using a Hybrid of ReliefF Feature Selection and Kernel-Based Extreme Learning Machine. In Cognitive Analytics; IGI Global: Hershey, PA, USA, 2020; pp. 307–325. [Google Scholar] [CrossRef]
- Pang, Z.; Zhu, D.; Chen, D.; Li, L.; Shao, Y. A computer-aided diagnosis system for dynamic contrast-enhanced MR images based on level set segmentation and Relieff feature selection. Comput. Math. Methods Med. 2015, 2015, 450531. [Google Scholar] [CrossRef] [PubMed]
- Yang, J.; Liu, Y.L.; Feng, C.S.; Zhu, G.Q. Applying the fisher score to identify Alzheimer’s disease-related genes. Genet. Mol. Res. 2016, 15, 1–9. [Google Scholar] [CrossRef] [PubMed]
- Gu, Q.; Li, Z.; Han, J. Generalized fisher score for feature selection. In Proceedings of the 27th Conference on Uncertainty in Artificial Intelligence, UAI 2011, Barcelona, Spain, 14–17 July 2011; pp. 266–273. [Google Scholar]
- Song, Q.J.; Jiang, H.Y.; Liu, J. Feature selection based on FDA and F-score for multi-class classification. Expert Syst. Appl. 2017, 81, 22–27. [Google Scholar] [CrossRef]
- Sun, X.; Liu, Y.; Li, J.; Zhu, J.; Chen, H.; Liu, X. Feature evaluation and selection with cooperative game theory. Pattern Recognit. 2012, 45, 2992–3002. [Google Scholar] [CrossRef]
- García, J.; Crawford, B.; Soto, R.; Astorga, G. A clustering algorithm applied to the binarization of Swarm intelligence continuous metaheuristics. Swarm Evol. Comput. 2019, 44, 646–664. [Google Scholar] [CrossRef]
- Chang, D.; Rao, C.; Xiao, X.; Hu, F.; Goh, M. Multiple strategies based Grey Wolf Optimizer for feature selection in performance evaluation of open-ended funds. Swarm Evol. Comput. 2024, 86, 101518. [Google Scholar] [CrossRef]
- Qu, L.; He, W.; Li, J.; Zhang, H.; Yang, C.; Xie, B. Explicit and size-adaptive PSO-based feature selection for classification. Swarm Evol. Comput. 2023, 77, 101249. [Google Scholar] [CrossRef]
- Tizhoosh, H.R. Opposition-based learning: A new scheme for machine intelligence. In Proceedings of the International Conference on Computational Intelligence for Modelling, Control and Automation, CIMCA 2005 and International Conference on Intelligent Agents, Web Technologies and Internet, Vienna, Austria, 28–30 November 2005; Volume 1, pp. 695–701. [Google Scholar] [CrossRef]
- Al-Batah, M.S.; Al-Eiadeh, M.R. An improved discreet Jaya optimisation algorithm with mutation operator and opposition-based learning to solve the 0–1 knapsack problem. Int. J. Math. Oper. Res. 2023, 26, 143–169. [Google Scholar] [CrossRef]
- Deng, Z.; Zhu, X.; Cheng, D.; Zong, M.; Zhang, S. Efficient kNN classification algorithm for big data. Neurocomputing 2016, 195, 143–148. [Google Scholar] [CrossRef]
- Zhang, M.L.; Zhou, Z.H. ML-KNN: A lazy learning approach to multi-label learning. Pattern Recognit. 2007, 40, 2038–2048. [Google Scholar] [CrossRef]
- Xiong, L.; Chitti, S.; Liu, L. Mining multiple private databases using a kNN classifier. In Proceedings of the ACM Symposium on Applied Computing, Seoul, Republic of Korea, 11–15 March 2007; pp. 435–440. [Google Scholar] [CrossRef]
- Abu Alfeilat, H.A.; Hassanat, A.B.; Lasassmeh, O.; Tarawneh, A.S.; Alhasanat, M.B.; Eyal Salman, H.S.; Prasath, V.B. Effects of Distance Measure Choice on K-Nearest Neighbor Classifier Performance: A Review. Big Data 2019, 7, 221–248. [Google Scholar] [CrossRef] [PubMed]
- Machine Learning in DNA microarray analysis for cancer classification. In Proceedings of the First Asia-Pacific Bioinformatics Conference on Bioinformatics, Adelaide, Australia, 4–7 February 2003; pp. 189–198.
- Chormunge, S.; Jena, S. Correlation based feature selection with clustering for high dimensional data. J. Electr. Syst. Inf. Technol. 2018, 5, 542–549. [Google Scholar] [CrossRef]
- Cerda, P.; Varoquaux, G.; Kégl, B. Similarity encoding for learning with dirty categorical variables. Mach. Learn. 2018, 107, 1477–1494. [Google Scholar] [CrossRef]
- Hauke, J.; Kossowski, T. Comparison of values of pearson’s and spearman’s correlation coefficients on the same sets of data. Quaest. Geogr. 2011, 30, 87–93. [Google Scholar] [CrossRef]
- Hamed, K.H. La distribution du tau de Kendall pour tester la significativité de la corrélation croisée dans des données persistantes. Hydrol. Sci. J. 2011, 56, 841–853. [Google Scholar] [CrossRef]
- Introducing the black hole. Phys. Today 1971, 24, 30–41. [CrossRef]
- The little robot, black holes, and spaghettification. Phys. Educ. 2022, 57. [CrossRef]
- Black hole: A new heuristic optimization approach for data clustering. Inf. Sci. 2013, 222, 175–184. [CrossRef]
- Nitasha, S.; KUMAR, T. Study of various mutation operators in genetic algorithms. Int. J. Comput. Sci. Inf. Technol. 2014, 5, 4519–4521. [Google Scholar]
- Pandey, H.M.; Chaudhary, A.; Mehrotra, D. A comparative review of approaches to prevent premature convergence in GA. Appl. Soft Comput. 2014, 24, 1047–1077. [Google Scholar] [CrossRef]
- Andre, J.; Siarry, P.; Dognon, T. An improvement of the standard genetic algorithm fighting premature convergence in continuous optimization. Adv. Eng. Softw. 2001, 32, 49–60. [Google Scholar] [CrossRef]
- Leung, Y.; Gao, Y.; Xu, Z.B. Degree of population diversity-a perspective on premature convergence in genetic algorithms and its markov chain analysis. IEEE Trans. Neural Netw. 1997, 8, 1165–1176. [Google Scholar] [CrossRef] [PubMed]
- Paquete, L.; Chiarandini, M.; Stützle, T. Pareto local optimum sets in the biobjective traveling salesman problem: An experimental study. In Metaheuristics for Multiobjective Optimisation; Springer: Berlin/Heidelberg, Germany, 2004; pp. 177–199. [Google Scholar]
- Gharehchopogh, F.S. An improved tunicate swarm algorithm with best-random mutation strategy for global optimization problems. J. Bionic Eng. 2022, 19, 1177–1202. [Google Scholar] [CrossRef]
- Jafari-Asl, J.; Azizyan, G.; Monfared, S.A.H.; Rashki, M.; Andrade-Campos, A.G. An enhanced binary dragonfly algorithm based on a V-shaped transfer function for optimization of pump scheduling program in water supply systems (case study of Iran). Eng. Fail. Anal. 2021, 123, 105323. [Google Scholar] [CrossRef]
- Pocock, A. Tribuo: Machine Learning with Provenance in Java. arXiv 2021, arXiv:2110.03022. [Google Scholar]
- Wilcoxon, F.; Katti, S.; Wilcox, R.A. Critical values and probability levels for the Wilcoxon rank sum test and the Wilcoxon signed rank test. Sel. Tables Math. Stat. 1970, 1, 171–259. [Google Scholar]
- Sheldon, M.R.; Fillyaw, M.J.; Thompson, W.D. The use and interpretation of the Friedman test in the analysis of ordinal-scale data in repeated measures designs. Physiother. Res. Int. 1996, 1, 221–228. [Google Scholar] [CrossRef]
- Brown, G.; Pocock, A.; Zhao, M.J.; Luján, M. Conditional likelihood maximisation: A unifying framework for information theoretic feature selection. J. Mach. Learn. Res. 2012, 13, 27–66. [Google Scholar]
- Refaeilzadeh, P.; Tang, L.; Liu, H. On comparison of feature selection algorithms. In Proceedings of the AAAI Workshop on Evaluation Methods for Machine Learning II, Vancouver, BC, Canada, 22–23 July 2007; Volume 3, p. 5. [Google Scholar]
- Tran, B.; Xue, B.; Zhang, M.; Nguyen, S. Investigation on particle swarm optimisation for feature selection on high-dimensional data: Local search and selection bias. Connect. Sci. 2016, 28, 270–294. [Google Scholar] [CrossRef]
- Sahebi, G.; Movahedi, P.; Ebrahimi, M.; Pahikkala, T.; Plosila, J.; Tenhunen, H. GeFeS: A generalized wrapper feature selection approach for optimizing classification performance. Comput. Biol. Med. 2020, 125, 103974. [Google Scholar] [CrossRef] [PubMed]
- Barlow, H.B. Unsupervised learning. Neural Comput. 1989, 1, 295–311. [Google Scholar] [CrossRef]
- Dy, J.G.; Brodley, C.E. Feature selection for unsupervised learning. J. Mach. Learn. Res. 2004, 5, 845–889. [Google Scholar]
- Alelyani, S.; Tang, J.; Liu, H. Feature selection for clustering: A review. In Data Clustering; Chapman and Hall/CRC: Boca Raton, FL, USA, 2018; pp. 29–60. [Google Scholar]
- Khrissi, L.; Akkad, N.E.; Satori, H.; Satori, K. Simple and Efficient Clustering Approach Based on Cuckoo Search Algorithm. In Proceedings of the 2020 Fourth International Conference On Intelligent Computing in Data Sciences (ICDS), Fez, Morocco, 21–23 October 2020; pp. 1–6. [Google Scholar] [CrossRef]








| Name | No. of Attributes | No. of Instances | No. of Classes |
|---|---|---|---|
| Colon | 2000 | 62 | 2 |
| Darwin | 450 | 174 | 2 |
| Leukemia | 3571 | 72 | 2 |
| Leukemia-3c | 7129 | 72 | 3 |
| MLL | 12,582 | 72 | 3 |
| WDBC | 30 | 569 | 2 |
| SRBCT | 2308 | 83 | 4 |
| Sobar | 19 | 72 | 2 |
| Parkinson’s | 22 | 197 | 2 |
| Sonar | 60 | 208 | 2 |
| Divorce | 54 | 170 | 2 |
| SpectTF | 44 | 267 | 2 |
| Urban | 146 | 675 | 9 |
| WPBC | 31 | 198 | 2 |
| Name | MBHO—No Correlation | BCS—No Correlation [37] | ||||||||||||
|---|---|---|---|---|---|---|---|---|---|---|---|---|---|---|
| Acc | F1 | Precision | Recall | AUC | Time | Features | Acc | F1 | Precision | Recall | AUC | Time | Features | |
| Colon | 0.82 | 0.82 | 0.82 | 0.82 | Nan | 6:21:686 | 997 | 0.79 | 0.79 | 0.79 | 0.79 | Nan | 10:32:061 | 972 |
| Darwin | 0.86 | 0.86 | 0.86 | 0.86 | Nan | 3:06:425 | 260 | 0.80 | 0.79 | 0.80 | 0.80 | Nan | 1:59:366 | 257 |
| Leukemia | 0.99 | 0.94 | 0.99 | 0.99 | Nan | 9:18:925 | 1702 | 0.99 | 0.94 | 0.99 | 0.99 | Nan | 6:29:548 | 1706 |
| Leukemia-3c | 0.97 | 0.87 | 0.97 | 0.97 | Nan | 25:21:440 | 3619 | 0.96 | 0.87 | 0.96 | 0.96 | Nan | 18:22:045 | 3517 |
| MLL | 0.93 | 0.85 | 0.93 | 0.93 | Nan | 49:20:481 | 6223 | 0.93 | 0.85 | 0.93 | 0.93 | Nan | 33:45:589 | 6188 |
| WDBC | 0.95 | 0.94 | 0.95 | 0.95 | Nan | 48:443 | 10 | 0.95 | 0.94 | 0.95 | 0.95 | Nan | 34:002 | 11 |
| SRBCT | 0.95 | 0.91 | 0.95 | 0.95 | Nan | 7:58:261 | 1250 | 0.93 | 0.86 | 0.86 | 0.86 | Nan | 4:27:249 | 1127 |
| Sobar | 0.94 | 0.85 | 0.94 | 0.94 | Nan | 31:860 | 8 | 0.94 | 0.85 | 0.94 | 0.94 | Nan | 19:685 | 14 |
| Parkinson’s | 0.91 | 0.87 | 0.91 | 0.91 | Nan | 45:745 | 7 | 0.90 | 0.85 | 0.90 | 0.90 | Nan | 29:326 | 4 |
| Sonar | 0.90 | 0.90 | 0.90 | 0.90 | Nan | 47:031 | 26 | 0.88 | 0.87 | 0.88 | 0.88 | Nan | 32:396 | 36 |
| Divorce | 0.98 | 0.98 | 0.98 | 0.98 | Nan | 52:827 | 8 | 0.98 | 0.97 | 0.98 | 0.98 | Nan | 21:664 | 18 |
| SpectTF | 0.82 | 0.74 | 0.82 | 0.82 | Nan | 48:776 | 25 | 0.82 | 0.71 | 0.82 | 0.82 | Nan | 36:733 | 22 |
| Urban | 0.75 | 0.68 | 0.75 | 0.75 | Nan | 2:06:484 | 89 | 0.71 | 0.65 | 0.71 | 0.71 | Nan | 56:283 | 102 |
| WPBC | 0.77 | 0.65 | 0.77 | 0.77 | Nan | 37:776 | 13 | 0.75 | 0.65 | 0.75 | 0.75 | Nan | 27:797 | 15 |
| Name | MBHO—Correlation | BCS—Correlation [37] | ||||||||||||
|---|---|---|---|---|---|---|---|---|---|---|---|---|---|---|
| Acc | F1 | Precision | Recall | AUC | Time | Features | Acc | F1 | Precision | Recall | AUC | Time | Features | |
| KNN classifier with | ||||||||||||||
| Colon | 0.86 | 0.83 | 0.86 | 0.86 | Nan | 19:16:256 | 1064 | 0.81 | 0.77 | 0.81 | 0.81 | Nan | 9:56:465 | 1069 |
| Darwin | 0.87 | 0.86 | 0.87 | 0.87 | Nan | 4:43:962 | 258 | 0.82 | 0.80 | 0.82 | 0.82 | Nan | 3:18:72 | 262 |
| Leukemia | 0.99 | 0.94 | 0.99 | 0.99 | Nan | 54:23:664 | 1732 | 0.99 | 0.94 | 0.99 | 0.99 | Nan | 31:49:948 | 1730 |
| Leukemia-3c | 0.97 | 0.87 | 0.97 | 0.97 | Nan | 13:26:19:141 | 3508 | 0.97 | 0.87 | 0.97 | 0.97 | Nan | 5:52:38:346 | 3508 |
| MLL | 0.94 | 0.87 | 0.94 | 0.94 | Nan | 14:32:17:233 | 6500 | 0.94 | 0.87 | 0.94 | 0.94 | Nan | 11:37:18:083 | 6223 |
| WDBC | 0.95 | 0.94 | 0.95 | 0.95 | Nan | 3:03:488 | 14 | 0.95 | 0.94 | 0.95 | 0.95 | Nan | 1:39:856 | 11 |
| SRBCT | 0.95 | 0.90 | 0.95 | 0.95 | Nan | 30:13:617 | 1201 | 0.92 | 0.87 | 0.92 | 0.92 | Nan | 15:04:977 | 1141 |
| Sobar | 0.94 | 0.85 | 0.94 | 0.94 | Nan | 26:661 | 6 | 0.94 | 0.85 | 0.94 | 0.94 | Nan | 18:519 | 8 |
| Parkinson’s | 0.91 | 0.87 | 0.91 | 0.91 | Nan | 44:680 | 10 | 0.90 | 0.85 | 0.90 | 0.90 | Nan | 29:326 | 4 |
| Sonar | 0.92 | 0.91 | 0.92 | 0.92 | Nan | 1:13:362 | 29 | 0.88 | 0.87 | 0.88 | 0.88 | Nan | 44:256 | 41 |
| Divorce | 0.99 | 0.99 | 0.99 | 0.99 | Nan | 1:00:577 | 14 | 0.98 | 0.98 | 0.98 | 0.98 | Nan | 35:622 | 18 |
| SpectTF | 0.84 | 0.84 | 0.84 | 0.84 | Nan | 1:30:154 | 26 | 0.82 | 0.72 | 0.82 | 0.82 | Nan | 49:101 | 24 |
| Urban | 0.77 | 0.72 | 0.77 | 0.77 | Nan | 8:24:944 | 80 | 0.72 | 0.66 | 0.72 | 0.72 | Nan | 4:07:742 | 99 |
| WPBC | 0.78 | 0.65 | 0.78 | 0.78 | Nan | 1:02:621 | 13 | 0.77 | 0.63 | 0.77 | 0.77 | Nan | 35:621 | 16 |
| LR classifier | ||||||||||||||
| Colon | 0.79 | 0.71 | 0.79 | 0.79 | 0.75 | 19:16:256 | 1064 | 0.78 | 0.71 | 0.78 | 0.78 | 0.78 | 9:56:465 | 1069 |
| Darwin | 0.87 | 0.87 | 0.87 | 0.87 | 0.87 | 4:43:962 | 258 | 0.86 | 0.81 | 0.86 | 0.86 | 0.84 | 3:18:72 | 262 |
| Leukemia | 0.95 | 0.85 | 0.95 | 0.95 | Nan | 54:23:664 | 1732 | 0.95 | 0.85 | 0.95 | 0.95 | Nan | 31:49:948 | 1730 |
| Leukemia-3c | 0.91 | 0.94 | 0.91 | 0.91 | Nan | 13:26:19:141 | 3508 | 0.91 | 0.94 | 0.91 | 0.91 | Nan | 5:52:38:346 | 3508 |
| MLL | 0.95 | 0.87 | 0.95 | 0.95 | Nan | 14:32:17:233 | 6500 | 0.94 | 0.86 | 0.94 | 0.94 | Nan | 11:37:18:083 | 6223 |
| WDBC | 0.88 | 0.86 | 0.88 | 0.88 | 0.88 | 3:03:488 | 14 | 0.86 | 0.84 | 0.86 | 0.86 | 0.97 | 1:39:856 | 11 |
| SRBCT | 0.98 | 0.93 | 0.98 | 0.98 | Nan | 30:13:617 | 1201 | 0.98 | 0.93 | 0.98 | 0.98 | Nan | 15:04:977 | 1141 |
| Sobar | 0.80 | 0.61 | 0.80 | 0.80 | Nan | 26:661 | 6 | 0.78 | 0.63 | 0.78 | 0.78 | Nan | 18:519 | 8 |
| Parkinson’s | 0.76 | 0.57 | 0.76 | 0.76 | 0.80 | 44:680 | 10 | 0.75 | 0.58 | 0.75 | 0.75 | 0.79 | 29:326 | 4 |
| Sonar | 0.74 | 0.72 | 0.74 | 0.74 | 0.86 | 1:13:362 | 29 | 0.74 | 0.72 | 0.74 | 0.74 | 0.86 | 44:256 | 41 |
| Divorce | 0.99 | 0.99 | 0.99 | 0.99 | 0.99 | 1:00:577 | 14 | 0.99 | 0.99 | 0.99 | 0.99 | 0.99 | 35:622 | 18 |
| SpectTF | 0.70 | 0.47 | 0.70 | 0.70 | 0.63 | 1:30:154 | 26 | 0.71 | 0.46 | 0.71 | 0.71 | 0.59 | 49:101 | 24 |
| Urban | 0.82 | 0.82 | 0.82 | 0.82 | Nan | 8:24:944 | 0.81 | 0.79 | 0.81 | 0.81 | 0.67 | Nan | 4:07:742 | 99 |
| WPBC | 0.63 | 0.52 | 0.63 | 0.63 | 0.65 | 1:02:621 | 13 | 0.63 | 0.52 | 0.63 | 0.63 | 0.65 | 35:621 | 16 |
| XGBoost classifier with 10 trees | ||||||||||||||
| Colon | 0.80 | 0.75 | 0.80 | 0.80 | 0.88 | 19:16:256 | 1064 | 0.80 | 0.75 | 0.80 | 0.80 | 0.90 | 9:56:465 | 1069 |
| Darwin | 0.87 | 0.87 | 0.87 | 0.87 | 0.97 | 4:43:962 | 258 | 0.86 | 0.86 | 0.86 | 0.86 | 0.92 | 3:18:72 | 262 |
| Leukemia | 0.93 | 0.87 | 0.93 | 0.93 | Nan | 54:23:664 | 1732 | 0.93 | 0.87 | 0.93 | 0.93 | Nan | 31:49:948 | 1730 |
| Leukemia-3c | 0.93 | 0.83 | 0.93 | 0.93 | Nan | 13:26:19:141 | 3508 | 0.93 | 0.83 | 0.93 | 0.93 | Nan | 5:52:38:346 | 3508 |
| MLL | 0.93 | 0.85 | 0.93 | 0.93 | Nan | 14:32:17:233 | 6500 | 0.92 | 0.85 | 0.92 | 0.92 | Nan | 11:37:18:083 | 6223 |
| WDBC | 0.95 | 0.94 | 0.95 | 0.95 | 0.99 | 3:03:488 | 14 | 0.94 | 0.93 | 0.94 | 0.94 | 0.98 | 1:39:856 | 11 |
| SRBCT | 0.97 | 0.90 | 0.97 | 0.97 | Nan | 30:13:617 | 1201 | 0.97 | 0.90 | 0.97 | 0.97 | Nan | 15:04:977 | 1141 |
| Sobar | 0.88 | 0.73 | 0.88 | 0.88 | Nan | 26:661 | 6 | 0.89 | 0.80 | 0.89 | 0.89 | Nan | 18:519 | 8 |
| Parkinson’s | 0.89 | 0.82 | 0.89 | 0.89 | 0.96 | 44:680 | 10 | 0.88 | 0.81 | 0.88 | 0.88 | 0.95 | 29:326 | 4 |
| Sonar | 0.75 | 0.74 | 0.75 | 0.75 | 0.89 | 1:13:362 | 29 | 0.75 | 0.74 | 0.75 | 0.75 | 0.87 | 44:256 | 41 |
| Divorce | 0.98 | 0.97 | 0.98 | 0.98 | 0.98 | 1:00:577 | 14 | 0.98 | 0.97 | 0.98 | 0.98 | 0.99 | 35:622 | 18 |
| SpectTF | 0.80 | 0.63 | 0.80 | 0.80 | 0.80 | 1:30:154 | 26 | 0.80 | 0.63 | 0.80 | 0.80 | 0.80 | 49:101 | 24 |
| Urban | 0.87 | 0.84 | 0.87 | 0.87 | Nan | 8:24:944 | 80 | 0.87 | 0.84 | 0.87 | 0.87 | Nan | 4:07:742 | 99 |
| WPBC | 0.74 | 0.59 | 0.74 | 0.74 | 0.71 | 1:02:621 | 13 | 0.75 | 0.64 | 0.75 | 0.75 | 0.67 | 35:621 | 16 |
| Naive Bayes | ||||||||||||||
| Colon | 0.87 | 0.81 | 0.87 | 0.87 | 0.86 | 19:16:256 | 1064 | 0.81 | 0.80 | 0.81 | 0.81 | 0.84 | 9:56:465 | 1069 |
| Darwin | 0.90 | 0.90 | 0.90 | 0.90 | 0.94 | 4:43:962 | 258 | 0.90 | 0.89 | 0.90 | 0.90 | 0.93 | 3:18:72 | 262 |
| Leukemia | 0.98 | 0.94 | 0.98 | 0.98 | Nan | 54:23:664 | 1732 | 0.96 | 0.95 | 0.96 | 0.96 | Nan | 31:49:948 | 1730 |
| Leukemia-3c | 0.91 | 0.94 | 0.91 | 0.91 | Nan | 13:26:19:141 | 3508 | 0.91 | 0.94 | 0.91 | 0.91 | Nan | 5:52:38:346 | 3508 |
| MLL | 0.96 | 0.94 | 0.96 | 0.96 | Nan | 14:32:17:233 | 6500 | 0.96 | 0.95 | 0.96 | 0.96 | Nan | 11:37:18:083 | 6223 |
| WDBC | 0.94 | 0.92 | 0.94 | 0.94 | 0.98 | 3:03:488 | 14 | 0.91 | 0.90 | 0.91 | 0.91 | 0.97 | 1:39:856 | 11 |
| SRBCT | 1.00 | 1.00 | 1.00 | 1.00 | Nan | 30:13:617 | 1201 | 0.99 | 0.99 | 0.99 | 0.99 | Nan | 15:04:977 | 1141 |
| Sobar | 0.85 | 0.83 | 0.85 | 0.85 | Nan | 26:661 | 6 | 0.86 | 0.85 | 0.86 | 0.86 | Nan | 18:519 | 8 |
| Parkinson’s | 0.81 | 0.73 | 0.81 | 0.81 | 0.86 | 44:680 | 10 | 0.79 | 0.75 | 0.79 | 0.79 | 0.87 | 29:326 | 4 |
| Sonar | 0.73 | 0.68 | 0.73 | 0.73 | 0.80 | 1:13:362 | 29 | 0.69 | 0.68 | 0.69 | 0.69 | 0.79 | 44:256 | 41 |
| Divorce | 0.98 | 0.98 | 0.98 | 0.98 | 0.99 | 1:00:577 | 14 | 0.98 | 0.98 | 0.98 | 0.98 | 0.99 | 35:622 | 18 |
| SpectTF | 0.79 | 0.68 | 0.79 | 0.79 | 0.86 | 1:30:154 | 26 | 0.80 | 0.69 | 0.80 | 0.80 | 0.86 | 49:101 | 24 |
| Urban | 80 | 0.72 | 0.80 | 0.80 | 0.69 | 8:24:944 | 80 | 0.79 | 0.70 | 0.79 | 0.79 | Nan | 4:07:742 | 99 |
| WPBC | 0.74 | 0.59 | 0.74 | 0.74 | 0.71 | 1:02:621 | 13 | 0.73 | 0.61 | 0.73 | 0.73 | 0.71 | 35:621 | 16 |
| Name | MBHO—No Correlation | MBHO-Correlation | State with Correlation | ||||||||||||
|---|---|---|---|---|---|---|---|---|---|---|---|---|---|---|---|
| Acc | F1 | Precision | Recall | AUC | Time | Features | Acc | F1 | Precision | Recall | AUC | Time | Features | Performance | |
| KNN classifier with | |||||||||||||||
| Colon | 0.82 | 0.82 | 0.82 | 0.82 | Nan | 6:21:686 | 997 | 0.86 | 0.83 | 0.86 | 0.86 | Nan | 19:16:256 | 1064 | better |
| Darwin | 0.86 | 0.86 | 0.86 | 0.86 | Nan | 3:06:425 | 260 | 0.87 | 0.86 | 0.87 | 0.87 | Nan | 4:43:962 | 258 | better |
| Leukemia | 0.99 | 0.94 | 0.99 | 0.99 | Nan | 9:18:925 | 1702 | 0.99 | 0.94 | 0.99 | 0.99 | Nan | 54:23:664 | 1732 | even |
| Leukemia-3c | 0.97 | 0.87 | 0.97 | 0.97 | Nan | 25:21:440 | 3619 | 0.97 | 0.87 | 0.97 | 0.97 | Nan | 13:26:19:141 | 3508 | even |
| MLL | 0.93 | 0.85 | 0.93 | 0.93 | Nan | 49:20:481 | 6223 | 0.94 | 0.87 | 0.94 | 0.94 | Nan | 14:32:17:233 | 6500 | better |
| WDBC | 0.95 | 0.94 | 0.95 | 0.95 | Nan | 48:443 | 10 | 0.95 | 0.94 | 0.95 | 0.95 | Nan | 3:03:488 | 14 | even |
| SRBCT | 0.95 | 0.91 | 0.95 | 0.95 | Nan | 7:58:261 | 1250 | 0.95 | 0.90 | 0.95 | 0.95 | Nan | 30:13:617 | 1201 | even |
| Sobar | 0.94 | 0.85 | 0.94 | 0.94 | Nan | 31:860 | 8 | 0.94 | 0.85 | 0.94 | 0.94 | Nan | 26:661 | 6 | even |
| Parkinson’s | 0.91 | 0.87 | 0.91 | 0.91 | Nan | 45:745 | 7 | 0.91 | 0.87 | 0.91 | 0.91 | Nan | 44:680 | 10 | even |
| Sonar | 0.90 | 0.90 | 0.91 | 0.91 | Nan | 47:031 | 26 | 0.92 | 0.91 | 0.92 | 0.92 | Nan | 1:13:362 | 29 | better |
| Divorce | 0.98 | 0.98 | 0.98 | 0.98 | Nan | 52:827 | 8 | 0.99 | 0.99 | 0.99 | 0.99 | Nan | 1:00:577 | 14 | better |
| SpectTF | 0.82 | 0.74 | 0.82 | 0.82 | Nan | 48:776 | 25 | 0.84 | 0.84 | 0.84 | 0.84 | Nan | 1:30:154 | 26 | better |
| Urban | 0.75 | 0.68 | 0.75 | 0.75 | Nan | 2:06:484 | 89 | 0.77 | 0.72 | 0.77 | 0.77 | Nan | 8:24:944 | 80 | better |
| WPBC | 0.77 | 0.65 | 0.77 | 0.77 | Nan | 37:776 | 13 | 0.78 | 0.65 | 0.78 | 0.78 | Nan | 1:02:621 | 13 | better |
| LR classifier | |||||||||||||||
| Colon | 0.83 | 0.79 | 0.83 | 0.83 | 0.83 | 6:21:686 | 997 | 0.76 | 0.68 | 0.76 | 0.76 | 0.73 | 19:16:256 | 1064 | worse |
| Darwin | 0.82 | 0.82 | 0.82 | 0.82 | 0.82 | 3:06:425 | 260 | 0.80 | 0.79 | 0.80 | 0.80 | 0.80 | 4:43:962 | 258 | worse |
| Leukemia | 0.97 | 0.92 | 0.97 | 0.97 | Nan | 9:18:925 | 1702 | 0.97 | 0.92 | 0.97 | 0.97 | Nan | 54:23:664 | 1732 | even |
| Leukemia-3c | 0.94 | 0.84 | 0.94 | 0.94 | Nan | 25:21:440 | 3619 | 0.92 | 0.81 | 0.92 | 0.92 | Nan | 13:26:19:141 | 3508 | worse |
| MLL | 0.93 | 0.85 | 0.93 | 0.93 | Nan | 49:20:481 | 6223 | 0.93 | 0.86 | 0.93 | 0.93 | Nan | 14:32:17:233 | 6500 | even |
| WDBC | 0.89 | 0.88 | 0.89 | 0.89 | 0.97 | 48:443 | 10 | 0.84 | 0.82 | 0.84 | 0.84 | 0.96 | 3:03:488 | 14 | worse |
| SRBCT | 0.96 | 0.91 | 0.96 | 0.96 | Nan | 7:58:261 | 1250 | 0.91 | 0.88 | 0.91 | 0.91 | Nan | 30:13:617 | 1201 | worse |
| Sobar | 0.89 | 0.88 | 0.89 | 0.89 | Nan | 31:860 | 8 | 0.83 | 0.70 | 0.83 | 0.83 | Nan | 26:661 | 6 | worse |
| Parkinson’s | 0.71 | 48 | 0.71 | 0.71 | 80 | 45:745 | 7 | 0.71 | 0.48 | 0.71 | 0.71 | 0.77 | 44:680 | 10 | even |
| Sonar | 0.78 | 0.75 | 0.78 | 0.78 | 0.87 | 47:031 | 26 | 0.73 | 0.71 | 0.73 | 0.73 | 0.85 | 1:13:362 | 29 | worse |
| Divorce | 0.98 | 0.98 | 0.98 | 0.98 | 0.99 | 52:827 | 8 | 0.97 | 0.97 | 0.97 | 0.97 | 0.99 | 1:00:577 | 14 | worse |
| SpectTF | 0.72 | 0.46 | 0.72 | 0.72 | 0.58 | 48:776 | 25 | 0.70 | 0.47 | 0.70 | 0.70 | 0.63 | 1:30:154 | 26 | worse |
| Urban | 0.67 | 0.60 | 0.67 | 0.67 | Nan | 2:06:484 | 89 | 0.69 | 0.63 | 0.69 | 0.69 | Nan | 8:24:944 | 80 | better |
| WPBC | 0.60 | 0.49 | 0.60 | 0.60 | 0.76 | 37:776 | 13 | 0.60 | 0.47 | 0.60 | 0.60 | 0.69 | 1:02:621 | 13 | even |
| XGBoost classifier with 10 trees | |||||||||||||||
| Colon | 0.85 | 0.83 | 0.85 | 0.85 | 0.86 | 6:21:686 | 997 | 0.80 | 0.75 | 0.80 | 0.80 | 0.88 | 19:16:256 | 1064 | worse |
| Darwin | 0.82 | 0.82 | 0.82 | 0.82 | 0.93 | 3:06:425 | 260 | 0.84 | 0.84 | 0.84 | 0.84 | 0.91 | 4:43:962 | 258 | better |
| Leukemia | 0.93 | 0.88 | 0.93 | 0.93 | Nan | 9:18:925 | 1702 | 0.93 | 0.87 | 0.93 | 0.93 | Nan | 54:23:664 | 1732 | even |
| Leukemia-3c | 0.93 | 0.85 | 0.93 | 0.93 | Nan | 25:21:440 | 3619 | 0.93 | 0.83 | 0.93 | 0.93 | Nan | 13:26:19:141 | 3508 | even |
| MLL | 0.92 | 0.85 | 0.92 | 0.92 | Nan | 49:20:481 | 6223 | 0.92 | 0.85 | 0.92 | 0.92 | Nan | 14:32:17:233 | 6500 | even |
| WDBC | 0.96 | 0.96 | 0.96 | 0.96 | 0.99 | 48:443 | 10 | 0.95 | 0.94 | 0.95 | 0.95 | 0.99 | 3:03:488 | 14 | worse |
| SRBCT | 0.94 | 0.88 | 0.94 | 0.94 | Nan | 7:58:261 | 1250 | 0.93 | 0.85 | 0.93 | 0.93 | Nan | 30:13:617 | 1201 | worse |
| Sobar | 0.95 | 0.95 | 0.95 | 0.95 | Nan | 31:860 | 8 | 0.87 | 0.72 | 0.87 | 0.87 | Nan | 26:661 | 6 | worse |
| Parkinson’s | 0.90 | 86 | 0.90 | 0.90 | 94 | 45:745 | 7 | 0.91 | 0.87 | 0.91 | 0.91 | 0.97 | 44:680 | 10 | better |
| Sonar | 0.79 | 0.78 | 0.79 | 0.79 | 0.91 | 47:031 | 26 | 0.73 | 0.71 | 0.73 | 0.73 | 0.85 | 1:13:362 | 29 | worse |
| Divorce | 0.96 | 0.96 | 0.96 | 0.96 | 0.99 | 52:827 | 8 | 0.84 | 0.83 | 0.84 | 0.84 | 0.91 | 1:13:362 | 29 | worse |
| SpectTF | 0.79 | 0.61 | 0.79 | 0.79 | 0.78 | 48:776 | 25 | 0.80 | 0.63 | 0.80 | 0.80 | 0.80 | 1:30:154 | 26 | better |
| Urban | 0.87 | 0.83 | 0.87 | 0.87 | Nan | 2:06:484 | 89 | 0.87 | 0.84 | 0.87 | 0.87 | Nan | 8:24:944 | 80 | even |
| WPBC | 0.78 | 0.65 | 0.78 | 0.78 | 0.73 | 37:776 | 13 | 0.74 | 0.59 | 0.74 | 0.74 | 0.71 | 1:02:621 | 13 | worse |
| Naive Bayes | |||||||||||||||
| Colon | 0.81 | 0.81 | 0.81 | 0.81 | 0.84 | 6:21:686 | 997 | 0.81 | 0.81 | 0.81 | 0.81 | 0.86 | 19:16:256 | 1064 | even |
| Darwin | 0.85 | 0.86 | 0.85 | 0.85 | 0.92 | 3:06:425 | 260 | 0.85 | 0.85 | 0.85 | 0.85 | 0.91 | 4:43:962 | 258 | even |
| Leukemia | 0.96 | 0.97 | 0.96 | 0.96 | Nan | 9:18:925 | 1702 | 0.95 | 0.85 | 0.95 | 0.95 | Nan | 54:23:664 | 1732 | worse |
| Leukemia-3c | 0.91 | 0.94 | 0.91 | 0.91 | Nan | 25:21:440 | 3619 | 0.91 | 0.94 | 0.91 | 0.91 | Nan | 13:26:19:141 | 3508 | even |
| MLL | 0.95 | 0.94 | 0.95 | 0.95 | Nan | 49:20:481 | 6223 | 0.95 | 0.94 | 0.95 | 0.95 | Nan | 14:32:17:233 | 6500 | even |
| WDBC | 0.94 | 0.94 | 0.94 | 0.94 | Nan | 48:443 | 10 | 0.92 | 0.92 | 0.92 | 0.92 | 0.98 | 3:03:488 | 14 | worse |
| SRBCT | 0.97 | 0.97 | 0.97 | 0.97 | Nan | 7:58:261 | 1250 | 0.98 | 0.98 | 0.98 | 0.98 | 0.99 | 30:13:617 | 1201 | better |
| Sobar | 0.94 | 0.95 | 0.94 | 0.94 | Nan | 31:860 | 8 | 0.80 | 0.83 | 0.80 | 0.80 | Nan | 26:661 | 6 | worse |
| Parkinson’s | 0.80 | 0.75 | 0.80 | 0.80 | 0.86 | 45:745 | 7 | 0.78 | 0.71 | 0.78 | 0.78 | 0.86 | 44:680 | 10 | worse |
| Sonar | 0.65 | 0.64 | 0.65 | 0.65 | 0.79 | 47:031 | 26 | 0.65 | 0.64 | 0.65 | 0.65 | 0.80 | 1:13:362 | 29 | even |
| Divorce | 0.98 | 0.98 | 0.98 | 0.98 | 0.99 | 52:827 | 8 | 0.98 | 0.98 | 0.98 | 0.98 | 0.99 | 1:00:577 | 14 | even |
| SpectTF | 0.76 | 0.64 | 0.76 | 0.76 | 0.86 | 48:776 | 25 | 0.80 | 0.66 | 0.80 | 0.80 | 0.85 | 1:30:154 | 26 | better |
| Urban | 0.82 | 0.82 | 0.82 | 0.82 | Nan | 2:06:484 | 89 | 0.82 | 0.82 | 0.82 | 0.82 | Nan | 8:24:944 | 80 | even |
| WPBC | 0.61 | 0.60 | 0.61 | 0.61 | 0.68 | 37:776 | 13 | 0.72 | 0.62 | 0.62 | 0.69 | 0.71 | 1:02:621 | 13 | better |
| Name | Features | MBHO—Correlation | MIM [38] | JMI [39] | mRMR [40] | ||||||||||||||||
|---|---|---|---|---|---|---|---|---|---|---|---|---|---|---|---|---|---|---|---|---|---|
| Acc | F1 | Precision | Recall | AUC | Acc | F1 | Precision | Recall | AUC | Acc | F1 | Precision | Recall | AUC | Acc | F1 | Precision | Recall | AUC | ||
| KNN classifier with | |||||||||||||||||||||
| Colon | 1064 | 0.86 | 0.83 | 0.86 | 0.86 | Nan | 0.79 | 0.76 | 0.79 | 0.79 | Nan | 0.79 | 0.76 | 0.79 | 0.79 | Nan | 0.76 | 0.73 | 0.76 | 0.76 | Nan |
| Darwin | 258 | 0.87 | 0.86 | 0.87 | 0.87 | Nan | 0.76 | 0.74 | 0.76 | 0.76 | Nan | 0.75 | 0.72 | 0.75 | 0.75 | Nan | 0.75 | 0.72 | 0.75 | 0.75 | Nan |
| Leukemia | 1732 | 0.99 | 0.94 | 0.99 | 0.99 | Nan | 0.99 | 0.94 | 0.99 | 0.99 | Nan | 0.99 | 0.94 | 0.99 | 0.99 | Nan | 0.99 | 0.94 | 0.99 | 0.99 | Nan |
| Leukemia-3c | 3508 | 0.97 | 0.87 | 0.97 | 0.97 | Nan | 0.93 | 0.85 | 0.93 | 0.93 | Nan | 0.93 | 0.85 | 0.93 | 0.93 | Nan | 0.93 | 0.85 | 0.93 | 0.93 | Nan |
| MLL | 6500 | 0.94 | 0.87 | 0.94 | 0.94 | Nan | 0.94 | 0.87 | 0.94 | 0.94 | Nan | 0.93 | 0.85 | 0.93 | 0.93 | Nan | 0.93 | 0.85 | 0.93 | 0.93 | Nan |
| WDBC | 14 | 0.95 | 0.94 | 0.95 | 0.95 | Nan | 0.93 | 0.93 | 0.93 | 0.93 | Nan | 0.93 | 0.93 | 0.93 | 0.93 | Nan | 0.94 | 0.93 | 0.94 | 0.94 | Nan |
| SRBCT | 1201 | 0.95 | 0.90 | 0.95 | 0.95 | Nan | 0.95 | 0.89 | 0.95 | 0.95 | Nan | 0.90 | 0.85 | 0.90 | 0.90 | Nan | 0.95 | 0.89 | 0.95 | 0.95 | Nan |
| Sobar | 6 | 0.94 | 0.85 | 0.94 | 0.94 | Nan | 0.89 | 0.77 | 0.89 | 0.89 | Nan | 0.86 | 0.74 | 0.86 | 0.86 | Nan | 0.92 | 0.79 | 0.92 | 0.92 | Nan |
| Parkinson’s | 10 | 0.91 | 0.87 | 0.91 | 0.91 | Nan | 0.86 | 0.79 | 0.86 | 0.86 | Nan | 0.87 | 0.88 | 0.87 | 0.87 | Nan | 0.85 | 0.77 | 0.85 | 0.85 | Nan |
| Sonar | 29 | 0.92 | 0.91 | 0.92 | 0.92 | Nan | 0.87 | 0.86 | 0.87 | 0.87 | Nan | 0.83 | 0.83 | 0.83 | 0.83 | Nan | 0.86 | 0.86 | 0.86 | 0.86 | Nan |
| Divorce | 14 | 0.99 | 0.99 | 0.99 | 0.99 | Nan | 0.98 | 0.97 | 0.98 | 0.98 | Nan | 0.98 | 0.97 | 0.98 | 0.98 | Nan | 0.98 | 0.97 | 0.98 | 0.98 | Nan |
| SpectTF | 26 | 0.84 | 0.84 | 0.84 | 0.84 | Nan | 0.76 | 0.63 | 0.76 | 0.76 | Nan | 0.76 | 0.65 | 0.76 | 0.76 | Nan | 0.72 | 0.58 | 0.72 | 0.72 | Nan |
| Urban | 80 | 0.77 | 0.72 | 0.77 | 0.77 | Nan | 0.64 | 0.60 | 0.64 | 0.64 | Nan | 0.70 | 0.66 | 0.70 | 0.70 | Nan | 0.69 | 0.62 | 0.69 | 0.69 | Nan |
| WPBC | 13 | 0.78 | 0.65 | 0.78 | 0.78 | Nan | 0.70 | 0.53 | 0.70 | 0.70 | Nan | 0.68 | 0.56 | 0.68 | 0.68 | Nan | 0.70 | 0.54 | 0.70 | 0.70 | Nan |
| Rank First | 14 | 3 | 1 | 2 | |||||||||||||||||
| Sum of Ranks | 53.06 | 33.04 | 26.04 | 28 | |||||||||||||||||
| Mean of Ranks | 3.79 | 2.36 | 1.86 | 2 | |||||||||||||||||
| LR classifier | |||||||||||||||||||||
| Colon | 1064 | 0.79 | 0.71 | 0.79 | 0.79 | 0.75 | 0.80 | 0.79 | 0.79 | 0.86 | 0.86 | 0.76 | 0.68 | 0.76 | 0.76 | 0.77 | 0.78 | 0.70 | 0.78 | 0.76 | 0.81 |
| Darwin | 258 | 0.87 | 0.87 | 0.87 | 0.87 | 0.87 | 0.87 | 0.86 | 0.87 | 0.87 | 0.87 | 0.86 | 0.86 | 0.86 | 0.86 | 0.86 | 0.87 | 0.86 | 0.87 | 0.87 | 0.87 |
| Leukemia | 1732 | 0.97 | 0.92 | 0.97 | 0.97 | 0.92 | 0.97 | 0.92 | 0.97 | 0.97 | Nan | 0.97 | 0.92 | 0.97 | 0.97 | Nan | 0.97 | 0.92 | 0.97 | 0.97 | Nan |
| Leukemia-3c | 3508 | 0.87 | 0.74 | 0.87 | 0.87 | Nan | 0.93 | 0.85 | 0.93 | 0.93 | Nan | 0.93 | 0.83 | 0.93 | 0.93 | Nan | 0.99 | 0.88 | 0.99 | 0.99 | Nan |
| MLL | 6500 | 0.95 | 0.87 | 0.95 | 0.95 | Nan | 0.90 | 0.82 | 0.90 | 0.90 | Nan | 0.97 | 0.90 | 0.97 | 0.97 | Nan | 0.96 | 0.89 | 0.96 | 0.96 | Nan |
| WDBC | 14 | 0.88 | 0.86 | 0.88 | 0.88 | 0.88 | 0.88 | 0.88 | 0.88 | 0.88 | 0.90 | 0.90 | 0.89 | 0.90 | 0.90 | 0.90 | 0.87 | 0.85 | 0.87 | 0.87 | 0.88 |
| SRBCT | 1201 | 0.98 | 0.93 | 0.98 | 0.98 | Nan | 0.98 | 0.93 | 0.98 | 0.98 | Nan | 0.98 | 0.92 | 0.98 | 0.98 | Nan | 0.96 | 0.92 | 0.96 | 0.96 | Nan |
| Sobar | 6 | 0.80 | 0.61 | 0.80 | 0.80 | Nan | 0.71 | 0.45 | 0.71 | 0.71 | Nan | 0.74 | 0.48 | 0.74 | 0.74 | Nan | 0.76 | 0.63 | 0.76 | 0.76 | Nan |
| Parkinson’s | 10 | 0.76 | 0.57 | 0.76 | 0.76 | 0.80 | 0.73 | 0.54 | 0.73 | 0.73 | 0.82 | 0.71 | 0.53 | 0.71 | 0.71 | 0.76 | 0.74 | 0.63 | 0.74 | 0.74 | 0.78 |
| Sonar | 29 | 0.74 | 0.72 | 0.74 | 0.74 | 0.86 | 0.76 | 0.74 | 0.76 | 0.76 | 0.85 | 0.72 | 0.68 | 0.72 | 0.72 | 0.87 | 0.74 | 0.72 | 0.74 | 0.74 | 0.84 |
| Divorce | 14 | 0.99 | 0.99 | 0.99 | 0.99 | 0.99 | 0.98 | 0.98 | 0.98 | 0.98 | 0.99 | 0.98 | 0.98 | 0.98 | 0.98 | 0.99 | 0.99 | 0.99 | 0.99 | 0.99 | 0.98 |
| SpectTF | 26 | 0.70 | 0.47 | 0.70 | 0.70 | 0.63 | 0.73 | 0.45 | 0.73 | 0.73 | 0.57 | 0.74 | 0.45 | 0.74 | 0.74 | 0.57 | 0.73 | 0.49 | 0.73 | 0.73 | 61 |
| Urban | 80 | 0.61 | 0.55 | 0.61 | 0.61 | Nan | 0.60 | 0.55 | 0.60 | 0.60 | Nan | 0.66 | 0.57 | 0.66 | 0.66 | Nan | 0.62 | 0.54 | 0.62 | 0.62 | Nan |
| WPBC | 13 | 0.63 | 0.52 | 0.63 | 0.63 | 0.65 | 0.69 | 0.52 | 0.69 | 0.70 | 0.61 | 0.58 | 0.44 | 0.58 | 0.58 | 0.58 | 0.55 | 0.41 | 0.55 | 0.55 | 0.58 |
| Rank First | 6 | 6 | 6 | 4 | |||||||||||||||||
| Sum of Ranks | 26.4 | 24.6 | 23.9 | 25 | |||||||||||||||||
| Mean of Ranks | 2.64 | 2.46 | 2.39 | 2.5 | |||||||||||||||||
| XGBoost classifier with 10 trees | |||||||||||||||||||||
| Colon | 1064 | 0.80 | 0.75 | 0.80 | 0.80 | 0.88 | 0.81 | 0.80 | 0.81 | 0.81 | 0.90 | 0.80 | 0.77 | 0.80 | 0.80 | 0.91 | 0.80 | 0.77 | 0.80 | 0.77 | 0.87 |
| Darwin | 258 | 0.87 | 0.87 | 0.87 | 0.87 | 0.97 | 0.84 | 0.84 | 0.84 | 0.84 | 0.93 | 0.85 | 0.85 | 0.85 | 0.85 | 0.93 | 0.84 | 0.84 | 0.84 | 0.84 | 0.93 |
| Leukemia | 1732 | 0.93 | 0.87 | 0.93 | 0.93 | Nan | 0.93 | 0.87 | 0.93 | 0.93 | Nan | 0.93 | 0.87 | 0.93 | 0.93 | Nan | 0.93 | 0.87 | 0.93 | 0.93 | Nan |
| Leukemia-3c | 3508 | 0.93 | 0.83 | 0.93 | 0.93 | Nan | 0.93 | 0.85 | 0.93 | 0.93 | Nan | 0.92 | 0.84 | 0.92 | 0.92 | Nan | 0.94 | 0.86 | 0.94 | 0.94 | Nan |
| MLL | 6500 | 0.93 | 0.85 | 0.93 | 0.93 | Nan | 0.90 | 0.82 | 0.90 | 0.90 | Nan | 0.90 | 0.82 | 0.90 | 0.90 | Nan | 0.93 | 0.85 | 0.93 | 0.93 | Nan |
| WDBC | 14 | 0.95 | 0.94 | 0.95 | 0.95 | 0.99 | 0.96 | 0.95 | 0.96 | 0.96 | 0.98 | 0.90 | 0.82 | 0.90 | 0.90 | 0.90 | 0.95 | 0.95 | 0.95 | 0.95 | 0.99 |
| SRBCT | 1201 | 0.97 | 0.90 | 0.97 | 0.97 | Nan | 0.97 | 0.90 | 0.97 | 0.97 | Nan | 0.97 | 0.90 | 0.97 | 0.97 | Nan | 0.97 | 0.90 | 0.97 | 0.97 | Nan |
| Sobar | 6 | 0.90 | 0.77 | 0.90 | 0.90 | Nan | 0.88 | 0.73 | 0.88 | 0.88 | Nan | 0.87 | 0.72 | 0.87 | 0.87 | Nan | 0.89 | 0.72 | 0.89 | 0.89 | Nan |
| Parkinson’s | 10 | 0.89 | 0.82 | 0.89 | 0.89 | 0.96 | 0.92 | 0.88 | 0.92 | 0.92 | 0.92 | 0.92 | 0.87 | 0.92 | 0.92 | 0.95 | 0.90 | 0.83 | 0.90 | 0.90 | 0.97 |
| Sonar | 29 | 0.75 | 0.74 | 0.75 | 0.75 | 0.89 | 0.82 | 0.82 | 0.82 | 0.82 | 0.90 | 0.81 | 0.81 | 0.81 | 0.81 | 0.92 | 0.77 | 0.76 | 0.77 | 0.77 | 0.90 |
| Divorce | 14 | 0.98 | 0.97 | 0.98 | 0.98 | 0.98 | 0.98 | 0.97 | 0.98 | 0.98 | 0.99 | 0.97 | 0.97 | 0.97 | 0.97 | 0.99 | 0.97 | 0.97 | 0.97 | 0.97 | 0.99 |
| SpectTF | 26 | 0.80 | 0.63 | 0.80 | 0.80 | 0.80 | 0.80 | 0.66 | 0.80 | 0.80 | 0.83 | 0.78 | 0.63 | 0.78 | 0.78 | 0.78 | 0.81 | 0.65 | 0.81 | 0.81 | 0.83 |
| Urban | 80 | 0.87 | 0.84 | 0.87 | 0.87 | Nan | 0.87 | 0.84 | 0.87 | 0.87 | Nan | 0.87 | 0.82 | 0.87 | 0.87 | Nan | 0.87 | 0.87 | 0.87 | 0.87 | Nan |
| WPBC | 13 | 0.74 | 0.59 | 0.74 | 0.74 | 0.71 | 0.78 | 0.65 | 0.78 | 0.78 | 0.71 | 0.78 | 0.63 | 0.78 | 0.78 | 0.67 | 0.75 | 0.60 | 0.75 | 0.75 | 0.74 |
| Rank First | 8 | 7 | 5 | 8 | |||||||||||||||||
| Sum of Ranks | 25 | 28.6 | 21.1 | 25.4 | |||||||||||||||||
| Mean of Ranks | 2.5 | 2.86 | 2.11 | 2.54 | |||||||||||||||||
| Naive Bayes | |||||||||||||||||||||
| Colon | 1064 | 0.87 | 0.81 | 0.87 | 0.87 | 0.86 | 0.86 | 0.86 | 0.86 | 0.86 | 0.88 | 0.86 | 0.86 | 0.86 | 0.86 | 0.89 | 0.86 | 0.86 | 0.86 | 0.86 | 0.90 |
| Darwin | 258 | 0.90 | 0.90 | 0.90 | 0.90 | 0.94 | 0.90 | 0.90 | 0.90 | 0.90 | 0.95 | 0.90 | 0.90 | 0.90 | 0.90 | 0.95 | 0.88 | 0.88 | 0.88 | 0.88 | 0.94 |
| Leukemia | 1732 | 0.98 | 0.94 | 0.98 | 0.98 | Nan | 0.98 | 0.98 | 0.98 | 0.98 | Nan | 0.98 | 0.98 | 0.98 | 0.98 | Nan | 0.98 | 0.98 | 0.98 | 0.98 | Nan |
| Leukemia-3c | 3508 | 0.91 | 0.94 | 0.91 | 0.91 | Nan | 0.91 | 0.94 | 0.91 | 0.91 | Nan | 0.91 | 0.94 | 0.91 | 0.91 | Nan | 0.92 | 0.98 | 0.92 | 0.92 | Nan |
| MLL | 6500 | 0.96 | 0.95 | 0.96 | 0.96 | Nan | 0.96 | 0.96 | 0.96 | 0.96 | Nan | 0.96 | 0.96 | 0.96 | 0.96 | Nan | 0.96 | 0.96 | 0.96 | 0.96 | Nan |
| WDBC | 14 | 0.94 | 0.92 | 0.94 | 0.94 | 0.98 | 0.94 | 0.93 | 0.94 | 0.94 | 0.98 | 0.93 | 0.93 | 0.93 | 0.93 | 0.98 | 0.94 | 0.94 | 0.94 | 0.94 | 0.99 |
| SRBCT | 1201 | 1.00 | 1.00 | 1.00 | 1.00 | Nan | 1.00 | 1.00 | 1.00 | 1.00 | Nan | 1.00 | 1.00 | 1.00 | 1.00 | Nan | 1.00 | 1.00 | 1.00 | 1.00 | Nan |
| Sobar | 6 | 0.85 | 0.83 | 0.85 | 0.85 | Nan | 0.90 | 0.91 | 0.90 | 0.90 | Nan | 0.84 | 0.85 | 0.84 | 0.84 | Nan | 0.81 | 0.84 | 0.81 | 0.81 | Nan |
| Parkinson’s | 10 | 0.81 | 0.73 | 0.81 | 0.81 | 0.86 | 0.81 | 0.72 | 0.81 | 0.81 | 0.88 | 0.72 | 0.70 | 0.72 | 0.72 | 0.88 | 0.77 | 0.74 | 0.77 | 0.77 | 0.87 |
| Sonar | 29 | 0.73 | 0.68 | 0.73 | 0.73 | 0.80 | 0.69 | 0.68 | 0.69 | 0.69 | 0.81 | 0.72 | 0.72 | 0.72 | 0.72 | 0.84 | 0.71 | 0.70 | 0.71 | 0.71 | 0.80 |
| Divorce | 14 | 0.98 | 0.98 | 0.98 | 0.98 | 0.99 | 0.98 | 0.98 | 0.98 | 0.98 | 0.99 | 0.98 | 0.98 | 0.98 | 0.98 | 0.99 | 0.71 | 0.70 | 0.71 | 0.71 | 0.80 |
| SpectTF | 26 | 0.79 | 0.68 | 0.79 | 0.79 | 0.86 | 0.79 | 0.68 | 0.79 | 0.79 | 0.86 | 0.79 | 0.66 | 0.79 | 0.79 | 0.86 | 0.79 | 0.68 | 0.79 | 0.79 | 0.8 |
| Urban | 80 | 0.72 | 0.62 | 0.62 | 0.69 | 0.71 | 0.87 | 0.77 | 0.78 | 0.78 | Nan | 0.83 | 0.82 | 0.82 | 0.83 | Nan | 0.78 | 0.75 | 0.78 | 0.75 | Nan |
| WPBC | 13 | 0.74 | 0.59 | 0.74 | 0.74 | 0.71 | 0.58 | 0.58 | 0.58 | 0.58 | 0.67 | 0.62 | 0.62 | 0.62 | 0.62 | 0.69 | 0.7 | 0.94 | 0.94 | 0.94 | 0.99 |
| Rank First | 10 | 11 | 6 | 6 | |||||||||||||||||
| Sum of Ranks | 28.6 | 26.4 | 22.9 | 22.1 | |||||||||||||||||
| Mean of Ranks | 2.86 | 2.64 | 2.29 | 2.21 | |||||||||||||||||
| Name | MBHO—Correlation (Spearman’s) | MBHO—Correlation (Kendall’s) | ||||||||||||
|---|---|---|---|---|---|---|---|---|---|---|---|---|---|---|
| Acc | F1 | Precision | Recall | AUC | Time | Features | Acc | F1 | Precision | Recall | AUC | Time | Features | |
| KNN classifier with | ||||||||||||||
| Colon | 0.86 | 0.83 | 0.86 | 0.86 | Nan | 19:16:256 | 1064 | 0.82 | 0.80 | 0.82 | 0.82 | Nan | 2:48:04:767 | 1081 |
| Darwin | 0.87 | 0.86 | 0.87 | 0.87 | Nan | 4:43:962 | 258 | 0.84 | 0.84 | 0.84 | 0.84 | Nan | 33:58:890 | 246 |
| WDBC | 0.95 | 0.94 | 0.95 | 0.95 | Nan | 3:03:488 | 14 | 0.95 | 0.95 | 0.95 | 0.95 | Nan | 3:13:206 | 13 |
| Parkinson’s | 0.91 | 0.87 | 0.91 | 0.91 | Nan | 44:680 | 10 | 0.91 | 0.87 | 0.91 | 0.91 | Nan | 53:316 | 9 |
| Sonar | 0.92 | 0.91 | 0.92 | 0.92 | Nan | 1:13:362 | 29 | 0.90 | 0.90 | 0.90 | 0.90 | Nan | 1:26:922 | 29 |
| Divorce | 0.99 | 0.99 | 0.99 | 0.99 | Nan | 1:00:577 | 14 | 0.98 | 0.98 | 0.98 | 0.98 | Nan | 55:658 | 12 |
| SpectTF | 0.84 | 0.84 | 0.84 | 0.84 | Nan | 1:30:154 | 26 | 0.84 | 0.73 | 0.84 | 0.84 | Nan | 1:30:930 | 19 |
| WPBC | 0.78 | 0.65 | 0.78 | 0.78 | Nan | 1:02:621 | 13 | 0.76 | 0.63 | 0.76 | 0.76 | Nan | 55:021 | 17 |
| LR classifier | ||||||||||||||
| Colon | 0.76 | 0.68 | 0.76 | 0.76 | 0.73 | 19:16:256 | 1064 | 0.81 | 0.76 | 0.81 | 0.81 | 0.83 | 2:48:04:767 | 1081 |
| Darwin | 0.80 | 0.79 | 0.80 | 0.80 | 0.80 | 4:43:962 | 258 | 0.85 | 0.85 | 0.85 | 0.85 | 0.93 | 33:58:890 | 246 |
| WDBC | 0.84 | 0.82 | 0.84 | 0.84 | 0.96 | 3:03:488 | 14 | 0.87 | 0.85 | 0.87 | 0.87 | 0.98 | 3:13:206 | 13 |
| Parkinson’s | 0.71 | 0.48 | 0.71 | 0.71 | 0.77 | 44:680 | 10 | 0.73 | 0.52 | 0.73 | 0.73 | 0.72 | 53:316 | 9 |
| Sonar | 0.73 | 0.71 | 0.73 | 0.73 | 0.85 | 1:13:362 | 29 | 0.74 | 0.71 | 0.74 | 0.74 | 0.85 | 1:26:922 | 29 |
| Divorce | 0.97 | 0.97 | 0.97 | 0.97 | 0.99 | 1:00:577 | 14 | 0.98 | 0.97 | 0.98 | 0.98 | 0.99 | 55:658 | 12 |
| SpectTF | 0.70 | 0.47 | 0.70 | 0.70 | 0.63 | 1:30:154 | 26 | 0.73 | 0.50 | 0.73 | 0.73 | 0.63 | 1:30:930 | 19 |
| WPBC | 0.60 | 0.47 | 0.60 | 0.60 | 0.69 | 1:02:621 | 13 | 0.55 | 0.42 | 0.55 | 0.55 | 0.68 | 55:021 | 17 |
| XGBoost classifier with 10 trees | ||||||||||||||
| Colon | 0.80 | 0.75 | 0.80 | 0.80 | 0.88 | 19:16:256 | 1064 | 0.79 | 0.78 | 0.79 | 0.79 | 0.90 | 2:48:04:767 | 1081 |
| Darwin | 0.84 | 0.84 | 0.84 | 0.84 | 0.91 | 4:43:962 | 258 | 0.84 | 0.83 | 0.84 | 0.84 | 0.93 | 33:58:890 | 246 |
| WDBC | 0.95 | 0.94 | 0.95 | 0.95 | 0.99 | 3:03:488 | 14 | 0.94 | 0.94 | 0.94 | 0.94 | 0.99 | 3:13:206 | 13 |
| Parkinson’s | 0.91 | 0.87 | 0.91 | 0.91 | 0.97 | 44:680 | 10 | 0.91 | 0.88 | 0.91 | 0.91 | 0.97 | 53:316 | 9 |
| Sonar | 0.84 | 0.83 | 0.84 | 0.84 | 0.91 | 1:13:362 | 29 | 0.78 | 0.78 | 0.78 | 0.78 | 0.91 | 1:26:922 | 29 |
| Divorce | 0.97 | 0.97 | 0.97 | 0.97 | 0.99 | 1:00:577 | 14 | 0.98 | 0.97 | 0.97 | 0.97 | 0.99 | 55:658 | 12 |
| SpectTF | 0.80 | 0.63 | 0.80 | 0.80 | 0.80 | 1:30:154 | 26 | 0.81 | 0.65 | 0.81 | 0.81 | 0.81 | 1:30:930 | 19 |
| WPBC | 0.74 | 0.59 | 0.74 | 0.74 | 0.71 | 1:02:621 | 13 | 0.74 | 0.57 | 0.74 | 0.74 | 0.69 | 55:021 | 17 |
| Naive Bayes | ||||||||||||||
| Colon | 0.81 | 0.0.81 | 0.81 | 0.81 | 0.86 | 19:16:256 | 1064 | 0.84 | 0.84 | 0.84 | 0.84 | 0.85 | 2:48:04:767 | 1081 |
| Darwin | 0.85 | 0.85 | 0.85 | 0.85 | 0.91 | 4:43:962 | 258 | 0.87 | 0.87 | 0.87 | 0.87 | 0.91 | 33:58:890 | 246 |
| WDBC | 0.92 | 0.92 | 0.92 | 0.92 | 0.98 | 3:03:488 | 14 | 0.93 | 0.93 | 0.93 | 0.93 | 0.98 | 3:13:206 | 13 |
| Parkinson’s | 0.78 | 0.71 | 0.78 | 0.78 | 0.86 | 44:680 | 10 | 0.79 | 0.71 | 0.79 | 0.79 | 0.87 | 53:316 | 9 |
| Sonar | 0.65 | 0.64 | 0.65 | 0.65 | 0.80 | 1:13:362 | 29 | 0.68 | 0.67 | 0.68 | 0.68 | 0.81 | 1:26:922 | 29 |
| Divorce | 0.98 | 0.98 | 0.98 | 0.98 | 0.99 | 1:00:577 | 14 | 0.98 | 0.98 | 0.98 | 0.98 | 0.99 | 55:658 | 12 |
| SpectTF | 0.80 | 0.66 | 0.80 | 0.80 | 0.85 | 1:30:154 | 26 | 0.98 | 0.98 | 0.98 | 0.98 | 0.99 | 1:30:930 | 19 |
| WPBC | 0.72 | 0.62 | 0.62 | 0.69 | 0.71 | 1:02:621 | 13 | 0.61 | 0.60 | 0.61 | 0.61 | 0.69 | 55:021 | 17 |
Disclaimer/Publisher’s Note: The statements, opinions and data contained in all publications are solely those of the individual author(s) and contributor(s) and not of MDPI and/or the editor(s). MDPI and/or the editor(s) disclaim responsibility for any injury to people or property resulting from any ideas, methods, instructions or products referred to in the content. |
© 2024 by the authors. Licensee MDPI, Basel, Switzerland. This article is an open access article distributed under the terms and conditions of the Creative Commons Attribution (CC BY) license (https://creativecommons.org/licenses/by/4.0/).
Share and Cite
Al-Eiadeh, M.R.; Qaddoura, R.; Abdallah, M. Investigating the Performance of a Novel Modified Binary Black Hole Optimization Algorithm for Enhancing Feature Selection. Appl. Sci. 2024, 14, 5207. https://doi.org/10.3390/app14125207
Al-Eiadeh MR, Qaddoura R, Abdallah M. Investigating the Performance of a Novel Modified Binary Black Hole Optimization Algorithm for Enhancing Feature Selection. Applied Sciences. 2024; 14(12):5207. https://doi.org/10.3390/app14125207
Chicago/Turabian StyleAl-Eiadeh, Mohammad Ryiad, Raneem Qaddoura, and Mustafa Abdallah. 2024. "Investigating the Performance of a Novel Modified Binary Black Hole Optimization Algorithm for Enhancing Feature Selection" Applied Sciences 14, no. 12: 5207. https://doi.org/10.3390/app14125207
APA StyleAl-Eiadeh, M. R., Qaddoura, R., & Abdallah, M. (2024). Investigating the Performance of a Novel Modified Binary Black Hole Optimization Algorithm for Enhancing Feature Selection. Applied Sciences, 14(12), 5207. https://doi.org/10.3390/app14125207


