Application of a Multi-Strategy Improved Sparrow Search Algorithm in Bridge Crane PID Control Systems
Abstract
1. Introduction
2. Mathematical Model of Bridge Crane
- Assumption 1: The motion of the trolley and the load is considered to be that of point masses.
- Assumption 2: During operation, the friction between the track and the wheels is proportional to the running speed. The effects of disturbances such as air resistance and wind force are neglected.
- Assumption 3: The driving force of the trolley is controllable, and the attenuation of transmission mechanisms such as motors is ignored.
3. Multi-Strategy Improved Sparrow Search Algorithm
3.1. Traditional Sparrow Search Algorithm
3.2. Proposed ISSA Algorithm
3.2.1. Tent Chaotic Map Strategy
3.2.2. Incorporating the Ideas of the Sine–Cosine Algorithm
3.2.3. Lévy Flight Strategy
3.2.4. General Framework of ISSA
3.3. Performance of ISSA
4. Design of Adaptive PID Controller Based on ISSA
4.1. Traditional PID Controller
4.2. Improved Adaptive PID Controller
5. Simulation Experiments
5.1. Overshoot Optimization Methods
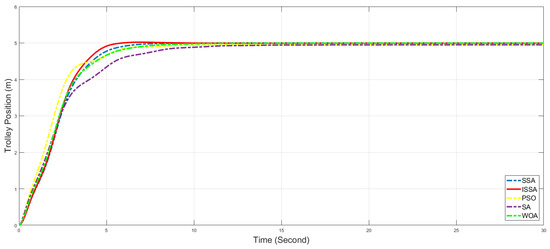
5.2. Simulation and Analysis
5.3. Robustness Simulation Experiments
5.4. Anti-Disturbance Simulation Experiments
6. Conclusions
Author Contributions
Funding
Institutional Review Board Statement
Informed Consent Statement
Data Availability Statement
Conflicts of Interest
References
- Rubio, J.D.J.; Hernandez, M.A.; Rosas, F.J.; Orozco, E.; Balcazar, R.; Pacheco, J. Genetic high-gain controller to improve the position perturbation attenuation and compact high-gain controller to improve the velocity perturbation attenuation in inverted pendulums. Neural Netw. 2024, 170, 32–45. [Google Scholar] [CrossRef] [PubMed]
- Xie, X.; Wei, C.; Gu, Z.; Shi, K. Relaxed Resilient Fuzzy Stabilization of Discrete-Time Takagi–Sugeno Systems via a Higher Order Time-Variant Balanced Matrix Method. IEEE Trans. Fuzzy Syst. 2022, 30, 5044–5050. [Google Scholar] [CrossRef]
- García-Chávez, R.E.; Silva-Ortigoza, R.; Hernández-Guzmán, V.M.; Marciano-Melchor, M.; Orta-Quintana, Á.A.; García-Sánchez, J.R.; Taud, H. A Robust Sliding Mode and PI-Based Tracking Control for the MIMO “DC/DC Buck Converter–Inverter–DC Motor” System. IEEE Access 2023, 11, 119396–119408. [Google Scholar] [CrossRef]
- Al-Fadhli, A.; Khorshid, E. A smooth optimized input shaping method for two-dimensional crane systems using Bezier curves. Trans. Inst. Meas. Control. 2021, 43, 2512–2524. [Google Scholar] [CrossRef]
- Fujioka, D.; Shah, M.; Singhose, W. Robustness analysis of input-shaped model reference control on a double-pendulum crane. In Proceedings of the American Control Conference, Chicago, IL, USA, 1–3 July 2015; pp. 2561–2566. [Google Scholar]
- Cutforth, C.F.; Pao, L.Y. Adaptive input shaping for maneuvering flexible structures. Automatica 2004, 40, 685–693. [Google Scholar] [CrossRef]
- Huang, J.; Liang, Z.; Zang, Q. Dynamics and swing control of double-pendulum bridge cranes with distributed-mass beams. Mech. Syst. Signal Process. 2015, 54–55, 357–366. [Google Scholar] [CrossRef]
- Huang, J.; Xie, X.; Liang, Z. Control of Bridge Cranes with Distributed-Mass Payload Dynamics. IEEE/ASME Trans. Mechatron. 2015, 20, 481–486. [Google Scholar] [CrossRef]
- Kim, J.; Lee, D.; Kiss, B.; Kim, D. An Adaptive Unscented Kalman Filter with Selective Scaling (AUKF-SS) for Overhead Cranes. IEEE Trans. Ind. Electron. 2020, 68, 6131–6140. [Google Scholar] [CrossRef]
- Yang, B.; Xiong, B. Application of LQR Techniques to the Anti-Sway Controller of Overhead Crane. Adv. Mater. Res. 2010, 139–141, 1933–1936. [Google Scholar] [CrossRef]
- Adeli, M.; Zarabadipour, H.; Zarabadi, S.H.; Shoorehdeli, M.A. Anti-swing control for a double-pendulum-type overhead crane via parallel distributed fuzzy LQR controller combined with genetic fuzzy rule set selection. In Proceedings of the 2011 IEEE International Conference on Control System, Computing and Engineering, Penang, Malaysia, 25–27 November 2011. [Google Scholar]
- Wang, T.; Tan, N.; Zhou, J.; Zhang, X.; Zhang, J. A Novel Sliding Mode Control Method for Double Pendulum Crane. In Proceedings of the 3rd International Conference on Information Technologies and Electrical Engineering 2020, Changde, China, 3–5 December 2020. [Google Scholar]
- Guo, Q.; Chai, L.; Liu, H. Anti-swing sliding mode control of three-dimensional double pendulum overhead cranes based on extended state observer. Nonlinear Dyn. 2023, 111, 391–410. [Google Scholar] [CrossRef]
- Qiu, J.; Wang, T.; Sun, K.; Rudas, I.J.; Gao, H. Disturbance Observer-Based Adaptive Fuzzy Control for Strict-Feedback Nonlinear Systems with Finite-Time Prescribed Performance. IEEE Trans. Fuzzy Syst. 2022, 30, 1175–1184. [Google Scholar] [CrossRef]
- de Jesús Rubio, J.; Orozco, E.; Cordova, D.A.; Hernandez, M.A.; Rosas, F.J.; Pacheco, J. Observer-based differential evolution constrained control for safe reference tracking in robots. Neural Netw. 2024, 175, 106273. [Google Scholar] [CrossRef] [PubMed]
- Qian, Y.; Hu, D.; Chen, Y.; Fang, Y.; Hu, Y. Adaptive Neural Network-Based Tracking Control of Underactuated Offshore Ship-to-Ship Crane Systems Subject to Unknown Wave Motions Disturbances. IEEE Trans. Syst. Man Cybern. Syst. 2021, 52, 3626–3637. [Google Scholar] [CrossRef]
- Liu, L.; Zhang, Y.; Chen, J.; Chen, J. Research and Application of Control Algorithm Based on Intelligent Traveling Crane. In Proceedings of the 2023 IEEE 13th International Conference on CYBER Technology in Automation, Control, and Intelligent Systems (CYBER), Qinhuangdao, China, 11–14 July 2023; pp. 148–153. [Google Scholar]
- Xiao, L.; Wang, X.; Chen, F.; Li, A. Fuzzy proportional integral differential control of magnetorheological clutch torque based on bee colony algorithm optimization. J. Vib. Control. 2023, 10775463231223585. [Google Scholar] [CrossRef]
- Chen, K.; Xiao, B.; Wang, C.; Liu, X.; Liang, S.; Zhang, X. Cuckoo Coupled Improved Grey Wolf Algorithm for PID Parameter Tuning. Appl. Sci. 2023, 13, 12944. [Google Scholar] [CrossRef]
- Fu, J.; Liu, J.; Xie, D.; Sun, Z. Application of Fuzzy PID Based on Stray Lion Swarm Optimization Algorithm in Overhead Crane System Control. Mathematics 2023, 11, 2170. [Google Scholar] [CrossRef]
- Rubio, J.D.J. Bat algorithm based control to decrease the control energy consumption and modified bat algorithm based control to increase the trajectory tracking accuracy in robots. Neural Netw. 2023, 161, 437–448. [Google Scholar] [CrossRef] [PubMed]
- Wang, D.; Li, T.; Ni, Y.; Song, K.; Li, Y. Application of Opposition-Based Learning Jumping Spider Optimization Algorithm in Gas Turbine Coupled Cooling System. Actuators 2023, 12, 396. [Google Scholar] [CrossRef]
- Xue, J.; Shen, B. A novel swarm intelligence optimization approach: Sparrow search algorithm. Syst. Sci. Control. Eng. 2020, 8, 22–34. [Google Scholar] [CrossRef]
- Liu, G.; Shu, C.; Liang, Z.; Peng, B.; Cheng, L. A Modified Sparrow Search Algorithm with Application in 3D Route Planning for UAV. Sensors 2021, 21, 1224. [Google Scholar] [CrossRef]
- Liu, J.; Wang, Z. Artificial immune algorithm-sparrow search algorithm and its application in network intrusion detection. J. Intell. Fuzzy Syst. 2022, 43, 5001–5011. [Google Scholar] [CrossRef]
- Gao, B.; Shen, W.; Guan, H.; Zheng, L.; Zhang, W. Research on Multistrategy Improved Evolutionary Sparrow Search Algorithm and its Application. IEEE Access 2022, 10, 62520–62534. [Google Scholar] [CrossRef]
- Qin, J.; Yang, D.; Zhang, W. A Pork Price Prediction Model Based on a Combined Sparrow Search Algorithm and Classification and Regression Trees Model. Appl. Sci. 2023, 13, 12697. [Google Scholar] [CrossRef]
- Jianhua, L.; Zhiheng, W. A Hybrid Sparrow Search Algorithm Based on Constructing Similarity. IEEE Access 2021, 9, 117581–117595. [Google Scholar] [CrossRef]
- Xiong, Q.; Zhang, X.; He, S.; Shen, J. A Fractional-Order Chaotic Sparrow Search Algorithm for Enhancement of Long Distance Iris Image. Mathematics 2021, 9, 2790. [Google Scholar] [CrossRef]
- Yu, Z.; Dong, H.-M.; Liu, C.-M. Research on Swing Model and Fuzzy Anti Swing Control Technology of Bridge Crane. Machines 2023, 11, 579. [Google Scholar] [CrossRef]
- Ranjbari, L.; Shirdel, A.H.; Aslahi-Shahri, M.; Anbari, S.; Ebrahimi, A.; Darvishi, M.; Alizadeh, M.; Rahmani, R.; Seyedmahmoudian, M. Designing precision fuzzy controller for load swing of an overhead crane. Neural Comput. Appl. 2015, 26, 1555–1560. [Google Scholar] [CrossRef]
- Chen, Q.; Cheng, W.; Gao, L.; Fottner, J. A pure neural network controller for double-pendulum crane anti-sway control: Based on Lyapunov stability theory. Asian J. Control. 2019, 23, 387–398. [Google Scholar] [CrossRef]
- Sun, N.; Yang, T.; Fang, Y.; Wu, Y.; Chen, H. Transportation Control of Double-Pendulum Cranes with a Nonlinear Quasi-PID Scheme: Design and Experiments. IEEE Trans. Syst. Man Cybern. Syst. 2019, 49, 1408–1418. [Google Scholar] [CrossRef]
- Ramli, L.; Mohamed, Z.; Efe, M.Ö.; Lazim, I.M.; Jaafar, H.I. Efficient swing control of an overhead crane with simultaneous payload hoisting and external disturbances. Mech. Syst. Signal Process. 2020, 135, 106326. [Google Scholar] [CrossRef]
- Li, X.; Gu, J.; Sun, X.; Li, J.; Tang, S. Parameter identification of robot manipulators with unknown payloads using an improved chaotic sparrow search algorithm. Appl. Intell. 2022, 52, 10341–10351. [Google Scholar] [CrossRef]
- Liu, L.; Liang, J.; Guo, K.; Ke, C.; He, D.; Chen, J. Dynamic Path Planning of Mobile Robot Based on Improved Sparrow Search Algorithm. Biomimetics 2023, 8, 182. [Google Scholar] [CrossRef] [PubMed]
- Liu, L.; Xu, H.; Wang, B.; Ke, C. Multi-Strategy Fusion of Sine Cosine and Arithmetic Hybrid Optimization Algorithm. Electronics 2023, 12, 1961. [Google Scholar] [CrossRef]
- Zhang, P.; Shi, Z.; Yu, B.; Qi, H. Research on the Control Method of a Brushless DC Motor Based on Second-Order Active Disturbance Rejection Control. Machines 2024, 12, 244. [Google Scholar] [CrossRef]
























| Function Name | Search Space | Dimensionality | Optimum Value |
|---|---|---|---|
| F1 (Sphere) | [−100, 100] | 30 | 0 |
| F2 (Schwefel 2.22) | [−10, 10] | 30 | 0 |
| F3 (Schwefel 1.2) | [−100, 100] | 30 | 0 |
| F4 (Schwefel 2.21) | [−100, 100] | 30 | 0 |
| F5 (Generalized Rosenbrock) | [−30, 30] | 30 | 0 |
| F6 (Step Function) | [−100, 100] | 30 | 0 |
| F7 (Quartic) | [−1.28, 1.28] | 30 | 0 |
| F8 (Schwefel 2.26) | [−500, 500] | 30 | −12,569.5 |
| F9 (Rastrigin) | [−5.12, 5.12] | 30 | 0 |
| F10 (Ackley) | [−32, 32] | 30 | 0 |
| F11 (Griewank) | [−600, 600] | 30 | 0 |
| F12 (Generalized Penalized Function1) | [−50, 50] | 30 | 0 |
| F13 (Generalized Penalized Function2) | [−50, 50] | 30 | 0 |
| Symbols | Meaning | ISSA | SSA | PSO | SA | WOA |
|---|---|---|---|---|---|---|
| Population size | 50 | 50 | 50 | / | 50 | |
| Maximum iterations | 200 | 200 | 200 | / | 200 | |
| Discoverers | 0.2 | 0.2 | / | / | / | |
| Sentinels | 0.1 | 0.1 | / | / | / | |
| Warning value | 0.8 | 0.8 | / | / | / | |
| Learning coefficient | [0.4, 1] | / | / | / | / | |
| Learning coefficient 1 | / | / | 2 | / | / | |
| Learning coefficient 2 | / | / | 2 | / | / | |
| Inertia weight | / | / | 0.7 | / | / | |
| Velocity | / | / | [−1, 1] | / | / | |
| Initial temperature | / | / | / | 100 | / | |
| Final temperature | / | / | / | 0.001 | / | |
| Annealing coefficient | / | / | / | 0.95 | / | |
| Decreasing vector | / | / | / | / | [2, 0] | |
| Constant factor | / | / | / | / | 1 |
| Function Name | PSO | SA | WOA | SSA | ISSA | |
|---|---|---|---|---|---|---|
| F1 (Sphere) | Mean | 104 | 103 | 10−31 | 10−178 | 100 |
| Std | 103 | 103 | 10−31 | 100 | 100 | |
| F2 (Schwefel 2.22) | Mean | 1011 | 101 | 10−17 | 10−91 | 10−207 |
| Std | 1012 | 101 | 10−17 | 10−91 | 100 | |
| F3 (Schwefel 1.2) | Mean | 105 | 104 | 103 | 10−238 | 100 |
| Std | 104 | 103 | 103 | 100 | 100 | |
| F4 (Schwefel 2.21) | Mean | 101 | 101 | 10−2 | 10−72 | 10−203 |
| Std | 100 | 100 | 10−2 | 10−71 | 100 | |
| F5 (Generalized Rosenbrock) | Mean | 108 | 105 | 10−1 | 103 | 10−4 |
| Std | 107 | 105 | 10−1 | 103 | 10−3 | |
| F6 (Step Function) | Mean | 104 | 103 | 10−3 | 10−6 | 10−7 |
| Std | 103 | 102 | 10−3 | 10−6 | 10−6 | |
| F7 (Quartic) | Mean | 101 | 10−1 | 10−3 | 104 | 10−5 |
| Std | 101 | 10−1 | 10−3 | 104 | 10−4 | |
| F8 (Schwefel 2.26) | Mean | 103 | 103 | 104 | 103 | 104 |
| Std | 102 | 102 | 102 | 103 | 103 | |
| F9 (Rastrigin) | Mean | 102 | 102 | 100 | 100 | 100 |
| Std | 101 | 101 | 100 | 100 | 100 | |
| F10 (Ackley) | Mean | 101 | 101 | 10−14 | 10−16 | 10−16 |
| Std | 10−2 | 100 | 10−15 | 100 | 100 | |
| F11 (Griewank) | Mean | 102 | 102 | 100 | 100 | 100 |
| Std | 101 | 101 | 100 | 100 | 100 | |
| F12 (Generalized Penalized Function1) | Mean | 108 | 103 | 10−4 | 10−7 | 10−7 |
| Std | 108 | 104 | 10−4 | 10−7 | 10−7 | |
| F13 (Generalized Penalized Function2) | Mean | 108 | 105 | 10−2 | 10−6 | 10−6 |
| Std | 108 | 105 | 10−2 | 10−6 | 10−6 | |
| Symbols | Meaning | ISSA | SSA | PSO | SA | WOA |
|---|---|---|---|---|---|---|
| (PID) | [0, 50] | [0, 50] | [0, 50] | [0, 50] | [0, 50] | |
| (PID) | [0, 2] | [0, 2] | [0, 2] | [0, 2] | [0, 2] | |
| (PID) | [0, 50] | [0, 50] | [0, 50] | [0, 50] | [0, 50] | |
| (PD) | [0, 50] | [0, 50] | [0, 50] | [0, 50] | [0, 50] | |
| (PD) | [0, 30] | [0, 30] | [0, 30] | [0, 30] | [0, 30] |
| Parameter | Definition | Value | Unit |
|---|---|---|---|
| Mass of the trolley | 8 | kg | |
| Mass of the payload | 8 | kg | |
| Length of the payload’s cable | 4 | m | |
| Damping coefficient | 0.2 | Ns/m | |
| Gravitational acceleration | 9.8 | m/s2 |
| Algorithm | Parameters | ||||
|---|---|---|---|---|---|
| (PID) | (PID) | (PID) | (PD) | (PD) | |
| ISSA | 9.8435 | 0.0892 | 20.4867 | 0.9452 | 2.0364 |
| SSA | 10.3538 | 0.0878 | 22.9724 | 0.9985 | 6.2987 |
| PSO | 19.9788 | 0.0663 | 49.4362 | 9.9789 | 0.1376 |
| SA | 18.1187 | 0.0654 | 38.5331 | 7.5068 | 0.3206 |
| WOA | 13.1361 | 0.0810 | 29.1224 | 9.9413 | 12.0409 |
| Improved PID Controller | Trolley Position | Payload Swing Angle | ||||
|---|---|---|---|---|---|---|
| Peak Time (s) | Overshoot (%) | Steady-State Time (s) | Steady-State Value (m) | Max Angle (rad) | Steady State Time (s) | |
| PSO | 8.268 | 0 | 15.586 | 4.950 | 0.264 | 21.524 |
| SA | 12.392 | 0 | 12.837 | 4.952 | 0.217 | 22.766 |
| WOA | 8.673 | 0 | 8.632 | 4.994 | 0.188 | 14.275 |
| SSA | 7.904 | 0 | 7.379 | 4.994 | 0.163 | 9.393 |
| ISSA | 5.074 | 0 | 4.791 | 4.998 | 0.158 | 9.382 |
| Working Condition | Trolley Mass (kg) | Payload Mass (kg) | Cable Length (m) | Damping Coefficient (Ns/m) | Gravitational Acceleration (m/s2) |
|---|---|---|---|---|---|
| 1 | 6 | 8 | 4 | 0.2 | 9.8 |
| 2 | 4 | 8 | 4 | 0.2 | 9.8 |
| 3 | 8 | 4 | 4 | 0.2 | 9.8 |
| 4 | 8 | 8 | 2 | 0.2 | 9.8 |
| 5 | 8 | 6 | 4 | 0.2 | 9.8 |
| Working Condition | Improved PID Controller | Trolley Position | Payload Swing Angle | ||||
|---|---|---|---|---|---|---|---|
| Peak Time (s) | Overshoot (%) | Steady-State Time (s) | Steady-State Value (m) | Max Angle (rad) | Steady State Time (s) | ||
| 1 | PSO | 8.206 | 0.46% | 15.737 | 4.947 | 0.265 | 26.284 |
| SA | 12.422 | 0 | 15.368 | 4.948 | 0.217 | 25.239 | |
| WOA | 8.697 | 0 | 8.632 | 4.993 | 0.187 | 12.940 | |
| SSA | 8.902 | 0 | 7.715 | 4.998 | 0.160 | 11.254 | |
| ISSA | 5.014 | 0 | 7.101 | 4.998 | 0.156 | 10.836 | |
| 2 | PSO | 8.247 | 0 | 15.778 | 4.943 | 0.266 | 28.701 |
| SA | 12.503 | 0 | 15.368 | 4.956 | 0.218 | 22.766 | |
| WOA | 8.861 | 0 | 7.879 | 4.994 | 0.188 | 15.149 | |
| SSA | 9.229 | 0 | 7.960 | 4.998 | 0.161 | 11.149 | |
| ISSA | 9.147 | 0 | 7.715 | 4.998 | 0.157 | 11.030 | |
| 3 | PSO | 8.083 | 0.7% | 19.707 | 4.945 | 0.330 | 46.358 |
| SA | 12.094 | 0 | 19.338 | 4.958 | 0.261 | 39.254 | |
| WOA | 8.370 | 0.26% | 10.907 | 4.994 | 0.258 | 26.358 | |
| SSA | 8.411 | 0.44% | 7.551 | 4.994 | 0.253 | 17.985 | |
| ISSA | 8.247 | 0.42% | 7.469 | 4.995 | 0.236 | 16.194 | |
| 4 | PSO | 12.311 | 0 | 12.675 | 4.950 | 0.285 | 11.060 |
| SA | 12.635 | 0 | 14.090 | 4.953 | 0.247 | 11.896 | |
| WOA | 11.867 | 0 | 11.988 | 4.994 | 0.186 | 8.791 | |
| SSA | 6.853 | 0 | 7.379 | 4.997 | 0.149 | 7.925 | |
| ISSA | 6.070 | 0 | 6.585 | 4.998 | 0.145 | 7.716 | |
| 5 | PSO | 8.228 | 0.72% | 19.953 | 4.951 | 0.294 | 29.776 |
| SA | 12.473 | 0 | 15.263 | 4.953 | 0.233 | 28.343 | |
| WOA | 8.389 | 0 | 10.532 | 4.994 | 0.216 | 16.463 | |
| SSA | 8.592 | 0 | 7.460 | 4.998 | 0.200 | 11.896 | |
| ISSA | 8.147 | 0 | 7.136 | 4.998 | 0.189 | 11.687 | |
| White Noise | Improved PID Controller | Trolley Position | Payload Swing Angle | ||||
|---|---|---|---|---|---|---|---|
| Peak Time (s) | Overshoot (%) | Steady-State Time (s) | Steady-State Value (m) | Max Angle (rad) | Steady State Time (s) | ||
| 1 | PSO | 15.900 | 2.20% | 27.997 | 4.951 | 0.073 | 34.552 |
| SA | 15.839 | 2.20% | 27.768 | 4.950 | 0.058 | 34.254 | |
| WOA | 15.896 | 2.32% | 24.115 | 4.993 | 0.059 | 29.527 | |
| SSA | 15.896 | 2.24% | 24.172 | 4.997 | 0.054 | 24.602 | |
| ISSA | 15.825 | 2.22% | 24.058 | 4.998 | 0.052 | 24.403 | |
| 2 | PSO | 24.042 | 0 | 27.668 | 4.950 | 0.028 | 34.403 |
| SA | 24.384 | 0 | 27.736 | 4.950 | 0.026 | 33.856 | |
| WOA | 24.453 | 0 | 24.111 | 4.993 | 0.019 | 27.736 | |
| SSA | 24.316 | 0 | 23.632 | 4.997 | 0.015 | 26.294 | |
| ISSA | 24.248 | 0 | 23.016 | 4.998 | 0.014 | 25.299 | |
| Improved PID Controller | Trolley Position | Payload Swing Angle | ||||
|---|---|---|---|---|---|---|
| Peak Time (s) | Overshoot (%) | Steady-State Time (s) | Steady-State Value (m) | Max Angle (rad) | Steady State Time (s) | |
| PSO | 18.233 | 0 | 25.750 | 6.932 | 0.106 | 31.090 |
| SA | 22.340 | 0 | 25.955 | 6.931 | 0.071 | 32.125 |
| WOA | 18.724 | 0 | 22.067 | 6.991 | 0.074 | 20.340 |
| SSA | 17.701 | 0 | 17.224 | 6.996 | 0.065 | 18.614 |
| ISSA | 14.905 | 0 | 14.495 | 6.997 | 0.063 | 18.471 |
Disclaimer/Publisher’s Note: The statements, opinions and data contained in all publications are solely those of the individual author(s) and contributor(s) and not of MDPI and/or the editor(s). MDPI and/or the editor(s) disclaim responsibility for any injury to people or property resulting from any ideas, methods, instructions or products referred to in the content. |
© 2024 by the authors. Licensee MDPI, Basel, Switzerland. This article is an open access article distributed under the terms and conditions of the Creative Commons Attribution (CC BY) license (https://creativecommons.org/licenses/by/4.0/).
Share and Cite
Zhang, Y.; Liu, L.; Liang, J.; Chen, J.; Ke, C.; He, D. Application of a Multi-Strategy Improved Sparrow Search Algorithm in Bridge Crane PID Control Systems. Appl. Sci. 2024, 14, 5165. https://doi.org/10.3390/app14125165
Zhang Y, Liu L, Liang J, Chen J, Ke C, He D. Application of a Multi-Strategy Improved Sparrow Search Algorithm in Bridge Crane PID Control Systems. Applied Sciences. 2024; 14(12):5165. https://doi.org/10.3390/app14125165
Chicago/Turabian StyleZhang, Youyuan, Lisang Liu, Jingrun Liang, Jionghui Chen, Chengyang Ke, and Dongwei He. 2024. "Application of a Multi-Strategy Improved Sparrow Search Algorithm in Bridge Crane PID Control Systems" Applied Sciences 14, no. 12: 5165. https://doi.org/10.3390/app14125165
APA StyleZhang, Y., Liu, L., Liang, J., Chen, J., Ke, C., & He, D. (2024). Application of a Multi-Strategy Improved Sparrow Search Algorithm in Bridge Crane PID Control Systems. Applied Sciences, 14(12), 5165. https://doi.org/10.3390/app14125165

