Signal Reconstruction of Arbitrarily Lack of Frequency Bands from Seismic Wavefields Based on Deep Learning
Abstract
1. Introduction
2. Theory and Method
2.1. Theory
2.2. Network Structure
3. Numerical Example
3.1. Data Organization
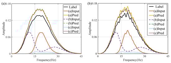
3.2. Training Results
4. Discussion of the Impact of Different Wavefield Components
5. Conclusions
Author Contributions
Funding
Institutional Review Board Statement
Informed Consent Statement
Data Availability Statement
Conflicts of Interest
References
- Zhang, P. The Study on Full Waveform Inversion Based on Low-Frequency Seismic Wavefield Reconstruction. Ph.D. Thesis, Jilin University, Changchun, China, 2018. [Google Scholar]
- Fang, S. Bandwidth Extension Method of Seismic Data Based on Full-band Extension Filter. Master’s Thesis, China University of Petroleum, Beijing, China, 2022. [Google Scholar]
- Shang, X.; Zhang, P.; Han, L.; Yang, Y.; Zhou, Y. Joint FWI of Active Source Data and Passive Virtual Source Data Recon-structed Using an Improved Multidimensional Deconvolution. IEEE Trans. Geosci. Remote Sens. 2023, 61, 5905614. [Google Scholar] [CrossRef]
- Chen, Z. Seismic Data Frequency Extension Based on Deep Learning. Master’s Thesis, China University of Petroleum, Beijing, China, 2022. [Google Scholar]
- Sun, X.; Zhang, Y.; Zhang, Y.; Zhou, C. Application of seismic frequency extension technology in dynamic analysis of thin layer reservoir development. Oil Geophys. Prospect. 2010, 45, 695–699. [Google Scholar]
- Han, L.; Zhang, Y.; Han, L.; Yu, Q. Compressed Sensing and Sparse Inversion Based Low-Frequency Information Compen-sation of Seismic Data. J. Jilin Univ. (Earth Sci. Ed.) 2012, 42, 259–264. [Google Scholar]
- Rui, Y.; Zou, Z.; Wang, S.; Shang, X.; Zhang, Y.; Ma, R. A method for simultaneous recovery of low-frequency amplitude and phase from conventional detector data based on high- and low-frequency joint measurement. Oil Geophys. Pro-Specting 2017, 52, 631–643. [Google Scholar]
- Ding, Y.; Du, Q.; Liu, L.; Zhang, Q. Feature analysis and compensation of seismic low-frequency based on compressed sensing and broad-band YU-type low-passing shaping filter. Chin. J. Geophys. 2019, 62, 2267–2275. [Google Scholar]
- Zhang, B.; Zhang, J.; Wu, Y. Research on protection and extension for seismic low frequencies. Prog. Geophys. 2019, 34, 1139–1144. [Google Scholar]
- Zhang, P.; Han, L.; Gao, R.; Zhang, F.; Xing, Z. Frequency extension and robust full-waveform inversion based on nth power operation. Acta Geophys. 2020, 68, 1317–1333. [Google Scholar] [CrossRef]
- Dong, X.; Li, Y. Denoising the Optical Fiber Seismic Data by Using Convolutional Adversarial Network Based on Loss Balance. IEEE Trans. Geosci. Remote Sens. 2021, 59, 10544–10554. [Google Scholar] [CrossRef]
- Dong, X.; Lin, J.; Lu, S.; Huang, X.; Wang, H.; Li, Y. Seismic Shot Gather Denoising by Using a Supervised-Deep-Learning Method with Weak Dependence on Real Noise Data: A Solution to the Lack of Real Noise Data. Surv. Geophys. 2022, 43, 1363–1394. [Google Scholar] [CrossRef]
- Wang, H.; Lin, J.; Dong, X.; Lu, S.; Li, Y.; Yang, B. Seismic velocity inversion transformer. Geophysics 2023, 88, R513–R533. [Google Scholar] [CrossRef]
- Zhang, H.; Wang, W.; Wang, X.; Chen, W.; Zhou, Y.; Wang, C.; Zhao, Z. An implementation of the seismic resolution en-hancing network based on GAN. In Proceedings of the Society of Exploration Geophysicists International Exposition and Annual Meeting, San Antonio, TX, USA, 15–20 September 2020. [Google Scholar]
- Sun, H.; Demanet, L. Extrapolated full-waveform inversion with deep learning. Geophysics 2020, 85, R275–R288. [Google Scholar] [CrossRef]
- Sun, H.; Demanet, L. Extrapolated full waveform inversion with convolutional neural networks. In Proceedings of the Society of Exploration Geophysicists International Exposition and Annual Meeting, San Antonio, TX, USA, 15–20 September 2020. [Google Scholar]
- Sun, H.; Demanet, L. Low frequency extrapolation with deep learning. In Proceedings of the 2018 SEG International Exposition and Annual Meeting, Anaheim, CA, USA, 14–19 October 2018. [Google Scholar]
- Fang, J.; Zhou, H.; Li, Y.E.; Zhang, Q.; Wang, L.; Sun, P.; Zhang, J. Data-driven low-frequency signal recovery using deep-learning predictions in full-waveform inversion. Geophysics 2020, 85, A37–A43. [Google Scholar] [CrossRef]
- Choi, Y.; Jo, Y.; Seol, S.J.; Byun, J.; Kim, Y. Deep learning spectral enhancement considering features of seismic field data. Geophysics 2021, 86, V389–V408. [Google Scholar] [CrossRef]
- Nakayama, S.; Blacquière, G. Machine-learning-based data recovery and its contribution to seismic acquisition: Simulta-neous application of deblending, trace reconstruction, and low-frequency extrapolation. Geophysics 2021, 86, P13–P24. [Google Scholar] [CrossRef]
- Hu, W.; Jin, Y.; Wu, X.; Chen, J. Progressive transfer learning for low-frequency data prediction in full-waveform inver-sion. Geophysics 2021, 86, R369–R382. [Google Scholar] [CrossRef]
- Jin, Y.; Hu, W.; Wang, S.; Zi, Y.; Wu, X.; Chen, J. Efficient Progressive Transfer Learning for Full-Waveform Inversion with Extrapolated Low-Frequency Reflection Seismic Data. IEEE Trans. Geosci. Remote Sens. 2022, 60, 5908810. [Google Scholar] [CrossRef]
- Zhang, H.; Yang, P.; Liu, Y.; Luo, Y.; Xu, J. Deep Learning-Based Low-Frequency Extrapolation and Impedance Inversion of Seismic Data. IEEE Geosci. Remote Sens. Lett. 2021, 19, 7505905. [Google Scholar] [CrossRef]
- Ni, J. Prediction of High and Low Frequency Earthquakes Based on Neural Network. Master’s Thesis, Northeast Petroleum Uni-versity, Daqing, China, 2023. [Google Scholar]
- Zhang, Y.; Zhou, Y.; Song, L.; Dong, H. Low frequency continuation of seismic data based on physically constrained U-Net network. Oil Geophys. Prospect. 2023, 58, 31–45. [Google Scholar]
- Yin, Y. The Study of Joint Processing Method of Seismic Data from Multiple Sources Based on Convolutional Neural Net-Works. Ph.D. Thesis, Jilin University, Changchun, China, 2023. [Google Scholar]
- Wang, T. Study on the Elimination and Migration of Surface Related Multiple by Sparse-Constrain Inversion. Ph.D. Thesis, Jilin University, Changchun, China, 2017. [Google Scholar]
- Vaswani, A.; Shazeer, N.; Parmar, N. Attention Is All You Need. Adv. Neural Inf. Process. Syst. 2017, 30, 6000–6010. [Google Scholar]
- Dosovitskiy, A.; Beyer, L.; Kolesnikov, A.; Weissenborn, D.; Zhai, X.; Unterthiner, T.; Dehghani, M.; Minderer, M.; Heigold, G.; Gelly, S.; et al. An Image is Worth 16x16 Words: Transformers for Image Recognition at Scale. arXiv 2021, arXiv:2010.11929. [Google Scholar]
- Jiang, K.; Han, Q.; Du, X.; Ni, P. Structural dynamic response reconstruction and virtual sensing using a sequence to se-quence modeling with attention mechanism. Autom. Constr. 2021, 131, 103895. [Google Scholar] [CrossRef]
- Liu, Z.; Lin, Y.; Cao, Y.; Hu, H.; Wei, Y.; Zhang, Z.; Lin, S.; Guo, B. Swin Transformer: Hierarchical Vision Transformer us-ing Shifted Windows. In Proceedings of the IEEE/CVF International Conference on Computer Vision, Montreal, BC, Canada, 11–17 October 2021; pp. 10012–10022. [Google Scholar]
- Schuster, M.; Paliwal, K. Bidirectional Recurrent Neural Networks. IEEE Trans. Signal Process. 1997, 45, 2673–2681. [Google Scholar] [CrossRef]
- Cho, K.; Van Merrienboer, B.; Gulcehre, C.; Bougares, F.; Schwenk, H.; Bengio, Y. Learning Phrase Representations using RNN Encoder-Decoder for Statistical Machine Translation. arXiv 2014, arXiv:1406.1078. [Google Scholar]


















Disclaimer/Publisher’s Note: The statements, opinions and data contained in all publications are solely those of the individual author(s) and contributor(s) and not of MDPI and/or the editor(s). MDPI and/or the editor(s) disclaim responsibility for any injury to people or property resulting from any ideas, methods, instructions or products referred to in the content. |
© 2024 by the authors. Licensee MDPI, Basel, Switzerland. This article is an open access article distributed under the terms and conditions of the Creative Commons Attribution (CC BY) license (https://creativecommons.org/licenses/by/4.0/).
Share and Cite
Li, X.; Zhang, F.; Han, L. Signal Reconstruction of Arbitrarily Lack of Frequency Bands from Seismic Wavefields Based on Deep Learning. Appl. Sci. 2024, 14, 4922. https://doi.org/10.3390/app14114922
Li X, Zhang F, Han L. Signal Reconstruction of Arbitrarily Lack of Frequency Bands from Seismic Wavefields Based on Deep Learning. Applied Sciences. 2024; 14(11):4922. https://doi.org/10.3390/app14114922
Chicago/Turabian StyleLi, Xin, Fengjiao Zhang, and Liguo Han. 2024. "Signal Reconstruction of Arbitrarily Lack of Frequency Bands from Seismic Wavefields Based on Deep Learning" Applied Sciences 14, no. 11: 4922. https://doi.org/10.3390/app14114922
APA StyleLi, X., Zhang, F., & Han, L. (2024). Signal Reconstruction of Arbitrarily Lack of Frequency Bands from Seismic Wavefields Based on Deep Learning. Applied Sciences, 14(11), 4922. https://doi.org/10.3390/app14114922

