Analysis of Electromagnetic Field Characteristics of Wave Glider
Abstract
1. Introduction
2. Analysis of Motion Characteristics of Wave Glider
Structure and Motion Characteristics of Wave Gliders
3. Analysis of Electric Field Noise Characteristics
3.1. Installation Design of Electric Field Sensors
3.2. Simulation of the Motion State of a Wave Glider
3.3. Analysis of Electric Field Characteristics under Different Motion States
- (1)
- Motion state (a)
- (2)
- Motion state (b)
- (3)
- Motion state (c)
- (4)
- Motion state (d)
- (5)
- Motion state (e)
- (6)
- Motion state (f)
- (1)
- In the range of 0.5~1 Hz, electric field interference is mainly generated by the steering engine (the action cycle of the steering engine is about 2 s). Comparing states 2–3, 4–5, and 6, it can be seen that the greater the shaking degree, the more obvious the steering engine action, and the greater the electric field interference;
- (2)
- According to Table 1, the peak-to-peak value of the axial frequency electric field is about 0.5~0.7 mV/m. At a depth of 50 m, the peak-to-peak value of the electric field in the same frequency band of the electromagnetic buoy is about 0.0001 mV/m. It can be seen that installing an electric field sensor directly at the bottom of the wave glider at this depth (<2 m) will cause significant noise interference, and the detection performance will be significantly reduced;
- (3)
- The peak value of the electrostatic field at the bottom of the glider is about 0.2~0.4 mV/m. The peak value of the electrostatic field measured directly by installing an electric field sensor at the bottom of the wave glider is relatively large. This is partly due to the shallow depth of the seawater and partly due to the bare metal leakage at the bottom of the glider; the induced electric field generated is relatively large.
| Status Number | Peak to Peak Value of Electrostatic Field (mV/m) | Peak to Peak Value of Shaft-Rate Electric Field (mV/m) | Hz Signal PSD (Power Spectral Density) | 0.5~1 Hz Signal PSD (Power Spectral Density) |
|---|---|---|---|---|
| 1 | 0.2 | 0.2~0.3 | 0.003 | 0.016 |
| 2 | 0.2 | 0.5 | 0.002 | 0.04 |
| 3 | 0.2~0.3 | 0.6~0.7 | 0.0025 | 0.045 |
| 4 | 0.3~0.4 | 0.8 | 0.05 | 0.08 |
| 5 | 0.2~0.3 | 0.6~0.7 | 0.005 | 0.07 |
| 6 | 0.14 | 0.2 | 0.008 | 0.0045 |
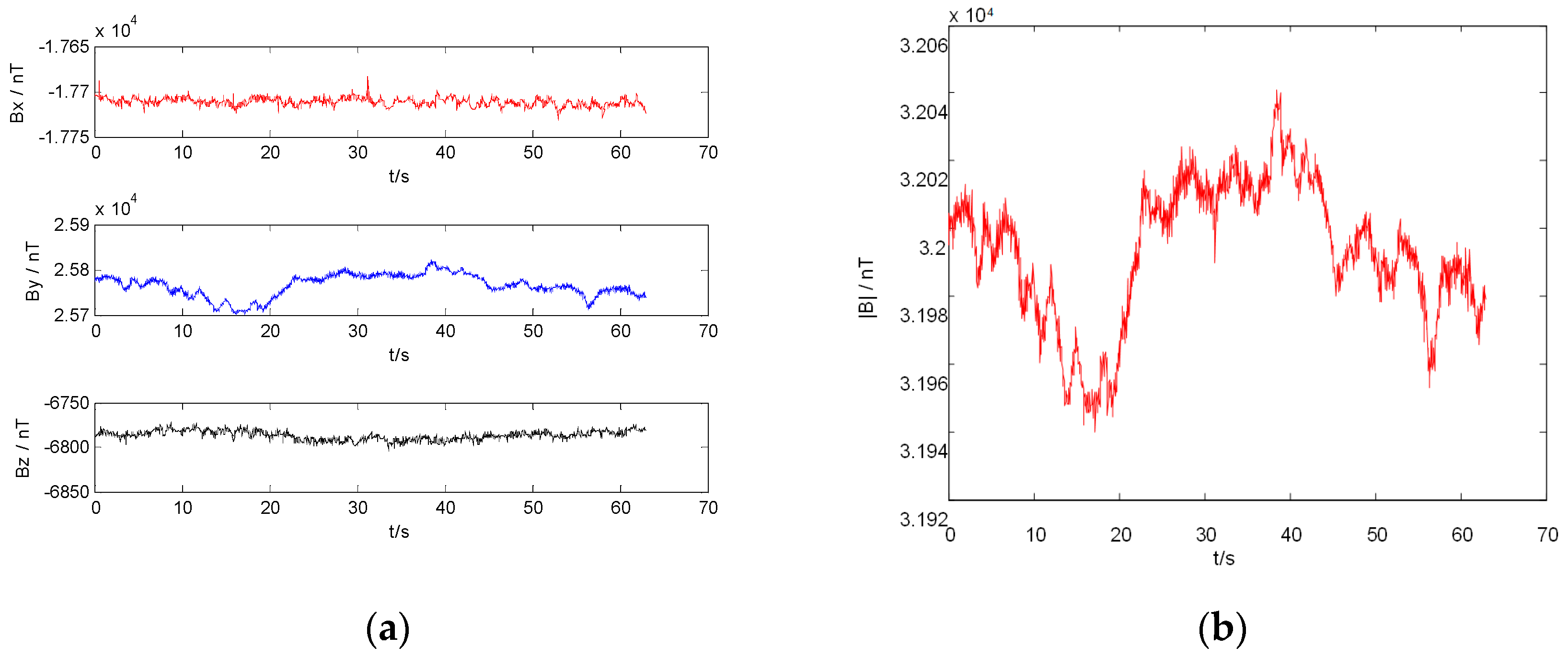
4. Analysis of Magnetic Field Noise Characteristics
4.1. Measuring Principle
4.2. Measurement Result Analysis
5. Conclusions
Author Contributions
Funding
Institutional Review Board Statement
Informed Consent Statement
Data Availability Statement
Conflicts of Interest
References
- Wang, Y.; Liu, D.; Yang, Y. Summary of the Development of Unmanned Undersea Systems in 2019. Unmanned Syst. Technol. 2020, 3, 55–59. (In Chinese) [Google Scholar]
- Wang, Y.; Liu, D.; Yang, Y. Summary of the Development of Unmanned Undersea Systems in 2018. Unmanned Syst. Technol. 2019, 2, 20–25. (In Chinese) [Google Scholar]
- Liu, Y.; Zhou, J.; Wang, X.; Zuo, M. Application of unmanned underwater vehicle in underwater offensive and defensive operations. J. Nav. Univ. Eng. 2021, 18, 84–88. (In Chinese) [Google Scholar]
- Xiang, Q.; He, X. Research on Submarine Searching Method of Unmanned Marine Vehicle with Magnetic Anomaly Detector. J. Ordnance Equip. Eng. 2019, 40, 16–19. (In Chinese) [Google Scholar]
- Liu, Z.; Wu, J.; Huang, F.; Du, Y. Compatibility Analysis of UUV Navigation System Based on Mission Classification. J. Ordnance Equip. Eng. 2019, 40, 82–86. (In Chinese) [Google Scholar]
- Zhang, S.; Yu, D.; Sang, H.; Sun, X.; Liu, F. A new hybrid path planning method for the sailboat architecture wave glider in the wind field environment. Ocean Eng. 2023, 283, 115153. [Google Scholar] [CrossRef]
- Liu, F.; Lan, T.; Wei, Z.; Sun, X.; Zhang, S.; Sang, H.; Huang, F. Adaptive propeller rudder controller for the wave glider with a propeller-rudder control system. Ocean Eng. 2023, 289, 116129. [Google Scholar] [CrossRef]
- Yu, P.; Sun, X.; Zhou, Y.; Sang, H.; Zhang, S. Adaptive station-keeping strategy for wave gliders considering uncertain environmental disturbances. Ocean Eng. 2023, 277, 114326. [Google Scholar] [CrossRef]
- Ma, X.; Wang, Y.; Li, S.; Niu, W.; Ma, W.; Luo, C.; Yang, S. Formation control of discrete-time nonlinear multi-glider systems for both leader–follower and no-leader scenarios under switching topology: Cases for a fleet consisting of a wave glider and multiple underwater gliders. Ocean Eng. 2023, 276, 114003. [Google Scholar] [CrossRef]
- Xie, S.; Zumberge, M.; Sasagawa, G.; Voytenko, D. Shallow Water Seafloor Geodesy With Wave Glider-Based GNSS-Acoustic Surveying of a Single Transponder. Earth Space Sci. 2023, 10, e2023EA003043. [Google Scholar] [CrossRef]
- Lyu, Z.; Wang, C.; Sun, X.; Zhou, Y.; Ni, X.; Yu, P. Real-time ship detection system for wave glider based on YOLOv5s-lite-CBAM model. Appl. Ocean Res. 2024, 144, 103833. [Google Scholar] [CrossRef]
- Premus, V.E.; Abbot, P.A.; Kmelnitsky, V.; Gedney, C.J.; Abbot, T.A. A wave glider-based, towed hydrophone array system for autonomous, real-time, passive acoustic marine mammal monitoring. J. Acoust. Soc. Am. 2022, 152, 1814. [Google Scholar] [CrossRef]
- Cheyne, H.A.; Hawthorne, D.; Key, C.R.; Satter, M.J. Near real-time detection, beam-forming, and telemetry of marine mammal acoustic data on a wave glider autonomous vehicle. J. Acoust. Soc. Am. 2014, 135, 2336. [Google Scholar] [CrossRef]
- Cheyne, H.A.; Key, C.R.; Satter, M.J. Detection, bearing estimation, and telemetry of North Atlantic right whale vocalizations using a wave glider autonomous vehicle. J. Acoust. Soc. Am. 2014, 136, 2117. [Google Scholar] [CrossRef]
- Cimino, M.; Cassen, M.; Merrifield, S.; Terrill, E. Detection efficiency of acoustic biotelemetry sensors on Wave Gliders. Anim. Biotelemetry 2018, 6, 16. [Google Scholar] [CrossRef]
- Ko, S.H.; Hyeon, J.W.; Lee, S.; Lee, J.H. Observation of Surface Water Temperature and Wave Height along the Coast of Pohang using Wave Gliders. J. Coast. Res. 2018, 85, 1211–1215. [Google Scholar] [CrossRef]
- Cheng, J.; Zhang, J.; Jiang, R. Development status of underwater electromagnetic detection technology. Digit. Ocean Underw. Warf. 2019, 2, 45–49. (In Chinese) [Google Scholar]
- Zhao, W.; Jiang, R.; Yu, P.; Zhang, J. Detection and identification of ship shaft-rate electric field based on line-spectrum characteristics. Acta Armamentarii 2020, 41, 1165–1171. (In Chinese) [Google Scholar]
- Birsan, M. Measurement of the extremely low frequency (ELF) magnetic field emission from a ship. Meas. Sci. Technol. 2011, 22, 085709. [Google Scholar] [CrossRef]
- Lin, C.; Gong, S. Warship Physical Field, 2nd ed.; The Publishing House of Ordnance Industry: Beijing, China, 2007; pp. 25–256. (In Chinese) [Google Scholar]
- Schaefer, D.; Doose, J.; Rennings, A.; Erni, D. Numerical Analysis of Propeller-induced Low-frequency Modulations in Underwater Electric Potential Signatures of Naval Vessels in the Context of Corrosion Protection Systems. Presented at the COMSOL Conference 2011, Boston, MA, USA, 26–28 October 2011. [Google Scholar]
- Mu, J.; Liu, Y.; Li, P.; Zhu, K.; Wang, W. Design of an underwater rudder for a wave glider. China’s New Technol. Prod. 2019, 40, 16–19. (In Chinese) [Google Scholar]
- Zhang, W.; Liu, Y.; Ma, S. Research on Anti-Interference Nonlinear Adaptive Control Method for Autonomous Underwater Gliders. J. Ordnance Equip. Eng. 2021, 42, 165–169. (In Chinese) [Google Scholar] [CrossRef]
- Li, X.; Wang, L.; Wu, X.; She, H. Principle and System Design of a Wave Glide. J. Sichuan Ordnance 2013, 34, 128–131. (In Chinese) [Google Scholar]
- Tian, Y.; Wu, X.; Wang, H.; Xiong, T.; Wang, H.; Ban, W.; Wu, W. Research Progress and Development Thinking of “Sea Ray” Wave Glider. Digit. Ocean Underw. Warf. 2020, 3, 111–122. (In Chinese) [Google Scholar]

















Disclaimer/Publisher’s Note: The statements, opinions and data contained in all publications are solely those of the individual author(s) and contributor(s) and not of MDPI and/or the editor(s). MDPI and/or the editor(s) disclaim responsibility for any injury to people or property resulting from any ideas, methods, instructions or products referred to in the content. |
© 2024 by the authors. Licensee MDPI, Basel, Switzerland. This article is an open access article distributed under the terms and conditions of the Creative Commons Attribution (CC BY) license (https://creativecommons.org/licenses/by/4.0/).
Share and Cite
Xie, T.; Zhang, J.; Xiao, D.; Ji, Q. Analysis of Electromagnetic Field Characteristics of Wave Glider. Appl. Sci. 2024, 14, 4800. https://doi.org/10.3390/app14114800
Xie T, Zhang J, Xiao D, Ji Q. Analysis of Electromagnetic Field Characteristics of Wave Glider. Applied Sciences. 2024; 14(11):4800. https://doi.org/10.3390/app14114800
Chicago/Turabian StyleXie, Taotao, Jiawei Zhang, Dawei Xiao, and Qing Ji. 2024. "Analysis of Electromagnetic Field Characteristics of Wave Glider" Applied Sciences 14, no. 11: 4800. https://doi.org/10.3390/app14114800
APA StyleXie, T., Zhang, J., Xiao, D., & Ji, Q. (2024). Analysis of Electromagnetic Field Characteristics of Wave Glider. Applied Sciences, 14(11), 4800. https://doi.org/10.3390/app14114800

