Automated Multi-Type Pavement Distress Segmentation and Quantification Using Transformer Networks for Pavement Condition Index Prediction
Abstract
1. Introduction
- To enhance the model’s multi-scale distress feature representation and detail recovery while modeling long-range dependencies and providing a global feature representation, we designed a multi-scale distress segmentation network—ISTD-DisNet—with an encoder–decoder transformer architecture.
- Based on the ISTD-DisNet output, we analyzed the correlation between the PDR and PCI indices and developed a new pavement damage condition prediction model.
- Extensive experiments were conducted on the ISTD-PDS7 benchmark dataset and evaluation units with different pavement conditions to verify the superiority of the ISTD-DisNet method proposed in this article in the task of multi-scale pavement distress segmentation in complex scenarios. In addition, a comprehensive comparative analysis was conducted to compare the results of the proposed automatic evaluation model for the pavement damage condition with those of manual visual discrimination.
2. Methods
2.1. Network Overview
2.2. Encoder
2.3. Mixed Attention Module (MAM)
2.3.1. Spatial Attention Mechanism
2.3.2. Channel Attention Mechanism
2.4. Transposed Convolution Upsampling Module (TCUM)
2.5. Mixed Loss Function
3. Results and Discussion
3.1. Implementation Details
- Parameter settings: We implemented the evaluation networks using the publicly available PyTorch1.7.0, which is well-known in this community. To improve the learning performance, we adopted the migration-learning method to train the proposed model. The pre-trained model selected the optimal weights of the backbone network trained on the Cityscapes dataset. The model training and testing were performed on a Windows 10 system using Python 3.6. The model training was divided into a freezing phase (50 EP) and a thawing phase (100 EP). The batch size of the freezing training phase was set to 4 and the learning rate was set to 1 × 10−4. The batch size of the unfreezing process was set to 2 and the learning rate was set to 1 × 10−5. The momentum and weight decay were set to 0.9 and 0, respectively. The model-training process was optimized using the AdamW optimizer with a learning rate of 1 × 10−4. All the experiments described in this article were performed using a single GeForce RTX 3090 GPU.
- Datasets: To reveal the superiority of ISTD-DisNet, we choose the ISTD-PDS7 [20] benchmark dataset for the model training and testing. The original images in the ISTD-PDS7 dataset were acquired using a mobile acquisition vehicle. This dataset covers seven types of common pavement distress, with different scales for the different distress types. In addition, this dataset has high scene complexity and labeling fineness and contains a sufficient number of negative samples with textural similarity noise, such as shadows, water or oil stains, dropped objects, pavement appendages, etc. ISTD-PDS7 contains 6553 sample images of lesions and 11,974 negative sample images with interference noise. The size of the dataset after data enhancement (vertical flip, horizontal flip, flip, and transpose) was 30,475. The ratio of the ISTD-TR training set to the ISTD-VD validation set was 9:1. ISTD-TE (1000) and ISTD-CRTE (550) were used as the test sets to evaluate the performance in the multi-type distress task and crack segmentation task, respectively, in complex scenarios. Figure 5 shows examples of seven types of distress and negative samples in different scenarios, with the first row showing the original images and the second row showing the corresponding labeled images. Finally, we evaluated the generalizability of the ISTD-DisNet model using the CRACK500 [34], CFD [35], AigleRN [36], and GAPs384 [34] datasets.Figure 5. Example images of ISTD-PDS7, where “TC”, “LC”, “CCC”, “ANC”, “BS”, “PA”, “PO”, and “NS” are the abbreviations for “transverse crack”, “longitudinal crack”, “cement concrete crack”, “alligator network crack”, “broken slab”, “patch”, “pothole”, and “negative sample”.Figure 5. Example images of ISTD-PDS7, where “TC”, “LC”, “CCC”, “ANC”, “BS”, “PA”, “PO”, and “NS” are the abbreviations for “transverse crack”, “longitudinal crack”, “cement concrete crack”, “alligator network crack”, “broken slab”, “patch”, “pothole”, and “negative sample”.
- Comparison algorithms: In this study, we evaluated the performance of ISTD-DisNet and seven mainstream semantic segmentation models on the ISTD-PDS7 dataset. The comparison algorithms included five CNN-based segmentation networks (SegNet [57], PSPNet [58], DeepLabv3+ [59], U-Net [31], HRNet [60]) and two transformer-based segmentation networks (Swin-Unet [42], SegFormer [44]). In addition, ablation experiments were performed to verify the effectiveness of the improved methods at three locations.
- Evaluation metrics: To provide a comprehensive evaluation, the F1 score and the mean intersection over union (mIoU) were used to quantitatively evaluate the performance of the different segmentation models. Specifically, the F1 score is the weighted harmonic average, which was used to measure the comprehensive performance of the model. The IoU is the ratio between the intersection and concatenation between the predicted results and the true labels, which measured the segmentation ability of the model in terms of the degree of overlap between the predicted and actual distress. mIoU is the average of the IoU. For each image, the and can be calculated by comparing the detected distress with the human-annotated ground truth. The metrics can be calculated by the following formulas:where , , and represent the true positive, false positive, and false negative, respectively; these are measured by the class throughout the test set, where .
3.2. Quantitative Evaluation
3.3. Visual Performance
3.4. Ablation Study
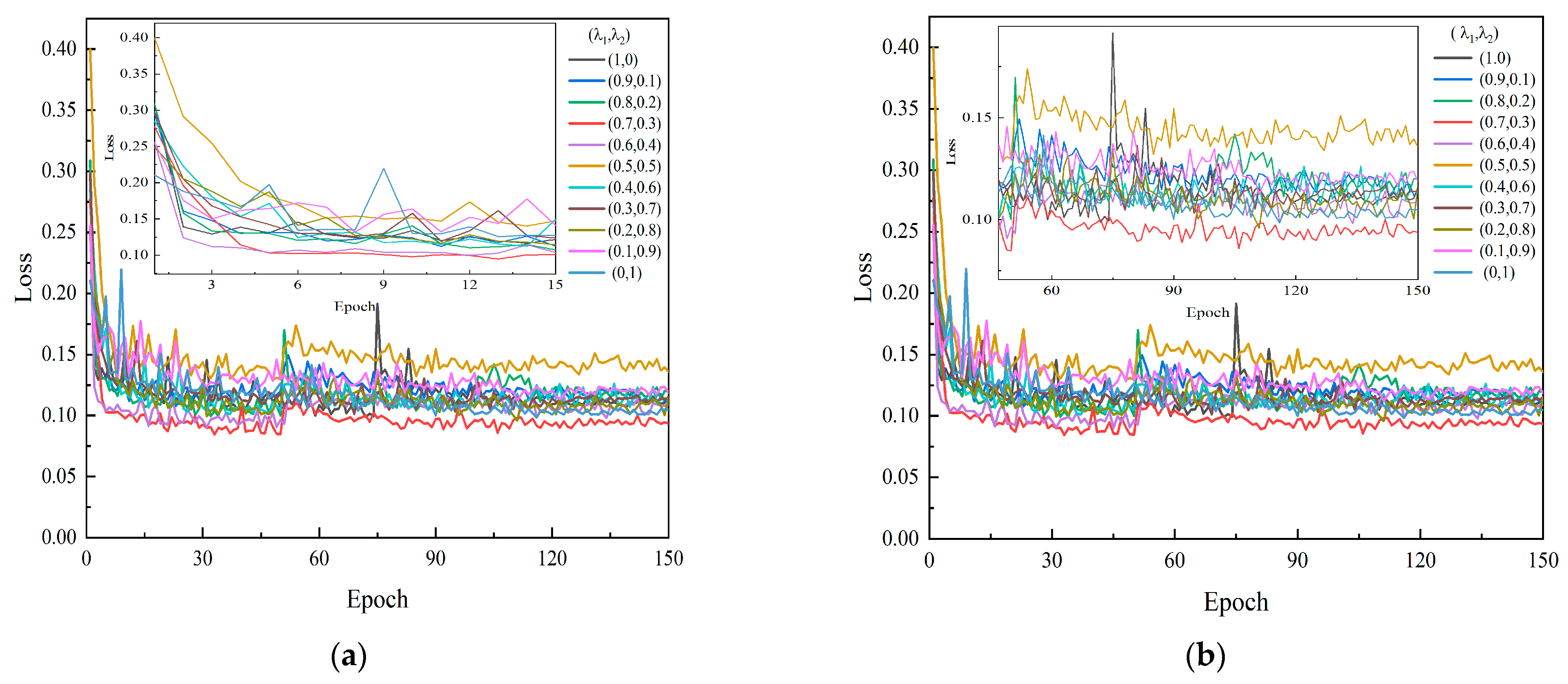
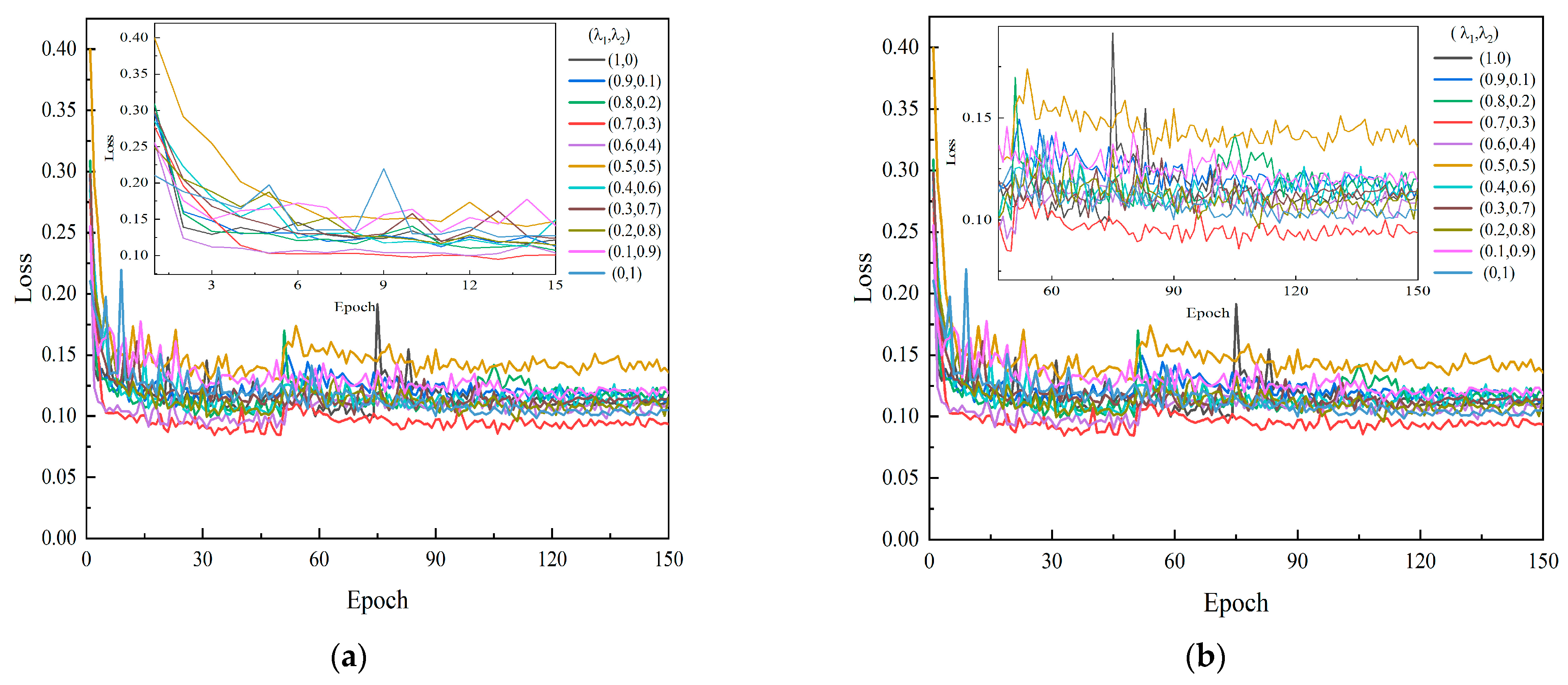
3.5. Weight Coefficient Analysis for the Mixed Loss Function
3.6. Generalizability Analysis on Different Publicly Available Datasets
4. PCI Prediction Model Based on the ISTD-DisNet Outputs
4.1. PCI and Distress Pixel Density Ratio
4.2. Experimental Data
4.3. PCI Prediction Modeling
4.4. Model Verification
5. Conclusions
Author Contributions
Funding
Institutional Review Board Statement
Informed Consent Statement
Data Availability Statement
Conflicts of Interest
References
- Babkov, V.F. Road Conditions and Traffic Safety; Mir Publishers: Portsmouth, NH, USA, 1975. [Google Scholar]
- Hamed, M.; Yaw, A.; William, G.B. Deep machine learning approach to develop a new asphalt pavement condition index. Constr. Build. Mater. 2020, 247, 118513. [Google Scholar]
- Xu, C.; Zhang, Q.; Mei, L.; Chang, X.; Ye, Z.; Wang, J.; Ye, L.; Yang, W. Cross-Attention-Guided Feature Alignment Network for Road Crack Detection. ISPRS Int. J. Geo-Inf. 2023, 12, 382. [Google Scholar] [CrossRef]
- Hu, G.; Hu, B.; Yang, Z.; Huang, L.; Li, P. Pavement Crack Detection Method Based on Deep Learning Models. Wirel. Commun. Mob. Comput. 2021, 2021, 5573590. [Google Scholar] [CrossRef]
- Zou, Q.; Zhang, Z.; Li, Q.; Qi, X.; Wang, Q.; Wang, S. DeepCrack: Learning hierarchical convolutional features for crack detection. IEEE Trans. Image Process. 2019, 28, 1498–1512. [Google Scholar] [CrossRef]
- Song, W.; Jia, G.; Jia, D.; Zhu, H. Automatic pavement crack detection and classification using multiscale feature attention network. IEEE Access 2019, 7, 171001–171012. [Google Scholar] [CrossRef]
- Stricker, R.; Aganian, D.; Sesselmann, M.; Seichter, D.; Engelhardt, M.; Spielhofer, R.; Gross, H.M. Road surface segmentation-pixel-perfect distress and object detection for road assessment. In Proceedings of the 2021 IEEE 17th International Conference on Automation Science and Engineering (CASE), Lyon, France, 23–27 August 2021; pp. 1789–1796. [Google Scholar]
- Zhang, C.; Nateghinia, E.; Miranda-Moreno, L.; Sun, L. Pavement distress detection using convolutional neural network (CNN): A case study in Montreal, Canada. Int. J. Transp. Sci. Technol. 2021, 11, 298–309. [Google Scholar] [CrossRef]
- Li, J.; Yuan, C.; Wang, X. Real-time instance-level detection of asphalt pavement distress combining space-to-depth (SPD) YOLO and omni-scale network (OSNet). Autom. Constr. 2023, 155, 105062. [Google Scholar] [CrossRef]
- Cheng, H.; Shi, X.J.; Glazier, C. Real-Time image thresholding based on sample space reduction and interpolation approach. J. Comput. Civ. Eng. 2003, 17, 264–272. [Google Scholar] [CrossRef]
- Ayenu-Prah, A.Y.; Attoh-Okine, N.O. Evaluating pavement cracks with bidimensional empirical mode decomposition. EURASIP J. Adv. Signal Process. 2008, 2008, 861701. [Google Scholar] [CrossRef]
- He, Y.; Qiu, H.; Jian, W.; Wei, Z.; Xie, J. Studying of road crack image detection method based on the mathematical morphology. In Proceedings of the 2011 4th International Congress on Image and Signal Processing, Shanghai, China, 15–17 October 2011; Volume 2, pp. 967–969. [Google Scholar]
- Amhaz, R.; Chambon, S.; Idier, J.; Baltazart, V. Automatic crack detection on Two-Dimensional pavement images: An algorithm based on minimal path selection. IEEE Trans. Intell. Transp. Syst. 2016, 17, 2718–2729. [Google Scholar] [CrossRef]
- Zhang, D.; Li, Q.; Chen, Y.; Cao, M.; He, L.; Zhang, B. An efficient and reliable coarse-to-fine approach for asphalt pavement crack detection. Image Vis. Comput. 2017, 57, 130–146. [Google Scholar] [CrossRef]
- Li, N.; Hou, X.; Yang, X.; Dong, Y. Automation recognition of pavement surface distress based on support vector machine. In Proceedings of the 2009 Second International Conference on Intelligent Networks and Intelligent Systems, Tianjian, China, 1–3 November 2009; pp. 346–349. [Google Scholar]
- Carvalhido, A.G.; Marques, S.; Nunes, F.D.; Correia, P.L. Automatic Road Pavement Crack Detection Using SVM. Master’s Thesis, Instituto Superior Técnico, Lisbon, Portugal, 2012. [Google Scholar]
- Ai, D.H.; Jiang, G.Y.; Siew Kei, L.; Li, C.W. Automatic Pixel-Level pavement crack detection using information of Multi-Scale neighborhoods. IEEE Access 2018, 6, 24452–24463. [Google Scholar] [CrossRef]
- Hoang, N. An artificial intelligence method for asphalt pavement pothole detection using least squares support vector machine and neural network with steerable Filter-Based feature extraction. Adv. Civ. Eng. 2018, 2018, 7419058. [Google Scholar] [CrossRef]
- Xu, Z.; Guan, H.; Kang, J.; Lei, X.; Ma, L.; Yu, Y.; Chen, Y.; Li, J. Pavement crack detection from CCD images with a locally enhanced transformer network. Int. J. Appl. Earth Obs. Geoinf. 2022, 110, 102825. [Google Scholar] [CrossRef]
- Song, W.; Zhang, Z.; Zhang, B.; Jia, G.; Zhu, H.; Zhang, J. ISTD-PDS7: A Benchmark Dataset for Multi-Type Pavement Distress Segmentation from CCD Images in Complex Scenarios. Remote Sens. 2023, 15, 1750. [Google Scholar] [CrossRef]
- LeCun, Y.; Bengio, Y.; Hinton, G. Deep learning. Nature 2015, 521, 436–444. [Google Scholar] [CrossRef]
- Cao, W.; Liu, Q.F.; He, Z.Q. Review of Pavement Defect Detection Methods. IEEE Access 2020, 8, 14531–14544. [Google Scholar] [CrossRef]
- Dung, C.V.; Sekiya, H.; Hirano, S.; Okatani, T.; Miki, C. A vision-based method for crack detection in gusset plate welded joints of steel bridges using deep convolutional neural networks. Autom. Constr. 2019, 102, 217–229. [Google Scholar] [CrossRef]
- Xu, H.; Su, X.; Wang, Y.; Cai, H.; Cui, K.; Chen, X. Automatic bridge crack detection using a convolutional neural network. Appl. Sci. 2019, 9, 2867. [Google Scholar] [CrossRef]
- Cha, Y.J.; Choi, W.; Oral, B. Deep learning-based crack damage detection using convolutional neural networks. Comput.-Aided Civ. Infrastruct. Eng. 2017, 32, 361–378. [Google Scholar] [CrossRef]
- Tran, T.S.; Tran, V.P.; Lee, H.J.; Flores, J.M.; Le, V.P. A two-step sequential automated crack detection and severity classification process for asphalt pavements. Int. J. Pavement Eng. 2020, 23, 2019–2033. [Google Scholar] [CrossRef]
- Wu, Z.; Kalfarisi, R.; Kouyoumdjian, F.; Taelman, C. Applying deep convolutional neural network with 3D reality mesh model for water tank crack detection and evaluation. Urban Water J. 2020, 17, 682–695. [Google Scholar] [CrossRef]
- Jeong, D. Road damage detection using YOLO with smartphone images. In Proceedings of the 2020 IEEE International Conference on Big Data (Big Data), Atlanta, GA, USA, 10–13 December 2020; pp. 5559–5562. [Google Scholar]
- Huang, H.; Li, Q.; Zhang, D. Deep learning based image recognition for crack and leakage defects of metro shield tunnel. Tunn. Undergr. Space Technol. 2018, 77, 166–176. [Google Scholar] [CrossRef]
- Jenkins, M.D.; Carr, T.A.; Iglesias, M.I.; Buggy, T.W.; Morison, G. A deep convolutional neural network for semantic Pixel-Wise segmentation of road and pavement surface cracks. In Proceedings of the 2018 26th European Signal Processing Conference (EUSIPCO), Roma, Italy, 3–7 September 2018; pp. 2120–2124. [Google Scholar]
- Ronneberger, O.; Fischer, P.; Brox, T. U-Net: Convolutional networks for biomedical image segmentation. In Medical Image Computing and Computer-Assisted Intervention—MICCAI 2015; Lecture Notes in Computer Science; Springer: Cham, Switzerland, 2015; Volume 9351. [Google Scholar]
- Lau, S.; Chong, E.K.; Yang, X.; Wang, X. Automated pavement crack segmentation using U-Net-Based convolutional neural network. IEEE Access 2019, 8, 114892–114899. [Google Scholar] [CrossRef]
- Escalona, U.; Arce, F.; Zamora, E.; Azuela, J. Fully convolutional networks for automatic pavement crack segmentation. Comput. Sist. 2019, 23, 451–460. [Google Scholar] [CrossRef]
- Yang, F.; Zhang, L.; Yu, S.; Prokhorov, D.; Mei, X.; Ling, H. Feature pyramid and hierarchical boosting network for pavement crack detection. IEEE Trans. Intell. Transp. Syst. 2019, 21, 1525–1535. [Google Scholar] [CrossRef]
- Shi, Y.; Cui, L.; Qi, Z.; Meng, F.; Chen, Z. Automatic road crack detection using random structured forests. IEEE Trans. Intell. Transp. Syst. 2016, 17, 3434–3445. [Google Scholar] [CrossRef]
- Chambon, S.; Moliard, J. Automatic road pavement assessment with image processing: Review and Comparison. Int. J. Geophys. 2011, 2011, 989354. [Google Scholar] [CrossRef]
- Mei, Q.; Mustafa, G. A cost effective solution for pavement crack inspection using cameras and deep neural networks. Constr. Build. Mater. 2020, 256, 119397. [Google Scholar] [CrossRef]
- Lõuk, R.; Riid, A.; Pihlak, R.; Tepljakov, A. Pavement defect segmentation in orthoframes with a pipeline of three convolutional neural networks. Algorithms 2020, 13, 198. [Google Scholar] [CrossRef]
- Shuai, B.; Zuo, Z.; Wang, B.; Wang, G. Scene Segmentation with DAG-Recurrent Neural Networks. IEEE Trans. Pattern Anal. Mach. Intell. 2018, 40, 1480–1493. [Google Scholar] [CrossRef] [PubMed]
- Li, R.; Zheng, Y.; Zhang, C.; Duan, C.; Wang, B.; Peter, M. Atkinson. ABCNet: Attentive bilateral contextual network for efficient semantic segmentation of Fine-Resolution remotely sensed imagery. ISPRS J. Photogramm. Remote Sens. 2021, 181, 84–98. [Google Scholar] [CrossRef]
- Dosovitskiy, A.; Beyer, L.; Kolesnikov, A.; Weissenborn, D.; Zhai, X.; Unterthiner, T.; Dehghani, M.; Minderer, M.; Heigold, G.; Gelly, S.; et al. An Image is Worth 16x16 Words: Transformers for image recognition at Scale. arXiv 2020, arXiv:2010.11929. [Google Scholar]
- Cao, H.; Wang, Y.; Chen, J.; Jiang, D.; Zhang, X.; Tian, Q.; Wang, M. Swin-Unet: Unet-like pure transformer for medical image segmentation. arXiv 2021, arXiv:2105.05537. [Google Scholar]
- Wang, W.; Xie, E.; Li, X.; Fan, D.; Song, K.; Liang, D.; Lu, T.; Luo, P.; Shao, L. Pyramid Vision Transformer: A Versatile Backbone for Dense Prediction without Convolutions. In Proceedings of the 2021 IEEE/CVF International Conference on Computer Vision (ICCV), Montreal, QC, Canada, 10–17 October 2021; pp. 548–558. [Google Scholar]
- Xie, E.; Wang, W.; Yu, Z.; Anandkumar, A.; Álvarez, J.; Luo, P. SegFormer: Simple and efficient design for semantic segmentation with transformers. Neural Inf. Process. Syst. 2021, 34, 12077–12090. [Google Scholar]
- Rakshitha, R.; Srinath, S. A Comprehensive Review on Asphalt Pavement Distress Detection and Assessment based on Artificial Intelligence. In Proceedings of the 2022 IEEE 9th Uttar Pradesh Section International Conference on Electrical, Electronics and Computer Engineering (UPCON), Prayagraj, India, 2–4 December 2022; Volume 2022, pp. 1–6. [Google Scholar]
- Xu, P.; Zhu, X.; Yao, D.; Shi, C.; Qian, G.; Yu, H. Review on intelligent detection and decision-making of asphalt pavement maintenance. J. Cent. South Univ. Sci. Technol. 2021, 52, 2099–2117. [Google Scholar]
- Yuan, J.; Ren, Q.; Jia, C.; Zhang, J.; Fu, J.; Li, M. Automated pixel-level crack detection and quantification using deep convolutional neural networks for structural condition assessment. Structures 2024, 59, 105780. [Google Scholar] [CrossRef]
- Huang, Y. Pavement Analysis and Design, 2nd ed.; Pearson Prentice Hall: Upper Saddle River, NJ, USA, 2004. [Google Scholar]
- Shahin, M. Pavement Management for Airports, Roads, and Parking Lots; Springer: New York, NY, USA, 2006; Volume 501. [Google Scholar]
- Eldin, N.; Senouci, A. A pavement condition-rating model using backpropagation neural networks. Comput.-Aided Civ. Infrastruct. Eng. 1995, 10, 433–441. [Google Scholar] [CrossRef]
- Piryonesi, S.; El-Diraby, T. Data Analytics in Asset Management: Cost-Effective Prediction of the Pavement Condition Index. J. Infrastruct. Syst. 2020, 26, 04019036.1–04019036.23. [Google Scholar] [CrossRef]
- Shahnazari, H.; Tutunchian, M.; Mashayekhi, M.; Amini, A. Application of soft computing for prediction of pavement condition index. J. Transp. Eng. -ASCE 2012, 138, 1495–1506. [Google Scholar] [CrossRef]
- Fu, J.; Liu, J.; Tian, H.; Li, Y.; Bao, Y.; Fang, Z.; Lu, H. Dual attention network for scene segmentation. In Proceedings of the IEEE Conference on Computer Vision and Pattern Recognition, Long Beach, CA, USA, 15–20 June 2019; pp. 3146–3154. [Google Scholar]
- Dumoulin, V.; Visin, F. A guide to convolution arithmetic for deep learning. arXiv 2016, arXiv:1603.07285. [Google Scholar]
- Lin, T.; Goyal, P.; Girshick, R.; He, K.; Dollár, P. Focal loss for dense object detection. In Proceedings of the 2017 IEEE International Conference on Computer Vision, Venice, Italy, 22–29 October 2017; IEEE: Piscataway, NJ, USA, 2017; pp. 2980–2988. [Google Scholar]
- Milletari, F.; Navab, N.; Ahmadi, S.A. V-net: Fully convolutional neural networks for volumetric medical image segmentation. In Proceedings of the 2016 Fourth International Conference on 3D Vision (3DV), Stanford, CA, USA, 25–28 October 2016; IEEE: Piscataway, NJ, USA, 2016; pp. 565–571. [Google Scholar]
- Badrinarayanan, V.; Kendall, A.; Cipolla, R. SegNet: A deep convolutional Encoder-Decoder architecture for image segmentation. IEEE Trans. Pattern Anal. Mach. Intell. 2017, 39, 2481–2495. [Google Scholar] [CrossRef] [PubMed]
- Zhao, H.; Shi, J.; Qi, X.; Wang, X.; Jia, J. Pyramid scene parsing network. In Proceedings of the 2017 IEEE Conference on Computer Vision and Pattern Recognition, Honolulu, HI, USA, 21–26 July 2017; pp. 2881–2890. [Google Scholar]
- Chen, L.; Zhu, Y.; Papandreou, G.; Schroff, E.; Adam, H. Encoder-Decoder with atrous separable convolution for semantic image segmentation. In Proceedings of the European Conference on Computer Vision, Munich, Germany, 8–14 September 2018; pp. 801–818. [Google Scholar]
- Wang, J.; Sun, K.; Cheng, T.; Jiang, B.; Deng, C.; Zhao, Y.; Liu, D.; Mu, Y.; Tan, M.; Wang, X.; et al. Deep High-Resolution representation learning for visual recognition. IEEE Trans. Pattern Anal. Mach. Intell. 2020, 43, 3349–3364. [Google Scholar] [CrossRef] [PubMed]
- Simonyan, K.; Zisserman, A. Very deep convolutional networks for Large-Scale image recognition. arXiv 2014, arXiv:1409.1556. [Google Scholar]
- Sandler, M.; Howard, A.; Zhu, M.; Zhmoginov, A.; Chen, L. MobileNetV2: Inverted residuals and linear bottlenecks. In Proceedings of the IEEE Conference on Computer Vision and Pattern Recognition, Salt Lake City, UT, USA, 18–23 June 2018; pp. 4510–4520. [Google Scholar]
- He, K.; Zhang, X.; Ren, S.; Sun, J. Deep residual learning for image recognition. In Proceedings of the 2016 IEEE Conference on Computer Vision and Pattern Recognition, Las Vegas, NV, USA, 27–30 June 2016; pp. 770–778. [Google Scholar]
- Chollet, F. Xception: Deep learning with depthwise separable convolutions. In Proceedings of the IEEE Conference on Computer Vision and Pattern Recognition, Honolulu, HI, USA, 21–26 July 2017; pp. 1251–1258. [Google Scholar]
- Evans, G.; Groot, M. Statistics; Springer: New York, NY, USA, 1997. [Google Scholar]
- Leonov, E.; Polbin, A. Numerical Search for a Global Solution in a Two-Mode Economy Model with an Exhaustible Resource of Hydrocarbons. Math. Models Comput. Simul. 2022, 14, 213–223. [Google Scholar] [CrossRef]
- Yamashita, N.; Fukushima, M. On the rate of Convergence of the Levenberg-Marquardt Method. In Topics in Numerical Analysis: With Special Emphasis on Nonlinear Problems; Springer: Berlin/Heidelberg, Germany, 2001; pp. 239–249. [Google Scholar]
- Kodikara, J.; Sounthararajah, A.; Chen, L. Reimagining Unbound Road Pavement Technology: Integrating Testing, Design, Construction and Performance in the Post-Digital Era. Transp. Geotech. 2024, 47, 101274. [Google Scholar] [CrossRef]













| Name | Number |
|---|---|
| Embed dims | [64, 128, 320, 512] |
| Num layers | [3, 4, 6, 3] |
| Num heads | [1, 2, 5, 8] |
| Patch size | [7, 3, 3, 3] |
| Strides | [4, 2, 2, 2] |
| Sr ratios | [8, 4, 2, 1] |
| MLP ratio | 4 |
| Dataset | Metric | SegNet | PSPNet | DeepLabv3+ | U-Net | HRNet | Swin-UNet | SegFormer | ISTD-DisNet | ||
|---|---|---|---|---|---|---|---|---|---|---|---|
| [57] | [58] | [59] | [31] | [60] | [42] | [44] | |||||
| Attribute | Backbone | V16 | MV2 | R-50 | MV2 | X | V16 | H-V2 | ST | MiT-B2 | MiT-B2 |
| Input size | 416 × 416 | 473 × 473 | 473 × 473 | 512 × 512 | 512 × 512 | 512 × 512 | 480 × 480 | 224 × 224 | 512 × 512 | 512 × 512 | |
| Par/M | 16.32 | 2.38 | 46.71 | 5.813 | 54.709 | 24.89 | 29.538 | 27.18 | 27.35 | 28.94 | |
| CC/GFLOPs | 601.78 | 5.28 | 118.43 | 52.87 | 166.841 | 450.602 | 79.915 | 52.56 | 113.427 | 176.331 | |
| Speed/FPS | 57.91 | 131.38 | 75.53 | 100.32 | 47.05 | 26.99 | 23.32 | 110.95 | 34.75 | 28.35 | |
| ISTD-TE | F1/% | 71.55 | 89.64 | 83.04 | 88.68 | 89.44 | 92.03 | 92.72 | 89.11 | 94.23 | 95.51 |
| mIoU/% | 60.4 | 82.27 | 73.55 | 81.03 | 81.13 | 85.96 | 87.07 | 81.64 | 89.49 | 91.67 | |
| ISTD-CRTE | F1/% | 71.44 | 73.61 | 74.57 | 81.98 | 79.25 | 85.91 | 85.07 | 79.75 | 87.14 | 89.24 |
| mIoU/% | 57.05 | 63.5 | 65.00 | 72.66 | 67.5 | 77.5 | 76.43 | 70.12 | 79.12 | 81.91 | |
| Method | F1/% | mIoU/% | CC/GFLOPs | Par/M | Speed/FPS |
|---|---|---|---|---|---|
| SegFormer | 94.23 | 89.49 | 113.427 | 27.348 | 34.75 |
| SegFormer + MAM | 94.94 | 90.77 | 113.467 | 27.496 | 34.73 |
| SegFormer + TCUM | 94.83 | 90.49 | 176.316 | 28.767 | 28.35 |
| SegFormer + Mixed_Loss | 95.16 | 91.07 | 113.427 | 27.348 | 34.75 |
| SegFormer + MAM + Mixed_Loss | 94.84 | 90.51 | 113.467 | 27.496 | 34.73 |
| SegFormer + TCUM + Mixed_Loss | 95.20 | 91.12 | 176.316 | 28.767 | 28.35 |
| SegFormer + MAM + TCUM | 94.99 | 90.77 | 176.356 | 28.915 | 32.74 |
| ISTD-DisNet | 95.51 | 91.67 | 176.356 | 28.941 | 28.35 |
| Dataset | Method | F1/% | mIoU/% | Equipment | Scenario |
|---|---|---|---|---|---|
| CFD | SegFormer | 82.65 | 73.98 | Smartphone | Urban roads in Beijing |
| ISTD-DisNet | 84.70 | 76.36 | |||
| CRACK500 | SegFormer | 81.66 | 72.72 | Smartphone | Temple University campus road |
| ISTD-DisNet | 83.05 | 74.27 | |||
| AigleRN | SegFormer | 71.53 | 62.45 | Area-array camera | French humanoid path |
| ISTD-DisNet | 74.45 | 65.98 | |||
| GAPs384 | SegFormer | 70.46 | 61.91 | Linear-array camera | German Autobahn |
| ISTD-DisNet | 72.65 | 64.14 |
| Evaluation Unit ID | PDR | PCI (Visual Inspection Method) | Type of Pavement |
|---|---|---|---|
| 1 | 0.00050 | 95.67 | Asphalt pavement |
| 2 | 0.00116 | 95.13 | |
| 3 | 0.00034 | 96.39 | |
| 4 | 0.00035 | 96.26 | |
| 5 | 0.00194 | 94.36 | |
| 6 | 0.00112 | 95.44 | |
| 7 | 0.00226 | 94.68 | |
| 8 | 0.00091 | 96.23 | |
| 9 | 0.00117 | 95.43 | |
| 10 | 0.00119 | 95.65 | |
| 11 | 0.00151 | 95.40 | |
| 12 | 0.00156 | 95.73 | |
| 13 | 0.00124 | 96.12 | |
| 14 | 0.00026 | 97.39 | |
| 15 | 0.00078 | 95.20 | |
| 16 | 0.00242 | 94.60 | |
| 17 | 0.00126 | 94.49 | |
| 18 | 0.00174 | 95.00 | |
| 19 | 0.00172 | 95.24 | |
| 20 | 0.00277 | 94.20 | |
| 21 | 0.00072 | 96.88 | |
| 22 | 0.00058 | 96.18 | |
| 23 | 0.00175 | 95.12 | |
| 24 | 0.00197 | 95.26 | |
| 25 | 0.00134 | 95.21 | |
| 26 | 0.00046 | 96.70 | |
| 27 | 0.00093 | 96.03 | |
| 28 | 0.00098 | 95.61 | |
| 29 | 0.00164 | 95.00 | |
| 30 | 0.00087 | 95.01 | |
| 31 | 0.00241 | 93.40 | |
| 32 | 0.00200 | 94.64 | |
| 33 | 0.00163 | 94.51 | |
| 34 | 0.00182 | 94.72 | |
| 35 | 0.00153 | 95.39 | |
| 36 | 0.00030 | 96.68 | |
| 37 | 0.00047 | 95.80 | |
| 38 | 0.00057 | 95.63 | |
| 39 | 0.00094 | 95.53 | |
| 40 | 0.00263 | 94.18 | |
| 41 | 0.00138 | 95.31 | |
| 42 | 0.00088 | 95.10 | |
| 43 | 0.00501 | 90.45 | Cement concrete pavement |
| 44 | 0.00025 | 96.48 | |
| 45 | 0.00170 | 92.95 | |
| 46 | 0.00029 | 95.72 | |
| 47 | 0.00116 | 94.26 | |
| 48 | 0.01719 | 86.58 | |
| 49 | 0.00269 | 92.64 | |
| 50 | 0.01674 | 85.53 | |
| 51 | 0.01694 | 86.00 | |
| 52 | 0.00293 | 91.77 | |
| 53 | 0.00206 | 93.35 | |
| 54 | 0.00101 | 96.64 | |
| 55 | 0.00744 | 89.40 | |
| 56 | 0.00221 | 91.50 | |
| 57 | 0.00032 | 91.65 | |
| 58 | 0.00883 | 89.36 | |
| 59 | 0.00323 | 91.11 | |
| 60 | 0.00029 | 94.88 | |
| 61 | 0.00858 | 89.94 | |
| 62 | 0.02228 | 86.15 | |
| 63 | 0.04044 | 83.30 | |
| 64 | 0.03881 | 81.47 | |
| 65 | 0.01107 | 87.37 | |
| 66 | 0.01580 | 85.93 |
Disclaimer/Publisher’s Note: The statements, opinions and data contained in all publications are solely those of the individual author(s) and contributor(s) and not of MDPI and/or the editor(s). MDPI and/or the editor(s) disclaim responsibility for any injury to people or property resulting from any ideas, methods, instructions or products referred to in the content. |
© 2024 by the authors. Licensee MDPI, Basel, Switzerland. This article is an open access article distributed under the terms and conditions of the Creative Commons Attribution (CC BY) license (https://creativecommons.org/licenses/by/4.0/).
Share and Cite
Zhang, Z.; Song, W.; Zhuang, Y.; Zhang, B.; Wu, J. Automated Multi-Type Pavement Distress Segmentation and Quantification Using Transformer Networks for Pavement Condition Index Prediction. Appl. Sci. 2024, 14, 4709. https://doi.org/10.3390/app14114709
Zhang Z, Song W, Zhuang Y, Zhang B, Wu J. Automated Multi-Type Pavement Distress Segmentation and Quantification Using Transformer Networks for Pavement Condition Index Prediction. Applied Sciences. 2024; 14(11):4709. https://doi.org/10.3390/app14114709
Chicago/Turabian StyleZhang, Zaiyan, Weidong Song, Yangyang Zhuang, Bing Zhang, and Jiachen Wu. 2024. "Automated Multi-Type Pavement Distress Segmentation and Quantification Using Transformer Networks for Pavement Condition Index Prediction" Applied Sciences 14, no. 11: 4709. https://doi.org/10.3390/app14114709
APA StyleZhang, Z., Song, W., Zhuang, Y., Zhang, B., & Wu, J. (2024). Automated Multi-Type Pavement Distress Segmentation and Quantification Using Transformer Networks for Pavement Condition Index Prediction. Applied Sciences, 14(11), 4709. https://doi.org/10.3390/app14114709
