Next Article in Journal
Analytical Model for Predicting Induction Times in Reverse Osmosis Systems with and without Antiscalants
Previous Article in Journal
Magnetic Negative Stiffness Devices for Vibration Isolation Systems: A State-of-the-Art Review from Theoretical Models to Engineering Applications
 
 
Font Type:
Arial Georgia Verdana
Font Size:
Aa Aa Aa
Line Spacing:
Column Width:
Background:
Article

Acoustic Pressure Amplification through In-Duct Sonic Black Holes

1
Laboratoire de Mécanique et d’Acoustique (LMA), Centrale Marseille, Aix Marseille University, CNRS, 38 rue Frédéric Joliot-Curie, 13013 Marseille, France
2
Instituto de Tecnologías Físicas y de la Información (ITEFI), Consejo Superior de Investigaciones Científicas (CSIC), Serrano 144, 28006 Madrid, Spain
3
Institut de Recherche sur les Phénomènes Hors-Equilibre (IRPHE), Centrale Marseille, Aix Marseille University, CNRS, 49 rue Frédéric Joliot-Curie, 13013 Marseille, France
*
Author to whom correspondence should be addressed.
Appl. Sci. 2024, 14(11), 4699; https://doi.org/10.3390/app14114699
Submission received: 6 May 2024 / Revised: 24 May 2024 / Accepted: 28 May 2024 / Published: 29 May 2024
(This article belongs to the Section Acoustics and Vibrations)

Abstract

Featured Application

Fault diagnosis for HVAC systems.

Abstract

Acoustic detection of machinery defaults from in-duct measurements is of practical importance in many areas, such as the health assessment of turbines in ventilation systems or engine testing in the surface and air transport sectors. This approach is, however, impeded by the low signal-to-noise ratio (SNR) observed in such environments. In this study, it is proposed to exploit the slow sound effect of Sonic Black Hole (SBH) ducted silencers to enhance the sensing of incident pulse acoustic signals with low SNR. It is found from transfer matrix and finite element modelling that fully opened SBH silencers with perforated skin interfaces are able to substantially enhance an incident pulse amplitude while channeling an air flow. We demonstrate that the graded depths of the SBH cavities provide rainbow spectral decomposition and amplification of the incident pulse frequency components, provided that impedance matching, slow sound, and critically coupled conditions are met. In-duct experiments showed the ability of a 3D printed SBH silencer to simultaneously enhance acoustic sensing and fully trap the pulse spectral components in the SBH cavities in the presence of a low-speed flow. This study opens up new avenues for the development of dual-purpose silencers designed for acoustic monitoring and noise control in duct systems without obstructing the air flow.

1. Introduction

An increasing awareness has appeared in the last few years concerning energy efficiency in the development of sustainable buildings [1]. Modern construction is built considering stricter insulation standards to ensure high energy savings [2], which can also imply poor indoor air quality. Ventilation systems are thus essential for the health and comfort of building occupants [3]. They play a central role in ensuring not only adequate levels of temperature and humidity but also a good quality of indoor air. Additionally, airborne transmission and concentration of bacteria and viruses are directly influenced by adequate airflow, contributing to a healthier built environment [4].
Failures of indoor building ventilation systems that are not fixed at an early stage lead to more expensive repairs or even to compressor failures and the need to replace the entire system [5]. Early problem identification is made through assessment and diagnosis procedures that comprise different techniques. Most common solutions use duct measurements to perform air flow monitoring using audio sensing techniques [6,7,8]. Many of these recent applications have developed distributed acoustic sensor systems using machine learning algorithms deployed on smartphones. The real-time monitoring of ventilation systems is able to classify and detect failures at an early stage. However, these sensor systems can be expensive for implementation and maintenance upgrades. In addition, they present the intrinsic limitation of the minimum detectable pressure, which can be masked due to the presence of high background noise. The pressure limit detection problem also appears in other areas concerning transmission data in communications, with challenges of noise and attenuation affecting the integrity of the signal [9], structural monitoring and rehabilitation of in-service structures due to the sensitivity of the measured parameters with respect to the intensity of the change [10], or medical image analysis for proper interpretation of noisy image data [11]. Additional solutions to enhance the sensing of weak signals are of fundamental importance in these areas.
In recent decades, the development of acoustic metamaterials has brought new perspectives for manipulating sound waves [12]. They are engineered materials with designed internal structures and geometries used to induce effective properties that are substantially different from those found in their components alone. This is accomplished by exploiting subwavelength micro-structures embedded in a background medium. The response of properly defined unit cells can be translated into averaged effective parameters, namely an effective density and bulk modulus [13]. The objective is to create a structural building block that, when assembled into a larger sample, exhibits the desired values of these key effective parameters. A review of several applications can be found in [13]. Metamaterials have been considered in the field of acoustic sensing for the amplification of acoustic pulse signals hidden by background noise. Chen et al. [14] have proposed an anisotropic acoustic metamaterial made up of graded cavity depths that compressed the sound wavelength and enabled the spatial concentration of the acoustic energy and the amplification of the signal. The concept was validated using a design composed of alternative layers of metal with air gaps of increasing widths. The experiments were performed in anechoic conditions. It proved the phenomenon of wave compression at 7 kHz and pressure amplification of more than 20 dB compared to that obtained without the metamaterial. The same configuration has been revisited more recently [15], including gradient-coiling metamaterials to lower the operational frequency of detection. The structure was composed of 24 rectangular plates with a nonlinear profile varying along the wave propagation direction, with curved cells between the slits. The proposed configuration was 3D printed and tested in response to various pulse signals generated by a loudspeaker. It was able to provide superior acoustic enhancement by a factor of 2.5 over a wide range of incident angles with the inclusion of the coiled structure.
Inspired by these results, we explore the use of acoustic metamaterials for pressure sensing, considering a fully opened ducted geometry, in order to assess and monitor defaults in HVAC (heating, ventilation and air-conditioning) systems. A concept denoted Sonic Black Hole (SBH) has appeared in the field of noise control with great potential for acoustic energy trapping [16]. It was initially designed for the control of vibrations propagating along a beam with a thickness decreasing according to a power law [17]. The retarding mechanism progressively reduces to zero the effective velocity of the incoming perturbation until it reaches the structure edge, where a non-reflecting condition takes place. This slow-sound generation phenomenon has also been considered for the design of metamufflers in order to trap and dissipate the energy of acoustic waves propagating in a waveguide [18,19,20]. Such metamufflers are composed of a set of ring sections separated by air cavities of variable depths distributed along the whole axial length. The radii of the air cavities progressively increase following an expanding power law from the inlet towards the outlet. Initial studies focused on closed SBH configurations [16] for the development of short anechoic terminations. More recently, opened SBHs have also been addressed for the simultaneous reduction of both reflection and transmission [16,21]. Excellent broadband performance has been achieved, but the problem was to extend the SBH effect towards the low frequency range to tackle, for instance, HVAC fans and pump noise sources below 800 Hz. One solution was to incorporate micro-perforated linings [22] at the entrance of the SBH outer cavities [23,24].
In this work, we analyze the ability of opened SBHs, already designed as metamufflers for duct noise control, to also work as sensors to enhance incident signals and ensure acoustic monitoring and fault detection in HVAC systems. A critical point is to determine if such dual-purpose metamaterial can be achieved for a similar or different set of constitutive parameters. To the author’s knowledge, the use of opened SBH as acoustic sensors has not been examined up to now. Moreover, it is compulsory to consider an opened configuration to comply with situations when there is an axial flow conveyed along the SBH axis. Section 2 will describe the internal structure of the opened SBHs as well as the analytical and numerical models developed for the prediction of their amplification performance. Section 3 will analyze the simulation results obtained on the slow sound, dissipation, impedance matching, and pressure gain performance of the opened SBHs with respect to those achieved by a closed SBH. The analytical transfer matrix approach will be assessed against the numerical model. Parametric studies will be performed to improve the amplification of a broadband incident pulse signal. It will be completed by an optimization study to find out the opened SBH parameters that maximize its sensing properties. In Section 4, an experimental validation is carried out in a low-speed flow duct wind-tunnel to assess the pressure gain performance of a 3D printed opened SBH subjected to different types of acoustic or aero-acoustic excitations. The main results are discussed in Section 5, followed by conclusions and ideas for future work in Section 6.

2. Materials and Methods

Enhanced sensing of acoustic signals has been observed through metamaterials with axially graded cavity depths [14] eventually coiled [15] but set in a free-field environment. The amplification of the incident pulse signal is now achieved in a waveguide using an outer acoustic metamaterial with graded cavity depths, as shown in Figure 1b, the so-called Opened Sonic Black Hole (O-SBH) sensor.
The outer cavities are eventually shielded by a micro-perforated panel (MPP) from an air flow conveyed in the main duct to avoid substantial drag, coined MPP-SBH. Its slow sound, dissipative, and sensing performance will be compared against those obtained in the no-flow case from an inner graded metamaterial, shown in Figure 1a, denoted closed SBH (C-SBH), which is geometrically similar to the anisotropic acoustic sensor configuration proposed in [14,15] but now with cavities backed by sound-hard walls.
The graded metamaterials of total length L are inserted in a cylindrical duct of radius R . They are composed of a finite number N of cavities of width w and whose depths follow a power-law D n x = R x m / L m , m 2 , 0 x L . The cavities are separated by rigid annular rings of thickness w p . The MPP covering the cavity apertures of the MPP-SBH sensor is described by an overall transfer impedance, Z MPP / σ [22], approximated by
Z MPP σ A d h 2 + j ρ 0 ω t h σ ,
with A = 2.2 × 32 η , η the air dynamic viscosity, t h the MPP thickness, d h the circular hole apertures, σ = π d h 2 / 4 Λ 2 the perforation ratio and Λ the holes pitch. The real part of Z MPP / σ in Equation (1) relates to resistive dissipation effects within and at the inlet/outlet of the MPP holes, whereas the imaginary part describes inertial reactive effects. Equation (1) is valid in linear acoustic regime, provided that the hole Shear number, Sh h = d h / 2 / r visc . ω , e.g., the ratio of the hole radius to the viscous boundary layer thickness r visc . ω = η / ρ 0 ω , is smaller than one, with ρ 0 the air density and ω the angular frequency. The convention e j ω t is assumed throughout the study.

2.1. Modelling the Slow Sound Effect

Assuming an incident plane wave travelling towards the SBH-type sensors made up of an infinite number of graded cavities separated by infinitely thin walls, linearized mass and momentum conservation equations lead to the following Webster propagation equation satisfied by the acoustic pressure p
d 2 p d x 2 + k 0 2 1 j y x k 0 r H p + 2 d log r H d x d p d x = 0 ,
with k 0 = ω / c 0 the acoustic wavenumber, c 0 the sound speed, r H the hydraulic radius that reduces to R / 2 (resp. R D n x / 2 ) for the outer (resp. inner) sensor configurations and y x the specific axially varying wall admittance that reads
y C-SBH x = j k 0 D n 2 x 2 R D n x ,
y O-SBH x = j k 0 D n 2 x 2 R + D n x ,
and
y MPP-SBH x = Z MPP σ Z 0 + y O-SBH 1 x 1 ,
with Z 0 = ρ 0 c 0 the air characteristic impedance. Inserting Equations (3a)–(3c) into the second term of Equation (2) provides an expression for the SBH sensors axial phase speeds c x = c 0 1 j y x k 0 r H 1 1 / 2 which results in the following low-frequency approximations c x , C SBH x c 0 1 D n x / R , c x , O SBH x c 0 1 + D n x / R 1 and
c x , MPP SBH x ; ω c 0 1 j 2 β n x Z 0 σ 2 d h 2 c 0 / R β n x A t h σ c 0 k 0 + j ω t h k 0 Z 0 σ d h 2 j Z 0 σ 2 d h 2 c 0 R / 2 1 / 2 ,
with β n x = D n x R + D n x / 2 / 2 .

2.2. Transfer Matrix Formulation

The SBH acoustic sensing properties under plane wave propagation conditions will now be examined using the Transfer Matrix Method (TMM) valid up to the first duct cut-on frequency f c . The total transfer matrix T between the SBH outlet and inlet is obtained from the product of the individual transfer matrices T n related to each SBH unit cell, made up of a sidebranch cavity and the adjacent ring wall. It reads
T = n = 1 N T n = T 11 T 12 T 21 T 22 .
The continuity of the acoustic pressure p n = p n + 1 and acoustic flow rate u n = Y cav , n p n + 1 + u n + 1 across the nth cavity-ring yields a relationship between the input and output variables, p n u n T = T n p n + 1 u n + 1 T , such that
T n = cos k 0 w j Z 0 S sin ( k 0 w ) j S Z 0 sin ( k 0 w ) cos k 0 w cos k 0 w p j Z 0 S sin ( k 0 w p ) j S Z 0 sin ( k 0 w p ) cos k 0 w p 1 0 Y cav , n 1
where the n-th cavity sidebranch admittance is given by Y cav , n = S cav y x n / Z 0 and y x n is obtained from Equations (3a)–(3c) for C-SBH, O-SBH and MPP-SBH. S cav reads 2 π R w (resp. 2 π R D n w ) for outer (resp. inner) SBHs. Also, S = π R 2 (resp. π R D n 2 ) for outer (resp. inner) SBHs. Visco-thermal effects are accounted for through complex frequency-dependent sound speed and air density quantities obtained from the Johnson-Champoux-Allard-Lafarge model [25,26].
The fraction of the incident power dissipated by the rigidly-backed one-port C-SBH is deduced from its reflection coefficient r as η = 1 r 2 with r = z 0 T 12 T 22 / z 0 T 12 T 22 and z 0 = S / Z 0 . As for the opened two-port SBHs, one obtains η = 1 r 2 t 2 with r = T 11 + z 0 T 12 T 21 + z 0 T 22 / T 11 + z 0 T 12 + T 21 + z 0 T 22 and t = 1 + r / T 11 + z 0 T 12 the transmission coefficient. In both cases, the SBH specific input impedance is obtained from z in = r ˜ + j m ˜ = 1 + r / 1 r with r ˜ (resp. m ˜ ) the specific input resistance (resp. reactance).
The ability of the SBH sensors to amplify the magnitude of an incident plane wave is described by the pressure gain factor defined as PG x n ; ω = p cav back , n / p rigid , n with p cav back , n (resp. p rigid , n ) the acoustic pressure at the back of the nth cavity (resp. in the rigid duct at the same axial position x n as the nth cavity). The pressure at the cavity back, p cav back , n , is related to the pressure at the cavity mouth, p cav , n , as follows
p cav back , n = p cav , n J 0 k 0 d max H 1 k 0 d max J 1 k 0 d max H 0 k 0 d max J 0 k 0 d min H 1 k 0 d max J 1 k 0 d max H 0 k 0 d min ,
with d max , d min = R + D n , R for outer O- and MPP-SBHs and d max , d min = R , R D n for inner C-SBHs, J 0 , J 1 , H 0 and H 1 being Bessel and Hankel functions of zeroth and first orders. In the case of squared cross-sectional silencers, Equation (7) turns into p cav back , n = p cav , n tan k 0 D n . Note that Equation (7) in the cylindrical (resp. square) configurations assumes locally reacting silencers with normal plane wave propagation in the cavities, neglecting azimuthal (resp. tangential) wave propagation. The latter effects have been observed in the experiment, as discussed in Section 4.
Given an incident plane wave, one can calculate from Equation (5) partial transfer matrices as well as acoustic pressure and flow rate variables p n u n T at each node of the SBH cavity-ring unit cells. In the case of C-SBH and O-SBH with opened cavity mouths, pressure continuity ensures that p cav , n = p n . In case of MPP-SBH, the (micro-) perforated skin produces a pressure jump p cav , n p n = Z MPP v MPP , n / σ with v MPP , n obtained from acoustic flow rate continuity at the n-th MPP-cavity-ring junction, S cav v MPP , n = u n u n + 1 , while Z MPP / σ is obtained from [22].

2.3. Visco-Thermal Finite Element Model

A finite element model (FEM) of the SBHs has been implemented under Comsol Multiphysics using the Thermoviscous Acoustics-Frequency Domain Module to evaluate the validity of the TMM simulations. This model solves mass, linearized momentum, energy conservation, and linearized state equations in the viscous and thermally conducting axi-symmetric fluid domain Ω VT , shown in Figure 2. An infinite length duct has been mimicked by imposing cylindrical perfectly matched layers (PML) boundary conditions at the inlet and outlet duct sections to avoid back-reflected waves. No-slip isothermal conditions are imposed on the solid duct and cavity ring boundaries S VT so that viscous losses (resp. heat conduction effects) induced by gradients of the air particle velocity (resp. temperature) are accounted for near these boundaries. A key parameter for accurate simulation results is the mesh quality. In order to well resolve the visco-thermal boundary layers along S VT , the minimum element size was chosen to be one third of the viscous boundary layer thickness, η / ρ 0 ω c / 3 , at the highest frequency of interest, e.g., at the first duct cut-on frequency f c 1.84 c 0 / 2 π R with ω c = 2 π f c . Also, the maximum element size was set to w / 3 , ensuring at least ten nodal points per acoustic wavelength at f c . Lagrange linear (resp. quadratic) elements were used for the pressure (resp. velocity and temperature) fields, considering a 2D axi-symmetric geometry.

3. Simulation Analysis

Analytical, TMM and FEM simulations have been performed on axi-symmetric SBHs of radius R = 0.047 m and length L = 0.15 m , up to the first duct cut-on frequency f c = 2142 Hz . The graded cavities of the SBHs have a maximum depth D N = R at x = L . Particle swarm optimization [21,27] has been used to maximize the total power dissipated by opened SBH silencers between 20 Hz and f c . The optimal design parameters are N = 20 annular cavities of axial width w = 3.5 mm separated by ring walls of thickness w p = 4 mm , such that w = L / N w p , and an axial rate m = 2 at which the cavity depths increase. The MPP-SBH is coated by a micro-perforated skin with thickness t h = 1   mm and perforation ratio σ = 2   % , which is able to achieve high dissipation performance [24] as well as moderate drag under a low-speed flow [28]. The SBHs are insonified by an incident plane wave. It is of interest to assess the sensing properties of the optimal SBH silencers and, conversely, to evaluate the silencing performance of the optimized SBH sensors. A key point is to assess if similar or different sets of parameters contribute to the axial silencing or lateral sensing performance.

3.1. Slow Sound, Dissipation, and Impedance Matching Performance

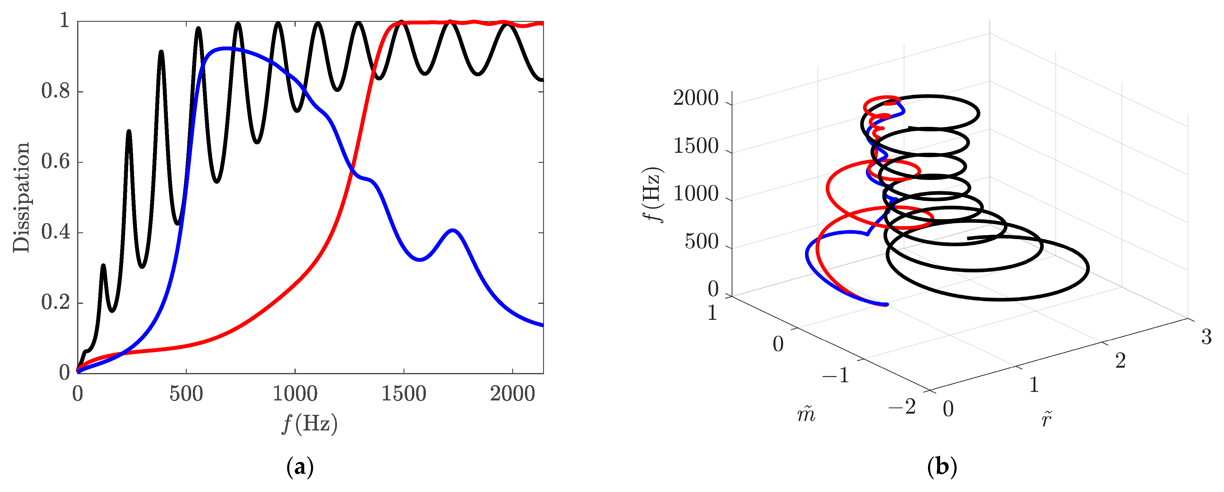
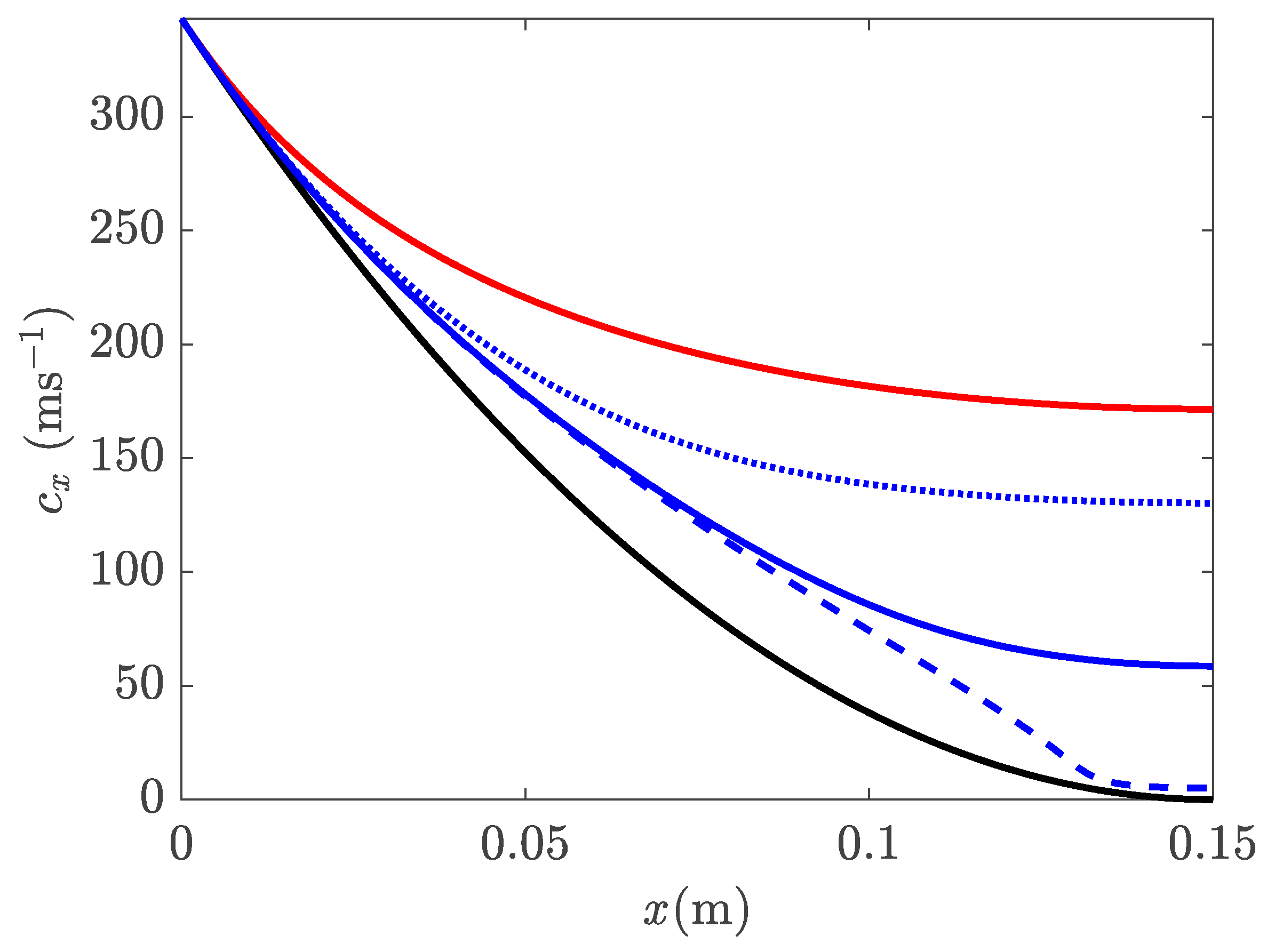
Slow sound effects have been simulated using the analytical model described in Section 2.1 and are illustrated in Figure 3 below. It can be seen that the acoustic wave travelling within the C-SBH slows down to zero and is fully trapped at x = L whereas it is only slowed down to c 0 / 2 at the outlet of the O-SBH. Intermediate slow sound effects are observed at the outlet of the MPP-SBH with a phase speed ranging from c 0 / 2.7 down to near-zero values when increasing the MPP hole diameter from 0.5 mm up to 3 mm. Slow sound and compressional wave effects for the O-SBH result from a progressive increase of the stiffness driven wall admittance, y O - SBH x given by Equation (3b), whereas they are caused by axially varying compressional and inertial effects at the mouths of the C-SBH and MPP-SBH cavities.
Figure 4a,b compare the dissipation and impedance matching properties of the C-SBH, O-SBH, and MPP-SBH, assuming a 1.5 mm hole diameter for the MPP. It can be seen from Figure 4a that the O-SBH achieves near-unit broadband dissipation from 1400 Hz up to the duct cut-on frequency due to the merging of the individual cavity resonances with a loss-to-leakage ratio close to unity [24]. All the incident energy is therefore confined and dissipated within the cavities activated at their resonance frequencies, resulting in minute reflected and transmitted powers. It also produces an efficient coupling with the incident wave due to impedance matching, e.g., near-unit resistance and near-zero reactance within 5% from 1400 Hz, as shown in Figure 4b.
Shielding the O-SBH cavity mouths with a MPP downshifts the efficiency range of the SBH with a dissipated power that stays above 0.8 between 500 Hz and 1 kHz. This is due to the inertial effects induced by the MPP on the individual cavity resonances. Moreover, the resistivity of the MPP holes adds up to the visco-thermal dissipation inside the cavities, thereby increasing the loss-to-leakage ratio’s above unity. The maximum dissipation value then decays while occurring at lower frequencies. Impedance matching is still achieved within 4% above 500 Hz.
Figure 4a shows that the dissipation performance of the C-SBH builds up on distinct resonance peaks with near-unit values above 800 Hz separated by dips above 0.8 as from 1 kHz. The low frequency peaks are induced by multiple quarter-wavelength resonances along the C-SBH length, scaling on the mean effective phase speed c ¯ x < c 0 induced by slow sound effects, such that the first resonance of the C-SBH occurs at c ¯ x / 4 L = 83   Hz . Above 500 Hz, these axial resonances progressively couple with the quarter-wavelength lateral cavity resonances, which essentially dominate the spectrum above 1400 Hz. Figure 4b shows that, unlike the O-SBH and MPP-SBH, efficient coupling with the incident wave is only achieved at the peak C-SBH resonance frequencies, with a noticeable impedance mismatch between the peaks below 1 kHz.
Impedance matching is achieved by a suitable, gradual increase in the cavity depths. It is monitored by their axial rate of increase m . In the limiting case, when m is very large, the O-SBH tends towards a locally reacting expansion chamber with narrowband dissipation and strong impedance mismatch due to high reflections at the inlet. On the other hand, if m tends to zero, the dissipation vanishes due to no reflection and full transmission, while complete impedance matching is achieved up to the duct cut-on frequency due to the absence of lateral cavities. Hence, as shown in Figure 4b, an optimal value of m is required to achieve enough impedance matching for the SBH silencer while providing the highest dissipation over the broadest bandwidth.

3.2. Pressure Gain Performance

Figure 5, Figure 6 and Figure 7 compare the pressure field distribution simulated by TMM throughout the C-SBH, O-SBH, and MPP-SBH together with the pressure gain (PG) performance achieved by these silencers, when used as sensors, at each cavity position as a function of frequency. An incident Gaussian pulse with a center frequency and half-bandwidth, f c / 2 = 1071 Hz , is assumed to broadly cover the frequency range where impedance matching conditions are met for the three types of sensors.
Figure 5a shows amplification of the in-duct pressure field by a factor up to 5 at the axial locations and at the resonance frequencies of the C-SBH cavities coupled to the main duct. It is followed by a strong attenuation of the acoustic pressure beyond these axial locations, showing confinement of the amplified pressure to frequency-dependent axial locations. It can be seen in Figure 5b that this is accompanied by a substantial amplification of the pulse frequency components at the back of the cavities, ranging from PG = 14 for the deepest cavity ( n = N = 20 ) at 330 Hz up to PG = 64 for the cavity n = 10 at 1960 Hz. A steep increase in the PG values is observed in Figure 5b above 1 kHz due to impedance matching and full wave trapping satisfied above this frequency [Figure 4]. Note that the in-duct pressure drops when impedance matching conditions are not fulfilled, e.g., between two successive duct-cavity resonance frequencies.
Figure 6a shows near-zero transmission and full trapping of the incident pulse components falling within the O-SBH sensor efficiency range, e.g., above 1500 Hz. One observes from Figure 6b that these components are amplified by a factor of PG = 3.5 at 1540 Hz for the cavity n = 20 up to PG = 14 at 1945 Hz for the cavity n = 12 . However, the most energetic pulse components comprised between 500 Hz and 1500 Hz are not amplified as they fall below the efficiency range of the O-SBH sensor, 1500 Hz– f c , within which impedance matching occurs and cavity resonances are activated.
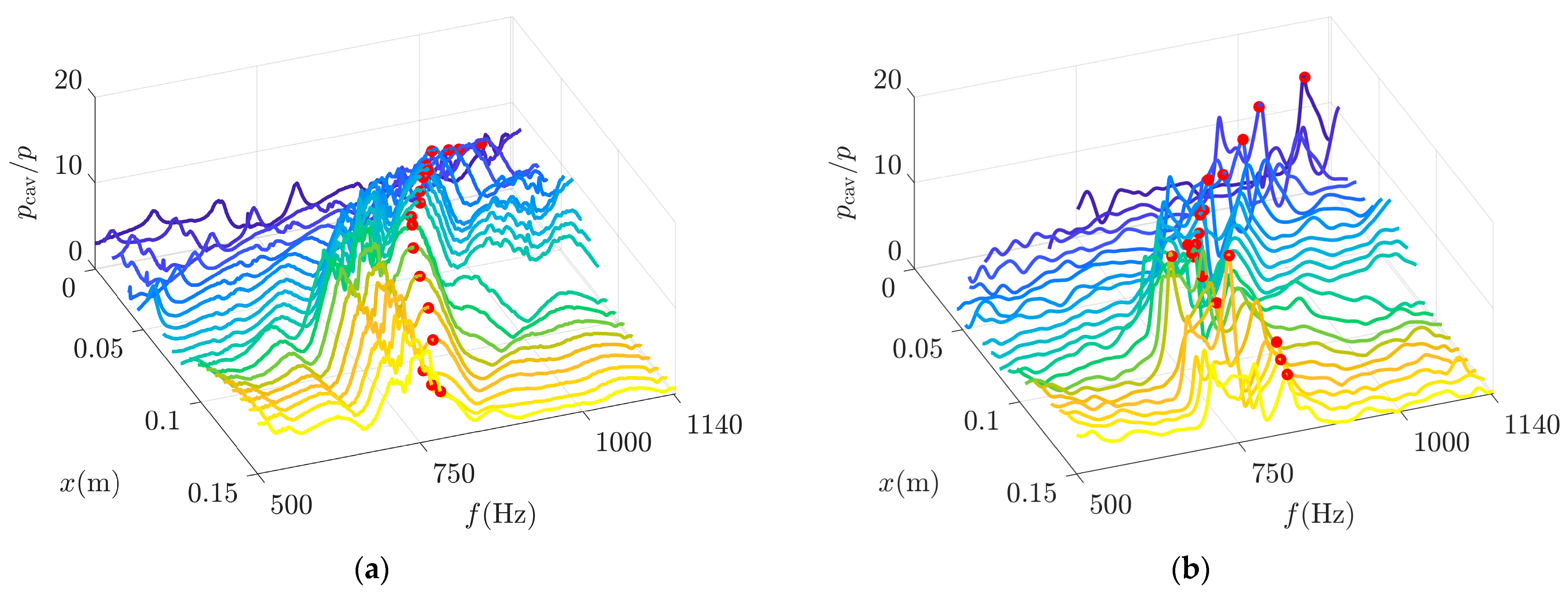
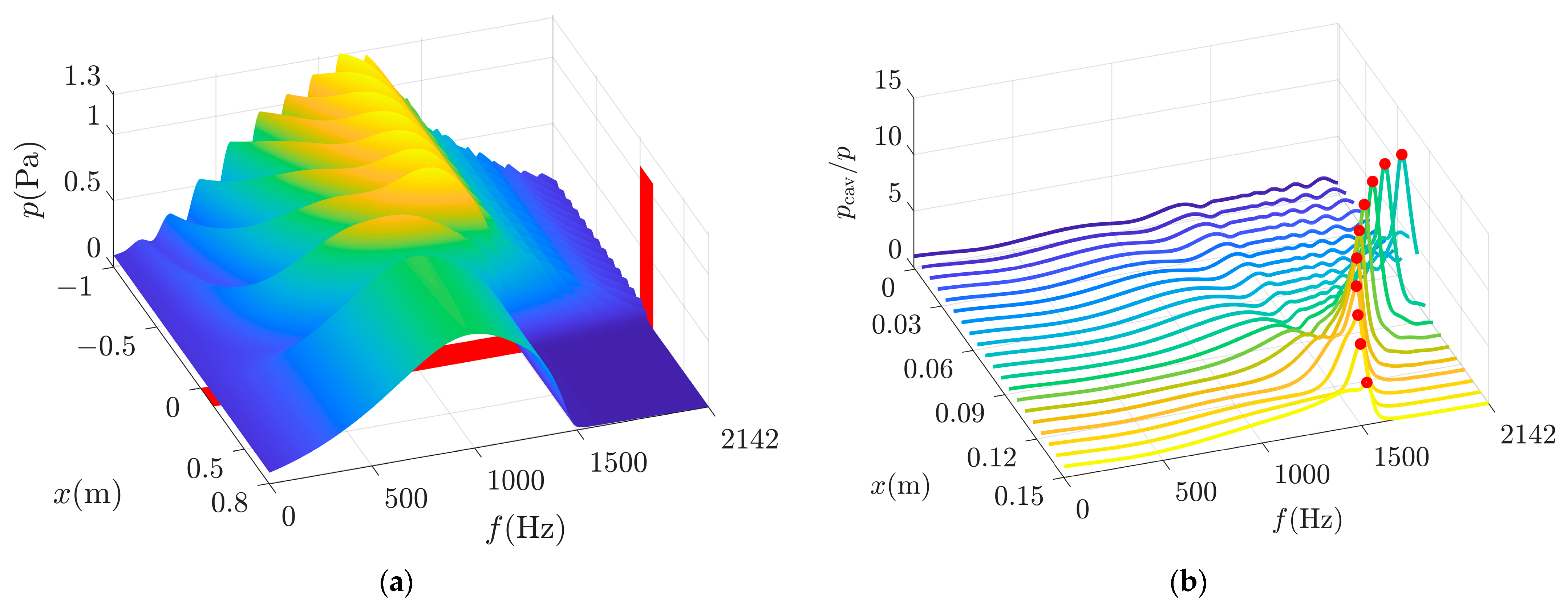
In order to amplify and detect these components, an approach is to downshift the efficiency range of the sensor by covering the cavity mouths of the O-SBH with a MPP skin, leading to a MPP-SBH sensor with added mass brought by the micro-perforations. Figure 7a shows that the MPP-SBH provides a substantial dissipation of the incident pressure over its efficiency range, e.g., between 500 Hz and 1 kHz, with less attenuation above 1 kHz due to a transmission coefficient reaching 0.6 at 1700 Hz. Meanwhile, the MPP-SBH produces an amplification of the incident pulse by a factor of PG = 8 for the cavity n = 7 at 776 Hz up to PG = 12 for the cavity n = 5 at 1072 Hz, as seen in Figure 7b. Below 700 Hz, the resonances of the MPP-SBH deepest cavities are in over-resistive regime due to the too large resistance brought by the MPP. The losses then exceed the leakage: they are efficient at dissipating the incident pulse through the MPP, but they induce a low PG at the back of the deepest cavities. Above 700 Hz, the losses decrease with respect to the leakage, leading to an amplification of the incident pulse by a factor of 12. Further decrease of the PG to 7 for the cavity n = 2 at 1664 Hz is due to overly large transmission leakages.

3.3. FEM Validation

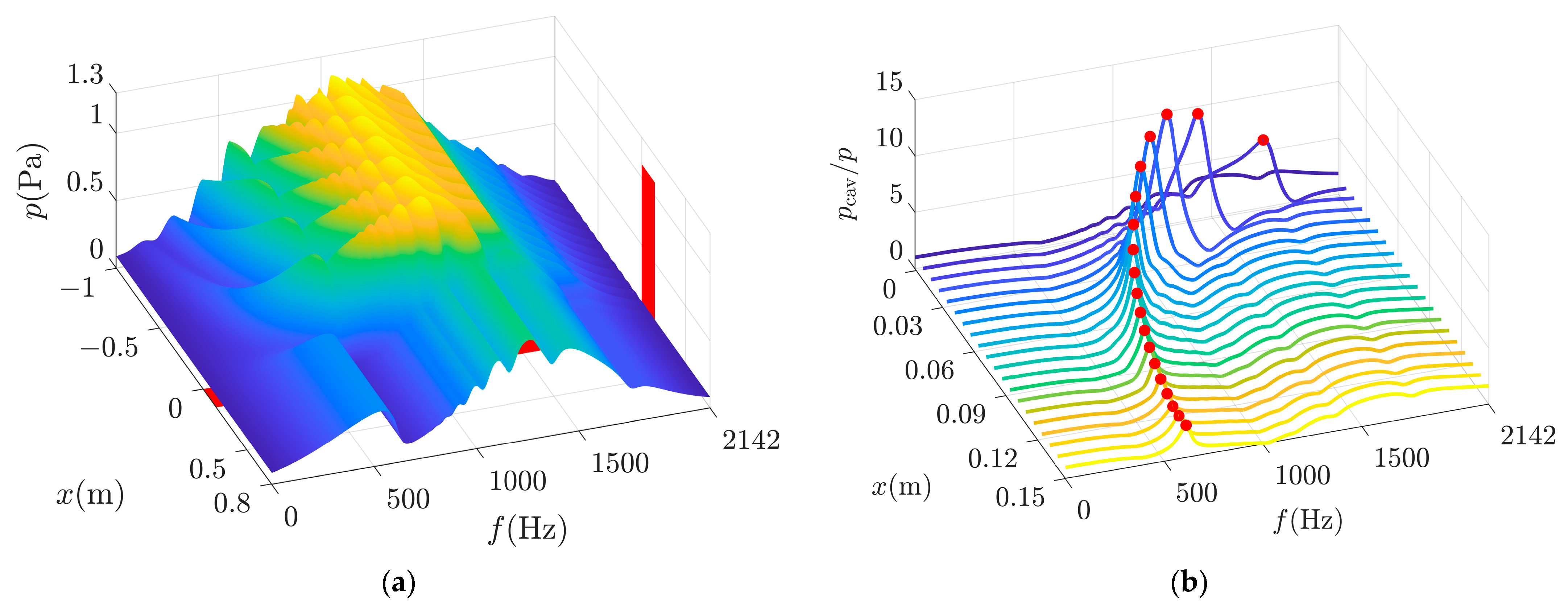
Simulations have been performed from the TMM and from the FEM Visco-Thermal Acoustics models to calculate the PGs at the back cavities of O-SBH (resp. MPP-SBH) sensors over the range of maximum amplification, 1500 Hz– f c (resp. 700–1700 Hz) determined in Section 3.2. Figure 8a and Figure 9a show that the PG variations simulated by the TMM are well predicted by the FEM, with a relative total error lower than 9% (resp. 6%) for the O-SBH (resp. MPP-SBH) evaluated over the sensor efficiency ranges. The error is lower for the MPP-SBH with respect to the O-SBH as there is less inter-resonator coupling between the activated cavities when shielded by a MPP skin, especially at the resonance peaks. A larger deviation is observed away from the resonances due to the evanescent coupling between adjacent cavity mouths, which are neglected by the TMM. The FEM and TMM also well correlate on the inner C-SBH sensor.
Figure 8b and Figure 9b provide FEM simulation results of the sound pressure level (SPL) distributions within the O-SBH and MPP-SBH at two frequencies activating the cavities n = 13 and n = 6 with a PG greater than 8. It is observed that the pressure amplification process does not result from a single cavity activation but involves two or three adjacent cavities given the proximity of their resonance frequencies (especially the deepest cavities) and the amount of losses that contribute to the merging between their bandwidths. This phenomenon is more pronounced for O-SBH and explains the largest bandwidth of the PG peaks observed in Figure 8a compared to Figure 9a. Note that pressure continuity (resp. pressure jump) is observed across the cavity mouths of the O-SBH (resp. MPP-SBH), as expected.

3.4. Parametric Study

It is found in Section 3.3 that the PG performance brought by the outer SBH is about five times lower than that obtained from the inner SBH. Parametric studies are now being performed to determine which parameters may enhance the PG peak value of the outer silencers when used as sensors. The results are gathered in Figure 10.
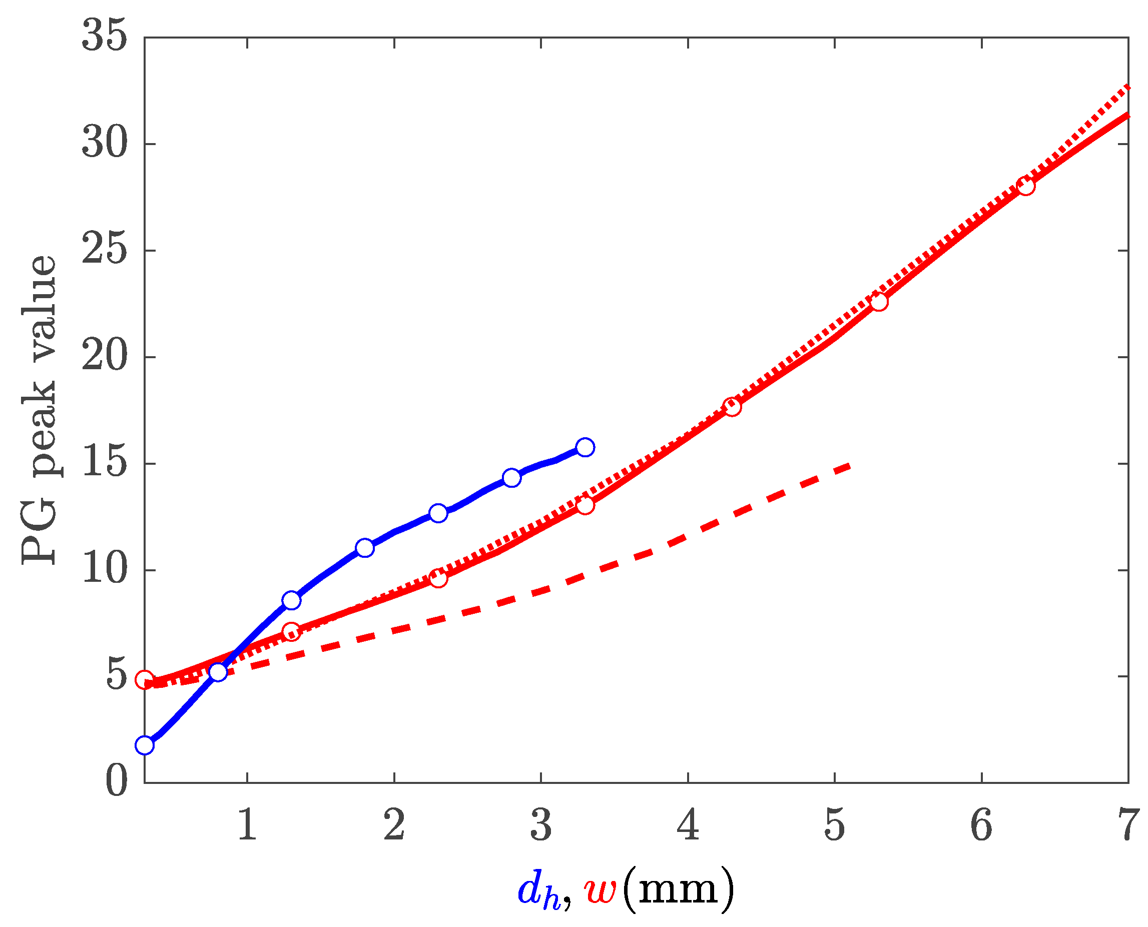
One observes that enlarging the cavity width of the O-SBH up to w = 7   mm while keeping a fixed length L = 0.15   m and N = 20 cavities increases the PG peak value up to 32, which is half the value of the C-SBH. This requires thin rings of sub-millimeter thickness w p = 0 . 5   mm . Increasing the number of cavities in O-SBH to N = 30 provides a better spectral resolution of the amplified pulse components. Widening these cavities again increases the PG peak values. But, for a given width, one observes that a greater density of cavities lowers the maximum PG peak values due to a redistribution of the incident energy amongst a greater number of adjacent cavities activated at similar resonance frequencies. Moreover, it sets an upper limit on the cavity width, w max = L / N = 7 . 5   mm , to keep up with positive ring thickness. Lastly, raising the axial rate of increase of the O-SBH cavity depths from m = 2 to m = 5 does not significantly enhance the PG peak value and hinders the O-SBH spectra resolution towards f c due to a lower number of shallow cavities.
As for the MPP-SBH, Figure 10 shows that increasing the diameters of the MPP holes shielding the cavities enhances the PG peak value by a factor 1.3 above that of the O-SBH. Similar behavior was observed when increasing the holes pitch Λ or when decreasing the MPP perforation ratio σ . Increasing the MPP thickness up to 2 d h favors the PG but is a second-order effect with respect to d h , σ or Λ .

3.5. Optimization Study

Particle swarm optimization [26] of the O-SBH parameters w p and m has been performed to maximize the pressure gain peak values, evaluated from the TMM and averaged over all the cavity positions, for a given spectral resolution fixed by the axial density of resonators L / N , related to length L = 0.15   m and N = 20 cavities. The optimal sensing parameters are given by w p = 0.5   mm and m = 3.1 , compared to w p = 4   mm and m = 2 for the optimal silencer. The optimal ring thickness obtained when maximizing the sensing performance corresponds to the lower bound imposed by manufacturing constraints and set for the w p variable in the optimization process. It coincides with the one resulting from the parametric study in Section 3.4, corresponding to a cavity width w = 7   mm , which is twice as large as that associated with the optimized O-SBH silencer. In accordance with Figure 10, a higher axial rate of increase of the cavity depths tends to enhance the PG, but this is a second-order effect with respect to the influence of the cavity width.
Figure 11a,b clearly show enhanced PG peak values for the optimized O-SBH sensor ( PG max = 38 ) with respect to the optimized O-SBH silencer ( PG max = 14 ) by a factor of 2.7. Such enhancement is mostly prominent above 1600 Hz. It corresponds to the frequency range over which under-damped cavities are resonant, as it can be seen from the individual dissipation peaks activated above 1600 Hz in Figure 11c,d for the optimized O-SBH sensor.
Due to the broader width of the sensor rings, the pressure inside the lateral cavities is less attenuated by visco-thermal effects, thereby contributing to a larger PG. This is achieved at the expense of lower dissipation performance, which essentially translates into larger back-reflections above 1600 Hz and a significantly higher transmission loss [Figure 11c]. Hence, the optimized O-SBH sensor is also an efficient attenuator, but it does not lead to minute reflections, unlike the optimized O-SBH silencer, whose critically coupled cavity resonances were able to achieve full wave trapping. Figure 11d also shows that the optimized O-SBH silencer couples more efficiently with the incident wave and over a broader bandwidth than the optimized O-SBH sensor, which provides a larger impedance mismatch increasing with frequency above 1600 Hz. It shows that the impedance matching constraint is stronger to achieve axial noise reduction by the O-SBH ( m = 2 ) than lateral pressure amplification ( m = 3.1 ).
Optimization of the MPP-SBH sensing performance led to the same optimal cavity width despite lower PG peak values below 10 due to the added damping brought by the MPP. A higher increase rate of the cavity depths is obtained ( m = 4.2 ) due to the large weight given by the MPP added reactance to the amplification of the low-frequency components in the deepest cavities.

4. Experimental Study

The performance of the MPP-SBH predicted by the TMM and FEM for enhancing acoustic pressure signals has been experimentally assessed in an aero-acoustic waveguide. The characterization test bench consists of a low-speed wind tunnel with a square cross-sectional area of 0.15 m × 0.15 m , sketched in Figure 12a. A square MPP-SBH (S-MPP-SBH) was inserted between the 1 m long upstream and downstream square sections of the low-speed wind tunnel, as shown in Figure 12b. The first section was equipped with a compression driver flush-mounted on the upstream section, as indicated in the sketch of Figure 12a, itself connected to the wind-tunnel fan section.
The S-MPP-SBH was first excited in the no-flow case by an acoustic plane wave consisting of a white random noise with a flat spectrum between 50 Hz and 5 kHz generated by the compression driver. The sensor’s performance was also tested under a low-speed grazing flow with a mean axial velocity equal to 30 m . s - 1 . The flow was generated by a centrifugal fan located upstream of the test section, coupled to a silencing system, laminarized through honeycomb filters, and then accelerated through a convergent connected to the upstream square duct. The characterization of the S-MPP-SBH pressure amplification was thus achieved either under pure acoustic or aero-acoustic excitations. For that, a probe microphone (GRAS 40SC, Holte, Denmark) with variable tip lengths was used to sequentially measure the pressure fluctuations at the back of the S-MPP-SBH cavities, as sketched in Figure 12a. As shown by the in-duct photography of the S-MPP-SBH in Figure 12b, the probe tip of diameter 1.25 mm could be inserted into the MPP holes of diameter 2.6 mm to measure p cav back , n . It weakly perturbs the MPP effect, which has 24 holes at a given axial position The probe provides a pressure build-up lower than 0.2 dB (according to the manufacturer specifications) at the duct cut-on frequency (1140 Hz). Hence, probe diffraction effects are negligible in the plane wave regime. The most important effects are the viscous losses induced inside the probe tip, especially when probing the deepest cavities. These have been corrected by frequency response calibration performed at 250 Hz for each tip length, cross-checked against the calibration data provided by the manufacturer up to a tip length of 160 mm. p rigid , n was measured in the main duct at the same axial locations, but with the holes of the perforated panel closed by an aluminum tape. The measurement was monitored by the OROS acquisition system (type OR38) operating on one input and one output signal with a bandwidth between 50 Hz and 5 kHz and a spectral resolution of 1.56 Hz.
Figure 13 shows the spectral and axial variations of the pressure gain measured in the no-flow and low-speed flow cases. One observes that the measured PG spectrogram in the no-flow case [Figure 13a] reasonably correlates against the spectrogram predicted by the TMM [Figure 7b]. Because of the larger diameter of the holes (2.6 mm instead of 1.5 mm) and the larger perforation ratio (2.8% instead of 2%), the inertial effects brought by the MPP are lower with respect to those obtained in Figure 7b. It still provides a shift of the PG peak frequencies down to 800 Hz (instead of 500 Hz) and a similar quadratic increase of the peak frequencies when moving the probe axial locations from the deepest to the shallowest cavity depths. A larger diameter of the holes and a higher perforation ratio also produce lower resistances and losses through the MPP. It results in a higher PG reaching a maximum value of 15 instead of 12, as obtained in Section 3.2. This translates into a SNR of 11.8 dB related to the maximum PG measured in the no-flow case, which is slightly above the SNR of 11 dB calculated in Section 3.2 with a less resistive MPP. One notes that, for each cavity location, extra peaks appear that contribute to the pressure gain below the cavity resonance frequencies. They are due to the crosswise modes of the rectangular cuboid cavity coupling with the first depth mode. These modes could have been avoided by transverse partitioning the cavities of the S-MPP-SBH silencer.
Figure 13b shows that the pressure gain performance of the S-MPP-SBH sensor is robust to low-speed flow conditions. Indeed, the PG reaches a maximum value of 13.5, or equivalently a SNR of 11.3 dB, which is only 10% below the PG values obtained in the no-flow case. Note that the low-frequency PG spectra of the first five cavities have been discarded due to overwhelming flow noise contamination induced by vortices entering the shallow cavity depths. However, this contamination occurs below 700 Hz and does not affect the peak pressure gain of these cavities, which occur above 800 Hz and provide a higher PG than in the no-flow case, as seen in Figure 13b. It is of interest to note that aero-acoustic instabilities, such as whistling induced by self-sustained oscillations of the cavity depth modes, were not triggered up to U = 30 m . s - 1 . Also, the extra peaks contributing to the pressure gain just below the resonance frequencies of the cavities are still visible and well-excited by the broadband wall pressure fluctuations inefficiently backscattered and entering the MPP holes up to f c [29]. However, they do not impede the PG performance.

5. Discussion

The PG dynamic ranges of the three types of dissipative SBHs described in Section 3 are summarized in Table 1 together with their efficiency ranges when used as sensors, but also as silencers, e.g., when more than 80% of the incident energy is confined within the metamaterial. The greatest sensor performance is achieved by the C-SBH which produces a PG as high as 64 (SNR = 18 dB) with a wide ER covering 1630 Hz. Ultimate slow sound effects occur within the C-SBH with the axial phase speed decaying to zero at the sensor termination leading to wave trapping, compression, and amplification at frequency-dependent axial positions. The C-SBH exhibits the highest PG peak values above 1 kHz at specific frequencies where the sensor efficiently couples with the incident wave (full impedance matching) and when the cavity resonances are critically coupled, e.g., when the losses equal the leakages. However, the inner C-SBH sensor cannot accommodate ducted flow conditions.
The PG results obtained with the C-SBH can be compared against one-port air-metal anisotropic sensors studied in [14,15], with graded cavity depths opened at their mouths and set in a free-field environment. FEM simulations in [14] (Figure 3) showed, in accordance with Figure 6b and Figure 11a, a gradual increase of the PG and bandwidth from the deepest to the shallowest cavities, e.g., from the lowest to the highest activated frequencies, for a range of cavity width w between 0.25 mm and 2 mm. An optimal width w was found that maximized the PG for each activated cavity. Experiments performed in [14] (Figure 4) with cavity widths w = 1.4   mm separated by 2 mm ribs showed a wave compression effect and pressure enhancement of the incident pulse components detected between 7 kHz and 10 kHz with a PG between 12 and 20. These values are consistent with those given in Table 1 for the C-SBH, albeit lower due to narrower cavities. An extended design was proposed in [15] with coiled cavities able to enhance the PG up to 85 given a coiling width of 3 mm. A maximum PG of 64 was reached by the C-SBH with straight cavities of width 3.5 mm, as indicated in Table 1.
The outer O-SBH sensor is a flow-compliant alternative, albeit less efficient than the C-SBH as it only produces a maximum PG of 14 (SNR = 11.5 dB) over a narrower bandwidth of 526 Hz above 1500 Hz. Also, it yields a mildly slow sound effect with a halved axial phase speed at the outlet but achieves excellent impedance matching and provides a whole set of critically coupled resonances merged over its ER. Increasing the cavity width is the most influential factor in enhancing the PG of O-SBH sensors. Indeed, at the largest cavity width (upper bounded by L / N ), the maximum PG can reach half of the C-SBH highest value (here PG = 32).
In order to enhance sensing of the incident pulse low-frequency components while lowering the flow drag induced by opened cavity mouths as well as the risk of aero-acoustic instabilities, an approach is to cover the cavity mouths with a (micro-)perforated layer that brings effective inertia to the SBH cavity impedances while reducing the static pressure drop and therefore the flow friction factor. It can be seen from Table 1 that a MPP-SBH sensor can produce a PG of the same order, and even higher by a factor of 1.3, than the O-SBH sensor, when increasing the hole diameter or the perforation ratio. This is linked to the enhanced slow sound effect, as shown in Figure 3. Meanwhile, Table 1 shows that a 2% perforation ratio enables to downshift by 1 kHz the minimum frequency that can be enhanced by the MPP-SBH sensor, which also corresponds to the frequency above which near-unit impedance matching is achieved, as seen in Figure 4b.
A S-MPP-SBH with a higher 2.8% perforation ratio leads to greater maximum PG, as confirmed by the measurements, but the effective inertia brought by the larger perforations is reduced, thereby increasing the minimum frequency components that can be amplified in the cavities (here from 500 Hz to 800 Hz). Thus, it appears that a balance has to be sought on the MPP parameters of MPP-SBH sensors to achieve both a sufficient PG and to be efficient at low frequencies.
Measurements at low Mach number 0.09 showed that the pressure gain performance of the S-MPP-SBH sensor is resilient to low-speed flow conditions, but further increases in the flow convection velocity or variations in the MPP parameters will modify the slow sound properties and the amount of flow resistance and reactance brought by the flow-holes interaction. Indeed, downstream (resp. upstream) propagation conditions will decrease (resp. increase) the axial wavelength, and so the axial phase speed within the MPP-SBH sensor. Hence, downstream convection conditions, as is the case in our experiment, tend to impede the occurrence of slow sound, rather favored by upstream propagation conditions. Another effect is the increase in perforated wall resistance when the Mach number increases, whatever the flow direction. An overly large resistance involves a decrease in the PG due to the high dissipation of the incident wave through the shear layer at the inlet of the holes. In order to maintain a minimum PG, it should be balanced by a decrease in the cavity or MPP inner resistance, which can be achieved by increasing the cavity width or the perforation ratio. A further risk is the occurrence of flow-induced tone over the perforated facing. It may occur at a frequency of the order U / Λ with Λ the holes pitch, namely 4000 Hz in the experiment, which is well beyond the plane wave regime. This risk can be tamed by lowering the quality factor of the MPP-cavity resonators.
Comparing the efficiency ranges of the graded metamaterials in Table 1, they typically show a narrower ER when used as sensors rather than silencers, except for the C-SBH which already provides a PG of 14 at 330 Hz. Slow sound and impedance matching conditions are prerequisites to achieving both high sensing and attenuation performance. Critical coupling conditions that ensure a balance between losses and leakages also favor sensing performance as well as near-unit dissipation. This last condition can, however, be relaxed for pressure amplification, as observed for MPP-SBH sensors still able to achieve low-frequency PG performance despite over-resistive conditions.
Finally, this study shows the ability of MPP-SBH silencers, initially designed for noise control in duct systems, to amplify a number N of the incident spectral components that activate the SBH cavities, and which could be readily measured by an array of small-sized, low consumption and resilient MEMS (micro-electro mechanical system) microphones [30] located at the back of the cavities. The spectrum of such signals could be used to monitor fan defaults in HVAC circuits. First, the SBH parameters ( w , m , N ) could be tuned to detect and amplify the main spectral components generated by a constant speed fan under normal operating conditions. These are tonal peaks related to the blade passing frequency and its first harmonics that emerge (by 10 to 40 dB) above the broadband noise, usually below 800 Hz in HVAC systems. These peaks, typically four to five, will activate a subset S = x n n = 1 , , N S of the N SBH cavities while low level broadband noise will be recorded by the other N N S cavities. If defaults caused by an unbalanced fan occur due to uneven weight (debris or dust accumulation on the blades) or uneven shaft temperature, a novel set of high-level tonal peaks will be generated at low frequencies [8]. It will activate a subset S = x n n = 1 , , N F of the N N S remaining cavities, especially the deepest ones. A default detection alarm can thus be triggered if the output signal spectrum of at least one of the microphones distributed over S exceeds a certain threshold calibrated by the PG of the corresponding cavities. Typical fan noise spectra in HVAC systems fall in the range of 70–800 Hz. Hence, further efforts should focus on designing MPP-SBH sensors with high PG performance below 800 Hz.

6. Conclusions

This study evaluates the sensing performance of opened outer SBH-type metamaterials using theoretical, numerical, and experimental approaches. It is found that opened O-SBH sensors with large cavity widths are able to achieve 15 dB SNR, which is still below the 18 dB SNR that can be reached by closed SBH. Unlike C-SBH, outer SBH sensors have the advantage of being flow-compliant if shielded by a MPP skin while providing up to 12 dB SNR. Measurements have shown that MPP-SBH, in the presence of a low-speed flow (Mach 0.09) can reach a 11.3 dB SNR without the risk of whistling. MPPs also extend the sensor efficiency range to lower frequencies.
However, a high SNR constraint is often required for fault detection under flow conditions, given a higher background noise level with respect to the no-flow case. Optimization of the MPP parameters and/or the adjunction of cavity coiling are potential pathways to improve the SNR of MPP-SBH under flow conditions. Also, a multi-channel detection system based on an array of MEMS microphones flush-mounted at the back cavities of the outer SBH sensor would enable real-time monitoring of the amplified pulse pressure components and detection of their anomalous tonal emergence.

Author Contributions

Conceptualization, C.M. and T.B.; methodology, C.M. and T.B.; software, C.M., validation, T.B.; experimental facility design: C.M., T.B., D.M. and M.A.; experimental measurements: T.B., C.M., D.M. and M.A.; formal analysis, C.M. and T.B.; investigation, T.B. and C.M.; resources, T.B. and C.M.; data curation, T.B.; writing—original draft preparation, T.B. and C.M.; writing—review and editing, C.M. and T.B; visualization, T.B. and C.M.; supervision, C.M.; project administration, T.B. and C.M.; funding acquisition, T.B. and C.M. All authors have read and agreed to the published version of the manuscript.

Funding

This work is part of the project TED2021-130103B-I00, funded by MCIN/AEI/10.13039/501100011033 and the European Union “NextGenerationEU”/PRTR, and project PID2022-139414OB-I00 funded by MCIN/AEI/10.13039/501100011033/and by “ERDF A way of making Europe”. It has also received support from the French government under the France 2030 investment plan, as part of the Initiative d’Excellence d’Aix-Marseille Université-A*MIDEX (AMX-22-RE-AB-157).

Institutional Review Board Statement

Not applicable.

Informed Consent Statement

Not applicable.

Data Availability Statement

The raw data supporting the conclusions of this article will be made available by the authors on request.

Conflicts of Interest

The authors declare no conflicts of interest.

References

  1. IEA. International Energy Agency: Energy Efficiency Report. November 2023. Available online: https://www.iea.org/reports/energy-efficiency-2023 (accessed on 26 April 2024).
  2. European Parliament. Directive 2010/31/EU of the European Parliament and of the Council of 19 May 2010 on the Energy Performance of Buildings (Recast); European Parliament: Bruxelles, Belgium, 2010. [Google Scholar]
  3. EN 16798-1; Energy Performance of Buildings—Ventilation for Buildings—Part 1: Indoor Environmental Input Parameters for Design and Assessment of Energy Performance of Buildings Addressing Indoor air Quality, Thermal Environment, Lighting and Acoustics—Module M1–6. European Committee for Standardization: Brussels, Belgium, 2019.
  4. Tran, V.V.; Park, D.; Lee, Y.-C. Indoor Air Pollution, Related Human Diseases, and Recent Trends in the Control and Improvement of Indoor Air Quality. Int. J. Environ. Res. Public Health 2020, 17, 2927. [Google Scholar] [CrossRef] [PubMed]
  5. Seuntjens, O.; Belmans, B.; Buyle, M.; Audenaert, A. A critical review on the adaptability of ventilation systems: Current problems, solutions and opportunities. Build. Environ. 2022, 212, 108816. [Google Scholar] [CrossRef]
  6. Srinivasan, R.; Islam, M.T.; Islam, B.; Wang, Z.; Sookoor, T.; Gnawali, O.; Nirjon, S. Preventive Maintenance of Centralized HVAC Systems: Use of Acoustic Sensors, Feature Extraction, and Unsupervised Learning. In Proceedings of the 15th IBPSA Conference, San Francisco, CA, USA, 7–9 August 2017; pp. 2518–2524. [Google Scholar]
  7. Chhaglani, B.; Zakaria, C.; Lechowicz, A.; Gummeson, J.; Shenoy, P. FlowSense: Monitoring. Airflow in Building Ventilation Systems Using Audio Sensing. Proc. ACM Interact. Mob. Wearable Ubiquitous Technol. 2022, 6, 5. [Google Scholar] [CrossRef]
  8. Ciaburro, G.; Padmanabhan, S.; Maleh, Y.; Puyana-Romero, V. Fan Fault Diagnosis Using Acoustic Emission and Deep Learning Methods. Informatics 2023, 10, 24. [Google Scholar] [CrossRef]
  9. Zahanuddin, A. Challenges in Data Communication and Networking. TechRxiv 2023. preprint. [Google Scholar]
  10. Rizzo, P.; Enshaeian, A. Challenges in Bridge Health Monitoring: A Review. Sensors 2021, 21, 4336. [Google Scholar] [CrossRef] [PubMed]
  11. Dhar, T.; Dey, N.; Borra, S.; Sherratt, R.S. Challenges of Deep Learning in Medical Image Analysis—Improving Explainability and Trust. IEEE Trans. Technol. Soc. 2023, 4, 68–75. [Google Scholar] [CrossRef]
  12. Craster, R.V.; Guenneau, S. Acoustic Metamaterials. In Negative Refraction, Imaging, Lensing and Cloaking; Springer Series in Materials Science: New York, NY, USA, 2013; p. 166. [Google Scholar]
  13. Cummer, S.A.; Christensen, J.; Alù, A. Controlling sound with acoustic metamaterials. Nat. Rev. Mater. 2016, 1, 16001. [Google Scholar] [CrossRef]
  14. Chen, Y.; Liu, H.; Reilly, M.; Bae, H.; Yu, M. Enhanced acoustic sensing through wave compression and pressure amplification in anisotropic metamaterials. Nat. Commun. 2014, 5, 5247. [Google Scholar] [CrossRef] [PubMed]
  15. Hao, G.; Zhao, X.; Han, J.A. Nonlinear Gradient-Coiling Metamaterial for Enhanced Acoustic Signal Sensing. Crystals 2023, 13, 1291. [Google Scholar] [CrossRef]
  16. Mi, Y.; Zhai, W.; Cheng, L.; Xi, C.; Yu, X. Wave trapping by acoustic black hole: Simultaneous reduction of sound reflection and transmission. Appl. Phys. Lett. 2021, 118, 114101. [Google Scholar] [CrossRef]
  17. Mironov, M. Propagation of a flexural wave in a plate whose thickness decreases smoothly to zero in a finite interval. Sov. Phys. Acoust. 1988, 34, 318–319. [Google Scholar]
  18. El Ouahabi, A.; Krylov, V.; O’Boy, D. Experimental investigation of the acoustic black hole for sound absorption in air. In Proceedings of the ICSV22 International Congress on Sound and Vibration, Florence, Italy, 12–16 July 2015. [Google Scholar]
  19. Guasch, O.; Arnela, M.; Sanchez-Martın, P. Transfer matrices to characterize linear and quadratic acoustic black holes in duct terminations. J. Sound Vib. 2017, 395, 65–79. [Google Scholar] [CrossRef]
  20. Guasch, O.; Sanchez-Martın, P.; Ghilardi, D. Application of the transfer matrix approximation for wave propagation in a metafluid representing an acoustic black hole duct termination. Appl. Math. Modell. 2020, 77, 1881–1893. [Google Scholar] [CrossRef]
  21. Bravo, T.; Maury, C. Broadband sound attenuation and absorption by duct silencers based on the acoustic black hole effect: Simulations and experiments. J. Sound Vib. 2023, 561, 117825. [Google Scholar] [CrossRef]
  22. Maa, D.Y. Potential of microperforated panel absorbers. J. Acous. Soc. Am. 1998, 104, 2861–2866. [Google Scholar] [CrossRef]
  23. Zhang, X.; Cheng, L. Broadband and low frequency sound absorption by Sonic black holes with Micro-perforated boundaries. J. Sound Vib. 2021, 512, 116401. [Google Scholar] [CrossRef]
  24. Bravo, T.; Maury, C. Micro-perforated mufflers based on the Acoustic Black-Hole effect. In Proceedings of the Inter-Noise 2023, Chiba, Japan, 20–23 August 2023. [Google Scholar]
  25. Champoux, Y.; Allard, J.-F. Dynamic tortuosity and bulk modulus in air-saturated porous media. J. Appl. Phys. 1991, 70, 1975–1979. [Google Scholar] [CrossRef]
  26. Lafarge, D.; Lemarinier, P.; Allard, J.-F.; Tarnow, V. Dynamic compressibility of air in porous structures at audible frequencies. J. Acoust. Soc. Am. 1997, 102, 1995–2006. [Google Scholar] [CrossRef]
  27. Parsopoulos, K.; Vrahatis, M. Recent approaches to global optimization problems through Particle Swarm Optimization. Nat. Comput. 2002, 116, 235–306. [Google Scholar] [CrossRef]
  28. Howerton, B.M.; Jones, M.J. Acoustic liner drag: Measurements on novel facesheet geometries. In Proceedings of the 22nd AIAA/CEAS Aeroacoustics Conference, Lyon, France, 30 May–1 June 2016; p. 2979. [Google Scholar]
  29. Ffowcs Williams, J.E. The acoustics of turbulence near sound-absorbent liners. J. Fluid Mech. 1972, 54, 737–749. [Google Scholar] [CrossRef]
  30. Zawawi, S.A.; Hamzah, A.A.; Majlis, B.Y.; Mohd-Yasin, F. A Review of MEMS Capacitive Microphones. Micromachines 2020, 11, 484. [Google Scholar] [CrossRef] [PubMed]
Figure 1. (a) Sketch of an inner SBH-type acoustic sensor with open cavity rings; (b) sketch of an outer SBH-type acoustic sensor with cavity rings eventually coated by a micro-perforated panel; the red dots show the microphone locations at the back of the cavities.
Figure 1. (a) Sketch of an inner SBH-type acoustic sensor with open cavity rings; (b) sketch of an outer SBH-type acoustic sensor with cavity rings eventually coated by a micro-perforated panel; the red dots show the microphone locations at the back of the cavities.
Applsci 14 04699 g001
Figure 2. Sketch of the axi-symmetric computational domain considered in the Thermoviscous Acoustics FEM with the sub-domains related to the PMLs, a visco-thermal fluid domain Ω VT with imposed incident plane wave in the background acoustic field ( x 0 ), and no-slip isothermal boundary conditions over the cavity rings and duct walls S VT ; S sym is the axis of symmetry.
Figure 2. Sketch of the axi-symmetric computational domain considered in the Thermoviscous Acoustics FEM with the sub-domains related to the PMLs, a visco-thermal fluid domain Ω VT with imposed incident plane wave in the background acoustic field ( x 0 ), and no-slip isothermal boundary conditions over the cavity rings and duct walls S VT ; S sym is the axis of symmetry.
Applsci 14 04699 g002
Figure 3. Axial variation of the effective phase speed across inner (black) and outer (red) SBHs; also shown are the effects of MPP coating the outer SBH by a micro-perforated panel with hole diameters d h = 0 . 5   mm (dotted blue), d h = 1   mm (plain blue), and d h = 3   mm (dashed blue).
Figure 3. Axial variation of the effective phase speed across inner (black) and outer (red) SBHs; also shown are the effects of MPP coating the outer SBH by a micro-perforated panel with hole diameters d h = 0 . 5   mm (dotted blue), d h = 1   mm (plain blue), and d h = 3   mm (dashed blue).
Applsci 14 04699 g003
Figure 4. (a) Dissipation spectra and (b) specific input impedance curves associated to inner (black) and outer (red) SBHs; effects of coating the outer SBH by a MPP are shown in blue.
Figure 4. (a) Dissipation spectra and (b) specific input impedance curves associated to inner (black) and outer (red) SBHs; effects of coating the outer SBH by a MPP are shown in blue.
Applsci 14 04699 g004
Figure 5. (a) Axial spectrogram of the sound pressure level upstream and within a C-SBH sensor (the red patch shows the axial sensor location); (b) Axial spectrogram of the PG simulated with TMM at the back of the C-SBH cavities (the red dots spot the peak levels at the cavities axial locations).
Figure 5. (a) Axial spectrogram of the sound pressure level upstream and within a C-SBH sensor (the red patch shows the axial sensor location); (b) Axial spectrogram of the PG simulated with TMM at the back of the C-SBH cavities (the red dots spot the peak levels at the cavities axial locations).
Applsci 14 04699 g005
Figure 6. (a) Axial spectrogram of the sound pressure level upstream and within an outer O-SBH sensor (the red patch shows the axial sensor location); (b) Axial spectrogram of the PG simulated with TMM at the back of the O-SBH cavities (the red dots spot the peak levels at the cavities axial locations).
Figure 6. (a) Axial spectrogram of the sound pressure level upstream and within an outer O-SBH sensor (the red patch shows the axial sensor location); (b) Axial spectrogram of the PG simulated with TMM at the back of the O-SBH cavities (the red dots spot the peak levels at the cavities axial locations).
Applsci 14 04699 g006
Figure 7. (a) Axial spectrogram of the sound pressure level upstream and within an outer MPP-SBH sensor (the red patch shows the axial sensor location); (b) Axial spectrogram of the PG simulated with TMM at the back of the MPP-SBH cavities (the red dots spot the peak levels at the cavities axial locations).
Figure 7. (a) Axial spectrogram of the sound pressure level upstream and within an outer MPP-SBH sensor (the red patch shows the axial sensor location); (b) Axial spectrogram of the PG simulated with TMM at the back of the MPP-SBH cavities (the red dots spot the peak levels at the cavities axial locations).
Applsci 14 04699 g007
Figure 8. (a) Pressure gain simulated with TMM (thick plain) and FEM (thin with bullets) at the back cavities ( n = 13 , blue; n = 15 , green; n = 20 , orange) of an outer O-SBH-type sensor; (b) Cross-sectional view of the sound pressure levels within the O-SBH-type sensor and its cavities when the 13th cavity is activated at 1836 Hz.
Figure 8. (a) Pressure gain simulated with TMM (thick plain) and FEM (thin with bullets) at the back cavities ( n = 13 , blue; n = 15 , green; n = 20 , orange) of an outer O-SBH-type sensor; (b) Cross-sectional view of the sound pressure levels within the O-SBH-type sensor and its cavities when the 13th cavity is activated at 1836 Hz.
Applsci 14 04699 g008
Figure 9. (a) Pressure gain simulated with TMM (thick plain) and FEM (thin with bullets) at the back cavities ( n = 3 , blue; n = 6 , green; n = 8 , orange) of an outer MPP-SBH-type sensor; (b) Cross-sectional view of the sound pressure levels within the MPP-SBH-type sensor and its cavities when the 6th cavity is activated at 936 Hz.
Figure 9. (a) Pressure gain simulated with TMM (thick plain) and FEM (thin with bullets) at the back cavities ( n = 3 , blue; n = 6 , green; n = 8 , orange) of an outer MPP-SBH-type sensor; (b) Cross-sectional view of the sound pressure levels within the MPP-SBH-type sensor and its cavities when the 6th cavity is activated at 936 Hz.
Applsci 14 04699 g009
Figure 10. Variations of the PG peak values simulated by TMM for a fully opened SBH ( L = 0.15   m ) without coating ( m = 2 , N = 20 , plain red with bullets; m = 5 , N = 20 , dotted red; m = 2 , N = 30 , dashed red) as a function of the cavity width w and when coated by a perforated panel ( σ h = 2 % , t h = 1   mm , plain blue with bullets) as a function of the panel hole diameter d h up to d h , max = w = 3 . 6   mm , the uncoated SBH cavity width.
Figure 10. Variations of the PG peak values simulated by TMM for a fully opened SBH ( L = 0.15   m ) without coating ( m = 2 , N = 20 , plain red with bullets; m = 5 , N = 20 , dotted red; m = 2 , N = 30 , dashed red) as a function of the cavity width w and when coated by a perforated panel ( σ h = 2 % , t h = 1   mm , plain blue with bullets) as a function of the panel hole diameter d h up to d h , max = w = 3 . 6   mm , the uncoated SBH cavity width.
Applsci 14 04699 g010
Figure 11. Axial spectrograms of the pressure gains at the cavity backings of O-SBHs whose mean-squared pressures [(a), circles] and total dissipation [(b), squares] have been optimized; dissipation [(c), red], transmission loss [(c), black], specific input resistance [(d), red] and reactance [(d), black] spectra associated to O-SBHs whose mean-squared pressures [(c,d), circles] and total dissipation [(c,d), squares] have been optimized; all simulations achieved with TMM.
Figure 11. Axial spectrograms of the pressure gains at the cavity backings of O-SBHs whose mean-squared pressures [(a), circles] and total dissipation [(b), squares] have been optimized; dissipation [(c), red], transmission loss [(c), black], specific input resistance [(d), red] and reactance [(d), black] spectra associated to O-SBHs whose mean-squared pressures [(c,d), circles] and total dissipation [(c,d), squares] have been optimized; all simulations achieved with TMM.
Applsci 14 04699 g011
Figure 12. (a) Sketch of the experimental facility used to measure the pressure gain of the S-MPP-SBH coated by a perforated panel and undergoing a left acoustic excitation as well as a low-speed flow; (b) Inner view from the outlet section of the S-MPP-SBH perforated skin with a micro-probe tip inserted in one of the SBH cavities; (c) Cross-sectional view of the S-MPP-SBH sensor cavities with power-law increase of their depths from the inlet to the outlet.
Figure 12. (a) Sketch of the experimental facility used to measure the pressure gain of the S-MPP-SBH coated by a perforated panel and undergoing a left acoustic excitation as well as a low-speed flow; (b) Inner view from the outlet section of the S-MPP-SBH perforated skin with a micro-probe tip inserted in one of the SBH cavities; (c) Cross-sectional view of the S-MPP-SBH sensor cavities with power-law increase of their depths from the inlet to the outlet.
Applsci 14 04699 g012
Figure 13. Axial spectrograms of the pressure gains measured at the back cavities of a 3D-printed outer S-MPP-SBH sensor (a) in the no-flow case and (b) under a low-speed flow with bulk velocity 30 ms−1; the incident wave is a white noise signal up to 2 kHz; the red dots spot the pressure gain peak values at the axial locations of the cavities and at their resonance frequencies.
Figure 13. Axial spectrograms of the pressure gains measured at the back cavities of a 3D-printed outer S-MPP-SBH sensor (a) in the no-flow case and (b) under a low-speed flow with bulk velocity 30 ms−1; the incident wave is a white noise signal up to 2 kHz; the red dots spot the pressure gain peak values at the axial locations of the cavities and at their resonance frequencies.
Applsci 14 04699 g013
Table 1. PG dynamic range and efficiency ranges (ER in Hz) of the graded dissipative SBHs.
Table 1. PG dynamic range and efficiency ranges (ER in Hz) of the graded dissipative SBHs.
SBH TypeMinimum PG–Maximum PGSensor ER Silencer ER
C-SBH14–64330–19601000–2000
O-SBH3.5–141537–20631500–2142
MPP-SBH1.2–12500–1655500–1020
S-MPP-SBH (no flow, exp.)5.5–15800–1084630–1050
S-MPP-SBH (flow, exp.)6.8–13.5712–1103650–1070
Disclaimer/Publisher’s Note: The statements, opinions and data contained in all publications are solely those of the individual author(s) and contributor(s) and not of MDPI and/or the editor(s). MDPI and/or the editor(s) disclaim responsibility for any injury to people or property resulting from any ideas, methods, instructions or products referred to in the content.

Share and Cite

MDPI and ACS Style

Maury, C.; Bravo, T.; Amielh, M.; Mazzoni, D. Acoustic Pressure Amplification through In-Duct Sonic Black Holes. Appl. Sci. 2024, 14, 4699. https://doi.org/10.3390/app14114699

AMA Style

Maury C, Bravo T, Amielh M, Mazzoni D. Acoustic Pressure Amplification through In-Duct Sonic Black Holes. Applied Sciences. 2024; 14(11):4699. https://doi.org/10.3390/app14114699

Chicago/Turabian Style

Maury, Cédric, Teresa Bravo, Muriel Amielh, and Daniel Mazzoni. 2024. "Acoustic Pressure Amplification through In-Duct Sonic Black Holes" Applied Sciences 14, no. 11: 4699. https://doi.org/10.3390/app14114699

APA Style

Maury, C., Bravo, T., Amielh, M., & Mazzoni, D. (2024). Acoustic Pressure Amplification through In-Duct Sonic Black Holes. Applied Sciences, 14(11), 4699. https://doi.org/10.3390/app14114699

Note that from the first issue of 2016, this journal uses article numbers instead of page numbers. See further details here.

Article Metrics

Back to TopTop