Study on the Damage Characteristics and Internal Variable Modeling of Single-Fracture Sandstone under the Coupling Effect of Freeze–Thaw and Fatigue Load
Abstract
1. Introduction
2. Test Materials and Methods
2.1. Sample Preparation
2.2. Test Program
2.3. Test System
3. Test Results Analysis
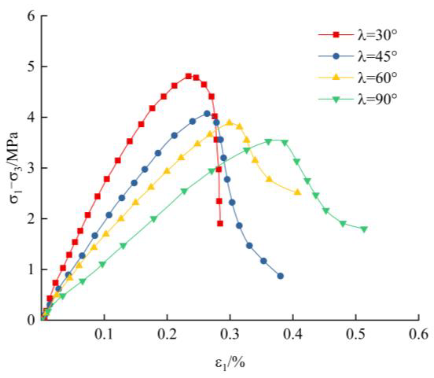
3.1. Stress–Strain Curve Analysis
3.2. Single Crack Tip Crack Propagation Mode
3.3. Analysis of Fracture Characteristics of Fissured Sandstone
4. NMR Analysis
4.1. T2 Spectrum Distribution Analysis
4.2. T2 Spectral Area Analysis
4.3. Analysis of Aperture Ratio
5. Establishment of Internal Variable Fatigue Model
5.1. Selection of Internal Variables
5.2. Model Validation
6. Discussion
7. Conclusions
- (1)
- The strength of freeze–thawed fractured sandstone showed a decreasing trend with increasing fissure inclination, axial strain and shear damage angle increased with increasing fracture inclination, and fatigue load application enhanced the tendency of deterioration of the mechanical property parameters of fractured sandstone with increasing fissure inclination.
- (2)
- The distribution of NMR T2 spectra of the fractured sandstone was dominated by three peaks, and the pore distribution of the rock samples was dominated by medium pores and small pores. After 20 freeze–thaw cycles and fatigue loading, the T2 spectral curves of the four groups of fractured sandstone with different dips showed a small left shift, and many micropores sprouted inside the samples. The T2 spectral curve even showed a fourth peak after fatigue loading damage.
- (3)
- After 20 freeze–thaw cycles and fatigue loading, the T2 spectral area of the fractured sandstone changed significantly. The change rate of the spectral area ranged from 5.17% to 8.05% and 12.00% to 20.70%, respectively. The change amplitude of the spectral area was different, but, overall, the changing trend increased, the inclination angle of the fractured sandstone was different, and the degree of freeze–thaw–fatigue damage was also different.
- (4)
- Based on the internal variable theory of continuum mechanics, a fractured sandstone fatigue model was established with residual deformation as the internal variable. At the same time, the influence of the fracture inclination angle on the deformation modulus was taken into account. The experimental data fitted well with the theoretical model, which can well reflect the pre-fatigue mechanical behavior of fractured sandstone. Therefore, the NMR technique can be combined with the acoustic emission technique to carry out further research.
Author Contributions
Funding
Institutional Review Board Statement
Informed Consent Statement
Data Availability Statement
Acknowledgments
Conflicts of Interest
References
- Liu, J.; Lei, L.; Wang, R.; Wang, F.; Wang, L.; Xiao, L. Dynamic characteristics of sandstone under low-stress level conditions in freezing-thawing cycles. Rock Soil Mech. 2017, 38, 2539–2550. [Google Scholar]
- Zhu, J.; Xu, D.; Wang, B.; Li, C. A Study on the Freeze–Thaw Damage and Deterioration Mechanism of Slope Rock Mass Based on Model Testing and Numerical Simulation. Appl. Sci. 2022, 12, 6545. [Google Scholar] [CrossRef]
- Jia, P.; Wang, X.; Wang, D. Study on the freeze-thaw deformation characteristics of saturated fractured rocks. Rock Soil Mech. 2023, 44, 345–354. [Google Scholar]
- Chen, Y.; Wu, P.; Yu, Q.; Xu, G. Effects of freezing and thawing cycle on mechanical properties and stability of soft rock slope. Adv. Mater. Sci. Eng. 2017, 2017, 3173659. [Google Scholar] [CrossRef]
- Yu, Q.; Lei, P.; Dai, Z.; Soltanian, M.R.; Yin, S.; Liu, W.; Xiong, Z. Damage Characteristics of Limestone under Freeze–Thaw Cycle for Tunnels in Seasonal Frozen Areas. Iran. J. Sci. Technol. Trans. Civ. Eng. 2023, 47, 469–477. [Google Scholar] [CrossRef]
- Liu, Z.; Zhu, Y.; Chen, J.; Cui, F.; Zhu, W.; Liu, J.; Yu, H. Risk Zoning of Permafrost Thaw Settlement in the Qinghai–Tibet Engineering Corridor. Remote Sens. 2023, 15, 3913. [Google Scholar] [CrossRef]
- Shen, Y.; Yang, G.; Wang, M.; Jia, H.; Zhang, H.; Gao, X. Experiments on the damage characteristics and fracture process of single-joint quasi-sandstone under cyclic freezing-thawing and cyclic loading. Chin. J. Rock Mech. Eng. 2018, 37, 709–717. [Google Scholar]
- Chen, Y.; Lin, H.; Liang, L. Freeze-thaw failure characteristics and strength loss of non-penetrating fractured rock mass with different fracture densities. Theor. Appl. Fract. Mech. 2023, 124, 103792. [Google Scholar] [CrossRef]
- Yu, S.; Ke, Y.; Deng, H.; Tian, G.; Deng, J. Experimental investigation of porous and mechanical characteristics of single-crack rock-like material under freeze-thaw weathering. Minerals 2021, 11, 1318. [Google Scholar] [CrossRef]
- Song, Y.; Li, C.; Bi, R. Study on characteristics of pore propagation and evolution in freeze-thawed rock. J. Glaciol. Geocryol. 2021, 181, 103179. [Google Scholar]
- Lu, Y.; Li, X.; Han, Y.; Wu, J. Mechanical properties of rock samples with a single natural weak plane after freeze-thaw action. Cold Reg. Sci. Technol. 2021, 181, 103179. [Google Scholar] [CrossRef]
- Lu, Y.; Li, X.; Wu, X. Failure modes of fractured rock masses under freeze-thaw action and load. J. Glaciol. Geocryol. 2017, 39, 351–357. [Google Scholar]
- Liu, Q.; Huang, S.; Kang, Y.; Cui, X.Z. Advance and Review on Freezing-thawing Damage of Fractured Rock. Chin. J. Rock Mech. Eng. 2015, 34, 452–471. [Google Scholar]
- Liu, T.; Zhang, C.; Cao, P.; Zhou, K. Freeze-thaw damage evolution of fractured rock mass using nuclear magnetic resonance technology. Cold Reg. Sci. Technol. 2020, 170, 102951. [Google Scholar] [CrossRef]
- Zhao, J.; Xie, M.; Yu, J.; Zhao, W. Experimental study on mechanical properties and damage evolution of fractured rock under freezing- thawing action. J. Eng. Geol. 2019, 27, 1199–1207. [Google Scholar]
- Zhang, L.; Niu, F.; Liu, M.; Luo, J.; Ju, X. Mechanical behavior of cracked rock in cold region subjected to step cyclic loading. Geofluids 2022, 2022, 6220549. [Google Scholar] [CrossRef]
- He, M.; Li, N.; Zhu, C.; Chen, Y.; Wu, H. Experimental investigation and damage modeling of salt rock subjected to fatigue loading. Int. J. Rock Mech. Min. Sci. 2019, 114, 17–23. [Google Scholar] [CrossRef]
- Wang, Y.; Ma, L.; Fan, P.; Chen, Y. A fatigue damage model for rock salt considering the effects of loading frequency and amplitude. Int. J. Min. Sci. Technol. 2016, 26, 955–958. [Google Scholar] [CrossRef]
- Zhu, L.; Cui, S.; Pei, X.; Cheng, J.; Liang, Y. Experimental Investigation of the Fatigue Damage and Strength Characteristics of Heterogeneous Rock Mass under Cyclic Loading. KSCE J. Civ. Eng. 2022, 26, 3007–3018. [Google Scholar] [CrossRef]
- Wang, Y.; Li, C.H.; Han, J.Q. On the effect of stress amplitude on fracture and energy evolution of pre-flawed granite under uniaxial increasing-amplitude fatigue loads. Eng. Fract. Mech. 2020, 240, 107366. [Google Scholar] [CrossRef]
- Wang, J.; Zhao, H.; Guo, L.; Li, L.; Xu, C.; Sun, G. Fatigue failure characteristics and energy evolution mechanism of fractured rock under graded cyclic loading. J. Civ. Environ. Eng. 2023, 1–14. [Google Scholar]
- Wang, J.; Zhang, Q.; Song, Z.; Liu, X.; Wang, X.; Zhang, Y. Microstructural variations and damage evolvement of salt rock under cyclic loading. Int. J. Rock Mech. Min. Sci. 2022, 152, 105078. [Google Scholar] [CrossRef]
- Song, Z.; Cheng, Y.; Yang, T. Experimental study on fatigue damage evolution mechanism of hard layer sandstone under cyclic loading. Chin. J. Geotech. Eng. 2023, 1–10. [Google Scholar]
- Meng, Q.-B.; Liu, J.-F.; Ren, L.; Pu, H.; Chen, Y.-L. Experimental study on rock strength and deformation characteristics under triaxial cyclic loading and unloading conditions. Rock Mech. Rock Eng. 2021, 54, 777–797. [Google Scholar] [CrossRef]
- Rodríguez, P.; Arab, P.B.; Celestino, T.B. Characterization of rock cracking patterns in diametral compression tests by acoustic emission and petrographic analysis. Int. J. Rock Mech. Min. Sci. 2016, 83, 73–85. [Google Scholar] [CrossRef]
- Zhao, Y.; Li, Q.; Zhang, K.; Yang, Y.; Gu, X. Effect of fissure angle on energy evolution and failure characteristics of fractured rock under uniaxial cyclic loading. Sci. Rep. 2023, 13, 2678. [Google Scholar] [CrossRef] [PubMed]
- Liu, X.; Chai, Z.; Liu, X.; Yang, Z.; Xin, Z. Pore fracture propagation and unloading failure characteristics of siltite under cyclic loads. J. China Coal Soc. 2022, 47, 77–89. [Google Scholar]
- DZ/T 0276.20-2015; Test Procedure of International Society for Rock Mechanics and Engineering. The Ministry of Land and Resources of the People’s Republic of China: Beijing, China, 2014.
- Lu, Y.; Li, X.; Wu, X. Fracture coalescence mechanism of single flaw rock specimen due to freeze-thaw under triaxial compression. Rock Soil Mech. 2014, 35, 1579–1584. [Google Scholar]
- Bobet, A. The initiation of secondary cracks in compression. Eng. Fract. Mech. 2000, 66, 187–219. [Google Scholar] [CrossRef]
- Coates, G.; Xiao, L.; Prammer, M. Nuclear Magnetic Resonance (NMR) Logging Principles and Its Application; Meng, F., Translator; Petroleum Industry Press: Beijing, China, 2007; pp. 6–7. [Google Scholar]
- Xu, Y.; Zhou, K.; Li, J.; Zhang, Y. Study of rock NMR experiment and damage mechanism analysis under freeze-thaw condition. Rock Soil Mech. 2012, 33, 3001–3005+3102. [Google Scholar]
- Zhang, Y.; Xiao, L. Experimental study of the NMR characteristics in rock under uniaxial load. Nucl. Electron. Detect. Technol. 2006, 26, 731–734+755. [Google Scholar]
- Qin, Q.; Li, K.; Li, M.; Li, W.; Liu, B. Study on the deterioration mechanism of dolomite microscopic damage based on NMR technique. Chin. J. Rock Mech. Eng. 2022, 41, 2944–2954. [Google Scholar]
- Rice, J.R. Inelastic constitutive relations for solids: An internal-variable theory and its application to metal plasticity. J. Mech. Phys. Solids 1971, 19, 433–455. [Google Scholar] [CrossRef]
- Qi, L.-P.; Wa, Z.-C.; Li, S.-C.; Wang, Y.-G.; Yang, W.-D.; Yuan, X.-S. An internal-variable creep model for rocks. Rock Soil Mech. 2012, 33, 3529–3537+3603. [Google Scholar]
- Liu, T.; Bi, J.; Wang, C.; Dang, S.; Shen, M. Sandstone energy and pore evolution under triaxial cycle loading and unloading conditions. Water Resour. Hydropower Eng. 2023, 1–14. [Google Scholar]
- Chen, W.Z.; Tan, X.J.; Yu, H.D.; Yuan, K.K.; Li, S.C. Advance and Review on Thermo-Hydro-Mechanical Characteristics of Rock Mass Under Condition of Low Temperature and Freeze-Thaw Cycles. Chin. J. Rock Mech. Eng. 2011, 30, 1318–1336. [Google Scholar]
- Li, H.; Ma, H.; Yang, C.; Zhao, K.; Hu, Z.; Daemen, J. Acoustic emission characteristics of rock salt under multi-stage cyclic loading. Int. J. Fatigue 2023, 176, 107911. [Google Scholar] [CrossRef]
- Liu, X.; Zhang, H.; Wang, X.; Zhang, C.; Xie, H.; Yang, S.; Lu, W. Acoustic emission characteristics of graded loading intact and holey rock samples during the damage and failure process. Appl. Sci. 2019, 9, 1595. [Google Scholar] [CrossRef]












| Test Group | Sample Number | Cycle Number | Loading Method | |||||
|---|---|---|---|---|---|---|---|---|
| I | I-30 | 2.66 | 4 | 0.06 | — | — | — | Triaxial static loading |
| I-45 | 2.59 | |||||||
| I-60 | 2.57 | |||||||
| I-90 | 2.64 | |||||||
| II | II-30 | 2.62 | 4 | 0.06 | 1 | 0.5 | 1000 | Static and dynamic loading were combined after reaching the initial stress upper limit (10 kN) and 1000 fatigue loading cycles were performed. Then, the static load was continuously applied until the specimen lost its bearing capacity. |
| II-45 | 2.62 | |||||||
| II-60 | 2.61 | |||||||
| II-90 | 2.60 |
| Test System Type | DTAW-8000 |
|---|---|
| Static loading maximum load | 8000 kN |
| Dynamic loading maximum load | 2000 kN |
| Maximum confining pressure | 50 MPa |
| Displacement loading rate | 0.001~7 mm/s |
| Stress loading rate | 0.01~300 kN/s |
| Host stiffness | 6 GN/m |
| Dynamic loading frequency | 0.1~10 Hz |
| Output waveform | Sine wave, cosine wave, square wave, sawtooth wave, etc. |
| Control method | Load control, axial displacement control, and axial strain control |
| Crack Dip Angle/° | Spectral Area | Spectral Area Change Rate/% | |||
|---|---|---|---|---|---|
| Before Freezing and Thawing | After Freezing and Thawing | After Fatigue Failure | After Freezing and Thawing | After Fatigue Failure | |
| 30 | 13,623.27 | 14,327.33 | 16,443.29 | +5.17 | +20.70 |
| 45 | 13,207.61 | 13,958.64 | 14,884.98 | +5.69 | +12.70 |
| 60 | 14,141.08 | 15,015.77 | 16,290.52 | +6.19 | +15.20 |
| 90 | 13,764.38 | 14,872.42 | 15,416.11 | +8.05 | +12.00 |
| Crack Dip Angle/° | A | n | m | R2 |
|---|---|---|---|---|
| 30 | 3.761 | 5.545 | 0.016 | 0.964 |
| 45 | 3.037 | 5.030 | 0.022 | 0.912 |
| 60 | 3.442 | 5.353 | 0.017 | 0.933 |
| 90 | 2.526 | 3.814 | 0.040 | 0.921 |
Disclaimer/Publisher’s Note: The statements, opinions and data contained in all publications are solely those of the individual author(s) and contributor(s) and not of MDPI and/or the editor(s). MDPI and/or the editor(s) disclaim responsibility for any injury to people or property resulting from any ideas, methods, instructions or products referred to in the content. |
© 2024 by the authors. Licensee MDPI, Basel, Switzerland. This article is an open access article distributed under the terms and conditions of the Creative Commons Attribution (CC BY) license (https://creativecommons.org/licenses/by/4.0/).
Share and Cite
Zhang, K.; Chang, P.; Ren, J.; Liu, Z.; Wang, K. Study on the Damage Characteristics and Internal Variable Modeling of Single-Fracture Sandstone under the Coupling Effect of Freeze–Thaw and Fatigue Load. Appl. Sci. 2024, 14, 403. https://doi.org/10.3390/app14010403
Zhang K, Chang P, Ren J, Liu Z, Wang K. Study on the Damage Characteristics and Internal Variable Modeling of Single-Fracture Sandstone under the Coupling Effect of Freeze–Thaw and Fatigue Load. Applied Sciences. 2024; 14(1):403. https://doi.org/10.3390/app14010403
Chicago/Turabian StyleZhang, Kun, Pengbo Chang, Jianxi Ren, Zheng Liu, and Ke Wang. 2024. "Study on the Damage Characteristics and Internal Variable Modeling of Single-Fracture Sandstone under the Coupling Effect of Freeze–Thaw and Fatigue Load" Applied Sciences 14, no. 1: 403. https://doi.org/10.3390/app14010403
APA StyleZhang, K., Chang, P., Ren, J., Liu, Z., & Wang, K. (2024). Study on the Damage Characteristics and Internal Variable Modeling of Single-Fracture Sandstone under the Coupling Effect of Freeze–Thaw and Fatigue Load. Applied Sciences, 14(1), 403. https://doi.org/10.3390/app14010403

