Reflection of Elastic Waves in Dipolar Gradient Half-Space under the Control of External Magnetic Field
Abstract
1. Introduction
2. Basic Equation
2.1. The Governing Equation and Boundary Conditions of Dipole Strain Gradient Elasticity
2.2. Dispersive Equation
2.2.1. Lorentz Force
2.2.2. Dispersive Equation
3. Reflection of Elastic Wave
4. Numerical Examples and Discussions
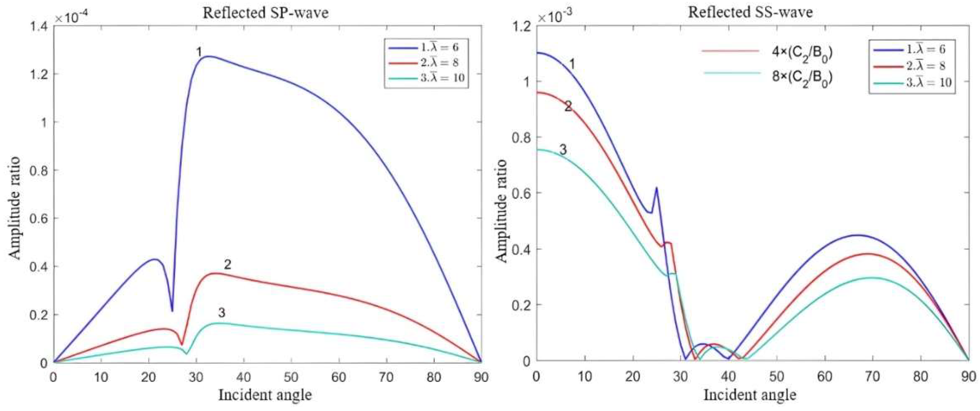
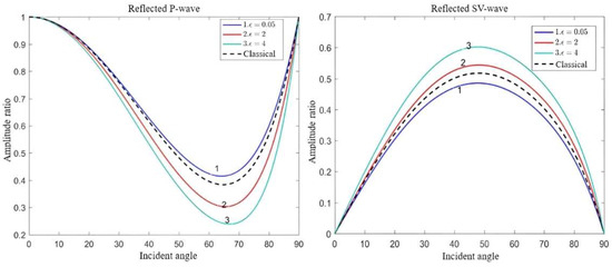
4.1. Case of P Wave Incidence
4.2. Case of SV Wave Incidence
5. Conclusions
- (1)
- In classical elastic solids, the reflected waves consist solely of P and SV waves. In dipole strain gradient elastic solids, the reflection phenomenon becomes more complex, and there are two types of inflected waves involving both body waves and surface waves: reflected P-waves, the reflected SV waves, the reflected SP waves, and the reflected SS waves.
- (2)
- Both the microstructural effect and Lorentz force affect the propagation of elastic waves. Notably, the impact of the magnetic field intensity and microstructural effects on surface waves surpasses that of body waves.
- (3)
- A critical angle arises when the SV wave is incident, and intriguingly, the critical angle increases proportionally with the augmentation of microstructural parameters.
- (4)
- In the classical scenario, elastic waves exhibit non-dispersive propagation characteristics. However, in dipolar gradient elastic solids, the introduction of the microstructural effect results in the emergence of novel wave modes and the manifestation of dispersion properties in elastic waves. Conversely, the applied magnetic field solely affects the amplitude of the elastic wave propagation through the influence of the Lorentz force without producing new wave modes or altering the dispersion characteristics of the elastic waves.
Author Contributions
Funding
Institutional Review Board Statement
Informed Consent Statement
Data Availability Statement
Conflicts of Interest
Appendix A
References
- Eringen, A.C. Nonlocal Continuum Field Theories; Springer: Berlin/Heidelberg, Germany, 2001. [Google Scholar]
- Soroosh, H.; Glenn, R.H. Micropolar elasticity theory: A survey of linear isotropic equations, representative notations, and experimental investigations. Math. Mech. Solids 2017, 22, 224–242. [Google Scholar]
- Sun, Q.Y. Study of the Propagation Characteristics of Micropolar Elastic Wave in Layered Media. Doctoral Dissertation, University of Science and Technology of He’nan, Luoyang, China, 2012. [Google Scholar]
- Ma, X. Even Stress/Strain Gradient Theory and Its Hybrid Stress Meta-Analysis. Doctoral Dissertation, Dalian University of Technology, Dalian, China, 2014. [Google Scholar]
- Dai, A.M. A brief review of generalized continuum field theory. Mech. Prog. 1983, 13, 432–445. [Google Scholar]
- Dai, A.M. Current status and prospects of the generalized continuum field theory. Mech. Prog. 1999, 29, 1–8. [Google Scholar]
- Mindlin, R.D. Micro-structure in linear elasticity. Arch. Ration. Mech. Anal. 1964, 16, 51–77. [Google Scholar] [CrossRef]
- Georgiadis, H.G. The Mode III Crack Problem in microstructured solids governed by dipolar gradient elasticity: Static and dynamic analysis. ASME J. Appl. Mech. 2003, 70, 517–530. [Google Scholar] [CrossRef]
- Georgiadis, H.G.; Vardoulakis, I.; Velgaki, E.G. Dispersive rayleigh-wave propagation in microstructured solids characterized by dipolar gradient elasticity. J. Elast. 2004, 74, 17–45. [Google Scholar] [CrossRef]
- Gourgiotis, P.A.; Georgiadis, H.G.; Neocleous, I. On the reflection of waves in half-spaces of microstructured materials governed by dipolar gradient elasticity. Wave Motion 2013, 50, 437–455. [Google Scholar] [CrossRef]
- Li, Y.Q.; Wei, P.J. Elastic wave reflection and transmission of sandwich structures containing strain gradient material interlayer. In Proceedings of the China Mechanics Conference-2015, Shanghai, China, 11 August 2015; Chinese Mechanics Society: Beijing, China; Shanghai Jiao Tong University: Shanghai, China, 2015; p. 187. [Google Scholar]
- Li, Y.Q.; Wei, P.J.; Zhou, Y.H. Band gaps of elastic waves in 1-D phononic crystal with dipolar gradient elasticity. Acta Mech. 2016, 227, 1005–1023. [Google Scholar] [CrossRef]
- Li, Y.Q.; Wei, P.J. Reflection and transmission of thermo-elastic waves without energy dissipation at the interface of two dipolar gradient elastic solids. J. Acoust. Soc. Am. 2018, 143, 550–562. [Google Scholar] [CrossRef]
- Li, Y.Q. Study of Elastic Wave Propagation Based on Dipole Strain Gradient. Theory. Thesis, University of Science and Technology Beijing, Beijing, China, 2016. [Google Scholar]
- Li, Y.Q.; Wei, P.J. Reflection and transmission of plane waves at the interface between two different dipolar gradient elastic half-spaces. Int. J. Solids Struct. 2015, 56–57, 194–208. [Google Scholar] [CrossRef]
- Huang, Y.S.; Wei, P.J.; Xu, Y.Q.; Li, Y.Q. Modelling flexural wave propagation by the nonlocal strain gradient elasticity with fractional derivatives. Math. Mech. Solids 2021, 26, 1538–1562. [Google Scholar] [CrossRef]
- Li, Y.Q.; Wei, P.J.; Zhang, P.; Gao, X.W. Thermoelastic wave and thermal shock based on dipolar gradient elasticity and fractional-order generalized thermoelasticity. Waves Random Complex Media 2021, 1–26. [Google Scholar] [CrossRef]
- Dunkin, J.W.; Eringen, A.C. On the propagation of waves in an electromagnetic elastic solid. Int. J. Eng. Sci. 1963, 1, 461–495. [Google Scholar] [CrossRef]
- Yu, C.P.; Tang, S. Magneto-elastic waves in initially stressed conductors. Z. Angew. Math. Phys. ZAMP 1966, 17, 766–775. [Google Scholar] [CrossRef]
- Sharma, J.N.; Chand, D. Transient generalised magnetothermoelastic waves in a half-space. Int. J. Eng. Sci. 1988, 26, 951–958. [Google Scholar] [CrossRef]
- Roychoudhuri, S.K.; Santwana, B. Magneto-thermoelastic waves induced by a thermal shock in a finitely conducting elastic half space. Int. J. Math. Math. Sci. 1996, 19, 131–144. [Google Scholar] [CrossRef][Green Version]
- Chattopadhyay, A.; Choudhury, S. Propagation, reflection and transmission of magnetoelastic shear waves in a self-reinforced medium. Int. J. Eng. Sci. 1990, 28, 485–495. [Google Scholar] [CrossRef]
- Singh, P.; Chattopadhyay, A.; Singh, A.K. Propagation of Love-type wave in functionally graded pre-stressed magneto-visco-elastic fiber-reinforced composite structure. Waves Random Complex Media 2021, 31, 942–971. [Google Scholar] [CrossRef]
- Pan, E.; Heyliger, P.R. Free vibrations of simply supported and multilayered magneto-electro-elastic plates. J. Sound Vib. 2002, 252, 429–442. [Google Scholar] [CrossRef]
- Buchann, G.R. Free vibration of an infinite magneto-electro-elastic cylinder. J. Sound Vib. 2003, 268, 413–426. [Google Scholar] [CrossRef]
- Wang, J.; Chen, L.; Fang, S. State vector approach to analysis of multilayered magneto-electro-elastic plates. Int. J. Solids Struct. 2003, 40, 1669–1680. [Google Scholar] [CrossRef]
- Othman, M.I.A.; Song, Y. The effect of rotation on the reflection of magneto-thermoelastic waves under thermoelasticity without energy dissipation. Acta Mech. 2006, 184, 189–204. [Google Scholar] [CrossRef]
- Othman, M.I.A. Generalized electro-magneto-thermoelasticity in case of thermal shock plane waves for a finite conducting half-space with two relaxation times. Mech. Mech. Eng. 2010, 14, 5–30. [Google Scholar]
- Othman MI, A.; Song, Y.Q. Reflection of magneto-thermoelastic waves with two relaxation times and temperature dependent elastic moduli. Appl. Math. Model. 2007, 32, 483–500. [Google Scholar] [CrossRef]
- Suchtelen, J.V. Product properties: A new application of composite materials. Philips Res. Rep. 1972, 27, 28–37. [Google Scholar]
- Chen, J.Y.; Chen, H.L.; Chen, L. Analysis of the Lamb wave propagation characteristics in the electromagnetic elastic plate. China Mech. Eng. 2007, 3, 328–330, 334. [Google Scholar]
- Chen, J.Y.; Chen, H.L. Reflection and transmission of elastic waves in a multilayer electromagnetic elastic structure. J. Basic Sci. Eng. 2008, 4, 566–573. [Google Scholar]
- Kumar, S.; Pal, P.C.; Majhi, S. Reflection and transmission of plane SH-waves through an anisotropic magnetoelastic layer sandwiched between two semi-infinite inhomogeneous viscoelastic half-spaces. Pure Appl. Geophys. 2015, 172, 2621–2634. [Google Scholar] [CrossRef]
- Kumar, S.; Pal, P.C.; Bose, S. Propagation of SH-type waves in inhomogeneous anisotropic layer overlying an anisotropic viscoelastic half-space. Int. J. Eng. Sci. Technol. 2014, 6, 24–30. [Google Scholar] [CrossRef]
- Ma, Y.B.; Liu, Z.Q.; He, T.H. Two-dimensional electromagneto-thermoelastic coupled problem under fractional order theory of thermoelasticity. J. Therm. Stress. 2018, 41, 645–657. [Google Scholar] [CrossRef]
- Kalkal, K.K.; Kumar, R.; Gunghas, A.; Deswal, S. Wave propagation in an initially stressed magneto-thermoelastic medium with voids and microtemperatures. J. Therm. Stress. 2020, 43, 962–980. [Google Scholar] [CrossRef]
- Kumar, A.Y. Reflection of plane waves from the free surface of a rotating orthotropic magneto-thermoelastic solid half-space with diffusion. J. Therm. Stress. 2021, 44, 86–106. [Google Scholar]
- Gunghas, A.; Sheoran, D.; Kumar, S.; Kalkal, K.K. Waves in a magneto-thermoelastic diffusive half-space with microconcentrations. Waves Random Complex Media 2022, 32, 708–727. [Google Scholar] [CrossRef]
- Li, Y.Q.; Bian, X.Y.; Wang, C.D.; Yue, T.; Guo, Z. The influences of external magnetic field on the reflection and transmission waves at the interface of two dipolar gradient elastic solids. Appl. Math. Model. 2023, 121, 524–541. [Google Scholar] [CrossRef]









Disclaimer/Publisher’s Note: The statements, opinions and data contained in all publications are solely those of the individual author(s) and contributor(s) and not of MDPI and/or the editor(s). MDPI and/or the editor(s) disclaim responsibility for any injury to people or property resulting from any ideas, methods, instructions or products referred to in the content. |
© 2023 by the authors. Licensee MDPI, Basel, Switzerland. This article is an open access article distributed under the terms and conditions of the Creative Commons Attribution (CC BY) license (https://creativecommons.org/licenses/by/4.0/).
Share and Cite
Pei, W.; Wu, T.; Wang, Z.; Jiang, Y.; Zhou, C.; Zhou, R.; Gong, Y. Reflection of Elastic Waves in Dipolar Gradient Half-Space under the Control of External Magnetic Field. Appl. Sci. 2024, 14, 376. https://doi.org/10.3390/app14010376
Pei W, Wu T, Wang Z, Jiang Y, Zhou C, Zhou R, Gong Y. Reflection of Elastic Waves in Dipolar Gradient Half-Space under the Control of External Magnetic Field. Applied Sciences. 2024; 14(1):376. https://doi.org/10.3390/app14010376
Chicago/Turabian StylePei, Wanrong, Tongde Wu, Zhiwen Wang, Yunlei Jiang, Chuanping Zhou, Rougang Zhou, and Yongping Gong. 2024. "Reflection of Elastic Waves in Dipolar Gradient Half-Space under the Control of External Magnetic Field" Applied Sciences 14, no. 1: 376. https://doi.org/10.3390/app14010376
APA StylePei, W., Wu, T., Wang, Z., Jiang, Y., Zhou, C., Zhou, R., & Gong, Y. (2024). Reflection of Elastic Waves in Dipolar Gradient Half-Space under the Control of External Magnetic Field. Applied Sciences, 14(1), 376. https://doi.org/10.3390/app14010376

