The Profile of the Internal Load of Amateur Soccer Players during Official Matches with Formation 1-4-3-3 and Relationships with Indexes of External Load
Abstract
:1. Introduction
2. Materials and Methods
2.1. Subjects
2.2. Body Fat Measurement
2.3. Assessment of Maximum Oxygen Uptake
2.4. Internal Load: Heart Rate and Training Impulse Edward (TRIMPEdw)
zone 1 = 50–59% of HRmax, zone 2 = 60–69% of HRmax, zone 3 = 70–79% of HRmax, zone 4 = 80–89% of HRmax, and zone 5 = 90-to-100% of HRmax
2.5. External Load
2.6. Measurement Procedure
- Pertained to matches in which no player was ejected.
- Pertained to official championship matches.
- Utilized data from players who participated in the entire match.
- Excluded data from players who changed positions during halftime.
- Excluded goalkeepers.
- The team formation was 1-4-3-3.
2.7. Positions in Formation
2.8. Statistical Analysis
3. Results
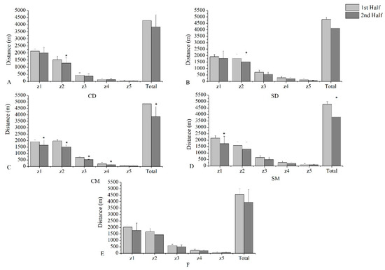
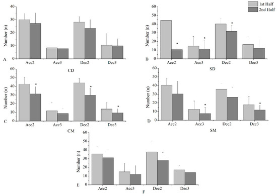
3.1. External Load Indicators
3.2. Internal Load Indicators
3.3. Relationships between Internal and External Load Indicators
4. Discussion
5. Conclusions
Author Contributions
Funding
Institutional Review Board Statement
Informed Consent Statement
Data Availability Statement
Conflicts of Interest
References
- Barnes, C.; Archer, D.; Bush, M.; Hogg, R.; Bradley, P. The evolution of physical and technical performance parameters in the English Premier League. Int. J. Sports Med. 2014, 35, 1095–1100. [Google Scholar] [CrossRef] [PubMed]
- Modric, T.; Jelicic, M.; Sekulic, D. Relative Training Load and Match Outcome: Are Professional Soccer Players Actually Undertrained during the In-Season? Sports 2021, 9, 139. [Google Scholar] [CrossRef] [PubMed]
- Bush, M.; Barnes, C.; Archer, D.T.; Hogg, B.; Bradley, P.S. Evolution of match performance parameters for various playing positions in the English Premier League. Hum. Mov. Sci. 2015, 39, 1–11. [Google Scholar] [CrossRef] [PubMed]
- Vardakis, L.; Michailidis, Y.; Mandroukas, A.; Mavrommatis, G.; Christoulas, K.; Metaxas, T. Analysis of the running performance of elite soccer players depending on position in the 1-4-3-3 formation. Ger. J. Exerc. Sport Res. 2019, 50, 241–250. [Google Scholar] [CrossRef]
- Helwig, J.; Diels, J.; Röll, M.; Mahler, H.; Gollhofer, A.; Roecker, K.; Willwacher, S. Relationships between External, Wearable Sensor-Based, and Internal Parameters: A Systematic Review. Sensors 2023, 23, 827. [Google Scholar] [CrossRef]
- Bourdon, P.C.; Cardinale, M.; Murray, A.; Gastin, P.; Kellmann, M.; Varley, M.C.; Gabbett, T.J.; Coutts, A.J.; Burgess, D.J.; Gregson, W.; et al. Monitoring Athlete Training Loads: Consensus Statement. Int. J. Sports Physiol. Perform. 2017, 12, 161–170. [Google Scholar] [CrossRef]
- Suarez-Arrones, L.; Torreño, N.; Requena, B.; Sáez De Villarreal, E.; Casamichana, D.; Barbero-Alvarez, J.C.; Munguía-Izquierdo, D. Match-play activity profile in professional soccer players during official games and the relationship between external and internal load. J. Sports Med. Phys. Fit. 2015, 55, 1417–1422. [Google Scholar]
- Castillo, D.; Weston, M.; McLaren, S.J.; Cámara, J.; Yanci, J. Relationships Between Internal and External Match-Load Indicators in Soccer Match Officials. Int. J. Sports Physiol. Perform. 2017, 12, 922–927. [Google Scholar] [CrossRef]
- Edwards, S. High performance training and racing. In The Heart Rate Monitor Book; Edwards, S., Ed.; Feet Fleet Press: Sacramento, CA, USA, 1993; pp. 113–123. [Google Scholar]
- Forcher, L.; Forcher, L.; Jekauc, D.; Woll, A.; Gross, T.; Altmann, S. Center backs work hardest when playing in a back three: The influence of tactical formation on physical and technical match performance in professional soccer. PLoS ONE 2022, 17, e0265501. [Google Scholar] [CrossRef]
- Dellal, A.; Wong, D.P.; Moalla, W.; Chamari, K. Physical and technical activity of soccer players in the French First League–with special reference to their playing position. Int. SportMed J. 2010, 11, 278–290. [Google Scholar]
- Aquino, R.; Carling, C.; Palucci Vieira, L.H.; Martins, G.; Jabor, G.; Machado, J.; Santiago, P.; Garganta, J.; Puggina, E. Influence of situational variables, team formation, and playing position on match running performance and social network analysis in brazilian professional soccer players. J. Strength Cond. Res. 2020, 34, 808–817. [Google Scholar] [CrossRef] [PubMed]
- Rivilla-Garcia, J.; Calvo, L.C.; Jimenez-Rubio, S.; Paredes-Hernandez, V.; Munoz, A.; van den Tillaar, R.; Navandar, A. Characteristics of very high intensity runs of soccer players in relation to their playing position and play-ing half in the 2013–14 Spanish La Liga season. J. Hum. Kinet. 2018, 66, 213–222. [Google Scholar] [CrossRef] [PubMed]
- Baptista, I.; Johansen, D.; Figueiredo, P.; Rebelo, A.; Pettersen, S.A. A comparison of match-physical demands between different tactical systems: 1-4-5-1 vs 1-3-5-2. PLoS ONE 2019, 14, e0214952. [Google Scholar] [CrossRef] [PubMed]
- Bradley, P.S.; Carling, C.; Archer, D.T.; Roberts, J.; Dodds, A.; Di Mascio, M.; Paul, D.; Diaz, A.G.; Peart, D.; Krustrup, P. The effect of playing formation on high-intensity running and technical profiles in English FA Premier League soccer matches. J. Sports Sci. 2011, 29, 821–830. [Google Scholar] [CrossRef] [PubMed]
- Tierney, P.J.; Young, A.; Clarke, N.D.; Duncan, M.J. Match play demands of 11 versus 11 professional football using Global Positioning System tracking: Variations across common playing formations. Hum. Mov. Sci. 2016, 49, 1–8. [Google Scholar] [CrossRef] [PubMed]
- Torreño, N.; Munguía-Izquierdo, D.; Coutts, A.; de Villarreal, E.S.; Asian-Clemente, J.; Suarez-Arrones, L. Relationship Between External and Internal Loads of Professional Soccer Players During Full Matches in Official Games Using Global Positioning Systems and Heart-Rate Technology. Int. J. Sports Physiol. Perform. 2016, 11, 940–946. [Google Scholar] [CrossRef] [PubMed]
- Slaughter, M.H.; Lohman, T.G.; Boileau, R.A.; Horswill, C.A.; Stillman, R.G.; Van Loan, M.D.; Bemben, D.A. Skinfold equations for estimation of body fatness in children and youth. Hum. Biol. 1988, 60, 709–723. [Google Scholar] [PubMed]
- Durnin, J.V.G.A.; Rahaman, M.M. The assessment of the amount of fat in the human body from measurements of skinfold thickness. Br. J. Nutr. 1967, 21, 681–689. [Google Scholar] [CrossRef]
- Siri, W.E. The gross composition of the body. Adv. Biol. Med. Phys. 1956, 4, 239–280. [Google Scholar]
- Leger, L.; Mercier, D.; Gadoury, C.; Lambert, J. The multistage 20-meter shuttle run test for aerobic fitness. J. Sports Sci. 1988, 6, 93–101. [Google Scholar] [CrossRef]
- Coutts, A.J.; Duffield, R. Validity and reliability of GPS devices for measuring movement demands of team sports. J. Sci. Med. Sport 2010, 13, 133–135. [Google Scholar] [CrossRef] [PubMed]
- Varley, M.C.; Fairweather, I.H.; Aughey, R.J. Validity and reliability of GPS for measuring instantaneous velocity during acceleration, deceleration, and constant motion. J. Sports Sci. 2012, 30, 121–127. [Google Scholar] [CrossRef] [PubMed]
- Dimitriadis, Y.; Michailidis, Y.; Mandroukas, A.; Gissis, I.; Mavrommatis, G.; Metaxas, T. Internal and external load of youth soccer players during Small-Sided-Games. Trends Sport Sci. 2022, 29, 171–181. [Google Scholar] [CrossRef]
- Cohen, J. Statistical Power Analysis for the Behavioral Sciences, 2nd ed.; Lawrence Erlbaum Associates: Mahwah, NJ, USA, 1988. [Google Scholar]
- Versic, S.; Modric, T.; Katanic, B.; Jelicic, M.; Sekulic, D. Analysis of the Association between Internal and External Training Load Indicators in Elite Soccer; Multiple Regression Study. Sports 2022, 10, 135. [Google Scholar] [CrossRef] [PubMed]
- Kunz, P.; Zinner, C.; Holmberg, H.C.; Sperlich, B. Intra- and Post-match Time-Course of Indicators Related to Perceived and Performance Fatigability and Recovery in Elite Youth Soccer Players. Front. Physiol. 2019, 10, 1383. [Google Scholar] [CrossRef] [PubMed]
- de Dios-Álvarez, V.; Suárez-Iglesias, D.; Bouzas-Rico, S.; Alkain, P.; González-Conde, A.; Ayan-Perez, C. Relationships between RPE-derived internal training load parameters and GPS-based external training load variables in elite young soccer players. Res. Sports Med. 2021, 31, 58–73. [Google Scholar] [CrossRef]
- Marynowicz, J.; Kikut, K.; Lango, M.; Horna, D.; Andrzejewski, M. Relationship between the session-rpe and external measures of training load in youth soccer training. J. Strength Cond. Res. 2020, 34, 2800–2804. [Google Scholar] [CrossRef]
- Radziminski, Ł. Weekly training load distribution and relationships between external and internal load indicators in professional soccer players. J. Phys. Educ. Sport 2021, 21, e0225522. [Google Scholar]
- Casamichana, D.; Castellano, J.; Calleja-Gonzalez, J.; San Román, J.; Castagna, C. Relationship between indicators of training load in soccer players. J. Strength Cond. Res. 2013, 27, 369–374. [Google Scholar] [CrossRef]
- Sparks, M.; Coetzee, B.; Gabbett, T.J. Internal and External Match Loads of University-Level Soccer Players: A Comparison Between Methods. J. Strength Cond. Res. 2017, 31, 1072–1077. [Google Scholar] [CrossRef]
- Silva, P.; Dos Santos, E.; Grishin, M.; Rocha, J.M. Validity of Heart Rate-Based Indices to Measure Training Load and Intensity in Elite Football Players. J. Strength Cond. Res. 2018, 32, 2340–2347. [Google Scholar] [CrossRef] [PubMed]
- Scott, B.R.; Lockie, R.G.; Knight, T.J.; Clark, A.C.; Janse de Jonge, X.A.K. A comparison of methods to quantify the in-season training load of professional soccer players. Int. J. Sports Physiol. Perform. 2013, 8, 195–202. [Google Scholar] [CrossRef] [PubMed]
- Di Salvo, V.; Baron, R.; Tschan, H.; Calderon Montero, F.J.; Bachl, N.; Pigozzi, F. Performance characteristics according to playing position in elite soccer. Int. J. Sports Med. 2007, 28, 222–227. [Google Scholar] [CrossRef] [PubMed]
- Castellano, J.; Blanco-Villaseñor, A.; Alvarez, D. Contextual Variables and Time-Motion Analysis in Soccer. Int. J. Sports Med. 2011, 32, 415–421. [Google Scholar] [CrossRef] [PubMed]
- Lago, C.; Casais, L.; Dominguez, E.; Sampaio, J. The Effects of Situational Variables on Distance Covered at Various Speeds in Elite Soccer. Eur. J. Sport Sci. 2010, 10, 103–109. [Google Scholar] [CrossRef]
- Teixeira, J.E.; Leal, M.; Ferraz, R.; Ribeiro, J.; Cachada, J.M.; Barbosa, T.M.; Monteiro, A.M.; Forte, P. Effects of Match Location, Quality of Opposition and Match Outcome on Match Running Performance in a Portuguese Professional Football Team. Entropy 2021, 23, 973. [Google Scholar] [CrossRef] [PubMed]
- García-Unanue, J.; Pérez-Gómez, J.; Giménez, J.-V.; Felipe, J.L.; Gómez-Pomares, S.; Gallardo, L.; Sánchez-Sánchez, J. Influence of Contextual Variables and the Pressure to Keep Category on Physical Match Performance in Soccer Players. PLoS ONE 2018, 13, e0204256. [Google Scholar] [CrossRef]
- Trewin, J.; Meylan, C.; Varley, M.C.; Cronin, J. The Influence of Situational and Environmental Factors on Match-Running in Soccer: A Systematic Review. Sci. Med. Footb. 2017, 1, 183–194. [Google Scholar] [CrossRef]
- Lago-Peñas, C.; Lago-Ballesteros, J. Game Location and Team Quality Effects on Performance Profiles in Professional Soccer. J. Sports Sci. Med. 2011, 10, 465–471. [Google Scholar]
- Vigh-Larsen, J.F.; Dalgas, U.; Andersen, T.B. Position-Specific Acceleration and Deceleration Profiles in Elite Youth and Senior Soccer Players. J. Strength Cond. Res. 2018, 32, 1114–1122. [Google Scholar] [CrossRef]
- Terje, D.; Jorgen, I.; Gertjan, E.; Geir Havard, H.; Ulrik, W. Player load, acceleration, and deceleration during 45 competitive matches of elite soccer. J. Strength Cond. Res. 2016, 30, 351–359. [Google Scholar]






| Variable | Mean ± SD |
|---|---|
| Age (years) | 20.6 ± 2.4 |
| Training age (years) | 11.6 ± 3.4 |
| Height (cm) | 178.5 ± 4.1 |
| Weight (kg) | 72.5 ± 9.9 |
| Body fat (%) | 16.7 ± 3.1 |
| Body mass index | 22.7 ± 2.8 |
| VO2max (mL/kg.min) | 48.8 ± 2.0 |
| CD | SD | CM | SM | F | |
|---|---|---|---|---|---|
| Full match | |||||
| % HRmax | 79.2–84.5 | 81.6–88.3 | 81.1–84.2 | 81.1–85.4 | 80.3–84.7 |
| TRIMPEdw | 302–403 | 322–420 | 340–395 | 306–402 | 292–419 |
| TD | 7044–11,205 | 7754–9655 | 8420–9445 | 7703–9499 | 7259–9965 |
| D/min | 73–88 | 82–99 | 79–89 | 81–96 | 78–88 |
| Sprint | 2.9–4.9 | 6.8–10.3 | 3.4–5.2 | 6.4–13.4 | 1.6–15.8 |
| z1 | 3971–4673 | 3167–4207 | 3475–3984 | 3540–4455 | 3170–4631 |
| z2 | 2596–3276 | 2924–3783 | 3527–4016 | 2546–3320 | 2528–3677 |
| z3 | 613–886 | 967–1387 | 1103–3345 | 915–1304 | 867–1312 |
| z4 | 169–267 | 371–496 | 276–314 | 359–473 | 273–529 |
| z5 | 24–65 | 65–143 | 34–62 | 81–208 | 6–230 |
| Acc2 | 49.2–65.8 | 66.7–89.1 | 64.1–82.7 | 56.3–82.6 | 55.1–79.2 |
| Acc3 | 1.5–31.0 | 9.1–41.2 | 9.7–30.8 | 7.4–33.9 | 8.4–45.9 |
| Dec2 | 46.7–58.3 | 62.5–77.9 | 66.7–80.5 | 51.2–71.5 | 48.4–84.1 |
| Dec3 | 7.2–33.0 | 14.5–41.9 | 15.2–31.3 | 18.4–40.4 | 21.1–41.6 |
| First half | |||||
| % HRmax | 82.3–87.2 | 84.2–88.6 | 86.2–88.0 | 84.3–87.3 | 83.2–84.4 |
| TRIMPEdw | 174–199 | 184–203 | 192–202 | 168–198 | 161–206 |
| TD | 4149–4426 | 4659–4950 | 4693–5024 | 4656–4935 | 4132–4962 |
| D/min | 91.4–94.8 | 102.4–107.0 | 103.6–107.7 | 102.2–106.3 | 97.4–105.8 |
| Sprint | 3.5–6.7 | 8.1–14.9 | 4.5–9.4 | 7.6–12.3 | 4.7–7.9 |
| z1 | 2135–2248 | 1918–2051 | 1924–2021 | 2165–2302 | 2019–20,181 |
| z2 | 1528–1700 | 1780–2040 | 1972–2218 | 1583–1801 | 1662–1921 |
| z3 | 435–557 | 708–841 | 546–833 | 543–768 | 484–688 |
| z4 | 83–177 | 186–356 | 114–289 | 197–356 | 118–311 |
| z5 | 4–79 | 9–207 | 4–114 | 27–176 | 12–117 |
| Acc2 | 26.6–33.6 | 36.9–51.4 | 36.6–48.3 | 34.7–46.0 | 29.2–41.7 |
| Acc3 | 1.3–15.7 | 6.2–23.2 | 5.0–18.4 | 5.8–19.6 | 5.2–24.5 |
| Dec2 | 25.8–32.1 | 35.3–44.9 | 40.6–47.5 | 31.1–40.5 | 26.1–49.5 |
| Dec3 | 4.1–16.6 | 9.8–23.2 | 8.6–18.9 | 11.1–24.6 | 12.6–21.9 |
| Second half | |||||
| % HRmax | 79.1–84.5 | 80.4–87.4 | 80.0–83.9 | 80.8–85.2 | 79.7–85.6 |
| TRIMPEdw | 145–183 | 133–214 | 135–183 | 107–179 | 121–197 |
| TD | 3327–4369 | 3222–5011 | 3308–4423 | 2883–4690 | 3025–4859 |
| D/min | 73.9–87.6 | 65.2–101.5 | 71.1–90.8 | 68.1–96.7 | 70.8–94.3 |
| Sprint | 0.2–5.5 | 2.5–6.5 | 0.4–5.4 | 3.1–7.2 | 0.3–8.1 |
| z1 | 1713–2297 | 1327–2220 | 1358–1930 | 1305–2137 | 1239–2297 |
| z2 | 1010–1552 | 1120–1924 | 1190–1835 | 888–1687 | 1063–1802 |
| z3 | 264–489 | 423–671 | 468–600 | 350–638 | 359–643 |
| z4 | 62–184 | 141–286 | 91–172 | 134–248 | 132–242 |
| z5 | 0.3–79 | 27.2–78 | 1.0–64.0 | 45.6–121.0 | 1.5–115.1 |
| Acc2 | 21.2–39.9 | 27.9–44.1 | 24.8–37.2 | 19.9–40.6 | 22.6–39.4 |
| Acc3 | 0.3–15.4 | 3.7–18.6 | 4.5–12.7 | 2.6–13.2 | 2.8–21.5 |
| Dec2 | 18.6–28.1 | 26.3–37.1 | 24–35.4 | 18.2–34.8 | 19.9–36.4 |
| Dec3 | 3.1–16.7 | 4.8–20.1 | 6.1–12.8 | 8.2–15.5 | 7.6–20.6 |
| Full Match | First Half | Second Half | ||
|---|---|---|---|---|
| % HRmax | F | 1.196 | 1.835 | 0.569 |
| p | 0.327 | 0.141 | 0.686 | |
| η2 | 0.104 | 0.152 | 0.053 | |
| TRIMPEdw | F | 0.175 | 1.191 | 0.701 |
| p | 0.250 | 0.329 | 0.596 | |
| η2 | 0.017 | 0.104 | 0.064 | |
| TD | F | 0.166 | 8.646 * | 0.149 |
| p | 0.954 | <0.001 | 0.969 | |
| η2 | 0.016 | 0.458 | 0.014 | |
| D/min | F | 1.689 | 6.554 * | 0.042 |
| p | 0.171 | <0.001 | 0.996 | |
| η2 | 0.141 | 0.390 | 0.004 | |
| Sprint | F | 4.766 * | 0.961 | 0.839 |
| p | 0.003 | 0.439 | 0.509 | |
| η2 | 0.317 | 0.086 | 0.076 | |
| z1 | F | 1.798 | 4.590 * | 0.699 |
| p | 0.148 | 0.004 | 0.597 | |
| η2 | 0.149 | 0.309 | 0.064 | |
| z2 | F | 4.796 * | 3.317 * | 0.605 |
| p | 0.003 | 0.019 | 0.662 | |
| η2 | 0.319 | 0.245 | 0.056 | |
| z3 | F | 6.490 * | 4.243 * | 1.810 |
| p | <0.001 | 0.006 | 0.145 | |
| η2 | 0.388 | 0.293 | 0.150 | |
| z4 | F | 12.381 * | 3.166 * | 2.514 |
| p | <0.001 | 0.023 | 0.056 | |
| η2 | 0.547 | 0.236 | 0.197 | |
| z5 | F | 4.043 * | 1.053 | 1.508 |
| p | 0.007 | 0.392 | 0.218 | |
| η2 | 0.283 | 0.093 | 0.128 | |
| Acc2 | F | 2.894 * | 5.467 * | 0.877 |
| p | 0.034 | 0.001 | 0.486 | |
| η2 | 0.224 | 0.348 | 0.079 | |
| Acc3 | F | 0.454 | 0.623 | 0.427 |
| p | 0.769 | 0.649 | 0.788 | |
| η2 | 0.043 | 0.057 | 0.040 | |
| Dec2 | F | 4.586 * | 6.218 * | 1.313 |
| p | 0.004 | <0.001 | 0.281 | |
| η2 | 0.314 | 0.378 | 0.114 | |
| Dec3 | F | 0.827 | 1.370 | 0.551 |
| p | 0.516 | 0.261 | 0.669 | |
| η2 | 0.076 | 0.118 | 0.051 |
| CD | SD | CM | SM | F | |
|---|---|---|---|---|---|
| % HRmax | t = 6.101 | t = 4.269 * | t = 5.604 * | t = 3.145 * | t = 2.792 * |
| p < 0.001 | p = 0.003 | p < 0.001 | p = 0.012 | p = 0.032 | |
| d = 1.848 | d = 1.423 | d = 1.772 | d = 0.994 | d = 1.055 | |
| TRIMPEdw | t = 2.081 | t = 1.173 | t = 3.886 | t = 2.137 | t = 2.443 * |
| p = 0.067 | p = 0.274 | p = 0.004 | p = 0.061 | p = 0.049 | |
| d = 0.658 | d = 0.391 | d = 1.229 | d = 0.676 | d = 0.923 | |
| TD | t = 2.103 | t = 1.794 | t = 3.638 * | t = 2.299 * | t = 2.255 |
| p = 0.065 | p = 0.123 | p = 0.005 | p = 0.047 | p = 0.065 | |
| d = 0.665 | d = 0.575 | d = 1.150 | d = 0.727 | d = 0.852 | |
| D/min | t = 4.420 * | t = 2.258 * | t = 4.496 * | t = 2.509 * | t = 3.14 3* |
| p = 0.002 | p = 0.049 | p = 0.001 | p = 0.033 | p = 0.020 | |
| d = 1.398 | d = 0.753 | d = 1.422 | d = 0.793 | d = 1.188 | |
| Sprint | t = 1.024 | t = 1.317 | t = 1.238 | t = 1.391 | t = 0.778 |
| p = 0.333 | p = 0.224 | p = 0.247 | p = 0.198 | p = 0.466 | |
| d = 0.324 | d = 0.439 | d = 0.391 | d = 0.440 | d = 0.294 | |
| z1 | t = 1.194 | t = 0.874 | t = 2.692 * | t = 2.347 * | t = 1.526 |
| p = 0.263 | p = 0.408 | p = 0.025 | p = 0.043 | p = 0.178 | |
| d = 0.378 | d = 0.291 | d = 0.851 | d = 0.742 | d = 0.571 | |
| z2 | t = 2.841 * | t = 2.970 * | t = 4.429 | t = 1.868 | t = 2.003 |
| p = 0.019 | p = 0.018 | p = 0.002 | p = 0.095 | p = 0.092 | |
| d = 0.898 | d = 0.990 | d = 1.401 | d = 0.591 | d = 0.757 | |
| z3 | t = 1.429 | t = 1.832 | t = 2.266 * | t = 2.186 | t = 1.917 |
| p = 0.187 | p = 0.104 | p = 0.049 | p = 0.057 | p = 0.104 | |
| d = 0.452 | d = 0.611 | d = 0.717 | d = 0.691 | d = 0.725 | |
| z4 | t = 0.384 | t = 0.990 | t = 2.709 | t = 1.728 | t = 0.715 |
| p = 0.710 | p = 0.351 | p = 0.024 | p = 0.118 | p = 0.501 | |
| d = 0.122 | d = 0.330 | d = 0.857 | d = 0.546 | d = 0.270 | |
| z5 | t = −0.099 | t = 1.409 | t = 1.723 | t = 0.573 | t = 1.289 |
| p = 0.923 | p = 0.196 | p = 0.112 | p = 0.581 | p = 0.245 | |
| d = 0.031 | d = 0.470 | d = 0.549 | d = 0.181 | d = 0.487 | |
| Acc2 | t = 1.563 | t = 1.639 * | t = 3.520 * | t = 1.599 | t = 1.129 |
| p = 0.152 | p = 0.014 | p = 0.007 | p = 0.082 | p = 0.302 | |
| d = 0.494 | d = 0.546 | d = 1.113 | d = 0.619 | d = 0.427 | |
| Acc3 | t = 0.616 | t = 2.991 * | t = 2.096 | t = 2.781 * | t = 2.209 |
| p = 0.553 | p = 0.017 | p = 0.066 | p = 0.021 | p = 0.069 | |
| d = 0.195 | d = 0.997 | d = 0.663 | d = 0.879 | d = 0.835 | |
| Dec2 | t = 2.235 | t = 2.392 * | t = 5.242 * | t = 2.137 | t = 2.299 |
| p = 0.052 | p = 0.044 | p < 0.001 | p = 0.061 | p = 0.061 | |
| d = 0.707 | d = 0.797 | d = 1.658 | d = 0.676 | d = 0.869 | |
| Dec3 | t = 0.704 | t = 1.827 | t = 3.277 * | t = 2.646 * | t = 1.626 |
| p = 0.499 | p = 0.105 | p = 0.010 | p = 0.027 | p = 0.155 | |
| d = 0.223 | d = 0.609 | d = 1.036 | d = 0.837 | d = 0.615 |
| Full Match | First Half | Second Half | ||||
|---|---|---|---|---|---|---|
| % HRmax | TRIMPEdw | % HRmax | TRIMPEdw | % HRmax | TRIMPEdw | |
| TD | r = −0.043 | r = 0.547 * | r = 0.412 * | r = 0.338 * | r = 0.274 | r = 0.887 * |
| p = 0.0774 | p < 0.001 | p = 0.004 | p = 0.022 | p = 0.066 | p < 0.001 | |
| D/min | r = 0.540 * | r = −0.237 | r = 0.391 * | r = 0.203 | r = 0.371 * | r = 0.733 * |
| p < 0.001 | p = 0.112 | p = 0.007 | p = 0.176 | p = 0.011 | p < 0.001 | |
| Sprint | r = 0.122 | r = 0.282 | r = 0.036 | r = −0.142 | r = 0.042 | r = −0.030 |
| p = 0.419 | p = 0.057 | p = 0.814 | p = 0.348 | p = 0.781 | p = 0.845 | |
| z1 | r = −0.442 * | r = 0.529 * | r = −0.235 | r = −0.148 | r = 0.096 | r = 0.857 * |
| p = 0.002 | p < 0.001 | p = 0.115 | p = 0.326 | p = 0.526 | p < 0.001 | |
| z2 | r = 0.024 | r = 0.543 * | r = 0.346 * | r = 0.429 * | r = 0.350 * | r = 0.737 * |
| p = 0.872 | p < 0.001 | p = 0.019 | p = 0.003 | p = 0.017 | p < 0.001 | |
| z3 | r = 0.211 | r = 0.326 * | r = 0.244 | r = 0.095 | r = 0.281 | r = 0.470 * |
| p = 0.160 | p = 0.027 | p = 0.102 | p = 0.529 | p = 0.058 | p < 0.001 | |
| z4 | r = 0.259 | r = 0.362 * | r = 0.177 | r = 0.034 | r = 0.241 | r = 0.322 * |
| p = 0.082 | p = 0.013 | p = 0.239 | p = 0.822 | p = 0.107 | p = 0.029 | |
| z5 | r = 0.098 | r = 0.281 | r = 0.064 | r = −0.180 | r = 0.037 | r = −0.056 |
| p = 0.518 | p = 0.058 | p = 0.671 | p = 0.230 | p = 0.809 | p = 0.711 | |
| Acc2 | r = −0.103 | r = 0.223 | r = 0.230 | r = −0.069 | r = 0.266 | r = 0.642 * |
| p = 0.501 | p = 0.141 | p = 0.124 | p = 0.651 | p = 0.074 | p < 0.001 | |
| Acc3 | r = 0.216 | r = 0.083 | r = 0.140 | r = 0.191 | r = 0.085 | r = 0.290 |
| p = 0.155 | p = 0.588 | p = 0.354 | p = 0.205 | p = 0.575 | p = 0.051 | |
| Dec2 | r = 0.005 | r = 0.447 * | r = 0.365 * | r = 0.220 | r = 0.378 * | r = 0.654 * |
| p = 0.975 | p = 0.002 | p = 0.013 | p = 0.143 | p = 0.010 | p < 0.001 | |
| Dec3 | r = 0.204 | r = 0.060 | r = 0.146 | r = 0.186 | r = 0.144 | r = 0.384 * |
| p = 0.180 | p = 0.694 | p = 0.344 | p = 0.216 | p = 0.339 | p = 0.008 | |
Disclaimer/Publisher’s Note: The statements, opinions and data contained in all publications are solely those of the individual author(s) and contributor(s) and not of MDPI and/or the editor(s). MDPI and/or the editor(s) disclaim responsibility for any injury to people or property resulting from any ideas, methods, instructions or products referred to in the content. |
© 2023 by the authors. Licensee MDPI, Basel, Switzerland. This article is an open access article distributed under the terms and conditions of the Creative Commons Attribution (CC BY) license (https://creativecommons.org/licenses/by/4.0/).
Share and Cite
Michaildis, Y.; Bagkos, T.; Kaldaras, V.; Gissis, I.; Metaxas, T.Ι. The Profile of the Internal Load of Amateur Soccer Players during Official Matches with Formation 1-4-3-3 and Relationships with Indexes of External Load. Appl. Sci. 2024, 14, 258. https://doi.org/10.3390/app14010258
Michaildis Y, Bagkos T, Kaldaras V, Gissis I, Metaxas TΙ. The Profile of the Internal Load of Amateur Soccer Players during Official Matches with Formation 1-4-3-3 and Relationships with Indexes of External Load. Applied Sciences. 2024; 14(1):258. https://doi.org/10.3390/app14010258
Chicago/Turabian StyleMichaildis, Yiannis, Thomas Bagkos, Vasilis Kaldaras, Ioannis Gissis, and Thomas Ι. Metaxas. 2024. "The Profile of the Internal Load of Amateur Soccer Players during Official Matches with Formation 1-4-3-3 and Relationships with Indexes of External Load" Applied Sciences 14, no. 1: 258. https://doi.org/10.3390/app14010258
APA StyleMichaildis, Y., Bagkos, T., Kaldaras, V., Gissis, I., & Metaxas, T. Ι. (2024). The Profile of the Internal Load of Amateur Soccer Players during Official Matches with Formation 1-4-3-3 and Relationships with Indexes of External Load. Applied Sciences, 14(1), 258. https://doi.org/10.3390/app14010258

