Highlighting the Terroir Influence on the Aromatic Profile of Two Romanian White Wines
Abstract
:1. Introduction
2. Materials and Methods
2.1. Reagents and Standards
2.2. Determination of the Folin–Ciocalteu Index
2.3. Determination of Total Polyphenol Index (TPI)
2.4. GC-MS Determination of Aroma Compounds
2.5. Statistical Analysis
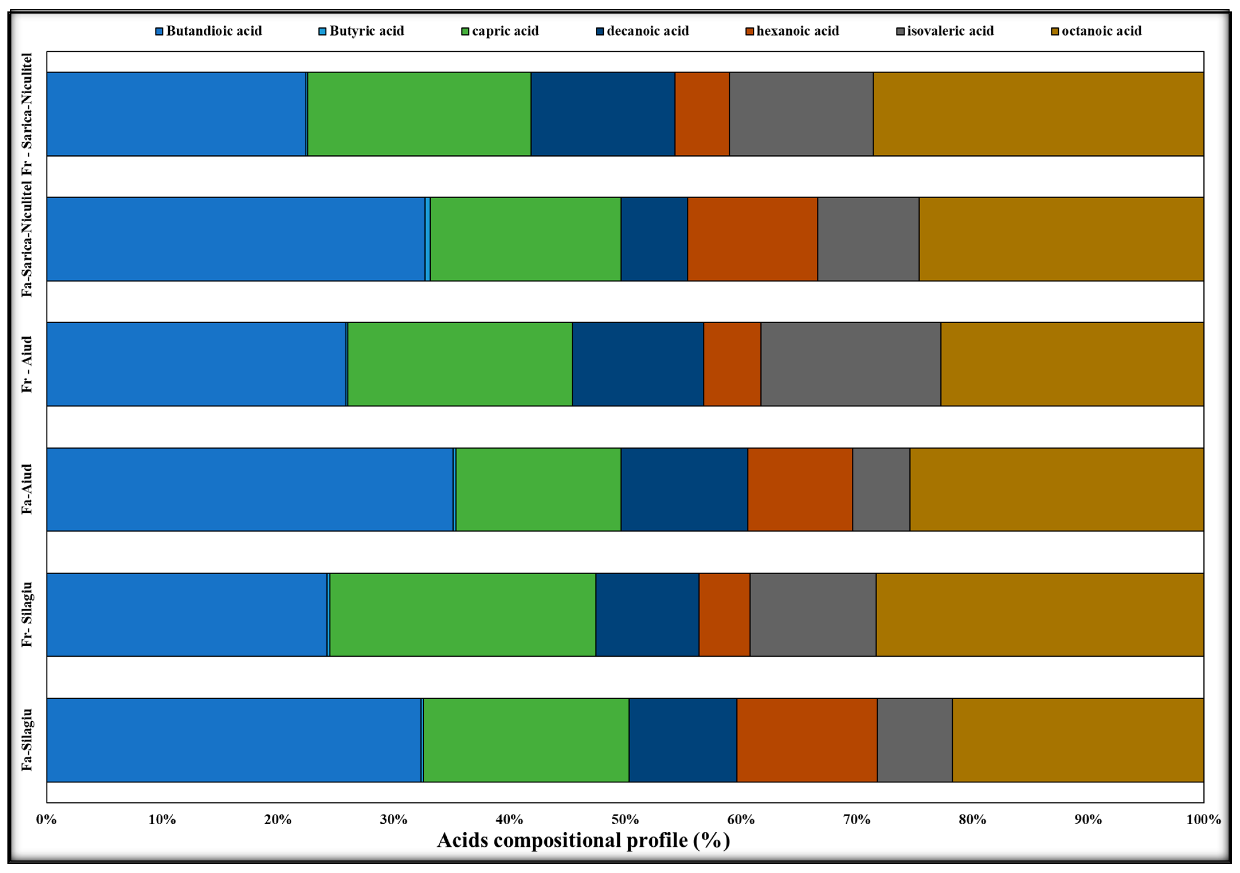
3. Results and Discussion
4. Conclusions
Supplementary Materials
Author Contributions
Funding
Institutional Review Board Statement
Informed Consent Statement
Data Availability Statement
Acknowledgments
Conflicts of Interest
References
- Antoce, A.O.; Calugaru, L.L. Evolution of grapevine surfaces in Romania after accession to European Union—Period 2007–2016, BIO Web of Conferences 9. In Proceedings of the 40th World Congress of Vine and Wine, Sofia, Bulgaria, 29 May–2 June 2017. [Google Scholar] [CrossRef]
- Șandru, D. The Influence of Geomorphology on the Sensorial Quality of Red Wines from the Șarba wine region, Odobești Vineyard. Int. Lett. Nat. Sci. 2015, 49, 44–49. [Google Scholar] [CrossRef]
- Irimia, L.M.; Patriche, C.V.; Quenol, H.; Sfîcă, L.; Foss, C. Shifts in climate suitability for wine production as a result of climate change in a temperate climate wine region of Romania. Theor. Appl. Clim. 2018, 131, 1069–1081. [Google Scholar] [CrossRef]
- Lengyel, E. Primary aromatic character of wines. Acta Univ. Cibiniensis 2012, 16, 3–18. Available online: https://saiapm.ulbsibiu.ro/cercetare/ACTA_E/AUCFT2012_I_3_18.pdf (accessed on 11 December 2023).
- Korenika, J.A.-M.; Preiner, D.; Tomaz, I.; Jeromel, A. Volatile profile characterization of croatian commer-cial sparkling wines. Molecules 2020, 25, 4349. [Google Scholar] [CrossRef] [PubMed]
- Rebenciuc, I.; Lengyel, E.; Stegăruș, D.I.; Alexe, P.; Călugăr, A. Identification and quantification of total polyphenols in musts and aromatic and semi-aromatic wines. Adv. Agric. Bot. 2020, 12, 106–111. Available online: https://www.proquest.com/openview/8493295a6c4d7430eba14a9862fcbff6/1?pq-origsite=gscholar&cbl=2046428 (accessed on 11 December 2023).
- Chapman, D.M.; Roby, G.; Ebeler, S.E.; Guinard, J.-X.; Matthews, M.A. Sensory attributes of Cabernet Sauvignon wines made from vines with different water status. Aust. J. Grape Wine Res. 2005, 11, 339–347. [Google Scholar] [CrossRef]
- Muñoz-Bernal, Ó.A.; Vazquez-Flores, A.A.; de la Rosa, L.A.; Rodrigo-García, J.; Martínez-Ruiz, N.R.; Alvarez-Parrilla, E. Enriched Red Wine: Phenolic Profile, Sensory Evaluation and In Vitro Bioaccessibility of Phenolic Compounds. Foods 2023, 12, 1194. [Google Scholar] [CrossRef] [PubMed]
- Ribéreau-Gayon, P.; Glories, Y.; Maujean, A.; Dubourdieu, D. The Chemistry of Wine Stabilization and Treatments, 3rd ed.; John Wiley & Sons, Ltd.: Hoboken, NJ, USA, 2006; Volume 2. [Google Scholar]
- Rebenciuc, I. Vinurile Moldovenești—Aromă și Savoare; Editura Universitatii Lucian Blaga din Sibiu: Sibiu, Romania, 2020. [Google Scholar]
- Ristic, R.; Downey, M.O.; Iland, P.G.; Bindon, K.; Francis, I.L.; Herderich, M.; Robinson, S.P. Exclusion of sunlight from Shiraz grapes alters wine colour, tannin and sensory properties. Aust. J. Grape Wine Res. 2007, 13, 53–65. [Google Scholar] [CrossRef]
- Blancquaert, E.H.; Oberholster, A.; Ricardo-Da-Silva, J.M.; Deloire, A.J. Effect of Light Quality on Fruit Growth, Composition and the Sensory Impact of the Wines. S. Afr. J. Enol. Vitic. 2019, 40, 141–156. [Google Scholar] [CrossRef]
- Bureau, S.M.; Razungles, A.J.; Baumes, R.L. The aroma of Muscat of Frontignan grapes: Effect of the light environment of vine or bunch on volatiles and glycoconjugates. J. Sci. Food Agric. 2000, 80, 2012. [Google Scholar] [CrossRef]
- Aragón-García, F.; Ruíz-Rodríguez, A.; Palma, M. Changes in the Aromatic Compounds Content in the Muscat Wines as a Result of the Application of Ultrasound during Pre-Fermentative Maceration. Foods 2021, 10, 1462. [Google Scholar] [CrossRef] [PubMed]
- Vilanova, M.; Ugliano, M.; Siebert, T.; Pretorius, I.J.; Henschke, P.A. Assimilable nitrogen utilization and production of volatile and nonvolatile compounds in chemically defined medium by Saccharomyces cerevisiae wine strains. App. Microbiol. Biotechnol. 2007, 77, 145–157. [Google Scholar] [CrossRef]
- Ferreira, V.; De-la-Fuente, A.; Sáenz-Navajas, M.P. Wine aroma vectors and sensory attributes. In Managing Wine Quality, 2nd ed.; Elsevier: Amsterdam, The Netherlands, 2020; pp. 1–20. [Google Scholar]
- Rodriguez-Bencomo, J.J.; Conde, J.E.; Rodriguez-Delgado, M.A.; Garcia-Montelongo, F.; Perez-Trujillo, J.P. Determination of esters in dry and sweet white wines by headspace solid-phase microextraction and gas chromatography. J. Chromatogr. A 2002, 963, 213–223. [Google Scholar] [CrossRef]
- de-la-Fuente-Blanco, A.; Sáenz-Navajas, M.P.; Valentin, D.; Ferreira, V. Fourteen ethyl esters of wine can be replaced by simpler ester vectors without compromising quality but at the expense of increasing aroma concentration. Food Chem. 2020, 307, 125553. [Google Scholar] [CrossRef] [PubMed]
- Gutiérrez-Escobar, R.; Aliaño-González, M.J.; Cantos-Villar, E. Wine Polyphenol Content and Its Influence on Wine Quality and Properties: A Review. Molecules 2021, 26, 718. [Google Scholar] [CrossRef] [PubMed]
- Merkytė, V.; Longo, E.; Windisch, G.; Boselli, E. Phenolic Compounds as Markers of Wine Quality and Authenticity. Foods 2020, 9, 1785. [Google Scholar] [CrossRef] [PubMed]
- Kupsa, J.; Pavloušek, P.; Kumšta, M.; Lampir, L. Phenolic profiles of Riesling wines originating from different terroirs of the Czech Republic. Mitt. Klosterneubg. 2017, 67, 182–193. [Google Scholar]
- Li, S.; Zhu, B.; Reeves, M.J.; Duan, C. Phenolic Analysis and Theoretic Design for Chinese Commercial Wines’ Authentication. Food Sci. 2018, 83, 13961. [Google Scholar] [CrossRef]
- Urvieta, R.; Buscema, F.; Bottini, R.; Coste, B.; Fontana, A. Phenolic and sensory profiles discriminate geographical indications for Malbec wines from different regions of Mendoza. Food Chem. 2018, 265, 120–127. [Google Scholar] [CrossRef]
- Cejudo-Bastante, M.J.; Vicario, A.; Guillén, D.A.; Hermosín-Gutiérrez, I.; Pérez-Coello, M.S. Phenolic characterization of minor red grape varieties grown in Castilla-La Mancha region in different vinification stages. Eur. Food Res. Technol. 2015, 240, 595–607. [Google Scholar] [CrossRef]
- Ragusa, A.; Centonze, C.; Grasso, M.E.; Latronico, M.F.; Mastrangelo, P.F.; Sparascio, F.; Fanizzi, F.P.; Maffia, M. A Comparative Study of Phenols in Apulian Italian Wines. Foods 2017, 6, 24. [Google Scholar] [CrossRef] [PubMed]
- Jagatić Korenika, A.M.; Maslov Bandic, L.; Jakobović, S.; Palčić, I.; Jeromel, A. Comparative study of aromatic and polyphenolic profiles of Croatian white Wines produced by cold maceration. Czech J. Food Sci. 2018, 36, 459–469. [Google Scholar] [CrossRef]
- Wang, D.; Duan, C.Q.; Shi, Y.; Zhu, B.Q.; Javed, H.U.; Wang, J. Free and glycosidically bound volatile compounds in sun-dried raisins made from different fragrance intensities grape varieties using a validated HS-SPME with GC-MS method. Food Chem. 2017, 228, 125–135. [Google Scholar] [CrossRef] [PubMed]
- Moroșanu, A.M.; Luchian, C.E.; Niculaua, M.; Colibaba, C.L.; Tarțian, A.C.; Cotea, V.V. Assessemnet of major volatile and phenolic compunds from Fetească regală wine samples after pre-fermentative treatments using GC-MS analysis and HPLC analysis. Not. Bot. Horti Agrobot. 2018, 46, 247–259. [Google Scholar] [CrossRef]
- Urcan, D.E.; Lung, M.L.; Giacosa, S.; Torchio, F.; Ferrandino, A.; Vincenzi, S.; Río Segade, S.; Pop, N.; Rolle, L. Phenolic Substances, Flavor Compounds, and Textural Properties of Three Native Romanian Wine Grape Varieties. Int. J. Food Prop. 2016, 19, 76–98. [Google Scholar] [CrossRef]
- Câmpeanu, G.; Burcea, M.; Doneanu, C.; Namolosanu, I.; Visan, L. GC/MS characterization of the volatiles isolated from the wines obtained from the indigenous cultivar Feteasca Regalã. Analusis 1998, 26, 93–97. [Google Scholar] [CrossRef]
- Stancu, A.; Calin, C.; Pantea, O.; Ene, C. Identification of Correlations Between Chemical Substances and Sensory Characteristics of Feteasca Alba via Bravais-Pearson Coefficient. Rev. Chim. 2015, 66, 778. [Google Scholar]
- Jakabová, S.; Fikselová, M.; Mendelová, A.; Ševčík, M.; Jakab, I.; Aláčová, Z.; Kolačkovská, J.; Ivanova-Petropulos, V. Chemical Composition of White Wines Produced from Different Grape Varieties and Wine Regions in Slovakia. Appl. Sci. 2021, 11, 11059. [Google Scholar] [CrossRef]
- Lampir, L.; Pavlousek, P. Influence of Locality on Content of Phenolic Compounds in White Wines. Czech J. Food Sci. 2013, 31, 619–626. [Google Scholar] [CrossRef]
- Magdas, D.A.; Cozar, B.I.; Feher, I.; Guyon, F.; Dehelean, A.; Pinzaru, S.C. Testing the limits of FT-Raman spectroscopy for wine authentication: Cultivar, geographical origin, vintage and terroir effect influence. Sci. Rep. 2019, 27, 19954. [Google Scholar] [CrossRef]
- McAllister, A. Wine Grapes Are Highly Sensitive to Changes in Climate. So How Will the Future of Wine Be Impacted by Global Warming? Available online: https://www.zurich.com/en/media/magazine/2021/how-does-climate-change-affect-wine (accessed on 12 September 2023).
- Dobrei, A.; Mălăescu, M.; Ghiţă, A.; Dărăbuş, R.; Cristea, T. Researches on the evolution of the annual biological cycle at some grape varieties under different pedo-climatic conditions. Horticulture 2009, 13, 458–461. [Google Scholar]
- Giugea, N.; Muntean, C.; Mărăcineanu, L.C.; Călugăru, V. Resurse Oenoturistice; Alma Publishing House: Craiova, Romania, 2020; pp. 48–49. [Google Scholar]
- Cotea, V.V.; Focea, M.C.; Luchian, C.E.; Colibaba, L.C.; Scutarașu, E.C.; Marius, N.; Zamfir, C.I.; Popîrdă, A. Influence of Different Commercial Yeasts on Volatile Fraction of Sparkling Wines. Foods 2021, 10, 247. [Google Scholar] [CrossRef] [PubMed]
- International Organisation of Vine and Wine. Method OIV-MA-AS2-10 Type IV Method, Folin-Ciocalteu Index (Recueil OIV ed.1990 Revised by OIV/OENO 377/2009)—Compendium of International Methods of Analysis-OIV; OIV—OIV-MA-INT-00-2023—12, Parvis de L’UNESCO; Editure (Alma Editure): Dijon, France, 2023; Volume 1. [Google Scholar]
- Țârdea, C. Chimia și Analiza Vinului Ed; Ion Ionescu de la Brad: Dijon, France, 2007. [Google Scholar]
- Lin, L.; Yang, W.; Wei, X.; Wang, Y.; Zhang, L.; Zhang, Y.; Zhang, Z.; Zhao, Y.; Zhao, M. Enhancement of Solasodine Extracted from Fruits of Solanum nigrum L. by Microwave-Assisted Aqueous Two-Phase Extraction and Analysis by High-Performance Liquid Chromatography. Molecules 2019, 24, 2294. [Google Scholar] [CrossRef] [PubMed]
- Miricioiu, M.G.; Ionete, R.E.; Simova, S.; Gerginova, D.; Botoran, O.R. Metabolite Profiling of Conifer Needles: Tracing Pollution and Climate Effects. Int. J. Mol. Sci. 2023, 24, 14986. [Google Scholar] [CrossRef] [PubMed]
- Gerogiannaki-Christopoulou, M. Development for a procedure for the determination of 2-phenylethanol in hellenic wine distillates (Vitis vinifera L.) and their changes during distillation. J. Int. Sci. Vigne Vin. 2009, 43, 171–178. [Google Scholar] [CrossRef]
- Popa, D. Study of the quality potential in the Biharia vineyard of the authorized varieties in the Crisana region. Ann. Univ. Oradea Fascicle Environ. Prot. 2021, XXXVI, 105–108. [Google Scholar]
- Avram, V.; Floare, C.G.; Hosu, A.; Cimpoiu, A.; Măruţoiu, C.; Moldovan, Z. Characterization of Romanian Wines by Gas Chromatography–Mass Spectrometry. Anal. Lett. 2015, 48, 1099–1116. [Google Scholar] [CrossRef]
- Alexandrov, E.; Gaina, B. The Concentration of the Terpene Alcohols from the Juice of Berry of the Interspecific Hybrids to the Vines (Vitis vinifera L. X Muscadinia rotundifolia Michx.), Scientific Papers Series Management. Econ. Eng. Agric. Rural. Dev. 2016, 16, 27–30. [Google Scholar]
- Lasik-Kurdyś, M.; Majcher, M.; Nowak, J. Effects of Different Techniques of Malolactic Fermentation Induction on Diacetyl Metabolism and Biosynthesis of Selected Aromatic Esters in Cool-Climate Grape Wines. Molecules 2018, 23, 2549. [Google Scholar] [CrossRef]
- Bao, J.; Zhen-Wen, Z.; Jun-Xian, Z. Effect of terrains on the volatiles of Cabernet Sauvignon wines grown in Loess Plateau region of China. Afr. J. Biotechnol. 2012, 11, 8280–8287. [Google Scholar] [CrossRef]
- Chidi, B.S.; Rossouw, D.; Buica, S.; Bauer, F.F. Determining the Impact of Industrial Wine Yeast Strains on Organic Acid Production Under White and Red Wine-like Fermentation Conditions. S. Afr. J. Enol. Vitic. 2015, 36, 316–327. [Google Scholar] [CrossRef]
- Vieira da MOTA, R.; Peregrino, I.; Pinheiro, C.; Carvalho, S.; Henrique, R.; Raimundo, R.H.P.; Fernandes, F.P.F.; Souza, C. Row orientation effects on chemical composition and aromatic profile of Syrah winter wines. Food Sci. Technol. 2021, 41, 412–417. [Google Scholar] [CrossRef]
- Robles, A.; Fabjanowicz, M.; Płotka-Wasylka, J.; Konieczka, P. Organic acids and polyphenols determination in Polish wines by ultrasound-assisted solvent extraction of porous membrane-packed liquid samples. Molecules 2019, 24, 4376. [Google Scholar] [CrossRef] [PubMed]
- Niculaua, M.; Nechita, B.; Colibaba, L.C.; Moraru, I.; Zamfir, C.; Cotea, V. Organic acids determination in Romanian wines by HPLC method. In Proceedings of the 37th OIV Congress, Mendoza, Argentina, 9–14 November 2014. [Google Scholar] [CrossRef]
- Scutarașu, E.C.; Luchian, C.E.; Vlase, L.; Nagy, K.; Colibaba, L.C.; Trinca, L.C.; Cotea, V.V. Influence Evaluation of Enzyme Treatments on Aroma Profile of White Wines. Agronomy 2022, 12, 2897. [Google Scholar] [CrossRef]
- Fariña, L.; Boido, E.; Carrau, F.; Versini, G.; Dellacassa, E. Terpene Compounds as Possible Precursors of 1,8-Cineole in Red Grapes and Wines. J. Agric. Food Chem. 2005, 53, 1633–1636. [Google Scholar] [CrossRef] [PubMed]
- Michlmayr, H.; Nauer, S.; Brandes, W.; Schümann, C.; Kulbe, K.D.; Hierro, A.; Eder, R. Release of wine monoterpenes from natural precursors by glycosidases from Oenococcus oeni. Food Chem. 2012, 135, 80–87. [Google Scholar] [CrossRef]
- Takoi, K.; Itoga, Y.; Koie, K.; Kosugi, T.; Shimase, M.; Katayama, Y.; Nakayama, Y.; Watari, J. The Contribution of Geraniol Metabolism to the Citrus Flavour of Beer: Synergy of Geraniol and β-Citronellol Under Coexistence with Excess Linalool. J. Inst. Brew. 2010, 116, 251–260. [Google Scholar] [CrossRef]
- Peterson, A.L.; Waterhouse, A.L. 1H NMR: A Novel Approach to Determining the Thermodynamic Properties of Acetaldehyde Condensation Reactions with Glycerol, (+)-Catechin, and Glutathione in Model Wine. J. Agric. Food Chem. 2016, 36, 6869–6878. [Google Scholar] [CrossRef]
- Pereira, V.; Albuquerque, F.M.; Ferreira, A.C.; Cacho, J.; Marques, J.C. Evolution of 5-hydroxymethylfurfural (HMF) and furfural (F) in fortified wines submitted to overheating conditions. Food Res. Int. 2011, 44, 71–76. [Google Scholar] [CrossRef]
- Dumitriu Gabur, G.D.; Teodosiu, C.; Cotea, V.V.; Peinado, R.A.; Gabur, I.; Lopez de Lerma, N. Study of volatile compounds of romanian red wines aged with oak chips. Environ. Eng. Manag. J. 2020, 19, 229–234. Available online: http://www.eemj.icpm.tuiasi.ro/ (accessed on 11 December 2023).
- Pérez-Jiménez, M.; Pozo-Bayón, M.Á. Development of an in-mouth headspace sorptive extraction method (HSSE) for oral aroma monitoring and application to wines of different chemical composition. Food Res. Int. 2019, 121, 97–107. [Google Scholar] [CrossRef] [PubMed]
- Carneiro, C.N.; Gomez, F.J.V.; Spisso, A.; Silva, M.F.; Azcarate, S.M.; Dias, F.D.S. Geographical characterization of South America wines based on their phenolic and melatonin composition: An exploratory analysis. Microchem. J. 2020, 158, 105240. [Google Scholar] [CrossRef]
- Daniel Blanco-Ward, D.; Monteiro, A.; Lopes, M.; Borrego, C.; Silveira, C.; Viceto, C.; Rocha, A.; Ribeiro, A.; Andrade, J.; Feliciano, M.; et al. Climate change impact on a wine-producing region using a dynamical downscaling approach: Climate parameters, bioclimatic indices and extreme indices. Int. J. Climatol. 2019, 39, 5741–5760. [Google Scholar] [CrossRef]
- Lukić, I.; Radeka, S.; Budić-Leto, I.; Bubola, M.; Vrhovsek, U. Targeted UPLC-QqQ-MS/MS profiling of phenolic compounds for differentiation of monovarietal wines and corroboration of particular varietal typicity concepts. Food Chem. 2019, 300, 125251. [Google Scholar] [CrossRef] [PubMed]
- Cozzolino, R.; De Giulio, B.; Petriccione, M.; Martignetti, A.; Malorni, L.; Zampella, L.; Laurino, C.; Pellicano, M.P. Comparative analysis of volatile metabolites, quality and sensory attributes of Actinidia chinensis fruit. Food Chem. 2020, 316, 126340. [Google Scholar] [CrossRef]
- Lazarević, J.S.; Đorđević, A.S.; Kitić, D.V.; Zlatković, B.K.; Stojanović, G.S. Chemical composition and antimicrobial activity of the essential oil of Stachys officinalis (L.) Trevis. (Lamiaceae). Chem. Biodivers. 2013, 10, 1335–1349. [Google Scholar] [CrossRef]
- Perestrelo, R.; Bordiga, M.; Locatelli, M.; Silva, C.; Câmara, J.S. Polyphenols, biogenic amines and amino acids patterns in Verdelho wines according to vintage. Microchem. J. 2020, 153, 104383. [Google Scholar] [CrossRef]







| Indicator | Silagiu Vineyard (Dealurile Banatului) | Aiud Vineyard (Podișul Transilvania) | Sarica Niculitel Colinele Dobrogei | |||
|---|---|---|---|---|---|---|
| Geology | limestone | limestone, clay | limestone, sand | |||
| Soil | rendzinas | rendzinas chermozems | chermozems alluvial | |||
| Soil pH | 6.2–7.8 | 5.5–7.2 | 6.8–7.5 | |||
| Soil average temperature at 50 cm | 11.4 | 10.2 | 10.8 | |||
| Culture orientation | south, southeast, southwest | south, southeast, southwest | north | |||
| Time period | 2021 | 2009–2013 | 2021 | 2009–2013 | 2021 | 2009–2013 |
| Annual average temperature (°C) | 10.8 | 10.0 | 9.7 | 9.0 | 10.6 | 10.0 |
| Sum of the active temperatures ≥10 °C (1 April–30 September) | 3292.4 | 3207.0 | 2896.7 | 2789.8 | 3396.1 | 3311.3 |
| ASD (hours: 1 April–30 September) | 1512.4 | 1493.6 | 1456.3 | 1409.9 | 1622.8 | 1607.3 |
| Precipitation (mm) | 406.2 | 385.6 | 468.7 | 413.2 | 278.5 | 266.7 |
| Oenoclimate aptitude index (IAOe) | 4648.6 | 4565 | 4134.3 | 4036.5 | 4990.4 | 4901.9 |
| Area | IAOe | Wine Type | ƩAlcohols (µg/L) | ƩEsters (µg/L) | ƩAcids (µg/L) | ƩOthers (µg/L) | ƩTotal aromas (µg/L) |
|---|---|---|---|---|---|---|---|
| Silagiu/Dealurile Banatului | 4648.6 | Feteasca alba | 20,470.00 | 3592.40 | 5667.09 | 175.62 | 29,905.11 |
| Feteasca regala | 22,615.17 | 3328.66 | 4724.84 | 191.83 | 30,860.5 | ||
| Aiud/Podișul Transilvaniei | 4134.3 | Feteasca alba | 21,254.91 | 3195.90 | 5510.40 | 184.71 | 30,145.92 |
| Feteasca regala | 24,135.16 | 3877.72 | 4403.52 | 188.31 | 32,604.71 | ||
| Sarica Niculitel/Colinele Dobrogei | 4990.4 | Feteasca alba | 17,902.73 | 3348.06 | 5290.35 | 205.71 | 26,746.85 |
| Feteasca regala | 24,538.48 | 3728.01 | 4920.15 | 222.94 | 33,409.58 |
| Aroma | Code |
|---|---|
| 1-heptanol | A1 |
| 1-hexanol | A2 |
| 2,3-butandiol | A3 |
| 2-nonanol | A4 |
| 2-pentanol | A5 |
| 2-phenyl ethanol | A6 |
| 3-methylthio-1-propanol | A7 |
| benzyl alcohol | A8 |
| e-3-hexenol | A9 |
| isopentyl alcohol | A10 |
| linalool | A11 |
| beta-linalool | A12 |
| n-amyl alcohol | A13 |
| n-propanol | A14 |
| terpineol | A15 |
| trans-geraniol | A16 |
| z-3-hexenol | A17 |
| methyl-4-hydroxy butanoate | E1 |
| diethyl succinate | E2 |
| ethyl hexanoate | E3 |
| ethyl butyrate | E4 |
| ethyl decanoate | E5 |
| ethyl octanoate | E6 |
| n-hexyl acetate | E7 |
| 2-phenethyl acetate | E8 |
| butandioic acid | F1 |
| butyric acid | F2 |
| capric acid | F3 |
| decanoic acid | F4 |
| hexanoic acid | F5 |
| isovaleric acid | F6 |
| octanoic acid | F7 |
| eucalyptol | T1 |
| beta-citronellol | T2 |
| acetal | T3 |
| furfural | T4 |
Disclaimer/Publisher’s Note: The statements, opinions and data contained in all publications are solely those of the individual author(s) and contributor(s) and not of MDPI and/or the editor(s). MDPI and/or the editor(s) disclaim responsibility for any injury to people or property resulting from any ideas, methods, instructions or products referred to in the content. |
© 2023 by the authors. Licensee MDPI, Basel, Switzerland. This article is an open access article distributed under the terms and conditions of the Creative Commons Attribution (CC BY) license (https://creativecommons.org/licenses/by/4.0/).
Share and Cite
Popescu, D.I.; Botoran, O.R.; Ionete, R.E.; Sandru, D.; Sutan, N.A.; Niculescu, V.-C. Highlighting the Terroir Influence on the Aromatic Profile of Two Romanian White Wines. Appl. Sci. 2024, 14, 19. https://doi.org/10.3390/app14010019
Popescu DI, Botoran OR, Ionete RE, Sandru D, Sutan NA, Niculescu V-C. Highlighting the Terroir Influence on the Aromatic Profile of Two Romanian White Wines. Applied Sciences. 2024; 14(1):19. https://doi.org/10.3390/app14010019
Chicago/Turabian StylePopescu (Stegarus), Diana Ionela, Oana Romina Botoran, Roxana Elena Ionete, Daniela Sandru, Nicoleta Anca Sutan, and Violeta-Carolina Niculescu. 2024. "Highlighting the Terroir Influence on the Aromatic Profile of Two Romanian White Wines" Applied Sciences 14, no. 1: 19. https://doi.org/10.3390/app14010019
APA StylePopescu, D. I., Botoran, O. R., Ionete, R. E., Sandru, D., Sutan, N. A., & Niculescu, V.-C. (2024). Highlighting the Terroir Influence on the Aromatic Profile of Two Romanian White Wines. Applied Sciences, 14(1), 19. https://doi.org/10.3390/app14010019

