Addition of Organic Matter to Pine Plantations on Agricultural Land Positively Alters the Mycobiome of Agricultural Soils
Abstract
1. Introduction
2. Materials and Methods
2.1. Analysis of Mycobiome
2.2. Analysis of Fungal Biodiversity
3. Results
3.1. Precipitation and Temperature in the Vicinity of the Observation Plots
3.2. Validation of the Measurements Results
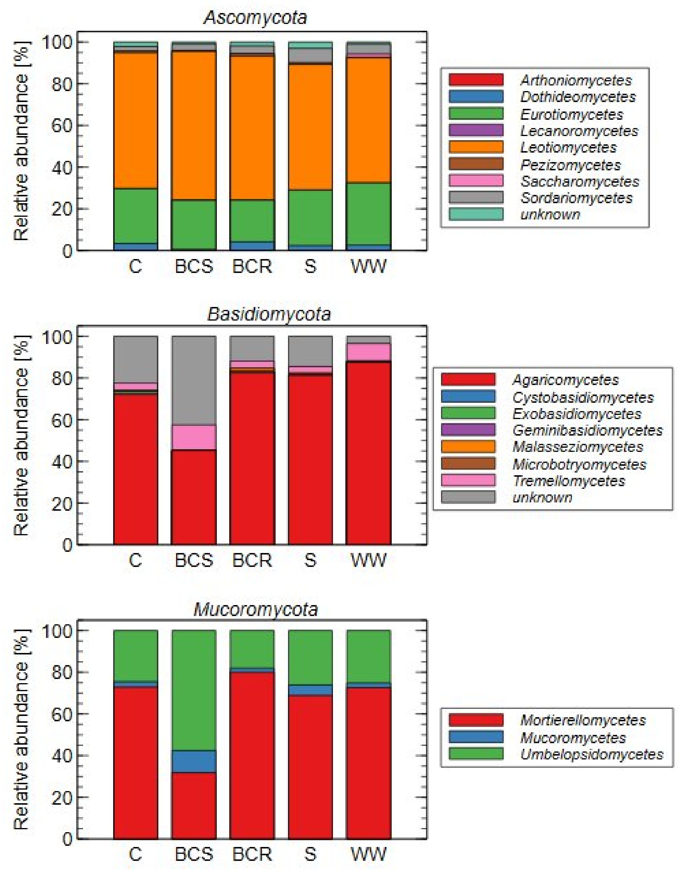
3.3. Mycobione Abundance Analysis
3.4. Species Diversity Analysis
3.4.1. Venn Diagram Analysis
3.4.2. Shannon Alpha-Diversity Index
3.4.3. Bray-Curtis Dissimilarity
3.4.4. Hierarchical Grouping Analysis
4. Discussion
4.1. Possible Influence of Precipitation and Temperature on Pine Seedlings
4.2. Successful Afforestation Problem-Oriented Solution Approach
4.3. Observed Positive Changes in Soil Mycobiomes after Treatments
5. Conclusions
- The introduction of organic material is able to positively change the soil mycobiome, which is characteristic of agricultural land and approaches the typical forest ecosystem. The proportion of fungi belonging to the Ascomycota decreased in favour of species from the Basidiomycota and Mucoromycota. Beneficial mycorrhizal fungi such as Russula and Amanita appeared after enriching the soil with wood residues or sawdust.
 - The application of wood residues, sawdust, or compost to the soil surface increased soil biodiversity on agricultural land 20 years later, e.g., by promoting the beneficial genus Inocybe, which increased after supplementation with compost added to the roots or spread on the soil surface. A comparative analysis of fungal diversity with the Shannon diversity index showed that the most diverse fungal communities were found in the sawdust plant. Undesirable fungi causing diseases in animals from the genus Sagenomella, such as Sagenomella chlamydospora, were prevalent in the soils after agricultural use (control).
 - Ploughed strips, where seedlings of forest-forming species were planted after enrichment of the soil with organic matter, seem to be the right management for the establishment of the first generation of pines on post-agricultural land.
 - When an antagonistic myobiome against forest pathogens has developed in agricultural soils, the threat from root and butt rot diseases is lower because the high species diversity does not allow any of the organisms to develop en masse and dominate. Antagonistic fungi against the pathogen Heterobasidion, such as Penicillium, were more frequent or even twice as frequent as in the control group after the addition of wood residues or sawdust.
 - The enrichment of soils with organic matter after agricultural use can be regarded as a preventive method for sustainable forest management and with regard to integrated pest management (IPM).
 - Based on the results of the analysis of data on the occurrence and diversity of species and functional groups of fungi in soils converted from agricultural to forestry use, it was confirmed that the methods of investigation used, as well as DNA analyses of the mycobiome, are very well suited to assessing the degree of transformation of the soil mycobiome and the need for the support of soil processes with regard to the conversion of the mycobiome to forestry use.
 
Author Contributions
Funding
Institutional Review Board Statement
Informed Consent Statement
Data Availability Statement
Conflicts of Interest
Appendix A. Fungal Fruiting Bodies Found in the Treatment Plots

Appendix B. Meteorological Conditions during the Experiment


References
- Gann, G.D.; McDonald, T.; Walder, B.; Aronson, J.; Nelson, C.R.; Jonson, J.; Hallett, J.G.; Eisenberg, C.; Guariguata, M.R.; Liu, J.; et al. International principles and standards for the practice of ecological restoration. Restor. Ecol. 2019, 27, S1–S46. [Google Scholar] [CrossRef]
 - Bożętka, B. Przywracanie ekosystemów leśnych–cele i założenia działań globalnych w kontekście Dekady Przywracania Ekosystemów (2021–2030) ONZ= Forest ecosystem restoration–assumptions and aims of global activities in the context of the United Nations Decade of Ecosystem Restoration (2021–2030). Przegląd Geogr. 2022, 94, 471–501. [Google Scholar]
 - Piri, T.; Vainio, E.J.; Nuorteva, H.; Hantula, J. High seedling mortality of Scots pine caused by Heterobasidion annosum ss. Forests 2021, 12, 1289. [Google Scholar] [CrossRef]
 - Sierota, Z. Heterobasidion root rot in forests on former agricultural lands in Poland: Scale of threat and prevention. Sci. Res. Essays 2013, 8, 2298–2305. [Google Scholar]
 - Oszako, T.; Kukina, O.; Dyshko, V.; Moser, W.K.; Slusarski, S.; Okorski, A.; Borowik, P. Afforestation of Land Abandoned by Farmers Poses Threat to Forest Sustainability due to Heterobasidion spp. Forests 2023, 14, 954. [Google Scholar] [CrossRef]
 - Sierota, Z. Rola grzyba Phlebiopsis gigantea [Fr.: Fr.] Julich w ograniczaniu huby korzeni w drzewostanach sosny zwyczajnej [Pinus sylvestris L.] na gruntach porolnych. Pr. Inst. Badaw. Leśnictwa Ser. A 1995, 810, 1–180. [Google Scholar]
 - Rishbeth, J. Stump protection against Fomes annosus: III. Inoculation with Peniophora gigantea. Ann. Appl. Biol. 1963, 52, 63–77. [Google Scholar] [CrossRef]
 - Gunulf, A.; Wang, L.; Englund, J.E.; Rönnberg, J. Secondary spread of Heterobasidion parviporum from small Norway spruce stumps to adjacent trees. For. Ecol. Manag. 2013, 287, 1–8. [Google Scholar] [CrossRef]
 - Malewski, T.; Borowik, P.; Olejarski, I.; Berezovska, D.; Dyshko, V.; Behnke-Borowczyk, J.; Pusz, W.; Matic, S.; Oszako, T. Mycobiome of Post-Agricultural Soils 20 Years after Application of Organic Substrates and Planting of Pine Seedlings. Forests 2022, 14, 36. [Google Scholar] [CrossRef]
 - Setälä, H.; McLean, M.A. Decomposition rate of organic substrates in relation to the species diversity of soil saprophytic fungi. Oecologia 2004, 139, 98–107. [Google Scholar] [CrossRef]
 - Mhatre, P.; Panchal, R.; Singh, A.; Bibyan, S. A systematic literature review on the circular economy initiatives in the European Union. Sustain. Prod. Consum. 2021, 26, 187–202. [Google Scholar] [CrossRef]
 - Good, P.I. Resampling Methods. A Practical Guide to Data Analysis; Birkhäuser: Boston, MA, USA, 2006. [Google Scholar] [CrossRef]
 - Bonamente, M. Statistics and Analysis of Scientific Data; Springer: New York, NY, USA, 2017. [Google Scholar] [CrossRef]
 - Scikit-Bio Software Package Project. Available online: http://scikit-bio.org/docs/0.5.8/ (accessed on 15 December 2022).
 - Nguyen, D.; Boberg, J.; Ihrmark, K.; Stenström, E.; Stenlid, J. Do foliar fungal communities of Norway spruce shift along a tree species diversity gradient in mature European forests? Fungal Ecol. 2016, 23, 97–108. [Google Scholar] [CrossRef]
 - Hurlbert, S.H. The Nonconcept of Species Diversity: A Critique and Alternative Parameters. Ecology 1971, 52, 577–586. [Google Scholar] [CrossRef]
 - Małecka, M.; Kwaśna, H.; Szewczyk, W. Fungal communities in barren forest soil after amendment with different wood substrates and their possible effects on trees’, pathogens, insects and nematodes. J. Plant Prot. Res. 2015, 55, 301–311. [Google Scholar] [CrossRef]
 - Sierota, Z. An analysis of the root rot spread in a Scots pine stand growing in post-agricultural land. Folia For. Pol. Ser. A Leśnictwo 1997, 39, 27–37. [Google Scholar]
 - Szewczyk, W. Occurrence of Heterobasidion annosum (Fr.) Bref. in the roots of blown down trees in Scots pine stands growing on post-agricultural soil of the experimental forest district Zielonka. Zielonka Acta Sci. Pol. Silv. Colendar Rat. Ind. Lignar 2007, 6, 89–95. [Google Scholar]
 - Mareš, R. The extent of root rot damage in Norway spruce stands established on fertile sites of former agricultural land. J. For. Sci. 2010, 56, 1–6. [Google Scholar] [CrossRef]
 - Frąc, M.; Hannula, S.E.; Bełka, M.; Jędryczka, M. Fungal biodiversity and their role in soil health. Front. Microbiol. 2018, 9, 707. [Google Scholar] [CrossRef]
 - Tedersoo, L.; Bahram, M.; Põlme, S.; Kõljalg, U.; Yorou, N.S.; Wijesundera, R.; Ruiz, L.V.; Vasco-Palacios, A.M.; Thu, P.Q.; Suija, A.; et al. Global diversity and geography of soil fungi. Science 2014, 346, 1256688. [Google Scholar] [CrossRef]
 - Hilszczańska, D.; Ciesielska, A.; Sierota, Z. Enzymatic activity of thelephora terrestris and Hebeloma crustuliniforme in cultures and mycorrhizal association with Scots pine seedlings. Pol. J. Environ. Stud. 2008, 17, 881–886. [Google Scholar]
 - Davydenko, K.; Nowakowska, J.A.; Kaluski, T.; Gawlak, M.; Sadowska, K.; García, J.M.; Diez, J.J.; Okorski, A.; Oszako, T. A Comparative Study of the Pathogenicity of Fusarium circinatum and other Fusarium Species in Polish Provenances of P. sylvestris L. Forests 2018, 9, 560. [Google Scholar] [CrossRef]
 - Rouphael, Y.; Franken, P.; Schneider, C.; Schwarz, D.; Giovannetti, M.; Agnolucci, M.; De Pascale, S.; Bonini, P.; Colla, G. Arbuscular mycorrhizal fungi act as biostimulants in horticultural crops. Sci. Hortic. 2015, 196, 91–108. [Google Scholar] [CrossRef]
 - Morugán-Coronado, A.; Pérez-Rodríguez, P.; Insolia, E.; Soto-Gómez, D.; Fernández-Calviño, D.; Zornoza, R. The impact of crop diversification, tillage and fertilization type on soil total microbial, fungal and bacterial abundance: A worldwide meta-analysis of agricultural sites. Agric. Ecosyst. Environ. 2022, 329, 107867. [Google Scholar] [CrossRef]
 - Zubrod, J.P.; Bundschuh, M.; Arts, G.; Brühl, C.A.; Imfeld, G.; Knäbel, A.; Payraudeau, S.; Rasmussen, J.J.; Rohr, J.; Scharmüller, A.; et al. Fungicides: An overlooked pesticide class? Environ. Sci. Technol. 2019, 53, 3347–3365. [Google Scholar] [CrossRef]
 - Wightwick, A.M.; Reichman, S.M.; Menzies, N.W.; Allinson, G. Industry wide risk assessment: A case study of Cu in Australian vineyard soils. Water Air Soil Pollut. 2013, 224, 1–8. [Google Scholar] [CrossRef]
 - Roman, D.L.; Voiculescu, D.I.; Filip, M.; Ostafe, V.; Isvoran, A. Effects of triazole fungicides on soil microbiota and on the activities of enzymes found in soil: A review. Agriculture 2021, 11, 893. [Google Scholar] [CrossRef]
 - Baćmaga, M.; Wyszkowska, J.; Kucharski, J. The effect of the Falcon 460 EC fungicide on soil microbial communities, enzyme activities and plant growth. Ecotoxicology 2016, 25, 1575–1587. [Google Scholar] [CrossRef]
 - Zhou, J.; Jiang, X.; Zhou, B.; Zhao, B.; Ma, M.; Guan, D.; Li, J.; Chen, S.; Cao, F.; Shen, D.; et al. Thirty four years of nitrogen fertilization decreases fungal diversity and alters fungal community composition in black soil in northeast China. Soil Biol. Biochem. 2016, 95, 135–143. [Google Scholar] [CrossRef]
 - Zhang, N.; Castlebury, L.A.; Miller, A.N.; Huhndorf, S.M.; Schoch, C.L.; Seifert, K.A.; Rossman, A.Y.; Rogers, J.D.; Kohlmeyer, J.; Volkmann-Kohlmeyer, B.; et al. An overview of the systematics of the Sordariomycetes based on a four-gene phylogeny. Mycologia 2006, 98, 1076–1087. [Google Scholar] [CrossRef]
 - Maddison, D.R.; Schulz, K.S.; Maddison, W.P. The tree of life web project. Zootaxa 2007, 1668, 19–40. [Google Scholar] [CrossRef]
 - Geiser, D.M.; Gueidan, C.; Miadlikowska, J.; Lutzoni, F.; Kauff, F.; Hofstetter, V.; Fraker, E.; Schoch, C.L.; Tibell, L.; Untereiner, W.A.; et al. Eurotiomycetes: Eurotiomycetidae and chaetothyriomycetidae. Mycologia 2006, 98, 1053–1064. [Google Scholar] [CrossRef]
 - Hibbett, D.S.; Binder, M.; Bischoff, J.F.; Blackwell, M.; Cannon, P.F.; Eriksson, O.E.; Huhndorf, S.; James, T.; Kirk, P.M.; Lücking, R.; et al. A higher-level phylogenetic classification of the Fungi. Mycol. Res. 2007, 111, 509–547. [Google Scholar] [CrossRef]
 - Doweld, A. Prosyllabus Tracheophytorum: Tentamen Systematis Plantarum Vascularium Tracheophy; LXXX + 110 pp.; Geos: Moscow, Russia, 2001. [Google Scholar]
 - Voigt, K.; Wöstemeyer, J. Phylogeny and origin of 82 zygomycetes from all 54 genera of the Mucorales and Mortierellales based on combined analysis of actin and translation elongation factor EF-1α genes. Gene 2001, 270, 113–120. [Google Scholar] [CrossRef]
 - Schmidt, S.K.; Wilson, K.; Meyer, A.; Gebauer, M.; King, A.J. Phylogeny and ecophysiology of opportunistic “snow molds” from a subalpine forest ecosystem. Microb. Ecol. 2008, 56, 681–687. [Google Scholar] [CrossRef]
 - Tedersoo, L.; Sánchez-Ramírez, S.; Koljalg, U.; Bahram, M.; Döring, M.; Schigel, D.; May, T.; Ryberg, M.; Abarenkov, K. High-level classification of the Fungi and a tool for evolutionary ecological analyses. Fungal Divers. 2018, 90, 135–159. [Google Scholar] [CrossRef]
 - Spatafora, J.W.; Chang, Y.; Benny, G.L.; Lazarus, K.; Smith, M.E.; Berbee, M.L.; Bonito, G.; Corradi, N.; Grigoriev, I.; Gryganskyi, A.; et al. A phylum-level phylogenetic classification of zygomycete fungi based on genome-scale data. Mycologia 2016, 108, 1028–1046. [Google Scholar] [CrossRef]
 - Cannon, P.F.; Kirk, P.M. Fungal Families of the World; Cabi International: Wallingford, UK, 2007. [Google Scholar]
 - Index Fungorum. Available online: https://www.indexfungorum.org/ (accessed on 24 December 2020).
 - Mikola, P. Ectendomycorrhiza of conifers. Silva Fenn. 1988, 22, 19–27. [Google Scholar] [CrossRef]
 - Nakas, J.P.; Hagedorn, C. Biotechnology of Plant-Microbe Interactions; McGraw-Hill: New York, NY, USA, 1990; pp. 287–317. [Google Scholar]
 - Prabhu, V.; Biolchini, P.F.; Boyer, G.L. Detection and identification of ferricrocin produced by ectendomycorrhizal fungi in the genus Wilcoxina. Biometals 1996, 9, 229–234. [Google Scholar] [CrossRef]
 - Yang, C.; Korf, R. Monograph of the genus Tricharina and of a new, segregate genus, Wilcoxina (Pezizales). Mycotaxon 1985, 24, 467–531. [Google Scholar]
 - Kuhad, R.C.; Gupta, R.; Singh, A. Microbial cellulases and their industrial applications. Enzym. Res. 2011, 2011, 280696. [Google Scholar] [CrossRef]
 - de França Passos, D.; Pereira Jr, N.; de Castro, A.M. A comparative review of recent advances in cellulases production by Aspergillus, Penicillium and Trichoderma strains and their use for lignocellulose deconstruction. Curr. Opin. Green Sustain. Chem. 2018, 14, 60–66. [Google Scholar] [CrossRef]
 - Olchowik, J.; Hilszczańska, D.; Bzdyk, R.M.; Studnicki, M.; Malewski, T.; Borowski, Z. Effect of deadwood on ectomycorrhizal colonisation of old-growth oak forests. Forests 2019, 10, 480. [Google Scholar] [CrossRef]
 - Oszako, T.; Olejarski, I. Inicjowanie procesow przeksztalcenia gleb porolnych w gleby lesne poprzez wykorzystanie pozostalosci zrebowych, kompostow i trocin. Pr. Inst. Badaw. Leśnictwa Ser. A 2003, 1, 76–79. [Google Scholar]
 - Park, M.S.; Lee, J.W.; Kim, S.H.; Park, J.H.; You, Y.H.; Lim, Y.W. Penicillium from rhizosphere soil in terrestrial and coastal environments in South Korea. Mycobiology 2020, 48, 431–442. [Google Scholar] [CrossRef]
 - Elias, F.; Woyessa, D.; Muleta, D. Phosphate solubilization potential of rhizosphere fungi isolated from plants in Jimma Zone, Southwest Ethiopia. Int. J. Microbiol. 2016, 2016, 5472601. [Google Scholar] [CrossRef]
 - Altaf, M.M.; Imran, M.; Abulreesh, H.H.; Khan, M.S.; Ahmad, I. Diversity and applications of Penicillium spp. in plant-growth promotion. In New and Future Developments in Microbial Biotechnology and Bioengineering; Elsevier: Amsterdam, The Netherlands, 2018; pp. 261–276. [Google Scholar]
 - Koolen, H.H.F.; Soares, E.R.; da Silva, F.M.A.; de Almeida, R.A.; de Souza, A.D.L.; de Medeiros, L.S.; Rodrigues Filho, E.; de Souza, A.Q.L. An antimicrobial alkaloid and other metabolites produced by Penicillium sp. An endophytic fungus isolated from Mauritia flexuosa L. f. Química Nova 2012, 35, 771–774. [Google Scholar] [CrossRef]
 - He, M.Q.; Zhao, R.L.; Hyde, K.D.; Begerow, D.; Kemler, M.; Yurkov, A.; McKenzie, E.H.; Raspe, O.; Kakishima, M.; Sanchez-Ramirez, S.; et al. Notes, outline and divergence times of Basidiomycota. Fungal Divers. 2019, 99, 105–367. [Google Scholar] [CrossRef]
 - Rice, A.V.; Currah, R.S. Oidiodendron: A survey of the named species and related anamorphs of Myxotrichum. Stud. Mycol. 2005, 53, 83–120. [Google Scholar] [CrossRef]
 - Leopold, D.R. Ericoid fungal diversity: Challenges and opportunities for mycorrhizal research. Fungal Ecol. 2016, 24, 114–123. [Google Scholar] [CrossRef]
 - Vohník, M.; Figura, T.; Réblová, M. Hyaloscypha gabretae and Hyaloscypha gryndleri spp. nov.(Hyaloscyphaceae, Helotiales), two new mycobionts colonizing conifer, ericaceous and orchid roots. Mycorrhiza 2022, 32, 105–122. [Google Scholar] [CrossRef]
 - Kubiak, K.; Tkaczyk, M.; Małecka, M.; Sierota, Z. Pine sawdust as stimulator of the microbial community in post-arable afforested soil. Arch. Agron. Soil Sci. 2017, 63, 427–441. [Google Scholar] [CrossRef]
 









| Groups of Fungi | Control | BCS | BCR | WW | S | 
|---|---|---|---|---|---|
| Sagenomella | 6.21 | 2.20 | 0.84 | 0.73 | 2.01 | 
| Wilcoxina | 6.06 | 0.13 | 2.05 | 0.04 | 0.13 | 
| Oidiodendron | 6.03 | 5.04 | 2.14 | 7.12 | 5.06 | 
| Meliniomyces | 6.02 | 0.41 | 2.02 | 1.04 | 8.10 | 
| Penicillium | 5.10 | 10.02 | 4.03 | 6.14 | 7.03 | 
| Tricholoma | 2.13 | 1.06 | 4.12 | 1.07 | 1.04 | 
| Cortinarius | 2.04 | 1.14 | 0.05 | 0.01 | 1.06 | 
| Mortierella | 2.03 | 2.11 | 0.52 | 0.81 | 1.02 | 
| Geomyces | 1.14 | 0.31 | 2.07 | 0.81 | 0.09 | 
| Solicoccozyma | 1.04 | 0.41 | 0.41 | 0.31 | 0.82 | 
| Hyaloscypha | 1.02 | 4.05 | 0.21 | 0.23 | 0.72 | 
| Inocybe | 0.91 | 5.03 | 7.02 | 2.04 | 0.02 | 
| Exophiala | 0.70 | 0.32 | 0.21 | 1.08 | 1.03 | 
| Hydnum | 0.31 | 0.24 | 0.04 | 2.04 | 0.00 | 
| Trichoderma | 0.21 | 0.92 | 0.32 | 0.90 | 0.41 | 
| Russula | 0.12 | 0.13 | 1.03 | 9.13 | 5.07 | 
| Cenangium | 0.12 | 0.09 | 2.03 | 0.40 | 0.14 | 
| Collarina | 0.06 | 0.00 | 0.00 | 1.08 | 0.00 | 
| Apiotrichum | 0.06 | 0.11 | 1.03 | 0.08 | 0.07 | 
| Hygrophorus | 0.02 | 0.13 | 1.14 | 1.06 | 0.00 | 
| Amphinema | 0.02 | 5.01 | 0.00 | 0.00 | 0.00 | 
| Cenococcum | 0.01 | 0.01 | 0.32 | 0.00 | 2.12 | 
Disclaimer/Publisher’s Note: The statements, opinions and data contained in all publications are solely those of the individual author(s) and contributor(s) and not of MDPI and/or the editor(s). MDPI and/or the editor(s) disclaim responsibility for any injury to people or property resulting from any ideas, methods, instructions or products referred to in the content.  | 
© 2023 by the authors. Licensee MDPI, Basel, Switzerland. This article is an open access article distributed under the terms and conditions of the Creative Commons Attribution (CC BY) license (https://creativecommons.org/licenses/by/4.0/).
Share and Cite
Malewski, T.; Borowik, P.; Olejarski, I.; Rutkiewicz, A.; Okorski, A.; Oszako, T. Addition of Organic Matter to Pine Plantations on Agricultural Land Positively Alters the Mycobiome of Agricultural Soils. Appl. Sci. 2023, 13, 5800. https://doi.org/10.3390/app13095800
Malewski T, Borowik P, Olejarski I, Rutkiewicz A, Okorski A, Oszako T. Addition of Organic Matter to Pine Plantations on Agricultural Land Positively Alters the Mycobiome of Agricultural Soils. Applied Sciences. 2023; 13(9):5800. https://doi.org/10.3390/app13095800
Chicago/Turabian StyleMalewski, Tadeusz, Piotr Borowik, Ireneusz Olejarski, Artur Rutkiewicz, Adam Okorski, and Tomasz Oszako. 2023. "Addition of Organic Matter to Pine Plantations on Agricultural Land Positively Alters the Mycobiome of Agricultural Soils" Applied Sciences 13, no. 9: 5800. https://doi.org/10.3390/app13095800
APA StyleMalewski, T., Borowik, P., Olejarski, I., Rutkiewicz, A., Okorski, A., & Oszako, T. (2023). Addition of Organic Matter to Pine Plantations on Agricultural Land Positively Alters the Mycobiome of Agricultural Soils. Applied Sciences, 13(9), 5800. https://doi.org/10.3390/app13095800
        
