Evolution Model of Coal Failure Using Energy Dissipation under Cyclic Loading/Unloading
Abstract
1. Introduction
2. Materials and Methods
2.1. Experiments Materials
2.2. Experimental Equipment
2.3. Experimental Methods
3. Results
3.1. Uniaxial Cyclic Loading/Unloading Experiments
3.1.1. Mechanical Characteristics of Coal under Graded Cyclic Loading/Unloading
3.1.2. Mechanical Characteristics of Coal under Constant Amplitude Cyclic Loading/Unloading
3.2. Characteristics of Energy Consumption Growth in Coal Fracture Evolution
3.2.1. Evolution Characteristics of Energy Consumption Ratio under Graded Cyclic Loading/Unloading
3.2.2. Evolution Characteristics of Energy Consumption Ratio under Constant Amplitude Cyclic Loading/Unloading
4. Analysis and Discussion
4.1. Energy State Analysis of Coal Fracture Process
4.2. Energy Driving Mechanism of Coal Fracture Process
4.3. Evolution Law of Coal Dissipated Energy
4.3.1. Verification of Evolution Law of Coal Dissipated Energy
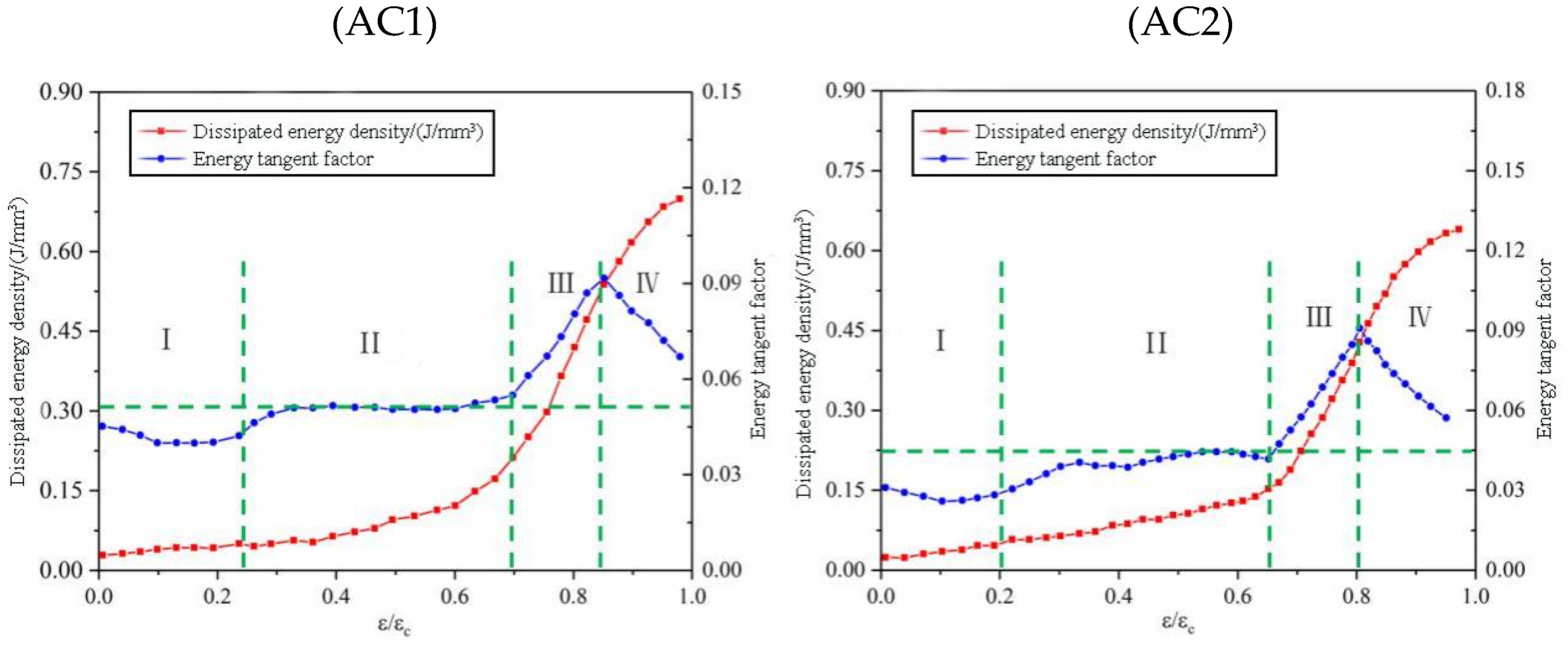
4.3.2. Criterion of Energy Tangent Factor
4.4. Energy Evolution Model of Coal Fracture
4.4.1. State Equation of Energy Damage
4.4.2. Evolution Equation of Dissipated Energy
4.4.3. State Equation of Coal Failure Strength
5. Conclusions
- (1)
- The concept of the energy tangential factor was proposed to characterize the energy storage level of coal at different deformation stages. The relationship between the energy growth rate and the stress–strain could be better described by quantitative analysis. The results show that the energy excitation–inhibition effect existed in the energy evolution process of coal, which showed that the evolution curves of the total strain energy, elastic strain energy, and dissipative strain energy exhibited significant stage features.
- (2)
- Combined with the mutation theory, the sudden-increase effect of the coal dissipated energy was deduced theoretically, which better verified the damage evolution rule of coal. Dissipated energy had an obvious burgeoning trend that could be used as a precursor to coal fracture and instability. According to the analysis of energy consumption characteristics, the energy dissipation behavior was closely related to different stages of stress loading.
- (3)
- An improved theoretical model that included the relationships among the energy state, damage state, and strength state was established to judge the damage stages and stability degrees of coal. By introducing the damage variable, the relationship between the energy dissipation behavior and coal damage was better described, which realized the early warning of coal failure and instability.
Author Contributions
Funding
Institutional Review Board Statement
Informed Consent Statement
Data Availability Statement
Acknowledgments
Conflicts of Interest
References
- Wang, C.L.; Liu, Y.B.; Hou, X.L.; Elmo, D. Investigation of the spatial distribution pattern of 3D microcracks in single-cracked breakage. Int. J. Rock Mech. Min. Sci. 2022, 154, 105126. [Google Scholar] [CrossRef]
- Wang, C.L.; Zhou, B.K.; Li, C.F.; Cao, C.; Sui, Q.R.; Zhao, G.M.; Yu, W.J.; Chen, Z.; Wang, Y.; Liu, B.; et al. Experimental investigation on the spatio-temporal-energy evolution pattern of limestone fracture using acoustic emission monitoring. J. Appl. Geophys. 2022, 206, 104787. [Google Scholar] [CrossRef]
- Wang, C.L.; Hou, X.L.; Liu, Y.B. Three-Dimensional Crack Recognition by Unsupervised Machine Learning. Rock Mech. Rock Eng. 2021, 54, 893–903. [Google Scholar] [CrossRef]
- Li, X.L.; Chen, S.J.; Li, Z.H. Rockburst mechanism in coal rock with structural surface and the microseismic (MS) and electromagnetic radiation (EMR) response. Eng. Fail. Anal. 2021, 124, 105396. [Google Scholar] [CrossRef]
- Li, X.; Chen, S.J.; Liu, S.M. AE waveform characteristics of rock mass under uniaxial loading based on Hilbert-Huang transform. J. Cent. South Univ. 2021, 28, 1843–1856. [Google Scholar] [CrossRef]
- Dou, L.M.; Lu, C.P.; Mu, Z.L.; Gao, M.S. Prevention and forecasting of rock burst hazards in coal mines. Min. Sci. Technol. 2009, 19, 585–591. [Google Scholar] [CrossRef]
- Xie, H.P.; Li, L.Y.; Ju, Y. Energy analysis for damage and catastrophic failure of rocks. Sci. China Technol. Sci. 2011, 54, 199–209. [Google Scholar] [CrossRef]
- Meng, Q.B.; Zhang, M.W.; Zhang, Z.Z.; Han, L.J.; Pu, H. Research on non-linear characteristics of rock energy evolution under uniaxial cyclic loading and unloading conditions. Environ. Earth Sci. 2019, 78, 650. [Google Scholar] [CrossRef]
- Xie, H.P.; Li, L.Y.; Peng, R.D.; Ju, Y. Energy analysis and criteria for structural failure of rocks. J. Rock Mech. Geotech. Eng. 2009, 1, 11–20. [Google Scholar] [CrossRef]
- Xi, Y.; Li, J.; Zeng, Y.J.; Ding, S.D.; Jiang, T.X. Research on Lateral Scale Effect and Constitutive Model of Rock Damage Energy Evolution. Geotech. Geol. Eng. 2018, 36, 2415–2424. [Google Scholar] [CrossRef]
- Gao, W.; Wang, L.; Yang, D.Y. Rock Damage Research Based on the Energy Principles. Appl. Mech. Mater. 2011, 87, 238–242. [Google Scholar] [CrossRef]
- Deng, Y.; Chen, M.; Jin, Y.; Zou, D. Theoretical analysis and experimental research on the energy dissipation of rock crushing based on fractal theory. J. Nat. Gas Sci. Eng. 2016, 33, 231–239. [Google Scholar] [CrossRef]
- Mitri, H.S.; Tang, B.; Simon, R. FE modelling of mining-induced energy release and storage rates. J. S. Afr. Inst. Min. Metall. 1999, 99, 103–110. [Google Scholar] [CrossRef]
- Eberhardt, E.; Stead, D.; Stimpson, B. Quantifying progressive pre-peak brittle fracture damage in rock during uniaxial compression. Int. J. Rock Mech. Min. Sci. 1999, 36, 361–380. [Google Scholar] [CrossRef]
- Comi, C.; Perego, U. Fracture energy based bi-dissipative damage model for concrete. Int. J. Solids Struct. 2001, 38, 6427–6454. [Google Scholar] [CrossRef]
- Gao, F.; Zhang, Z.Z.; Liu, X.G. Research on rock burst prone-ness index based on energy evolution in rock. Disaster Adv. 2012, 51, 367–1371. [Google Scholar] [CrossRef]
- Sun, Y.Z.; Fang, C.Z.; Wang, J.C.; Ma, Z.X.; Ye, Y.L. Energy-Based Approach to Predict Fatigue Life of Asphalt Mixture Using Three-Point Bending Fatigue Test. Materials 2018, 11, 1696. [Google Scholar] [CrossRef]
- Li, T.T.; Pei, X.J.; Wang, D.P.; Huang, R.Q.; Tang, H. Nonlinear behavior and damage model for fractured rock under cyclic loading based on energy dissipation principle. Eng. Fract. Mech. 2019, 206, 330–341. [Google Scholar] [CrossRef]
- Gao, F.; Cao, S.; Zhou, K.; Lin, Y.; Zhu, L. Damage characteristics and energy-dissipation mechanism of frozen–thawed sandstone subjected to loading. Cold Reg. Sci. Technol. 2020, 169, 102920. [Google Scholar] [CrossRef]
- Zhang, L.M.; Ren, M.Y.; Ma, S.Q.; Wang, Z.Q. Energy dissipation mechanism and damage model of marble failure under two stress paths. Frat. Ed Integr. Strutt. 2014, 8, 515–525. [Google Scholar] [CrossRef]
- Sirait, B.; Wattimena, R.K.; Widodo, N.P. Rockburst prediction of a cut and fill mine by using energy balance and induced stress. Procedia Earth Planet. Sci. 2013, 6, 426–434. [Google Scholar] [CrossRef]
- Meng, Q.B.; Zhang, M.W.; Han, L.J.; Pu, H.; Nie, T. Effects of Acoustic Emission and Energy Evolution of Rock Specimens Under the Uniaxial Cyclic Loading and Unloading Compression. Rock Mech. Rock Eng. 2016, 49, 3873–3886. [Google Scholar] [CrossRef]
- Huang, D.; Li, Y. Conversion of strain energy in Triaxial Unloading Tests on Marble. Int. J. Rock Mech. Min. Sci. 2014, 66, 160–168. [Google Scholar] [CrossRef]
- Peng, R.; Ju, Y.; Wang, J.G.; Xie, H.P.; Gao, F.; Mao, L.T. Energy Dissipation and Release During Coal Failure Under Conventional Triaxial Compression. Rock Mech. Rock Eng. 2014, 48, 509–526. [Google Scholar] [CrossRef]
- Wang, P.; Xu, J.Y.; Fang, X.Y.; Wang, P.X. Energy dissipation and damage evolution analyses for the dynamic compression failure process of red-sandstone after freeze-thaw cycles. Eng. Geol. 2017, 221, 104–113. [Google Scholar] [CrossRef]
- Zhou, X.P. Triaxial compressive behavior of rock with mesoscopic heterogenous behavior: Strain energy density factor approach. Theor. Appl. Fract. Mech. 2006, 45, 46–63. [Google Scholar] [CrossRef]
- Steffler, E.D.; Epstein, J.S.; Conley, E.G. Energy partitioning for a crack under remote shear and compression. Int. J. Fract. 2003, 120, 563–580. [Google Scholar] [CrossRef]
- Li, X.B.; Lok, T.S.; Zhao, J. Dynamic Characteristics of Granite Subjected to Intermediate Loading Rate. Rock Mech. Rock Eng. 2004, 38, 21–39. [Google Scholar] [CrossRef]
- Wen, T.; Tang, H.M.; Huang, L.; Wang, Y.K.; Ma, J. Energy evolution: A new perspective on the failure mechanism of purplish-red mudstones from the Three Gorges Reservoir area, China. Eng. Geol. 2019, 264, 105350. [Google Scholar] [CrossRef]
- Li, D.Y.; Wong, L.N.Y.; Liu, G.; Zhang, X.P. Influence of water content and anisotropy on the strength and deformability of low porosity meta-sedimentary rocks under triaxial compression. Eng. Geol. 2012, 126, 46–66. [Google Scholar] [CrossRef]
- Yang, S.Q. Experimental study on deformation, peak strength and crack damage behavior of hollow sandstone under conventional triaxial compression. Eng. Geol. 2016, 213, 11–24. [Google Scholar] [CrossRef]
- Yang, S.Q.; Ranjith, P.G.; Jing, H.W.; Tian, W.L. An experimental investigation on thermal damage and failure mechanical behavior of granite after exposure to different high temperature treatments. Geothermics 2017, 65, 180–197. [Google Scholar] [CrossRef]
- Li, D.Y.; Sun, Z.; Xie, T.; Li, X.B.; Ranjith, P.G. Energy evolution characteristics of hard rock during triaxial failure with different loading and unloading paths. Eng. Geol. 2017, 228, 270–281. [Google Scholar] [CrossRef]
- Berry, M. An introduction to catastrophe theory. Phys. Bull. 1981, 32, 84. [Google Scholar] [CrossRef]
- Zhou, Y.J.; Xu, X.D.; Li, X.T.; Meng, L.; Yang, Y.G. Study on Catastrophe Instability of Support System in Gypsum Goaf Based on Energy Dissipation Theory. Adv. Civ. Eng. 2018, 2018, 4293584. [Google Scholar] [CrossRef]
- Xu, X.T.; Dong, Y.H.; Fan, C.X. Laboratory investigation on energy dissipation and damage characteristics of frozen loess during deformation process. Cold Reg. Sci. Technol. 2014, 109, 1–8. [Google Scholar] [CrossRef]
- Zou, X.L.; Ding, B.; Peng, Z.X.; Li, H.B. Damage analysis four-point bending fatigue tests on stone matrix asphalt using dissipated energy approaches. Int. J. Fatigue 2019, 133, 105453. [Google Scholar] [CrossRef]
- Feng, J.J.; Wang, E.Y.; Chen, X.; Ding, H.C. Energy dissipation rate: An indicator of coal deformation and failure under static and dynamic compressive loads. Int. J. Min. Sci. Technol. 2018, 28, 397–406. [Google Scholar] [CrossRef]
- Zhang, M.; Dou, L.M.; Konietzky, H.; Song, Z.Y. Cyclic fatigue characteristics of strong burst-prone coal: Experimental insights from energy dissipation, hysteresis and micro-seismicity. Int. J. Fatigue 2010, 133, 105429. [Google Scholar] [CrossRef]
- Jiang, C.B.; Duan, M.K.; Yin, G.Z.; Wang, J.G. Experimental study on seepage properties, AE characteristics and energy dissipation of coal under tiered cyclic loading. Eng. Geol. 2017, 221, 114–123. [Google Scholar] [CrossRef]
- Li, L.B. Fatigue Damage and Lifetime of SiC/SiC Ceramic-Matrix Composite under Cyclic Loading at Elevated Temperatures. Materials 2017, 10, 371. [Google Scholar] [CrossRef] [PubMed]












| Coal | High (mm) | Diameter (mm) | Quality (g) | Uniaxial Compressive Strength (MPa) | Elasticity Modulus (GPa) | Poisson’s Ratio | Fracture Load (kN) |
|---|---|---|---|---|---|---|---|
| C1 | 100.24 | 49.68 | 259.02 | 19.410 | 4.373 | 0.392 | 24.58 |
| C2 | 100.06 | 49.67 | 233.56 | 20.378 | 5.067 | 0.373 | 25.12 |
| C3 | 100.32 | 49.73 | 265.80 | 21.308 | 4.974 | 0.351 | 24.97 |
| C4 | 100.18 | 49.66 | 250.62 | 19.680 | 4.571 | 0.372 | 25.60 |
| C5 | 100.02 | 49.56 | 243.56 | 20.638 | 4.343 | 0.361 | 24.96 |
| C6 | 100.56 | 49.78 | 251.80 | 21.006 | 4.814 | 0.336 | 24.89 |
Disclaimer/Publisher’s Note: The statements, opinions and data contained in all publications are solely those of the individual author(s) and contributor(s) and not of MDPI and/or the editor(s). MDPI and/or the editor(s) disclaim responsibility for any injury to people or property resulting from any ideas, methods, instructions or products referred to in the content. |
© 2023 by the authors. Licensee MDPI, Basel, Switzerland. This article is an open access article distributed under the terms and conditions of the Creative Commons Attribution (CC BY) license (https://creativecommons.org/licenses/by/4.0/).
Share and Cite
Wang, C.; Zuo, C.; Zhao, Z. Evolution Model of Coal Failure Using Energy Dissipation under Cyclic Loading/Unloading. Appl. Sci. 2023, 13, 5797. https://doi.org/10.3390/app13095797
Wang C, Zuo C, Zhao Z. Evolution Model of Coal Failure Using Energy Dissipation under Cyclic Loading/Unloading. Applied Sciences. 2023; 13(9):5797. https://doi.org/10.3390/app13095797
Chicago/Turabian StyleWang, Chunlai, Chang Zuo, and Ze Zhao. 2023. "Evolution Model of Coal Failure Using Energy Dissipation under Cyclic Loading/Unloading" Applied Sciences 13, no. 9: 5797. https://doi.org/10.3390/app13095797
APA StyleWang, C., Zuo, C., & Zhao, Z. (2023). Evolution Model of Coal Failure Using Energy Dissipation under Cyclic Loading/Unloading. Applied Sciences, 13(9), 5797. https://doi.org/10.3390/app13095797
