Next Article in Journal
The Bearing Characteristics of Sand Anchors under Vibrating Load
Next Article in Special Issue
Robust Autonomous Vehicle Computer-Vision-Based Localization in Challenging Environmental Conditions
Previous Article in Journal
Semantic-Aligned Cross-Modal Visual Grounding Network with Transformers
Previous Article in Special Issue
Longitudinal Control Strategy for Connected Electric Vehicle with Regenerative Braking in Eco-Approach and Departure
 
 
Font Type:
Arial Georgia Verdana
Font Size:
Aa Aa Aa
Line Spacing:
Column Width:
Background:
Article

Design and Implementation of an Energy-Efficient Vehicle Platoon Control Algorithm Using Prescribed Performance and Extremum Seeking Control

by
Andreas Katsanikakis
and
Charalampos P. Bechlioulis
*
Department of Electrical and Computer Engineering (ECE), University of Patras, 26504 Rio, Greece
*
Author to whom correspondence should be addressed.
Appl. Sci. 2023, 13(9), 5650; https://doi.org/10.3390/app13095650
Submission received: 7 April 2023 / Revised: 30 April 2023 / Accepted: 2 May 2023 / Published: 4 May 2023

Abstract

Platooning has emerged as a promising approach to enhancing the fuel efficiency of vehicles, but determining the inter-vehicular distance that achieves the minimum consumption remains a challenge. In this article, an algorithm is proposed that employs extremum seeking control integrated with the prescribed performance control technique to find the optimal inter-vehicular distance. The algorithm utilizes the predecessor-following architecture to track the desired distance while minimizing the estimated aerodynamic drag coefficient to seek the optimal value. To estimate the coefficient, an observer is designed. Simulation results are presented to demonstrate the effectiveness of the approach. The proposed algorithm exhibits a significant improvement over existing methods that do not incorporate prescribed performance. Consequently, our scheme provides a valuable contribution to the field of platooning and paves the way for future research directions.

1. Introduction

The transportation sector is under pressure to reduce greenhouse gas emissions and develop more energy-efficient systems, especially when it comes to heavy-duty vehicles. These vehicles, according to official reports, Ref. [1] cover approximately 25% of CO 2 emissions and 5% of energy consumption. Reducing fuel consumption is a major concern in order to improve efficiency. The scientific community indicates that platooning seems to be a huge solution to the problem. Recent studies [2] show that vehicle platooning can significantly improve fuel consumption when minimizing aerodynamic drag, a major source of energy loss in transportation, and reduce emissions, while at the same time providing safety on the road by reducing the potential for accidents due to human error. In addition, vehicle platooning can also increase the capacity of existing roads by reducing the space required between vehicles. This means that more vehicles can travel on the same stretch of road, reducing congestion and improving traffic flow. As explicitly explained in [3,4], the aerodynamic drag that develops between following vehicles varies with the inter-vehicular distance. Reducing the gap between two or more vehicles moving in close proximity significantly improves the efficiency of the system. This is because the objects can take advantage of the reduced pressure zone created by the object in front of it, which can help reduce turbulence and lower drag. Therefore, in order to minimize the aerodynamic effect, it is necessary to find the optimal distance value.
It must be stated, though, that accurate aerodynamics modelling is not an easy task [4] because the airflow around a vehicle can be very complex. Some common factors that affect the flow of air are speed and direction, the shape of a vehicle, and the compressibility of the air. Concluding, equations that model these behaviours are highly complicated and difficult to solve analytically, even for simple geometries. The aforementioned studies attempt to approach and observe air behaviour through experimentation. The experimental results are extracted under several constraints since measured values can be affected by uncertainties, such as wind tunnel calibration errors, sensor inaccuracies, and uncertainties in the properties of the test environment. The aforementioned statements are also discussed in [5], where authors review the literature about the benefits of platooning in energy savings. The work describes several ways to optimize the efficiency and a detailed focus is given in the aerodynamics concerning drag reductions. The authors propose two different ways to reduce the aerodynamic drag in a platoon and they conclude that it plays a significant role in energy consumption, suggesting that further studies should focus on developing ways to reduce it; however, they underline that due to the complex aerodynamic nature, conclusions are not always safe to conduct.

1.1. Motivation and Contributions

Our inspiration is to discover new innovative and effective control strategies that can enhance the performance of complex systems, such as platoons. The main aim of this work is to develop a solution for optimizing vehicle platoon distance that can be implemented in real-world transportation systems. The proposed control algorithm should allow the platoon to seek and track, throughout the whole road course, the optimal inter-vehicular distance in order to achieve the minimum aerodynamic drag, thus improving the energy consumption of the total system. It is noteworthy that the optimal distance is not always the smaller feasible one; for that reason, the algorithm should be in place to identify online proper factors. In order to estimate the aerodynamic drag and find the optimal distance, an extremum seeking scheme that continuously seeks the extremum of a performance metric is proposed; in particular, the estimation of the drag coefficient, which is extracted by an observer. This approach is integrated with a robust prescribed performance control algorithm [6] that ensures the correct tracking of the desired distance. Prescribed performance is particularly useful when designing control algorithms for platoon systems because it allows the designer to explicitly specify desirable performance specifications. This can lead to more effective and efficient control techniques that can meet the desired performance requirements under various operating conditions and ensure collision avoidance while limiting problems that may occur due to sensor limitations.
Extremum seeking control is a model-free optimization method that is used to optimize the performance of a system by continuously seeking and tracking the extremum (maximum or minimum) of a performance metric. Studies of the method have been carried out for over half a century now with the most iconic ones [7,8] where stability proofs and optimization solutions for several complex non-linear problems are presented. The key advantage of ESC is that it does not require a mathematical model of the system being controlled. Instead, it relies on direct measurements of the system’s output and input signals to estimate the objective function and adjust the system parameters accordingly. ESC has been successfully applied to a wide range of applications, including power electronics, renewable energy systems, air crafts, and process control. However, like any control method, it has its own set of limitations and challenges that must be carefully considered when designing and implementing an ESC system. Fewer studies can be found for ESC when concerning platoons systems since the idea is still in the early stages. Eventually, the outcome of this work should be a well-set designed novel ESC algorithm that can effectively balance the trade-offs between minimizing drag force, thus improving fuel efficiency and carbon footprint and maintaining the stability and safety of the platoon system.
Concluding, it is worth mentioning that the ultimate goal of the proposed control algorithm is its future implementation in various types of real-world platooning systems, including semi-autonomous and fully autonomous vehicles. The implementation of such a system can have a significant impact on the transportation sector, reducing greenhouse gas emissions, fuel consumption, and traffic congestion, while improving the safety and efficiency of the system. Additionally, the development of this control algorithm can pave the way for future research and innovation in the field of platooning systems and extremum seeking control.

1.2. Related Works

Vehicle platooning has been a subject of interest for several years in the transportation research community. As stated above, the focus has shifted towards improving the energy efficiency of platooning systems, which has led to a surge in research on this topic. In this section, some of the relevant work that has been carried out in the area of our discussion is reviewed.
A number of studies have investigated the benefits of platooning in terms of fuel consumption and greenhouse gas emissions. For instance, in [9] it is demonstrated that platooning can reduce fuel consumption by up to 13.6% and travel time in connected and automated vehicles. Additionally, in [10], the authors conduct experiments using computational fluid dynamics (CFD) to explore the issue for different platoon formulations and they conclude that for specific formulations, energy savings can reach up to 10.3%, and at the same time aerodynamic reductions can be reduced up to 24%. To achieve these benefits, several techniques have been proposed for optimizing platooning systems. One common approach is to use adaptive cruise control. In [11], the authors investigate the effect of that control method in terms of stability, safety, and traffic flow behaviour. A pioneering approach of that method, cooperative adaptive cruise control (CACC) [12], which is a variant of adaptive cruise control, allows vehicles to communicate with each other to coordinate their movements. The ecological approach of CACC has been shown to improve fuel efficiency and reduce emissions by minimizing the distance between vehicles while maintaining a safe following distance. Another approach is to use predictive control algorithms to optimize platoon performance. In [13], a model predictive control (MPC) is implemented and compared with other current methods. The algorithm uses a model of the platoon dynamics to predict the future behaviour of the vehicles and adjust the control inputs accordingly. Another MPC method that considers energy reduction utilizing the air-drag coefficient, similar to the approach of this study, is proposed in [14]. Despite the fact that these strategies show great potential, both ACC and MPC methods require knowledge of the dynamics of the system.
In recent years, several studies have focused on using dynamic programming and machine learning techniques to optimize platooning systems. Dynamic programming in [15] helps the control system to explore the optimal trajectory that reduces fuel consumption based on road topography maps, and the final scheme is stated as a look-ahead control strategy. In [16], a reinforcement learning-based algorithm for vehicle platooning is proposed that provides a solution to the longitudinal control problem considering efficiency policies. The algorithm uses a deep neural network to learn the optimal control policy for the platoon, which is then used to adjust the control inputs in real time. These methods are quite promising; however, they require high-end process systems and several restraints have been made throughout their experimental implementations. A different approach is provided in [17], where a control method is developed to provide a solution for the platoon rooting problem in a real-world metropolitan network using small predefined inter-vehicular distances to minimize fuel consumption. Concerning the extremum-seeking approach in [18], the authors developed an ESC method to reduce aerodynamic drag on a single truck by utilizing the parameters of a wind deflector installed on the roof of the tractor cab. Although this study is not focused on platooning, the patent can be adopted for the case in future works.
Overall, these studies demonstrate the potential benefits of platooning in reducing energy consumption and greenhouse gas emissions and highlight the importance of developing efficient control strategies for platooning systems. In this work, we propose an extremum seeking control-based algorithm that can be used to optimize the inter-vehicular distance in platooning systems, with the aim of minimizing the aerodynamic drag and improving the energy efficiency of the platoon. The algorithm does not require the knowledge of system dynamics and enforces collision avoidance and connectivity maintenance employing the prescribed performance control technique. Our study will be directly compared to [19], where an improved ESC is proposed to reduce aerodynamic drag in real time for a platoon of electric vehicles. The authors in that work developed an ESC scheme that is integrated with a sliding mode controller to track the desired inter-vehicular distance. In addition, a different observer, based on the high-gain observation technique, was proposed.

2. Problem Formulation

The dynamics of a platoon with N vehicles are given by:
p i ˙ = v i m i v i ˙ = f i + u i
for i = 1 , , N . The system is approached with second-order nonlinear dynamics where p i , v i indicate the position and the velocity of each vehicle, respectively. Additionally, m i is the mass of each vehicle, f i resembles the aerodynamic drag resistance force, and u i is the vehicle acceleration force. In this study, other forces such as rolling resistance, gradient resistance, and so on are considered much smaller, and thus they are neglected. According to the aerodynamics of platooning when considering fuel consumption [2], drag can be modeled by:
F d i = 1 2 C d i ( d i ) ρ A i v r i 2
where C d i is the drag coefficient related to the inter-vehicular distance d i , ρ is the air density, A i is the frontal area of the vehicle, and v r i = v i v air is the relative velocity of the vehicle with respect to the airflow v air . Combining Equations (1) and (2) and considering that d i = p i 1 p i , it can be deduced that
m i v i ˙ = 1 2 C d i ( d i ) ρ A i | v r i | v r i + u i
For the system, the force u i is the control input, whereas m i , C d ( d i ) are considered unknown, thus rendering f i uncertain.
The aim of the proposed algorithm is to seek the optimal rigid formation with the extremum seeking technique by minimizing the estimation of the aerodynamic drag coefficient, thus approximating the unknown f i , and to ensure that this formation will be settled with the prescribed performance control protocol. For the drag coefficient estimation, an extended state observer is proposed. Additionally, rigid formation is represented geometrically by the gaps Δ i 1 , i , for i = 1 , , N between consecutive vehicles, where Δ i 1 , i * > 0 is the optimal distance, which extremum seeking calculates, between the (i − 1)-th and the i-th vehicle. Eventually, the algorithm exports the optimal force that should be applied to each vehicle in order to achieve the minimum drag. The closed-loop system diagram given in Figure 1 provides a better understanding of the above.
Therefore, the proposed scheme requires:
  • Tracking the desired optimal distance with the prescribed performance control protocol.
  • Seeking the optimal desired distance with extremum seeking control.
  • Estimating the air drag coefficient.
In the following section, a detailed description of the aforementioned modules is provided.

3. Extremum Seeking with Prescribed Performance Control

3.1. Prescribed Performance Control

In this work, the leader-following architecture, for the design of the prescribed performance controller that tracks the desired distance, is adopted. The efficiency of this architecture is fully described and tested both in simulation and in an experimental environment in the author’s previous work [6].
An important aspect of the PPC controller is that it maintains the inter-vehicular distance ( p i 1 p i ) between boundaries that ensure collision avoidance while limiting connectivity failures due to sensor constraints. Let, Δ c o l < p i 1 p i < Δ c o n , i = 1 , , N . Therefore, for the desired distance Δ c o l < Δ i 1 , i < Δ c o n , where Δ c o l , Δ c o n are artificially selected positive constants for the collision avoidance and connectivity constraints, respectively. The initial state of the platoon should also meet this assumption. Hence, the control law u i is designed as:
u ( ξ v , t ) u 1 ( ξ v 1 , t ) . . . u N ( ξ v N , t ) = k v ( ρ v ( t ) ) 1 r v ( ξ v ) ϵ v ( ξ v )
where k v > 0 and r v ( ξ v ) , ϵ v ( ξ v ) are:
r v ( ξ v ) = diag ( 2 ( 1 + ξ v i ) ( 1 ξ v i ) i = 1 , , N )
ϵ v ( ξ v ) = ln ( 1 + ξ v i 1 ξ v i ) , , ln ( 1 + ξ v N 1 ξ v N ) T
To determine the normalized error vector ξ v , we must first define the velocity error vector as e v [ e v 1 , , e v N ] T = v s . v d ( ξ p , t ) , where v s . [ v 1 , , v N ] T and v d ( ξ p , t ) is the vector that contains the reference velocities based on the desired distance. Subsequently, the velocity performance function ρ v i ( t ) , i = 1 , , N must be properly chosen in order to satisfy ρ v i ( 0 ) > | e v i ( 0 ) | , i = 1 , , N . Additionally,
ξ v ( e v , t ) [ ξ v 1 ( e v 1 , t ) , , ξ v N ( e v N , t ) ] T ( ρ v ( t ) ) 1 e u
with ρ v ( t ) = diag ( [ ρ v i ( t ) ] i = 1 , , N )
The intermediate control law that formulates the reference velocity vector v d ( ξ p , t ) at the kinematic level is selected as:
v d ( ξ p , t ) v d 1 ( ξ p 1 , t ) . . . u d N 1 ( ξ p N 1 , t ) u d N ( ξ p N , t ) = k p ( ρ p ( t ) ) 1 r p ( ξ p ) ϵ p ( ξ p )
Similarly, k p > 0 and r p ( ξ p ) , ϵ p ( ξ p ) are:
r p ( ξ p ) = diag ( 1 M ̲ p i + 1 M ¯ p i ( 1 + ξ p i M ̲ p i ( 1 ξ p i M ¯ p i ) i = 1 , , N )
ϵ p ( ξ p ) = ln ( 1 + ξ p 1 M ̲ p 1 1 ξ p 1 M ¯ p 1 ) , , ln ( 1 + ξ p N M ̲ p N 1 ξ p N M ¯ p N ) T
where, M ̲ p i , M ¯ p i are positive parameters that are related to collision and connectivity boundaries. For the normalized position error vector ξ p , we define the position error between two neighboured vehicles e p i ( t ) = p i 1 ( t ) p i ( t ) Δ i 1 , i , i = 1 , , N and properly choose function ρ p i ( t ) to achieve the prescribed performance objectives. Thus,
ξ p ( e p , t ) [ ξ p 1 ( e p 1 , t ) , , ξ p N ( e u N , t ) ] T ( ρ p ( t ) ) 1 e p
with ρ p ( t ) = diag ( [ ρ p i ( t ) ] i = 1 , , N )
Finally, performance function is designed as:
ρ p i ( t ) = ( 1 ρ max ( M ̲ p i , M ¯ p i ) ) exp ( l t ) + ρ max ( M ̲ p i , M ¯ p i )
with l , ρ positive parameters. Finally, for the parameters M ̲ p i , M ¯ p i we set:
M ̲ p i = L i Δ c o l M ¯ p i = Δ c o n H i
where L i , H i are artificially selected positive defined parameters. Proper selection should ensure that M ̲ p i , M ¯ p i > 0 . Further analysis will not be given here, whereas the proof of convergence and stability can be found in [6].

3.2. Extremum Seeking Control

Extremum seeking control is a feedback control method that seeks to optimize a system without the knowledge of the model and maintain it to the optimal operating point by adjusting iteratively its parameters to find the optimal value that maximizes or minimizes a given objective function. There are several variations of ESC that differ in the specific method used to estimate the objective function and compute the gradient. These methods include perturbation-based ESC, harmonic ESC, and sliding mode ESC, among others. Each method has its own advantages and limitations and is typically chosen based on the specific requirements and characteristics of the system to be controlled. In this case, in order to explore the parameter space and find the optimal value the system is perturbed with a sinusoidal excitation signal. Adopting the methods proposed in [8], a single parameter ESC design for a non-linear plant is proposed in Figure 2.
After extensive analysis and with respect to our platoon system of N vehicles, the dynamics of the system can be summarized as:
x i ˙ = f ( x i , z i ( x i , θ i ^ + a i sin ω i t ) )
θ i ^ ˙ = k i ξ i
ξ i ˙ = ω l i ξ i + ω l i ( y i n i ) a i sin ω i t
n i ˙ = ω h i + ω h i y i , for i = 1 , N .
where x i ˙ is the state and θ i is the equilibrium of the system. Moreover, z i is a known control law parameterized by θ i and a i , ω i , ω l i , ω h i , k i , a i ( 0 ) , θ ^ i ( 0 ) are tuning parameters with the low-frequency components signal stated as n i . In our case, x i = [ p i , u i ] T , θ i = Δ i 1 , i , with the optimal point θ i * = Δ i 1 , i * , z i , is the control law from the PPC part and y i = h ( x i ) is the objective function. The target is to deploy an objective function that approximates the aerodynamic drag. Studies in [3,20] show that the relation of the C d coefficient with the inter-vehicular distance, as Equation (3) shows, cannot be measured and thus in [19] an observer is proposed. Hence, y i = h ( x i ) can be a function that contains that value. Since the goal is to minimize the drag, y should be replaced by y , yet the design is the same; thus, y i = f ( C ^ d i ) . The reasoning and proof of that point can be found [8]. Additionally, a quick inspection of the main assumptions should be conducted to prove the stability of the ESC.
  • There exists a smooth function l : R R n such that f ( x i , a i ( x i , θ i ) ) = 0 if and only if x i = l ( θ i ) . The assumption is satisfied considering θ i = Δ i 1 , i , l ( Δ i 1 , i ) = Δ i 1 , i .
  • For each θ i R , the equilibrium x i = l ( θ i ) of the system is locally exponentially stable. The stability proof of the PPC controller proves it.
  • There exists θ i = Δ i 1 , i * R such that
    ( h l ) ( θ i * ) = 0 ( h l ) ( θ i * ) > 0
    Observing the graph results in [3,20] there seems to be a unique point between two consecutive vehicles in a platoon where the aerodynamic drag coefficient, that has a continuous profile, has the lowest value. That statement proves the above two properties.
At this point, the main idea of the design has been completed. However, it should be highlighted that the use of sinusoidal perturbation in the aforementioned scheme results in undesired steady-state oscillations, which exhibit unnecessary platoon actions that can lead not only to increased fuel consumption but also to drive discomforts and eventually a risk of collision. In [21], an ESC with attenuated steady-state oscillation (ESCWAO) is proposed and the authors in [19] adopt the method for a similar purpose. The ESCWAO is designed to reduce the magnitude of the dither signal as the estimated gradient approaches zero. This approach can effectively reduce steady-state oscillations and improve the performance of the ESC for platoons. The specific design of the ESCWAO may vary depending on the particular application and the characteristics of the system being controlled. However, in general, the approach involves modifying the gain of the dither signal based on the estimated gradient. By adapting the magnitude of the dither signal to the estimated gradient, the ESCWAO can effectively reduce oscillations and improve the performance of the controller. Figure 3 shows that the ESCWAO design is similar to the standard ESC with the difference that there is not a constant amplitude a but an adaptive law is proposed for the decay in excitation signal amplitude. Moreover, the demodulated signal after high-pass filtering is multiplied without the amplitude.
Dynamic analysis of the system is identical to standard ESC and the dithered signal is added to the system as indicated in Equation (14):
a i ˙ = λ 2 i g 2 ( a i ) exp ( γ 2 i | ξ i | ) , a i ( t 0 ) = a i 0 > 0
where, λ 2 i , γ 2 i , a i 0 , f o r i = 1 , N , are positive design parameters.
For the stability proof of the proposed algorithm, the same assumptions as stated in standard ESC are followed, whereas for the extra dithered signal, further analysis can be found in [21]. ESCWAO requires parameters ω , ω l , ω h , k , λ 2 , γ 2 , a ( 0 ) , θ ^ ( 0 ) to be fine-tuned. Henceforth, the reduction in steady-state oscillations achieved by the ESCWAO leads to efficient design. However, it is important to note that proper tuning of the ESCWAO is necessary to achieve the desired performance, which sometimes is a labour-intensive process. More specifically, filter cut-off frequencies need to be lower than the frequency of the perturbation signal and the adaption gain k value should also be small to achieve the desired time scales of the system [8] and properly estimate the optimal value. Additionally, the γ 2 parameter determines the rates of decay of the dither signal. Lowering the value will lead to bigger decays and the results will be similar to the standard ESC. Thus, at the beginning of the tuning process, the parameter should be sufficiently small in order to detect at which point the ESCWAO converges to the optimal point. Afterwards, the designer should increase the value and maintain it at a point that ensures faster decay.

3.3. Air-Drag Coefficient Observer ( C ^ d i )

Estimating the drag coefficient C d is essential in order to approximate the aerodynamic force. An extended state observer is designed according to [22]. Considering that our system is one-dimensional, Equation (3) can be written as:
v i ˙ = C d i ( d i ) ρ A i | v r i | v r i 2 m i + u i m i
y = v i
for i = 1 , , N , where C d i ( d i ) ρ A i | v r i | v r i 2 m i denotes the unknown system function. Based on the non-linearity of our system, we design the following extended state observer:
v ^ ˙ i = z + u i m i + v i v ^ i ϵ
z ˙ = v i v ^ i ϵ 2
for a small positive gain ϵ . Subsequently, we shall estimate the drag coefficient as:
C ^ d i = 2 m i z ρ A i | v r i | v r i

4. Simulation Results and Discussion

The algorithm proposed in this study was tested in MATLAB software. Simulations were conducted on a laptop equipped with an AMD Ryzen 5 4600H processor, 8 GB of RAM, and a 512 GB solid-state drive. To demonstrate the algorithm’s feasibility, a platoon of N = 4 vehicles was considered with a leader ( i = 0 ), where m i = [ 1200 , 700 , 800 , 900 ] kg, for i = 1 , , 4 . The aerodynamic drag profiles for the platoon members were similar to the experimental measurements from [20]. The authors highlight that for inter-vehicular distances below 3m, drag has non-constant and complex behaviour. The measured values used to create the drag profiles are shown in Figure 4. Spline fitting was performed on these values in order to smooth the profile functions and comply with the conditions as stated in Equation (18). Furthermore, we assumed zero wind speed ( v r i = v i ), ρ = 1.293 kg m 3 and A i = [ 7 , 2.5 , 3 , 3.5 ] m 2 , for i = 1 , , 4 .
The leading vehicle was set to have a continuously differentiable velocity profile as v 0 = 18 + 0.1 sin ( 2 π t 100 ) 0.05 sin ( 2 π t 50 ) . Concerning the PPC design, we set the collision and connectivity constraints as Δ C o l = 2.5 m, Δ C o n = 20 m, and L i = H i = 10 m. To establish predefined transient and steady-state performance, we selected l = 0.1 , ρ = 0.07 . Hence, we set the performance functions ρ p i ( t ) = ( 1 0.07 0.95 L i ) exp ( 0.1 t ) + 0.07 0.95 L i and ρ v i ( t ) = 2 | e v i ( 0 ) | exp ( 0.1 t ) + 0.3 for i = 1 , 2 , 3 , 4 , obeying the initialization restrictions. Finally, the control gains were selected as k p = 1 and k v = 100 .
The gains for the observers were set as ϵ i = 10 4 to estimate each vehicle’s drag coefficient. For the ESCWAO part, we chose the objective functions y i = [ 400 C ^ d 1 2 , 500 C ^ d 2 2 , 700 C ^ d 3 2 , 800 C ^ d 4 2 ] and the parameters for the extremum seeking controllers were tuned as ω h 1 = 3.2 , ω h 2 = 2.9 , ω h 3 = ω h 4 = 2.7 , ω l 1 = 0.645 , ω l 2 = ω l 3 = 0.6 , ω l 4 = 0.85 , and ω i = 1 , k i = 0.7 , γ 2 i = 6 , g 2 ( a i ) = a i , a i ( 0 ) = 4 , for i = 1 , 2 , 3 , 4 . Moreover, λ 2 i = 0.2 , i = 1 , 2 , 3 , 4 . We assumed that the initial position of the vehicles was p 0 ( 0 ) = 0 , p 1 ( 0 ) = 10 , p 2 ( 0 ) = 20 , p 3 ( 0 ) = 30 , p 4 ( 0 ) = 40 and the desired Δ 0 , 1 ( 0 ) = θ 1 ^ ( 0 ) = 17 , Δ i 1 , i ( 0 ) = θ i ^ ( 0 ) = 15 , for i = 2 , 3 , 4 . It should be noted that the initial values complied with all restrictions.
A long simulation time was chosen t = 800 s to allow the ESCWAO to converge to the optimal point and to prove that whereas ESCWAO optimized the distance, PPC works efficiently. The computational time of the algorithm in our hardware was 40.42 s, indicating that the implementation worked sufficiently in our setup. Figure 4 shows that for the first two vehicles in the platoon, the lowest drag coefficient was achieved when the inter-vehicular distances reached 6 m, for the third vehicle at 5 m, and for the fourth vehicle at 4 m; thus, each vehicle’s ESC controller was expected to converge around these values, respectively. Although in [20] the authors conclude that for all vehicles in the platoon, the optimal distance is 6m, in that simulation, we slightly changed these values for the third and the fourth vehicle in order to investigate whether the algorithm could correctly track and maintain different optimal distances. Furthermore, the initial distances were intentionally selected far from these values to demonstrate the robustness and efficiency of the controllers. Simulation results are shown in the figures below.
Figure 5 shows that the ESCWAO controllers converged correctly to the desired values for all the vehicles in a short time, and for most of the simulation, oscillations at the steady state disappeared, and hence the efficiency was not affected negatively. However, it is clear that in the zoomed plots in the same figure, oscillations in the transient state can be momentarily abrupt. The observers also show promising performance Figure 6, where it is noticeable that the estimations of the drag coefficients are very close to the actual optimal values as stated before in Figure 4. This is a reasonable outcome since it is proved that if the estimations are correct and if fine-tuning has been conducted to the parameters of the ESCWAO part, the algorithm should be able to seek and detect any change in the coefficients that leads to the optimal distance.
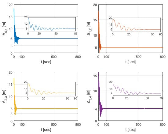
Figure 7 shows the evolution of the position errors e p i ( t ) , i = 1 , 2 , 3 , 4 , along with the corresponding performance functions. It seems that the algorithm not only can maintain the formation of the vehicles despite the lack of knowledge of their dynamic models but also is in place to track the desired distances even when the ESCWAO have not converged yet and formulate correctly all the vehicles along the simulation with prescribed transient and steady-state performance. The zoomed plots in the same figure provide a better insight into the last statement.

Comparative Studies

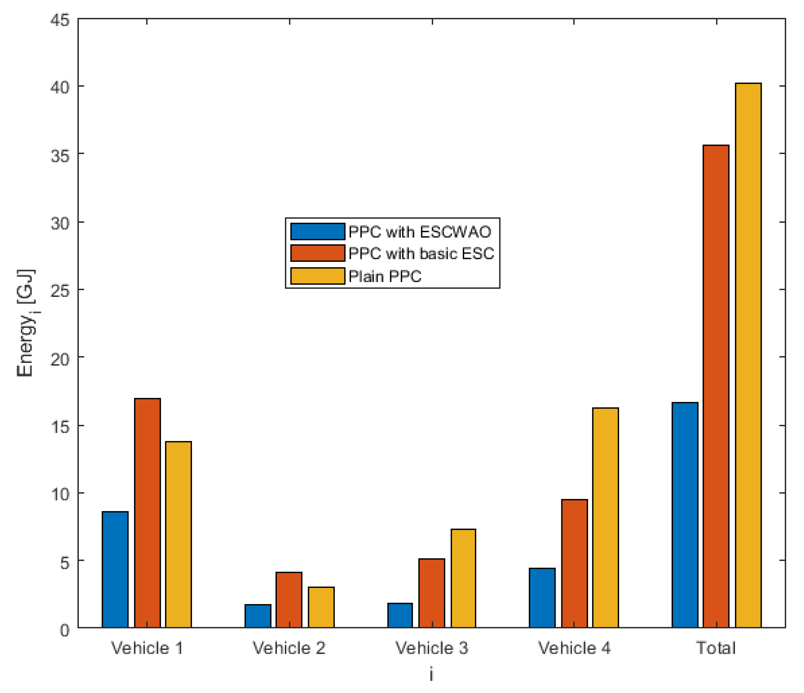
A quite interesting point is to investigate what happens in the algorithm in terms of energy efficiency. The force vector u i is used to calculate the energy of each vehicle and eventually the platoon’s system in total. Specifically, E n e r g y i = 0 800 u i 2 ( τ ) d τ , i = 1 , 2 , 3 , 4 . Employing the same system as before, we compare the final energy values for the plain PPC (fixed inter-vehicular distances), the proposed PPC with ESCWAO, and the basic ESC with PPC, as designed in Figure 2. The setup is the same as before: in the plain PPC we set the desired distance Δ i 1 , i = 8 , i = 1 , 2 , 3 , 4 and in the basic ESC with PPC we set a i = 1 , for i = 1 , 2 , 3 , 4 . Figure 8 shows the comparative results. The total energy that the system requires in the plain PPC is almost double the energy required by the proposed ESCWAO one. Moreover, PPC with a basic ESC system energy requirement is also high and for the first two vehicles in the platoon is individually higher even than the plain ESC indicating that PPC with basic ESC is not worthy at all. It should be noted that the first vehicle behind the leading one requires in all cases more energy than the others due to the fact that its frontal area is set far bigger, demonstrating a larger truck, but still, in our case, the energy is less.
Further investigation of the energy efficiency is provided in Table 1. We implemented the algorithm proposed in [19] for a system of two vehicles neglecting rolling and gradient resistance. For the leading vehicle, we adopted the same velocity profile as before, and for the following vehicle, the second spline-fitted profile for the drag resistance ( C d 2 ) is shown in Figure 4. For the following vehicle m = 1200 kg , A = 2.5 m 2 , p = 1.28 kg m 3 , and the initial distance between the two vehicles was 20m in both cases. Additionally, the sliding mode controller’s (SMC) and high-gain observer parameter values were set the same as the authors suggested in their work. In our case, for the PPC scheme, k p = 1 , k v = 149 , Δ C o l 1 = 2.5 , Δ C o n 1 = 20 , H 1 = L 1 = 10 use the same performance functions as in the previous section and for our observer ϵ 1 = 10 3 .
Concerning the extremum seeking scheme, in the implementation of the ESCWAO with the sliding mode controller ω h = 1.1 , ω l = 0.4 , ω = 1 , k = 0.6 , λ 2 = 0.2 , γ 2 = 6 , g ( a ) = a , a ( 0 ) = 4 , y = 100 C d ^ 2 , and x ^ d = θ ^ ( 0 ) = 17 . In our case, the parameters are set ω h 1 = 3.27 , ω l 1 = 0.5 , ω 1 = 1 , k 1 = 0.7 , λ 2 1 = 0.5 , γ 2 1 = 6 , g ( a 1 ) = a 1 , a 1 ( 0 ) = 4 , y 1 = 700 C d ^ 2 , and Δ 0 , 1 ( 0 ) = θ ^ 1 ( 0 ) = 17 . Following the same energy calculations for a simulation time t = 800 s , it is clear that energy demanding in both cases is close, although in SMC, implementation is slightly less. The important fact is that the computational time in our proposed scheme is almost half the time needed for the computational time of the SMC implementation. Hence, the algorithm proposed in this research provides a different aspect of minimizing the aerodynamic drag force while considering collision and connectivity issues without risking higher energy losses or higher hardware demands.

5. Conclusions and Future Works

The above study suggests an energy-efficient extremum seeking algorithm without steady-state oscillations embedded in the prescribed performance control technique in a vehicle platoon system to minimize the aerodynamic drag force between consecutive vehicles and help the system safely maintain a desired formation while avoiding connectivity issues. Simulation results are quite promising since the goal is achieved and there is no need for a high-end hardware setup in the first place. The algorithm indeed seems to optimize the system in terms of energy demands. However, we should take into consideration that several constraints have been set for the system, and in a real environment, several complex conditions take part in energy consumption. To ensure experimental feasibility, various tests should be conducted to investigate potential solutions for various problems that are caused by uncertainties in the model. Additionally, drag behaviour should be examined under different weather/road conditions to extract richer data and provide a more realistic approach to the drag profiles. Reassured that the algorithm can work under the aforementioned issues, the next immediate goal is to conduct platoon experiments to verify its actual potential. One main objective is to find out whether the oscillations in the transient state, as shown before in Figure 7, can highly affect driving comfort or not. On the other side, the last statement shows that this work can immediately contribute to studies for unmanned vehicles, where comfort issues are not taken into consideration.
Further research can explore how the algorithm can be implemented in real-world transportation systems to improve performance and fuel efficiency. Additionally, research can focus on refining the algorithm to accommodate for uncertainties, such as wind tunnel calibration errors and sensor inaccuracies, that may affect the experimental observations of drag coefficients. In this work, only the longitudinal problem is considered and the vehicle state is obtained directly, which is impossible in a real scenario. Future research can focus on the case. Adopting methods using Kalman filters is a common solution to these problems. For instance, in [23], Kalman filter techniques are proposed to estimate the velocity errors and improve the observations of the heading vector in a complex autonomous vehicle dynamic model. Another interesting study [24] proposes Kalman filter techniques to estimate roll and pitch for vehicles in a platoon system using only the planar kinematic model. These robust works in total rely on the estimated speed, position, and orientation of the vehicles. Another common issue in the real application is the system delays due to different modules which are not considered in our control design. In [25,26], different solutions are proposed to solve the issue for a variety of sensors, both in unmanned independent systems and platoon formations. Adapting the insights of these works in our proposed algorithm can open the way to utilize it in a real platoon scenario. Lastly, a significant challenge is to develop an ESC scheme that considers more than one parameter to improve the accuracy of the optimization, such as energy consumption based on the engine torque. Finally, research can also delve into how to optimize platooning systems considering different weather conditions, altitudes, and other environmental variables that are not considered in this work.

Author Contributions

Conceptualization, C.P.B.; methodology, A.K. and C.P.B.; software, A.K.; validation, A.K.; formal analysis, A.K.; investigation, A.K.; writing—original draft preparation, A.K.; writing—review and editing, C.P.B.; visualization, A.K.; supervision, C.P.B.; project administration, C.P.B. All authors have read and agreed to the published version of the manuscript.

Funding

This research received no external funding.

Institutional Review Board Statement

Not applicable.

Informed Consent Statement

Not applicable.

Data Availability Statement

Not applicable.

Conflicts of Interest

The authors declare no conflict of interest.

Abbreviations

The following abbreviations are used in this manuscript:
PPCPrescribed Performance Control
SMCSliding Mode Control
ESCExtremum Seeking Control
ESCWAOExtremum Seeking Control with Attenuated Oscillation
MPCModel Predictive Control
ACCAdaptive Cruise Control

References

  1. IEA. The Future of Trucks; IEA: Paris, France, 2017; p. 167. [Google Scholar] [CrossRef]
  2. Alam, A.; Besselink, B.; Turri, V.; MåRtensson, J.; Johansson, K.H. Heavy-Duty Vehicle Platooning for Sustainable Freight Transportation: A Cooperative Method to Enhance Safety and Efficiency. IEEE Control. Syst. Mag. 2015, 35, 34–56. [Google Scholar] [CrossRef]
  3. Vohra, V.; Wahba, M.; Akarslan, G.; Ni, R.; Brennan, S. An Examination of Vehicle Spacing to Reduce Aerodynamic Drag in Truck Platoons. In Proceedings of the 2018 IEEE Vehicle Power and Propulsion Conference (VPPC), Chicago, IL, USA, 27–30 August2018; Volume 2018. [Google Scholar] [CrossRef]
  4. Robertson, F.; Bourriez, F.; He, M.; Soper, D.; Baker, C.; Hemida, H.; Sterling, M. An experimental investigation of the aerodynamic flows created by lorries travelling in a long platoon. J. Wind. Eng. Ind. Aerodyn. 2019, 193, 103966. [Google Scholar] [CrossRef]
  5. Pi, D.; Xue, P.; Wang, W.; Xie, B.; Wang, H.; Wang, X.; Yin, G. Automotive platoon energy-saving: A review. Renew. Sustain. Energy Rev. 2023, 179, 113268. [Google Scholar] [CrossRef]
  6. Verginis, C.K.; Bechlioulis, C.P.; Dimarogonas, D.V.; Kyriakopoulos, K.J. Robust Distributed Control Protocols for Large Vehicular Platoons With Prescribed Transient and Steady-State Performance. IEEE Trans. Control. Syst. Technol. 2018, 26, 299–304. [Google Scholar] [CrossRef]
  7. Krstic, M. Performance improvement and limitations in extremum seeking control. Syst. Control. Lett. 2000, 39, 313–326. [Google Scholar] [CrossRef]
  8. Ariyur, K.; Krstic, M. Real-Time Optimization by Extremum-Seeking Control; John Wiley & Sons: Nashville, TN, USA, 2003. [Google Scholar]
  9. Rios-Torres, J.; Malikopoulos, A.A. Automated and Cooperative Vehicle Merging at Highway On-Ramps. IEEE Trans. Intell. Transp. Syst. 2017, 18, 780–789. [Google Scholar] [CrossRef]
  10. Kaluva, S.T.; Pathak, A.; Ongel, A. Aerodynamic Drag Analysis of Autonomous Electric Vehicle Platoons. Energies 2020, 13, 4028. [Google Scholar] [CrossRef]
  11. Swaroop, D.; Rajagopal, K. A review of constant time headway policy for automatic vehicle following. In Proceedings of the ITSC 2001. 2001 IEEE Intelligent Transportation Systems Proceedings (Cat. No.01TH8585), Oakland, CA, USA, 25–29 August 2001; pp. 65–69. [Google Scholar] [CrossRef]
  12. Zhai, C.; Chen, X.; Yan, C.; Liu, Y.; Li, H. Ecological Cooperative Adaptive Cruise Control for a Heterogeneous Platoon of Heavy-Duty Vehicles With Time Delays. IEEE Access 2020, 8, 146208–146219. [Google Scholar] [CrossRef]
  13. van Lierop, M. Model Predictive Control for Vehicle Platooning: A Practical Comparison against Traditional Methods. Master’s Thesis, Delft University of Technology, Delft, The Netherlands, 2022. [Google Scholar]
  14. Caiazzo, B.; Coppola, A.; Petrillo, A.; Santini, S. Distributed Nonlinear Model Predictive Control for Connected Autonomous Electric Vehicles Platoon with Distance-Dependent Air Drag Formulation. Energies 2021, 14, 5122. [Google Scholar] [CrossRef]
  15. Turri, V.; Besselink, B.; Mårtensson, J.; Johansson, K.H. Fuel-efficient heavy-duty vehicle platooning by look-ahead control. In Proceedings of the 53rd IEEE Conference on Decision and Control, Los Angeles, CA, USA, 15–17 December2014; pp. 654–660. [Google Scholar] [CrossRef]
  16. Desjardins, C.; Chaib-draa, B. Cooperative Adaptive Cruise Control: A Reinforcement Learning Approach. IEEE Trans. Intell. Transp. Syst. 2012, 12, 1248–1260. [Google Scholar] [CrossRef]
  17. Larson, J.; Munson, T.; Sokolov, V. Coordinated Platoon Routing in a Metropolitan Network; Society for Industrial and Applied Mathematics: Philadelphia, PA, USA, 2016; pp. 73–82. [Google Scholar] [CrossRef]
  18. Papageorgiou, G.; Barden, J.; Whidborne, J.F.; Garry, K.P. Extremum Seeking Control for Truck Drag Reduction. In Proceedings of the 2018 UKACC 12th International Conference on Control (CONTROL), Sheffield, UK, 5–7 September 2018; pp. 114–119. [Google Scholar] [CrossRef]
  19. Su, Z.; Chen, P. Extremum Seeking Control-based Control Framework for Electric Vehicle Platooning. IFAC-PapersOnLine 2022, 55, 123–128. [Google Scholar] [CrossRef]
  20. Davila, A.; Aramburu, E.; Freixas, A. Making the Best Out of Aerodynamics: Platoons; SAE International: Warrendale, PA, USA, 2013. [Google Scholar] [CrossRef]
  21. Bhattacharjee, D.; Subbarao, K. Extremum seeking control with attenuated steady-state oscillations. Automatica 2021, 125, 109432. [Google Scholar] [CrossRef]
  22. Guo, B.Z.; Zhao, Z.L. On the convergence of an extended state observer for nonlinear systems with uncertainty. Syst. Control. Lett. 2011, 60, 420–430. [Google Scholar] [CrossRef]
  23. Xia, X.; Hashemi, E.; Xiong, L.; Khajepour, A. Autonomous Vehicle Kinematics and Dynamics Synthesis for Sideslip Angle Estimation Based on Consensus Kalman Filter. IEEE Trans. Control. Syst. Technol. 2023, 31, 179–192. [Google Scholar] [CrossRef]
  24. Liu, W.; Xia, X.; Xiong, L.; Lu, Y.; Gao, L.; Yu, Z. Automated Vehicle Sideslip Angle Estimation Considering Signal Measurement Characteristic. IEEE Sensors J. 2021, 21, 21675–21687. [Google Scholar] [CrossRef]
  25. Liu, W.; Quijano, K.; Crawford, M.M. YOLOv5-Tassel: Detecting Tassels in RGB UAV Imagery With Improved YOLOv5 Based on Transfer Learning. IEEE J. Sel. Top. Appl. Earth Obs. Remote. Sens. 2022, 15, 8085–8094. [Google Scholar] [CrossRef]
  26. Han, X.; Xu, R.; Xia, X.; Sathyan, A.; Guo, Y.; Bujanovia, P.; Leslie, E.; Goli, M.; Ma, J. Strategic and tactical decision-making for cooperative vehicle platooning with organized behavior on multi-lane highways. Transp. Res. Part C Emerg. Technol. 2022, 145, 103952. [Google Scholar] [CrossRef]
Figure 1. The closed-loop system after the control design for the i-th vehicle with the PPC and ESC controllers and the drag coefficient observer.
Figure 1. The closed-loop system after the control design for the i-th vehicle with the PPC and ESC controllers and the drag coefficient observer.
Applsci 13 05650 g001
Figure 2. Single parameter basic ESC design with the perturbation signal.
Figure 2. Single parameter basic ESC design with the perturbation signal.
Applsci 13 05650 g002
Figure 3. Single parameter ESCWAO design. The previously constant a signal is now replaced by the scheme of the dithered signal.
Figure 3. Single parameter ESCWAO design. The previously constant a signal is now replaced by the scheme of the dithered signal.
Applsci 13 05650 g003
Figure 4. The real drag coefficient relation to the inter-vehicular distance for each follower vehicle in the platoon.
Figure 4. The real drag coefficient relation to the inter-vehicular distance for each follower vehicle in the platoon.
Applsci 13 05650 g004
Figure 5. The convergence of the desired distance, Δ i 1 , i , for each platoon member under ESCWAO with zoomed plots to clarify the transient state.
Figure 5. The convergence of the desired distance, Δ i 1 , i , for each platoon member under ESCWAO with zoomed plots to clarify the transient state.
Applsci 13 05650 g005
Figure 6. The change in the observed drag coefficient throughout the simulation for each vehicle.
Figure 6. The change in the observed drag coefficient throughout the simulation for each vehicle.
Applsci 13 05650 g006
Figure 7. The position errors e p i = p i 1 p i Δ i illustrated in blue solid lines along with the corresponding performance bounds depicted in red dashed lines. The zoomed plots clarify the transition from the transient to the steady state and the convergence to zero.
Figure 7. The position errors e p i = p i 1 p i Δ i illustrated in blue solid lines along with the corresponding performance bounds depicted in red dashed lines. The zoomed plots clarify the transition from the transient to the steady state and the convergence to zero.
Applsci 13 05650 g007
Figure 8. Required energy that each vehicle and the platoon system demand in total after the simulation, under the three different control cases.
Figure 8. Required energy that each vehicle and the platoon system demand in total after the simulation, under the three different control cases.
Applsci 13 05650 g008
Table 1. The energy demands and computational time comparison for the two different implementations.
Table 1. The energy demands and computational time comparison for the two different implementations.
Energy [GJ]Computational Time [s]
SMC with ESCWAO0.6775.61
PPC with ESCWAO0.58612.17
Disclaimer/Publisher’s Note: The statements, opinions and data contained in all publications are solely those of the individual author(s) and contributor(s) and not of MDPI and/or the editor(s). MDPI and/or the editor(s) disclaim responsibility for any injury to people or property resulting from any ideas, methods, instructions or products referred to in the content.

Share and Cite

MDPI and ACS Style

Katsanikakis, A.; Bechlioulis, C.P. Design and Implementation of an Energy-Efficient Vehicle Platoon Control Algorithm Using Prescribed Performance and Extremum Seeking Control. Appl. Sci. 2023, 13, 5650. https://doi.org/10.3390/app13095650

AMA Style

Katsanikakis A, Bechlioulis CP. Design and Implementation of an Energy-Efficient Vehicle Platoon Control Algorithm Using Prescribed Performance and Extremum Seeking Control. Applied Sciences. 2023; 13(9):5650. https://doi.org/10.3390/app13095650

Chicago/Turabian Style

Katsanikakis, Andreas, and Charalampos P. Bechlioulis. 2023. "Design and Implementation of an Energy-Efficient Vehicle Platoon Control Algorithm Using Prescribed Performance and Extremum Seeking Control" Applied Sciences 13, no. 9: 5650. https://doi.org/10.3390/app13095650

APA Style

Katsanikakis, A., & Bechlioulis, C. P. (2023). Design and Implementation of an Energy-Efficient Vehicle Platoon Control Algorithm Using Prescribed Performance and Extremum Seeking Control. Applied Sciences, 13(9), 5650. https://doi.org/10.3390/app13095650

Note that from the first issue of 2016, this journal uses article numbers instead of page numbers. See further details here.

Article Metrics

Back to TopTop