Study on Impact–Echo Response of Concrete Column near the Edge
Abstract
1. Introduction
2. Background
2.1. Principle of Impact–Echo Method
2.2. Experimental Verification
2.3. Numerical Models
3. Impact Response of Concrete Column
3.1. Experimental Result
3.2. Edge Simulation Results
3.3. Cross-Sectional Mode
4. Result Validation
5. Conclusions
- (1)
- When the impact point is located in the edge region’s influence range, the predominant frequency’s value decreases. When the impact point is farther away from the edge, the predominant frequency returns to the normal level and the predominant frequency is related to the width of the concrete column.
- (2)
- When the impact–echo method is used in the actual detection, when the detection area is located at 0.3 times the width of the measured object, in addition to considering the influence of the internal defects of concrete and the dominant frequency of material degradation, it is also necessary to consider the influence of the component boundary on the detection results.
- (3)
- Through the plane strain finite element simulation, the dominant frequency at the edge is 0.9 times the thickness frequency. The dominant frequency is the natural frequency corresponding to the specific mode under the cross-section. When the distance between the acquisition point and the edge of the concrete column becomes larger, the influence of the edge is also reduced and the dominant frequency is restored to the thickness frequency corresponding to Mode 2.
Author Contributions
Funding
Institutional Review Board Statement
Informed Consent Statement
Data Availability Statement
Acknowledgments
Conflicts of Interest
References
- Zhang, X.; Zhou, D.Y.; Tang, H.S.; Han, X. Experimental study of grout defect identification in precast column based on wavelet packet analysis. Int. J. Distrib. Sens. Netw. 2019, 15, 1550147719889590. [Google Scholar] [CrossRef]
- Guo-Jue, W.; Shi-Yong, J.; Guo-Tao, W.; Jason, M.I. Numerical investigation of precast concrete frames with grouted sleeves and intermediate connections. In Structures; Elsevier: Amsterdam, The Netherlands, 2023. [Google Scholar]
- Chaudhary, M.T.A. Effectiveness of Impact Echo testing in detecting flaws in prestressed concrete slabs. Constr. Build. Mater. 2013, 47, 753–759. [Google Scholar] [CrossRef]
- Lu, X.; Ma, F.L.; Luke, L.; Wang, R.L. Assessing frost resistance of concrete by impact-echo method. Mag. Concr. Res. 2015, 67, 317–324. [Google Scholar] [CrossRef]
- Lu, X.; Sun, Q.C.; Feng, W.; Tian, J.T. Evaluation of dynamic modulus of elasticity of concrete using impact-echo method. Constr. Build. Mater. 2013, 47, 231–239. [Google Scholar] [CrossRef]
- Rickard, L.; Choi, W. Evaluation of Subsurface Damage in Concrete Deck Joints Using Impact Echo Method. Adv. Mater. Sci. Eng. 2016, 2016, 8230398. [Google Scholar] [CrossRef]
- Yao, F.; Chen, G.Y.; Abula, A. Research on signal processing of segment-grout defect in tunnel based on impact-echo method. Constr. Build. Mater. 2018, 187, 280–289. [Google Scholar] [CrossRef]
- Zhang, J.-K.; Yan, W.Z.; Cui, D.-M. Concrete Condition Assessment Using Impact-Echo Method and Extreme Learning Machines. Sensors 2016, 16, 447. [Google Scholar] [CrossRef] [PubMed]
- Pospisil, K.; Manychova, M.; Stryk, J.; Korenska, M.; Matula, R.; Svoboda, V. Diagnostics of Reinforcement Conditions in Concrete Structures by GPR, Impact-Echo Method and Metal Magnetic Memory Method. Remote Sens. 2021, 13, 952. [Google Scholar] [CrossRef]
- Kee, S.-H.; Lee, J.-W.; Candelaria, M.D. Evaluation of Delamination in Concrete by IE Testing Using Multi-Channel Elastic Wave Data. Sensors 2020, 20, 201. [Google Scholar] [CrossRef] [PubMed]
- Meng, H.; Xu, Y.D. Detection of defect in ballastless track based on impact echo method combined with improved SAFT algorithm. Eng. Struct. 2022, 269, 114779. [Google Scholar]
- Xu, X.; Carrera, E.; Augello, R. Benchmarks for higher-order modes evaluation in the free vibration response of open thin-walled beams due to the cross-sectional deformations. Thin-Walled Struct. 2021, 166, 107965. [Google Scholar] [CrossRef]
- Lee, C.; Kee, S.-H.; Kang, J.W.; Choi, B.-J.; Lee, J.W. Interpretation of Impact-Echo Testing Data from a Fire-Damaged Reinforced Concrete Slab Using a Discrete Layered Concrete Damage Model. Sensors 2020, 20, 5838. [Google Scholar] [CrossRef] [PubMed]
- Timoshenko, S.P. X on the transverse vibrations of bars of uniform cross-section. Lond. Edinb. Dublin Philos. Mag. J. Sci. 1922, 43, 125–131. [Google Scholar] [CrossRef]
- Blevins, R.D. Formulas for Natural Frequency and Mode Shape; Van Nostrand Reinhold Company: New York, NY, USA, 1979. [Google Scholar]
- Jang, S.; Bert, C. Free vibration of stepped beams: Higher mode frequencies and effects of steps on frequency. J. Sound Vib. 1989, 132, 164–168. [Google Scholar] [CrossRef]
- Maurizi, M.; Belles, P. Free vibration of stepped beams elastically restrained against translation and rotation at one end. J. Sound Vib. 1993, 163, 182–187. [Google Scholar] [CrossRef]
- Chen, H.H.; Hsiao, K.M. Quadruply coupled linear free vibrations of thin-walled beams with a generic open section. Eng. Struct. 2008, 30, 1319–1334. [Google Scholar] [CrossRef]
- Dey, P.; Talukdar, S. Influence of warping on modal parameters of thin-walled channel section steel beam. Procedia Eng. 2016, 144, 52–59. [Google Scholar] [CrossRef]
- Hsiao, C.; Cheng, C.-C.; Liou, T.; Juang, Y. Detecting flaws in concrete blocks using the impact-echo method. NDT E Int. 2008, 41, 98–107. [Google Scholar] [CrossRef]
- Yumnam, M.; Ghosh, D.; Gupta, H. Empirical mode decomposition based techniques for imaging of shallow delamination in concrete using impact echo. Mech. Syst. Signal Process. 2023, 184, 109668. [Google Scholar] [CrossRef]
- Scherr, J.F.; Grosse, C.U. Delamination detection on a concrete bridge deck using impact echo scanning. Struct. Concr. 2020, 22, 806–812. [Google Scholar] [CrossRef]
- Sang, Y.; Pan, Y.; Ying, W.; Yang, Y. Assessment of mechanical performance and ice content of concrete at low temperature using impact-echo method. Constr. Build. Mater. 2022, 346, 128286. [Google Scholar] [CrossRef]
- Liang, M.-T.; Su, P.-J. Detection of the corrosion damage of rebar in concrete using impact-echo method. Cem. Concr. Res. 2001, 31, 1427–1436. [Google Scholar] [CrossRef]
- Liu, Y.-L.; Liu, Z.; Lai, S.-K. Debonding Detection in the Grouted Joints of Precast Concrete Shear Walls Using Impact-Echo Method. J. Nondestruct. Eval. 2021, 40, 50. [Google Scholar] [CrossRef]
- Lin, Y.-F.; Ye, J.-W.; Lo, C.-M. Application of impact-echo method for rockbolt length detection. Constr. Build. Mater. 2022, 316, 125904. [Google Scholar] [CrossRef]
- Chang, C.-C.; Yu, C.-P.; Lin, Y. Distinction between crack echoes and rebar echoes based on Morlet Wavelet Transform of impact echo signals. NDT E Int. 2019, 108, 102169. [Google Scholar] [CrossRef]
- Kang, J.M.; Song, S.; Park, D.; Choi, C. Detection of cavities around concrete sewage pipelines using impact-echo method. Tunn. Undergr. Space Technol. 2017, 65, 1–11. [Google Scholar] [CrossRef]
- Montiel-Zafra, V.; Canadas-Quesada, F.; Campos-Suñol, M.J.; Vera-Candeas, P.; Ruiz-Reyes, N. Monitoring the internal quality of ornamental stone using impact-echo testing. Appl. Acoust. 2019, 155, 180–189. [Google Scholar] [CrossRef]
- Lin, Y.; Sansalone, M. Transient response of thick rectangular bars subjected to transverse elastic impact. J. Acoust. Soc. Am. 1992, 91, 2674–2685. [Google Scholar] [CrossRef]
- Lin, Y.; Sansalone, M. Transient response of thick circular and square bars subjected to transverse elastic impact. J. Acoust. Soc. Am. 1992, 91, 885–893. [Google Scholar] [CrossRef]











| Edge Distance (cm) | 1 | 10 | 19 | 20 | The Middle of the Column |
|---|---|---|---|---|---|
| Impact–echo measured value (kHz) | - | 2.563 | - | 2.686 | 2.686 |
| SPC-MATS measured value (kHz) | 2.441 | 2.441 | 2.686 | 2.686 | 2.686 |
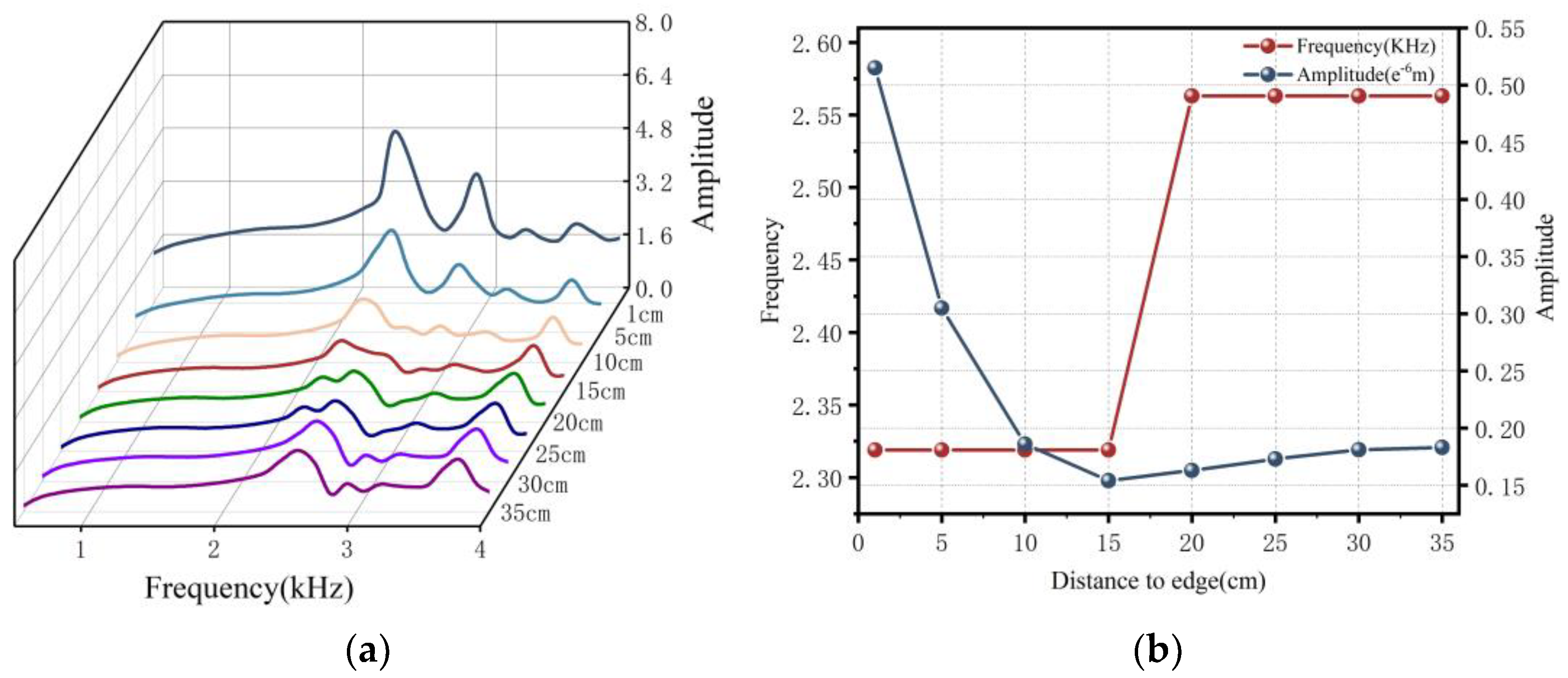
| Distance (cm) | 1 | 5 | 10 | 15 | 20 | 25 | 30 | 35 |
|---|---|---|---|---|---|---|---|---|
| Frequency (kHz) | 2.319 | 2.319 | 2.319 | 2.319 | 2.563 | 2.563 | 2.563 | 2.563 |
| Amplitude (10−6 m) | 0.515 | 0.305 | 0.186 | 0.154 | 0.163 | 0.173 | 0.181 | 0.183 |
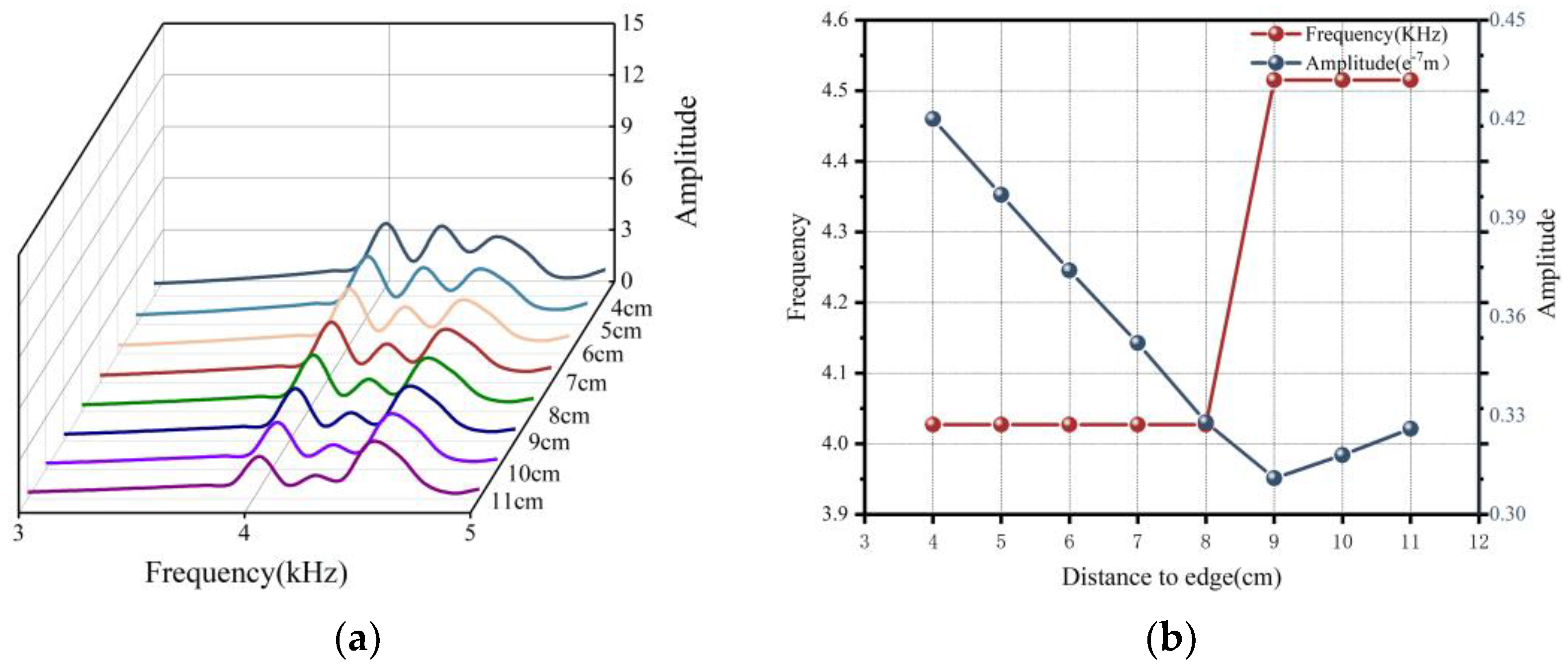
| Distance (cm) | 14 | 15 | 16 | 17 | 18 | 19 | 20 | 21 |
|---|---|---|---|---|---|---|---|---|
| Frequency (kHz) | 2.319 | 2.319 | 2.319 | 2.319 | 2.319 | 2.563 | 2.563 | 2.563 |
| Amplitude (10−6 m) | 0.159 | 0.154 | 0.149 | 0.145 | 0.141 | 0.146 | 0.163 | 0.165 |
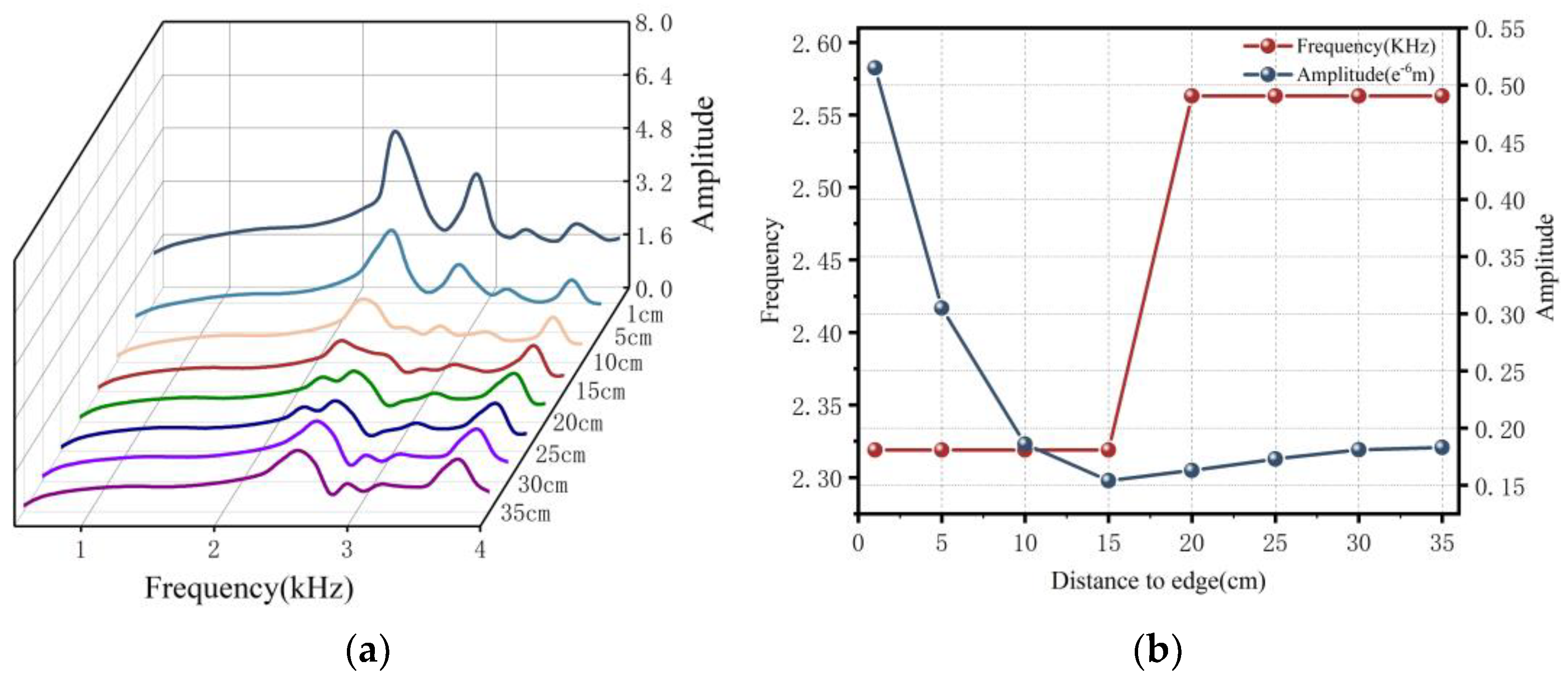
| Distance (cm) | 4 | 5 | 6 | 7 | 8 | 9 | 10 | 11 |
|---|---|---|---|---|---|---|---|---|
| Frequency (kHz) | 4.027 | 4.027 | 4.027 | 4.027 | 4.027 | 4.515 | 4.515 | 4.515 |
| Amplitude (10−6 m) | 0.420 | 0.397 | 0.374 | 0.352 | 0.328 | 0.311 | 0.318 | 0.326 |
| Distance (cm) | 24 | 25 | 26 | 27 | 28 | 29 | 30 | 31 |
|---|---|---|---|---|---|---|---|---|
| Frequency (kHz) | 1.709 | 1.709 | 1.709 | 1.709 | 1.831 | 1.831 | 1.831 | 1.831 |
| Amplitude (10−6 m) | 0.145 | 0.143 | 0.139 | 0.135 | 0.132 | 0.133 | 0.135 | 0.136 |
Disclaimer/Publisher’s Note: The statements, opinions and data contained in all publications are solely those of the individual author(s) and contributor(s) and not of MDPI and/or the editor(s). MDPI and/or the editor(s) disclaim responsibility for any injury to people or property resulting from any ideas, methods, instructions or products referred to in the content. |
© 2023 by the authors. Licensee MDPI, Basel, Switzerland. This article is an open access article distributed under the terms and conditions of the Creative Commons Attribution (CC BY) license (https://creativecommons.org/licenses/by/4.0/).
Share and Cite
Liu, Y.; Xu, H.; Ma, X.; Wang, D.; Huang, X. Study on Impact–Echo Response of Concrete Column near the Edge. Appl. Sci. 2023, 13, 5590. https://doi.org/10.3390/app13095590
Liu Y, Xu H, Ma X, Wang D, Huang X. Study on Impact–Echo Response of Concrete Column near the Edge. Applied Sciences. 2023; 13(9):5590. https://doi.org/10.3390/app13095590
Chicago/Turabian StyleLiu, Yunlin, Hongbao Xu, Xinxin Ma, Donghua Wang, and Xiao Huang. 2023. "Study on Impact–Echo Response of Concrete Column near the Edge" Applied Sciences 13, no. 9: 5590. https://doi.org/10.3390/app13095590
APA StyleLiu, Y., Xu, H., Ma, X., Wang, D., & Huang, X. (2023). Study on Impact–Echo Response of Concrete Column near the Edge. Applied Sciences, 13(9), 5590. https://doi.org/10.3390/app13095590

