Next Article in Journal
The New Role of the Dental Assistant and Nurse in the Age of Advanced Artificial Intelligence in Telehealth Orthodontic Care with Dental Monitoring: Preliminary Report
Next Article in Special Issue
Accumulation Characteristics of Heavy Metals in American Ginseng (Panax quinquefolium L.) and Changes in Their Contents after Soaking the Plants
Previous Article in Journal
A Non-Invasive Optical Multimodal Photoplethysmography-Near Infrared Spectroscopy Sensor for Measuring Intracranial Pressure and Cerebral Oxygenation in Traumatic Brain Injury
Previous Article in Special Issue
Myths and Realities about Genetically Modified Food: A Risk-Benefit Analysis
 
 
Font Type:
Arial Georgia Verdana
Font Size:
Aa Aa Aa
Line Spacing:
Column Width:
Background:
Article

Metal Levels in Serranus atricauda and Sparisoma cretense from the North-Eastern Atlantic Ocean—Contribution to Risk Assessment

by
Alberto Gutiérrez
1,
Enrique Lozano-Bilbao
2,
Ángel J. Gutiérrez-Fernández
1,*,
Soraya Paz-Montelongo
1,
Dailos González-Weller
1,3,
Carmen Rubio-Armendáriz
1,
Daniel Niebla-Canelo
1,
Samuel Alejandro-Vega
1 and
Arturo Hardisson
1
1
Área de Toxicología, Universidad de La Laguna, 38071 La Laguna, Spain
2
Grupo de Investigación en Ecología Marina Aplicada y Pesquerías (EMAP), Instituto de Investigación de Estudios Ambientales y Recursos Naturales (i-UNAT), Campus de Tafira, Universidad de Las Palmas de Gran Canaria, 35017 Las Palmas de Gran Canaria, Spain
3
Canarian Public Health Service, Central Laboratory, 38006 Santa Cruz de Tenerife, Spain
*
Author to whom correspondence should be addressed.
Appl. Sci. 2023, 13(8), 5213; https://doi.org/10.3390/app13085213
Submission received: 20 March 2023 / Revised: 14 April 2023 / Accepted: 17 April 2023 / Published: 21 April 2023
(This article belongs to the Special Issue Toxicants and Contaminants in Food)

Abstract

The objective of this study was to study whether the metal concentrations in Sparisoma cretense and Serranus atricauda differ between different coastal areas around the island of Tenerife, Canary Islands and to study whether these species are good bioindicators of pollution. Thirty samples of each species were collected from three parts of the coastline around the island, and samples of muscle and liver tissue were taken from the collected specimens. The determination of the metal content (Al, Cd, Pb, Ca, K, Mg, Na, B, Ba, Cr, Cu, Fe, Li, Mn, Mo, Ni, Zn) was performed by inductively coupled plasma optical emission spectrometry (ICP-OES) before conducting a PERMANOVA analysis. The mean metal concentration was significantly higher in the liver tissue than in the muscle tissue of the two species studied. S. atricauda specimens had a larger number of metals with a higher concentration, and the samples from the northern and eastern zones were found to have a higher concentration of elements than those from the southern zone. The northern and eastern zones were found to have a higher concentration of metals and trace elements than the southern zone, which could be explained by the fact that these zones are more polluted due to their higher population density.

1. Introduction

The world’s oceans have been polluted by intensive anthropic action for many decades, and the chemical compounds discharged into them enter the trophic networks, which are then assimilated and accumulated by marine organisms, from primary producers such as phytoplankton to predators [1,2,3]. Many of the compounds are discharged through submarine outfalls and coastal runoff from crop fields, and it is the coastal areas with the highest populations that have the highest concentrations of metals and trace elements [4,5,6]. These elements, in small concentrations, can cause a fertilization effect in the environment, but when the concentrations increase above a certain threshold, characteristic of each metal, each organism and each ecosystem, they have harmful effects [7,8,9,10]. The danger of heavy metals is greater, as they are not chemically or biologically degradable. Once released, they can remain in the marine ecosystem for hundreds of years because they enter the food web [11,12,13].
Among marine organisms and due to their high consumption by the population, fish are important indicators of pollution because the high concentrations of metals in their tissues and organs are directly related to water pollution and the bioaccumulation of contaminants in the food chain [14,15,16,17]. Sparisoma cretense (Linnaeus, 1758) is an omnivorous species that feeds on algae on rocks and its benthic animals and on sea grass and microinvertebrates, especially crustaceans and small mollusks. It belongs to the group of herbivores that have developed special muscles and bones in the pharynx, which function as a crusher, and it uses these plates in the pharyngeal area to grind all the food it eats, which results in a reddish-brown paste in its intestines [18,19,20].
Serranus atricauda (Günther, 1874) plays an important role in coastal marine ecosystems where it is an active predator of small fish, crustaceans, bivalves, gastropods and urochordates of the thaliacea family. It is a solitary and territorial fish that usually lives on the coastline and in sub-littoral areas on shallow rocky bottoms, up to 350 m deep. It hides among rocks, caves or any cavity if it feels threatened [21,22,23].
Bearing in mind all the above, the objective of this study is to study whether the metal concentrations in S. cretense and S. atricauda differ between different coastal areas around the island of Tenerife, Canary Islands and to study whether these species are good bioindicators of coastal pollution.
Two types of tissue were used to determine the levels of toxic heavy metals and trace elements. Muscle tissue was chosen because of its high consumption by the human population and liver tissue because it is the main target organ for the accumulation of heavy metals in S. cretense and S. atricauda.

2. Materials and Methods

A total of thirty samples of both Sparisoma cretense and Serranus atricauda were used in the study. Ten specimens of each species were acquired from the following three areas of Tenerife: the north, the south and the east. The eastern zone is where the densely populated capital of the island of Tenerife, Santa Cruz is located.
The division into zones was based on geographical reasons (Figure 1) The southern zone is where there is the most tourism activity and the northern zone is where the tides and currents are strongest, which also has large stretches of steep coastline that is difficult to access. These zones were chosen due to the geomorphology of the island of Tenerife, as it has three slopes with different oceanographic conditions.
Approximately 10–15 g of muscle and liver were placed in capsules and dried in an oven at 70 °C for 24 h. The samples were then incinerated in a muffle furnace for 24 h at 450 °C ± 25 °C, until white ash was obtained. The white ashes were filtered with a 1.5% HNO3 solution (Merck, Darmstadt, Germany) made up to a total volume of 25 mL for the subsequent determination of the metal content by inductively coupled plasma optical emission spectrometry (ICP-OES) measured in mg/kg. A quality control solution was used to assess the accuracy of the determinations every ten samples. Furthermore, certified reference materials (DORM-2, fish muscle and DORM-4, fish protein) were used to ensure the precision and accuracy of the results. All data are presented as milligrams per kilogram, wet weight. Blanks and standard reference materials were run together with the samples. The metals and trace elements sampled were the following: Al, Cd, Pb, Ca, K, Mg, Na, B, Ba, Cr, Cu, Fe, Li, Mn, Mo, Ni, Zn [24].
A statistical analysis was conducted using a multivariate permutational analysis of variances (PERMANOVA) with Euclidean distances [25] in order to determine whether there were variations in the content of heavy metals and trace elements among the analyzed samples.
In all the analyzes, nine-unit permutations and posterior comparisons were used to determine the differences between the levels of the significant factors according to the concentrations of metals and trace elements (p-value < 0.05) [26]. The PRIMER 7 and PERMANOVA + v.1.0.1 statistical packages were used for the statistical analyses. The pairwise analysis was designed with the fixed factors “Species” with two levels (Sparisoma cretense and Serranus atricauda) and “Zones” with three levels (north, south and east) using the muscle and liver concentration of metals and trace elements.

3. Results and Discussion

Table 1 shows the means of the standard length (cm) and the weight (g) of the specimens of each species. Sparisoma cretense is both heavier and longer than Serranus cabrilla.
Table 2 shows the mean metal concentrations of the two species in each study area, observing that the liver tissue has a higher concentration of metals and trace elements because this is a target organ for toxins and it is where most metals accumulate [27].
The PERMANOVA analysis did not show significant differences in the content of metals and trace elements in the muscle of the species in each location (Table 3). However, the species showed significant differences in the metal content of Serranus atricauda and Sparisoma cretense in the eastern zone in the PERMANOVA analysis of the metal content in the muscle in each zone (Table 4). Table 5 shows the pairwise comparisons between the two species for each metal and trace element in the three study areas. The eastern area is where most metals (Ba, Ca, Cu, K, Mn, Pb and Zn) have significant differences and S. atricauda has the highest concentration of Ca, Cu, K, Pb and Zn. The southern zone resembles the eastern since it also has significant differences in Ca, Cu and Zn, with S. atricauda having the highest concentration of these metals. There were significant differences in Ca, Mn and Zn in the northern zone, with S. atricauda containing the highest concentrations of Cd and Zn. S. atricauda had a higher number of metals with a higher concentration in the three study areas than S. cretense, and this may be due to the fact that S. atricauda is a benthic predator species [28]. Therefore, it feeds on benthic organisms [29], whereas S. cretense is an omnivorous species that feeds in different habitats, so its diet does not depend exclusively on the seabed [30].
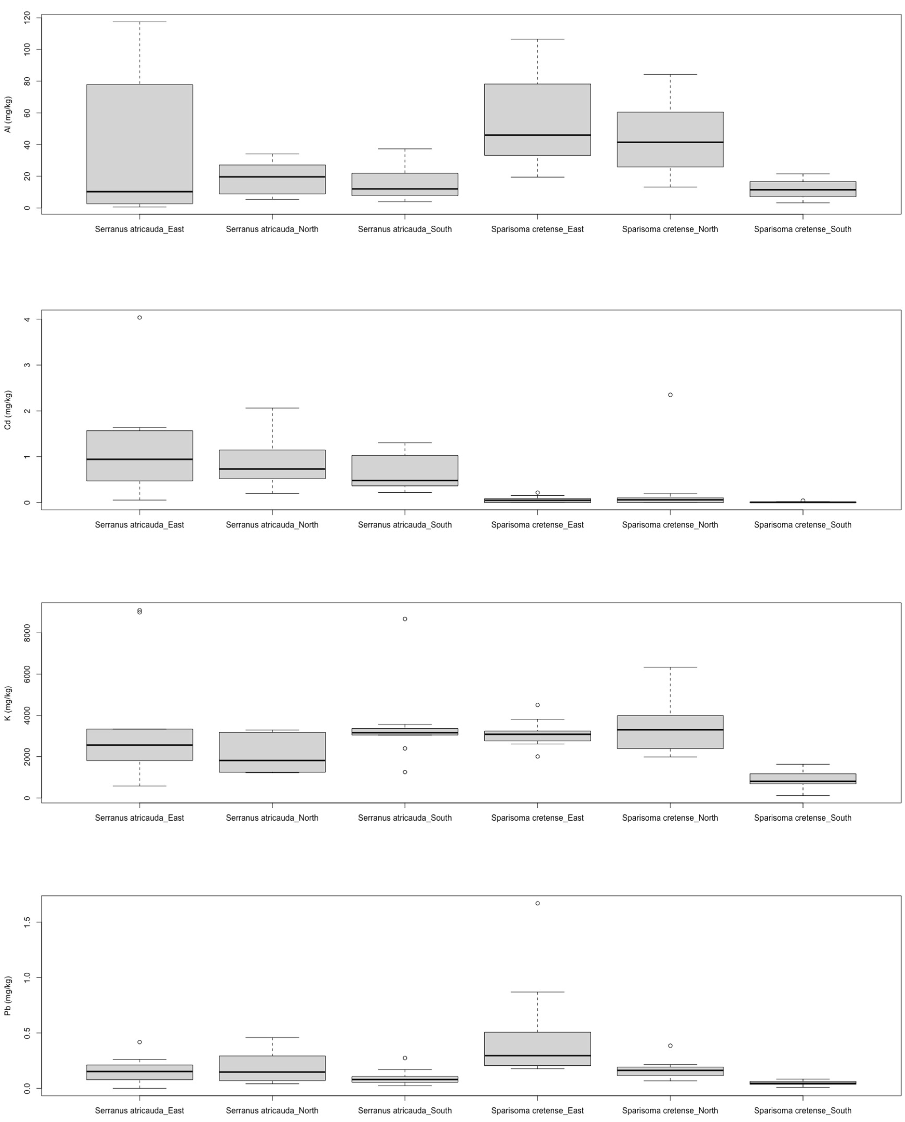
The PERMANOVA analysis showed significant differences in the content of metals and trace elements in the liver in S. cretense in the southern zone with respect to the northern and eastern zones (Table 6). The analysis of the pairwise comparisons between the locations for each species shows that all metals and trace elements, with the exception of Li, have statistically significant differences in the case of S. cretense in the southern zone with respect to the other study areas (Table 7). In the case of S. cretense, no metal or trace element was found with the highest concentration in the southern zone, with the specimens from the northern zone containing the highest concentrations of B, Ba, Ca, Cd, Fe, K, Mg, Mn, Mo, Na and Zn and the highest concentrations of Al, Cu, Ni and Pb were found in specimens from the eastern zone (Figure 2 and Figure 3). Although there is a high level of tourism activity in the south of Tenerife [17], the highest population density is found in the northern and eastern parts of the island where the capital and the port are located. The population of the capital and the port produce large quantities of discharge, which are responsible for the high concentrations of Al and Pb.
The PERMANOVA analysis of the metal content in the liver of S. cretense and S. atricauda in each sampling zone identified statistically significant differences between the two species from the southern zone (Table 8).
Table 9 shows the pairwise comparisons between the two species for each metal and trace element in each locality, with significant differences in the southern zone for all the metals except Al and Li. S. atricauda had a higher metal concentration than S. cretense in all the metals and trace elements except Ni (Figure 3), and this may be due to the fact that S. atricauda is a benthic predator species [28]. Therefore, it feeds on organisms that have accumulated higher concentrations of metals, since many of these settle on the seabed [29]. However, S. cretense is an omnivorous species that feeds in different habitats, so its diet does not depend exclusively on the seabed [30,31].
The liver contains a large quantity of essential metals, which, a priori, could lead one to think that this organ is of much interest from the nutritional point of view. However, on the other hand, the concentration of toxic metals in the liver tissue is thirty-five times the concentration in the muscle, and, because of this, the consumption of liver could be potentially dangerous; furthermore, the concentrations of trace metals that could be potentially toxic in large amounts are notably higher in the liver [32,33,34,35].
Table 10 shows the comparison with other authors; it should be noted that not many studies have analyzed the concentration of metals and trace elements in S. cretense and S. atricauda in the Atlantic Ocean. In fact, after reviewing the literature, the only data found for S. cretense in the Canary Islands [36,37] show that the concentrations reported more than 25 years ago in S. cretense are much higher than those obtained in the present study. In the case of toxic heavy metals such as Cd (0.077 mg/kg) and Pb (1.43 mg/kg), the concentrations are more than ten times higher than the data obtained in the present study. This may be explained by the fact that current environmental regulations and controls are stricter than those that were in force in the past, and, perhaps more importantly, because gasoline is no longer made with Pb.
The study of Afonso et al. [15] on the island of Gran Canaria (Canary Islands) reports that the metal concentrations in S. cretense, with the exception of Pb (0.23 mg/kg), were lower than those obtained in the present study. Fernández-Echevarría, 2017 analyzed the trace elements in Serranus cabrilla from Tenerife (Canary Islands) and found higher concentrations of Al, Ba, Cd, Cu, Fe, Li, Ni and Pb. These values suggest that S. cabrilla bioaccumulates more metals than S. atricauda. Roméo et al. [38] studied the concentrations of Serranus scriba on the coast of Mauritania, identifying levels of 20 mg/kg of Zn, which is five times higher than the concentrations obtained in the present study, and this may be due to the fact that Mauritania is influenced to a greater degree than the Canary Islands by the Sahara Desert, which is rich in Zn, as the upwelling it creates brings nutrients to the surface waters [14,39,40,41].
Studies carried out in the Mediterranean Sea, in Egypt and in Turkey report values in all metals and trace elements greater than those in the present study, and this is because the Mediterranean Sea is a closed sea whose only opening to the Atlantic is the Strait of Gibraltar and, therefore, it has a notably low water renewal rate, causing pollutants to accumulate in organisms [42,43,44,45].

4. Conclusions

The mean metal concentration was significantly higher in liver tissue than in muscle tissue of the two species studied. The only exceptions are Ca, which had a significantly higher mean result in muscle tissue, and K and Mg, whose concentrations were statistically similar in both tissues.
Serranus atricauda specimens had a larger number of metals with a higher concentration in the three study zones than Sparisoma cretense, with higher concentrations of Ca, Cu, K, Pb and Zn being found in S. atricauda. The southern zone resembles the eastern zone, as it was also found to have significant differences in Ca, Cu and Zn concentrations, with S. atricauda having the highest concentrations of these metals. The northern zone was found to have significant differences in Ca, Mn and Zn concentrations, with S. atricauda containing the highest concentrations of Cd and Zn, which may be because S. atricauda is a benthic predator species. The northern and eastern zones were found to have a higher concentration of metals and trace elements than the southern zone, which could be explained by the fact that these zones are more polluted due to their higher population density.
These two species are of great fishing interest in the Canary archipelago, so it is vital to carry out a biannual monitoring of the content of metals and trace elements in order to develop nutritional studies, as well as to monitor risk assessment. It is important to know the areas with the lowest concentration of toxic metals in order to avoid them. A project for the elimination of this contamination in the affected areas should also be carried out.

Author Contributions

Methodology, E.L.-B.; Validation, S.P.-M.; Formal analysis, Á.J.G.-F. and D.G.-W.; Investigation, A.G., E.L.-B., Á.J.G.-F., D.G.-W., C.R.-A., D.N.-C., S.A.-V. and A.H.; Resources, A.H.; Data curation, Á.J.G.-F.; Writing—original draft, E.L.-B. and S.P.-M.; Writing—review and editing, Á.J.G.-F.; Supervision, A.H. All authors have read and agreed to the published version of the manuscript.

Funding

This research received no external funding.

Institutional Review Board Statement

Not applicable.

Informed Consent Statement

Not applicable.

Data Availability Statement

All data used to conduct the study will be available upon request without any issue.

Conflicts of Interest

The authors declare no conflict of interest.

References

  1. Huang, Y.-J.; Jiang, Z.-B.; Zeng, J.-N.; Chen, Q.-Z.; Zhao, Y.; Liao, Y.; Shou, L.; Xu, X. The chronic effects of oil pollution on marine phytoplankton in a subtropical bay, China. Environ. Monit. Assess. 2011, 176, 517–530. [Google Scholar] [CrossRef]
  2. Lozano-Bilbao, E.; Espinosa, J.M.; Jurado-Ruzafa, A.; Lozano, G.; Hardisson, A.; Rubio, C.; Weller, D.G.; Gutiérrez, Á.J.; González Weller, D.; Gutiérrez, Á.J. Inferring Class of organisms in the Central-East Atlantic from eco-toxicological characterization. Reg. Stud. Mar. Sci. 2020, 35, 101190. [Google Scholar] [CrossRef]
  3. Shekhar, T.R.S.; Kiran, B.R.; Puttaiah, E.T.; Shivaraj, Y.; Mahadevan, K.M. Phytoplankton as index of water quality with reference to industrial pollution. J. Environ. Biol. 2008, 29, 233. [Google Scholar]
  4. Bonin-Font, F.; Campos, M.M.; Carrasco, P.N.; Codina, G.O.; Font, E.G.; Fidalgo, E.G. Towards a new methodology to evaluate the environmental impact of a marine outfall using a lightweight AUV. In Proceedings of the OCEANS 2017-Aberdeen, Aberdeen, UK, 19–22 June 2017; pp. 1–8. [Google Scholar] [CrossRef]
  5. Lozano-Bilbao, E.; Domínguez, D.; González, J.A.; Lorenzo, J.M.; Lozano, G.; Hardisson, A.; Rubio, C.; Weller, D.G.; Paz, S.; Gutiérrez, Á.J. Risk assessment and study of trace/heavy metals in three species of fish of commercial interest on the island of El Hierro (Canary Islands, eastern-central Atlantic). J. Food Compos. Anal. 2021, 99, 103855. [Google Scholar] [CrossRef]
  6. Žvab Rožič, P.; Dolenec, T.; Baždarić, B.; Karamarko, V.; Kniewald, G.; Dolenec, M. Major, minor and trace element content derived from aquacultural activity of marine sediments (Central Adriatic, Croatia). Environ. Sci. Pollut. Res. 2012, 19, 2708–2721. [Google Scholar] [CrossRef]
  7. Atici, T.; Obali, O.; Altindag, A.; Ahiska, S.; Aydin, D. The accumulation of heavy metals (Cd, Pb, Hg, Cr) and their state in phytoplanktonic algae and zooplanktonic organisms in Beysehir Lake and Mogan Lake, Turkey. Afr. J. Biotechnol. 2010, 9, 475–487. [Google Scholar]
  8. Deheyn, D.D.; Gendreau, P.; Baldwin, R.J.; Latz, M.I. Evidence for enhanced bioavailability of trace elements in the marine ecosystem of Deception Island, a volcano in Antarctica. Mar. Environ. Res. 2005, 60, 1–33. [Google Scholar] [CrossRef] [PubMed]
  9. Korkmaz, C.; Ay, Ö.; Ersoysal, Y.; Köroğlu, M.A.; Erdem, C. Heavy metal levels in muscle tissues of some fish species caught from north-east Mediterranean: Evaluation of their effects on human health. J. Food Compos. Anal. 2019, 81, 1–9. [Google Scholar] [CrossRef]
  10. Kucuksezgin, F.; Kontas, A.; Uluturhan, E. Evaluations of heavy metal pollution in sediment and Mullus barbatus from the Izmir Bay (Eastern Aegean) during 1997–2009. Mar. Pollut. Bull. 2011, 62, 1562–1571. [Google Scholar] [CrossRef]
  11. Carravieri, A.; Cherel, Y.; Jaeger, A.; Churlaud, C.; Bustamante, P. Penguins as bioindicators of mercury contamination in the southern Indian Ocean: Geographical and temporal trends. Environ. Pollut. 2016, 213, 195–205. [Google Scholar] [CrossRef]
  12. Lozano-Bilbao, E.; Clemente, S.; Espinosa, J.M.; Jurado-Ruzafa, A.; Lozano, G.; Raimundo, J.; Hardisson, A.; Rubio, C.; González-Weller, D.; Jiménez, S.; et al. Inferring trophic groups of fish in the central-east Atlantic from eco-toxicological characterization. Chemosphere 2019, 229, 247–255. [Google Scholar] [CrossRef]
  13. Penicaud, V.; Lacoue-Labarthe, T.; Bustamante, P. Metal bioaccumulation and detoxification processes in cephalopods: A review. Environ. Res. 2017, 155, 123–133. [Google Scholar] [CrossRef] [PubMed]
  14. Afandi, I.; Talba, S.; Benhra, A.; Benbrahim, S.; Chfiri, R.; Labonne, M.; Masski, H.; Laë, R.; Tito De Morais, L.; Bekkali, M.; et al. Trace metal distribution in pelagic fish species from the north-west African coast (Morocco). Int. Aquat. Res. 2018, 10, 191–205. [Google Scholar] [CrossRef]
  15. Afonso, A.; Gutiérrez, Á.J.; Lozano, G.; González-Weller, D.; Lozano-Bilbao, E.; Rubio, C.; Caballero, J.M.; Revert, C.; Hardisson, A. Metals in Diplodus sargus cadenati and Sparisoma cretense—A risk assessment for consumers. Environ. Sci. Pollut. Res. 2018, 25, 2630–2642. [Google Scholar] [CrossRef] [PubMed]
  16. Lozano-Bilbao, E.; González-Delgado, S.; Alcázar-Treviño, J. Use of survival rates of the barnacle Chthamalus stellatus as a bioindicator of pollution. Environ. Sci. Pollut. Res. 2021, 28, 1247–1253. [Google Scholar] [CrossRef] [PubMed]
  17. Lozano-Bilbao, E.; Lozano, G.; Jiménez, S.; Jurado-Ruzafa, A.; Hardisson, A.; Rubio, C.; Weller, D.-G.; Paz, S.; Gutiérrez, Á.J. Seasonal and ontogenic variations of metal content in the European pilchard (Sardina pilchardus) in northwestern African waters. Environ. Pollut. 2020, 266, 115113. [Google Scholar] [CrossRef] [PubMed]
  18. Domingues, V.S.; Alexandrou, M.; Almada, V.C.; Robertson, D.R.; Brito, A.; Santos, R.S.; Bernardi, G. Tropical fishes in a temperate sea: Evolution of the wrasse Thalassoma pavo and the parrotfish Sparisoma cretense in the Mediterranean and the adjacent Macaronesian and Cape Verde Archipelagos. Mar. Biol. 2008, 154, 465–474. [Google Scholar] [CrossRef]
  19. Gonzalez, J.A.; Hernandez-Cruz, C.M.; Lozano, I.J. Fecundity of Sparisoma (Euscarus) cretense (L.) (Osteichthyes, Scaridae) in the Canary Islands. Bol. Instituo Esp. Oceanogr. 1993, 9, 123–131. [Google Scholar]
  20. Petrakis, G.; Papaconstantinou, C. Biology of Sparisoma cretense in the Dodecanese (Greece). J. Appl. Ichthyol. 1990, 6, 14–23. [Google Scholar] [CrossRef]
  21. García-Díaz, M.; González, J.A.; Lorente, M.J.; Tuset, V.M. Spawning season, maturity sizes, and fecundity in blacktail comber (Serranus atricauda)(Serranidae) from the eastern-central Atlantic. Fish. Bull. 2006, 104, 159–166. [Google Scholar]
  22. Ortega, A.T.S.; Hernández, J.J.C. Variaciones en la reproducción y crecimiento de la cabrilla (Serranus atricauda) en aguas de Canarias. Vector Plusmiscelánea Científico-Cult. 2007, 29, 57–67. [Google Scholar]
  23. Tuset, V.M.; García-Díaz, M.M.; Gonzalez, J.A.; Lorente, M.J.; Lozano, I.J. Reproduction and growth of the painted comber Serranus scriba (Serranidae) of the Marine Reserve of Lanzarote Island (Central-Eastern Atlantic). Estuar. Coast. Shelf Sci. 2005, 64, 335–346. [Google Scholar] [CrossRef]
  24. Lozano-Bilbao, E.; Jurado-Ruzafa, A.; Lozano, G.; Jiménez, S.; Hardisson, A.; Rubio, C.; Weller, D.G.; Paz, S.; Gutiérrez, Á.J. Development stage and season influence in the metal content of small pelagic fish in the North-West Africa. Chemosphere 2020, 261, 127692. [Google Scholar] [CrossRef]
  25. Anderson, M.; Braak, C.T. Permutation tests for multi-factorial analysis of variance. J. Stat. Comput. Simul. 2003, 73, 85–113. [Google Scholar] [CrossRef]
  26. Anderson, M.R. The Resource for the Power Industry Professional. In Proceedings of the ASME 2004 Power Conference, Baltimore, ML, USA, 30 March–1 April 2004; Volume 32. [Google Scholar]
  27. Evans, D.W.; Dodoo, D.K.; Hanson, P.J. Trace element concentrations in fish livers: Implications of variations with fish size in pollution monitoring. Mar. Pollut. Bull. 1993, 26, 329–334. [Google Scholar] [CrossRef]
  28. Morato, T.; Santos, R.S.; Andrade, J.P. Feeding habits, seasonal and ontogenetic diet shift of blacktail comber, Serranus atricauda (Pisces: Serranidae), from the Azores, north-eastern Atlantic. Fish. Res. 2000, 49, 51–59. [Google Scholar] [CrossRef]
  29. Bufflap, S.E.; Allen, H.E. Sediment pore water collection methods for trace metal analysis: A review. Water Res. 1995, 29, 165–177. [Google Scholar] [CrossRef]
  30. Espino, F.; González, J.A.; Haroun, R.; Tuya, F. Abundance and biomass of the parrotfish Sparisoma cretense in seagrass meadows: Temporal and spatial differences between seagrass interiors and seagrass adjacent to reefs. Environ. Biol. Fishes 2015, 98, 121–133. [Google Scholar] [CrossRef]
  31. Lobel, P.S. Trophic biology of herbivorous reef fishes: Alimentary pH and digestive capabilities. J. Fish Biol. 1981, 19, 365–397. [Google Scholar] [CrossRef]
  32. Ardeshir, R.A.; Movahedinia, A.-A.; Rastgar, S. Fish liver biomarkers for heavy metal pollution: A review article. Am. J. Toxicol. 2017, 2, 1–8. [Google Scholar]
  33. Canli, M.; Atli, G. The relationships between heavy metal (Cd, Cr, Cu, Fe, Pb, Zn) levels and the size of six Mediterranean fish species. Environ. Pollut. 2003, 121, 129–136. [Google Scholar] [CrossRef]
  34. Eastwood, S.; Couture, P. Seasonal variations in condition and liver metal concentrations of yellow perch (Perca flavescens) from a metal-contaminated environment. Aquat. Toxicol. 2002, 58, 43–56. [Google Scholar] [CrossRef]
  35. Jezierska, B.; Witeska, M. The metal uptake and accumulation in fish living in polluted waters. In Soil and Water Pollution Monitoring, Protection and Remediation; Springer: Berlin/Heidelberg, Germany, 2006; pp. 107–114. [Google Scholar]
  36. Diaz, C.; Galindo, L.; Montelongo, F.G. Distribution of metals in some fishes from Santa Cruz de Tenerife, Canary Islands. Bull. Environ. Contam. Toxicol. 1994, 52, 374–381. [Google Scholar] [CrossRef]
  37. Garcia-Montelongo, F.; Díaz, C.; Galindo, L.; Larrechi, M.S.; Rius, X. Heavy metals in three fish species from the coastal waters of Santa Cruz de Tenerife (Canary Islands). Sci. Mar. 1994, 58, 179–183. [Google Scholar]
  38. Roméo, M.; Siau, Y.; Sidoumou, Z.; Gnassia-Barelli, M. Heavy metal distribution in different fish species from the Mauritania coast. Sci. Total Environ. 1999, 232, 169–175. [Google Scholar] [CrossRef]
  39. Chester, R.; Keyse, S.; Nimmo, M. The Influence of Saharan and Middle Eastern Desert-Derived Dust on the Trace Metal Composition of Mediterranean Aerosols and Rainwaters: An Overview BT—The Impact of Desert Dust Across the Mediterranean; Guerzoni, S., Chester, R., Eds.; Springer: Dordrecht, The Netherlands, 1996; pp. 253–273. [Google Scholar] [CrossRef]
  40. Lozano-Bilbao, E.; Delgado-Suárez, I.; Paz-Montelongo, S.; Hardisson, A.; Pascual-Fernández, J.J.; Rubio, C.; Gutiérrez, Á.J. Risk Assessment and Characterization in Tuna Species of the Canary Islands According to Their Metal Content. Foods 2023, 12, 1438. [Google Scholar] [CrossRef] [PubMed]
  41. Ohde, T.; Siegel, H. Biological response to coastal upwelling and dust deposition in the area off Northwest Africa. Cont. Shelf Res. 2010, 30, 1108–1119. [Google Scholar] [CrossRef]
  42. Ayd, S.; Öztürk, M.; Aydin-Önen, S.; Öztürk, M.; Aydın-Önen, S.; Öztürk, M.; Aydin-Önen, S.; Öztürk, M. Investigation of heavy metal pollution in eastern Aegean Sea coastal waters by using Cystoseira barbata, Patella caerulea, and Liza aurata as biological indicators. Environ. Sci. Pollut. Res. 2017, 24, 7310–7334. [Google Scholar] [CrossRef]
  43. Benedicto, J.; Guerrero, J.; Jornet, A. Metal contamination in Portman Bay (Murcia, SE Spain) 15 years after the cessation of mining activities Contaminación por metales en la bahía de Portmán (Murcia, SE España) 15 años después del cese de las actividades mineras. Cienc. Mar. 2008, 34, 389–398. [Google Scholar]
  44. Dural, M.; Göksu, M.Z.L.; Özak, A.A. Food Chemistry Investigation of heavy metal levels in economically important fish species captured from the Tuzla lagoon. Food Chem. 2007, 102, 415–421. [Google Scholar] [CrossRef]
  45. Labropoulou, M.; Machias, A.; Tsimenides, N.; Eleftheriou, A. Feeding habits and ontogenetic diet shift of the striped red mullet, Mullus surmuletus Linnaeus, 1758. Fish. Res. 1997, 31, 257–267. [Google Scholar] [CrossRef]
  46. Fernández-Echevarría, I. Estudio del Contenido de Metales Pesados Tóxicos, Macroconstituyentes, Microconstituyentes y Traza en la Cabrilla” Serranus cabrilla” (Linnaeus 1758); Trab. Fin Carrera, ULL: La Laguna, Spain, 2017. [Google Scholar]
  47. Abdallah, M.A.M. Trace element levels in some commercially valuable fish species from coastal waters of Mediterranean Sea, Egypt. J. Mar. Syst. 2008, 73, 114–122. [Google Scholar] [CrossRef]
  48. Abdel Ghani, S.A. Trace metals in seawater, sediments and some fish species from Marsa Matrouh Beaches in north-western Mediterranean coast, Egypt. Egypt. J. Aquat. Res. 2015, 41, 145–154. [Google Scholar] [CrossRef]
  49. Deniz, A.; Kosker, A.R.; Agilkaya, G.S.; Bakan, M.; Yaglioglu, D. The effects of age and individual size on metal levels of Serranus cabrilla (Linnaeus, 1758) from the Yeşilovacık Bay (Northeasthern Mediterranean, Turkey). Nat. Eng. Sci. 2018, 3, 248–254. [Google Scholar]
Figure 1. Map of the sampling zones around the island of Tenerife.
Figure 1. Map of the sampling zones around the island of Tenerife.
Applsci 13 05213 g001
Figure 2. Boxplot of the two species in each sampling area for Ca, Cu and Pb.
Figure 2. Boxplot of the two species in each sampling area for Ca, Cu and Pb.
Applsci 13 05213 g002
Figure 3. Boxplot of the two species in each sampling area for Al, Cd, K and Pb.
Figure 3. Boxplot of the two species in each sampling area for Al, Cd, K and Pb.
Applsci 13 05213 g003
Table 1. Biometric means of the study species.
Table 1. Biometric means of the study species.
SpeciesWeight (g)Length (cm)
Sparisoma cretense158.3 ± 52.3721.05 ± 2.57
Serranus cabrilla97.67 ± 29.3619.41 ± 2.43
Table 2. Means and standard deviations (in mg/kg) of Serranus atricauda and Sparisoma cretense according to study area.
Table 2. Means and standard deviations (in mg/kg) of Serranus atricauda and Sparisoma cretense according to study area.
Serranus atricaudaSparisoma cretense
NorthEastSouthNorthEastSouth
Al Muscle1.97 ± 2.9810.893 ± 0.4251.2 ± 1.6471.432 ± 0.8991.125 ± 0.461.663 ± 1.088
Al Liver18.57 ± 10.0739.97 ± 46.1115.12 ± 10.3144.64 ± 23.7755.66 ± 29.8212.18 ± 6.063
B Muscle0.562 ± 0.9870.064 ± 0.0490.107 ± 0.0370.177 ± 0.1120.06 ± 0.0260.082 ± 0.04
B Liver1.397 ± 1.1311.116 ± 1.121.029 ± 0.4711.787 ± 0.5941.33 ± 0.920.452 ± 0.188
Ba Muscle0.217 ± 0.4920.083 ± 0.0360.085 ± 0.0180.478 ± 0.470.209 ± 0.0150.073 ± 0.033
Ba Liver1.487 ± 1.2320.618 ± 0.5090.514 ± 0.231.14 ± 0.9914.4781 ± 5.5790.196 ± 0.128
Ca Muscle3230 ± 13213477 ± 13353978 ± 12243411 ± 22702188 ± 760.72174 ± 1226
Ca Liver1837 ± 3492445.8 ± 675.5428.4 ± 234.11086 ± 10601020 ± 158775.35 ± 74.69
Cd Muscle0.007 ± 0.0020.008 ± 0.0050.007 ± 0.0030.003 ± 0.0030.008 ± 0.0040.007 ± 0.003
Cd Liver0.894 ± 0.651.19 ± 1.1180.653 ± 0.3810.29 ± 0.7270.063 ± 0.0740.01 ± 0.014
Cr Muscle0.075 ± 0.0260.095 ± 0.0310.103 ± 0.0360.132 ± 0.110.149 ± 0.2660.071 ± 0.019
Cr Liver<LD<LD<LD<LD<LD<LD
Cu Muscle0.549 ± 0.1420.518 ± 0.1490.61 ± 0.110.61 ± 0.2510.408 ± 0.0860.419 ± 0.097
Cu Liver4.637 ± 4.5014.804 ± 3.0663.911 ± 1.9065.083 ± 2.4857.012 ± 3.0781.759 ± 0.812
Fe Muscle2.946 ± 2.5322.583 ± 0.6153.447 ± 1.0322.675 ± 1.3692.201 ± 0.8992.78 ± 1.567
Fe Liver124.1 ± 138.47145.2 ± 197.5129 ± 92.3133.2 ± 47.512100.9 ± 140.827.8 ± 16.66
K Muscle1860 ± 4882462 ± 3192501 ± 1122357 ± 912.62222 ± 63.52564 ± 239.7
K Liver2127 ± 870.23508 ± 30483486 ± 19313507 ± 14003129 ± 668.3874.3 ± 467.2
Li Muscle0.186 ± 0.1050.265 ± 0.1220.272 ± 0.10.308 ± 0.240.191 ± 0.0870.225 ± 0.129
Li Liver3.675 ± 3.323.793 ± 4.7422.398 ± 1.2512.678 ± 2.4274.918 ± 5.3622.72 ± 2.086
Mg Muscle396.9 ± 157.4328.3 ± 67.58333.3 ± 23.05323.3 ± 177289 ± 20.4387.8 ± 187.7
Mg Liver536.8 ± 587340 ± 298.9345.7 ± 154720.2 ± 749.8249.9 ± 139.2157 ± 95.52
Mn Muscle0.272 ± 0.2570.245 ± 0.1367.84 ± 144.20.724 ± 0.45969.69 ± 217.60.576 ± 0.36
Mn Liver0.8 ± 0.3992.033 ± 2.1141.569 ± 0.882.815 ± 2.8931.749 ± 1.4340.411 ± 0.38
Mo Muscle0.013 ± 0.0030.014 ± 0.0020.014 ± 0.0020.013 ± 0.0060.015 ± 0.0030.013 ± 0.003
Mo Liver0.158 ± 0.0820.207 ± 0.2030.239 ± 0.1190.263 ± 0.1540.254 ± 0.1280.12 ± 0.085
Na Muscle936.5 ± 355.5758.5 ± 153.1893.1 ± 125.1965.8 ± 427.2701.3 ± 60.6825.9 ± 271.5
Na Liver1651 ± 804.51724 ± 845.32008 ± 844.42872 ± 10221887 ± 509.2712.3 ± 327.8
Ni Muscle0.029 ± 0.0160.025 ± 0.0160.021 ± 0.0110.036 ± 0.0340.043 ± 0.050.015 ± 0.013
Ni Liver0.206 ± 0.260.372 ± 0.8860.061 ± 0.0880.336 ± 0.1710.438 ± 0.2330.126 ± 0.099
Pb Muscle0.036 ± 0.0460.042 ± 0.0490.018 ± 0.0030.022 ± 0.010.02 ± 0.0040.021 ± 0.009
Pb Liver0.185 ± 0.1390.158 ± 0.1250.098 ± 0.0740.168 ± 0.0910.497 ± 0.4620.047 ± 0.024
Zn Muscle3.951 ± 0.6184.499 ± 0.7054.007 ± 0.2122.87 ± 1.1113.434 ± 0.3343.079 ± 0.281
Zn Liver22.883 ± 6.91930.48 ± 20.9129.59 ± 12.4422.5 ± 8.6720.05 ± 14.589.134 ± 5.123
Table 3. Results of the two-way PERMANOVA analyzing the variation in the content of heavy metals and trace elements in muscle tissue in species according to study zone, considering the level of the factor “Species”.
Table 3. Results of the two-way PERMANOVA analyzing the variation in the content of heavy metals and trace elements in muscle tissue in species according to study zone, considering the level of the factor “Species”.
Serranus atricaudaSparisoma cretense
North, East0.1170.523
North, South0.0670.4116
East, South0.2660.4366
p > 0.05.
Table 4. Results of the two-way PERMANOVA analyzing the variation in the content of heavy metals and trace elements in muscle tissue in species according to study zone, considering the level of the factor “Zones”.
Table 4. Results of the two-way PERMANOVA analyzing the variation in the content of heavy metals and trace elements in muscle tissue in species according to study zone, considering the level of the factor “Zones”.
NorthEastSouth
Serranus atricauda Sparisoma cretense0.860.009 *0.056
p > 0.05. * Statistical significative diferences.
Table 5. Results of pairwise tests examining the significant factor of ‘Zones’ obtained in the two-way PERMANOVA analyzing the variation in the content of heavy metals and trace elements in muscle tissue in species according to study zone, considering the level of the factor “Zones”.
Table 5. Results of pairwise tests examining the significant factor of ‘Zones’ obtained in the two-way PERMANOVA analyzing the variation in the content of heavy metals and trace elements in muscle tissue in species according to study zone, considering the level of the factor “Zones”.
Serranus atricauda, Sparisoma cretenseNorthEastSouth
Al0.810.2550.194
B0.0860.8060.162
Ba0.120.012 *0.236
Ca0.8020.012 *0.009 *
Cd0.003 *0.7540.786
Cr0.2540.9980.016 *
Cu0.9910.049 *0.001 *
Fe0.780.2370.202
K0.6560.038 *0.492
Li0.3420.1810.299
Mg0.3030.0980.499
Mn0.034 *0.001 *0.458
Mo0.910.4830.285
Na0.8840.3520.387
Ni0.8920.380.206
Pb0.4720.006 *0.48
Zn0.006 *0.001 *0.001 *
p > 0.05. * Statistical significative diferences.
Table 6. Results of the two-way PERMANOVA analyzing the variation in the content of heavy metals and trace elements in liver tissue in species according to study zone, considering the level of the factor “Species”.
Table 6. Results of the two-way PERMANOVA analyzing the variation in the content of heavy metals and trace elements in liver tissue in species according to study zone, considering the level of the factor “Species”.
Serranus atricaudaSparisoma cretense
North, San Andrés0.4140.124
North, South0.2660.001 *
San Andrés, South0.8130.001 *
* Statistical significative diferences.
Table 7. Results of pairwise tests examining the significant factor of ‘Zones’ obtained in the two-way PERMANOVA analyzing the variation in the content of heavy metals and trace elements in liver tissue in species according to study zone, considering the level of the factor “Species”.
Table 7. Results of pairwise tests examining the significant factor of ‘Zones’ obtained in the two-way PERMANOVA analyzing the variation in the content of heavy metals and trace elements in liver tissue in species according to study zone, considering the level of the factor “Species”.
Serranus atricaudaSparisoma cretense
North, San AndrésNorth, SouthSan Andrés, SouthNorth, San AndrésNorth, SouthSan Andrés, South
Al0.6270.4120.430.3190.001 *0.001 *
B0.3930.4230.7440.1620.001 *0.024 *
Ba0.048 *0.019 *0.8350.003 *0.001 *0.001 *
Ca0.3090.4490.5790.4690.001 *0.023 *
Cd0.580.3680.2210.4590.023 *0.042 *
Cu0.830.8160.6020.1420.002 *0.001 *
Fe0.9050.7450.890.1530.001 *0.008 *
K0.290.027 *0.7470.560.001 *0.001 *
Li0.6130.3120.9430.1950.8980.254
Mg0.5170.5940.7950.008 *0.001 *0.226
Mn0.180.008 *0.9730.044 *0.001 *0.007 *
Mo0.9680.0990.2620.9560.038 *0.048 *
Na0.7210.3420.4120.15 *0.001 *0.001 *
Ni0.9290.1040.4090.2990.004 *0.001 *
Pb0.5690.10.3750.003 *0.001 *0.001 *
Zn0.410.1970.8930.430.002 *0.001 *
* Statistical significative diferences.
Table 8. Results of the two-way PERMANOVA analyzing the variation in the content of heavy metals and trace elements in liver tissue in species according to study zone, considering the level of the factor “Zones”.
Table 8. Results of the two-way PERMANOVA analyzing the variation in the content of heavy metals and trace elements in liver tissue in species according to study zone, considering the level of the factor “Zones”.
NorthSan AndrésSouth
Serranus atricauda Sparisoma cretense0.1250.7160.001 *
* Statistical significative diferences.
Table 9. Results of pairwise tests examining the significant factor of ‘Zones’ obtained in the two-way PERMANOVA analyzing the variation in the content of heavy metals and trace elements in liver tissue in species according to study zone, considering the level of the factor “Zones”.
Table 9. Results of pairwise tests examining the significant factor of ‘Zones’ obtained in the two-way PERMANOVA analyzing the variation in the content of heavy metals and trace elements in liver tissue in species according to study zone, considering the level of the factor “Zones”.
Serranus atricauda, Sparisoma cretenseNorthSan AndrésSouth
Al0.006 *0.0750.558
B0.1670.5680.001 *
Ba0.5530.001 *0.003 *
Ca0.9980.4820.001 *
Cd0.007 *0.002 *0.001 *
Cu0.5660.1050.003 *
Fe0.4650.5880.001 *
K0.015 *0.8810.001 *
Li0.420.3820.874
Mg0.3780.3390.002 *
Mn0.002 *0.980.001 *
Mo0.2050.3470.018 *
Na0.01 *0.4690.001 *
Ni0.0640.0960.023 *
Pb0.9350.008 *0.029 *
Zn0.8330.8040.001 *
* Statistical significative diferences.
Table 10. Comparison with other authors (mg/kg).
Table 10. Comparison with other authors (mg/kg).
Atlantic OceanMediterranean Sea
Canary IslandsMauritaniaEgyptTurkey
Serranus atricaudaSparisoma cretenseSerranus cabrillaSerranus scribaS. cretenseSerranus cabrillaS. cretenseS. cabrilla
Al1.3541.4072.37 4.438 16.8
B0.2450.1060.16 0.138
Ba0.1280.2540.084 0.456
Ca35612591105.21 562.1 2762
Cd0.0070.0060.0010.77 0.1070.020.6
Cr0.0910.1170.13 0.010
Cu0.5590.4790.371.61.70.7350.30.48.3
Fe2.9922.5522.219.419.37.026
K227523812054 2475 17,865
Li0.2410.2410.42 1.201
Mg352.9333.4281.8 282.1 1331
Mn22.7823.660.09 0.172
Mo0.0140.0140.003 0.013
Na862831488.1 909.3 3723
Ni0.0250.0310.0290.710.870.143
Pb0.0320.0210.0231.43 0.054
Zn4.1523.1282.435.26 3.729207.414.1 19.93
The present studyThe present study[15][36][37][46][38][47][48][49]
Disclaimer/Publisher’s Note: The statements, opinions and data contained in all publications are solely those of the individual author(s) and contributor(s) and not of MDPI and/or the editor(s). MDPI and/or the editor(s) disclaim responsibility for any injury to people or property resulting from any ideas, methods, instructions or products referred to in the content.

Share and Cite

MDPI and ACS Style

Gutiérrez, A.; Lozano-Bilbao, E.; Gutiérrez-Fernández, Á.J.; Paz-Montelongo, S.; González-Weller, D.; Rubio-Armendáriz, C.; Niebla-Canelo, D.; Alejandro-Vega, S.; Hardisson, A. Metal Levels in Serranus atricauda and Sparisoma cretense from the North-Eastern Atlantic Ocean—Contribution to Risk Assessment. Appl. Sci. 2023, 13, 5213. https://doi.org/10.3390/app13085213

AMA Style

Gutiérrez A, Lozano-Bilbao E, Gutiérrez-Fernández ÁJ, Paz-Montelongo S, González-Weller D, Rubio-Armendáriz C, Niebla-Canelo D, Alejandro-Vega S, Hardisson A. Metal Levels in Serranus atricauda and Sparisoma cretense from the North-Eastern Atlantic Ocean—Contribution to Risk Assessment. Applied Sciences. 2023; 13(8):5213. https://doi.org/10.3390/app13085213

Chicago/Turabian Style

Gutiérrez, Alberto, Enrique Lozano-Bilbao, Ángel J. Gutiérrez-Fernández, Soraya Paz-Montelongo, Dailos González-Weller, Carmen Rubio-Armendáriz, Daniel Niebla-Canelo, Samuel Alejandro-Vega, and Arturo Hardisson. 2023. "Metal Levels in Serranus atricauda and Sparisoma cretense from the North-Eastern Atlantic Ocean—Contribution to Risk Assessment" Applied Sciences 13, no. 8: 5213. https://doi.org/10.3390/app13085213

APA Style

Gutiérrez, A., Lozano-Bilbao, E., Gutiérrez-Fernández, Á. J., Paz-Montelongo, S., González-Weller, D., Rubio-Armendáriz, C., Niebla-Canelo, D., Alejandro-Vega, S., & Hardisson, A. (2023). Metal Levels in Serranus atricauda and Sparisoma cretense from the North-Eastern Atlantic Ocean—Contribution to Risk Assessment. Applied Sciences, 13(8), 5213. https://doi.org/10.3390/app13085213

Note that from the first issue of 2016, this journal uses article numbers instead of page numbers. See further details here.

Article Metrics

Back to TopTop