Infrared All-Dielectric Metasurface Beam Splitter Based on Transflective Structures
Abstract
1. Introduction
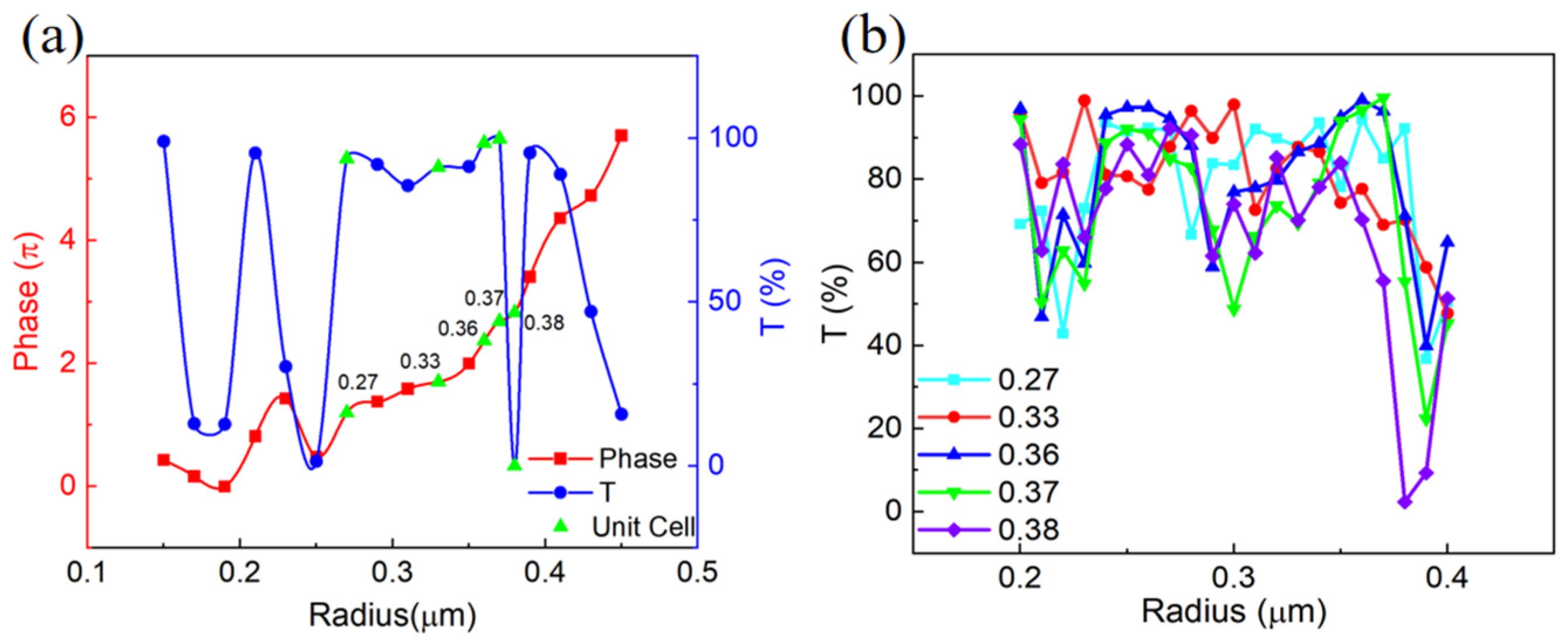
2. Structural Design and Simulation

| Radius (μm) | 0.27 | 0.33 | 0.36 | 0.37 | 0.38 |
| Phase | 0 | ||||
| T(%) | 93.74 | 91.12 | 94.97 | 99.75 | 0.18 |
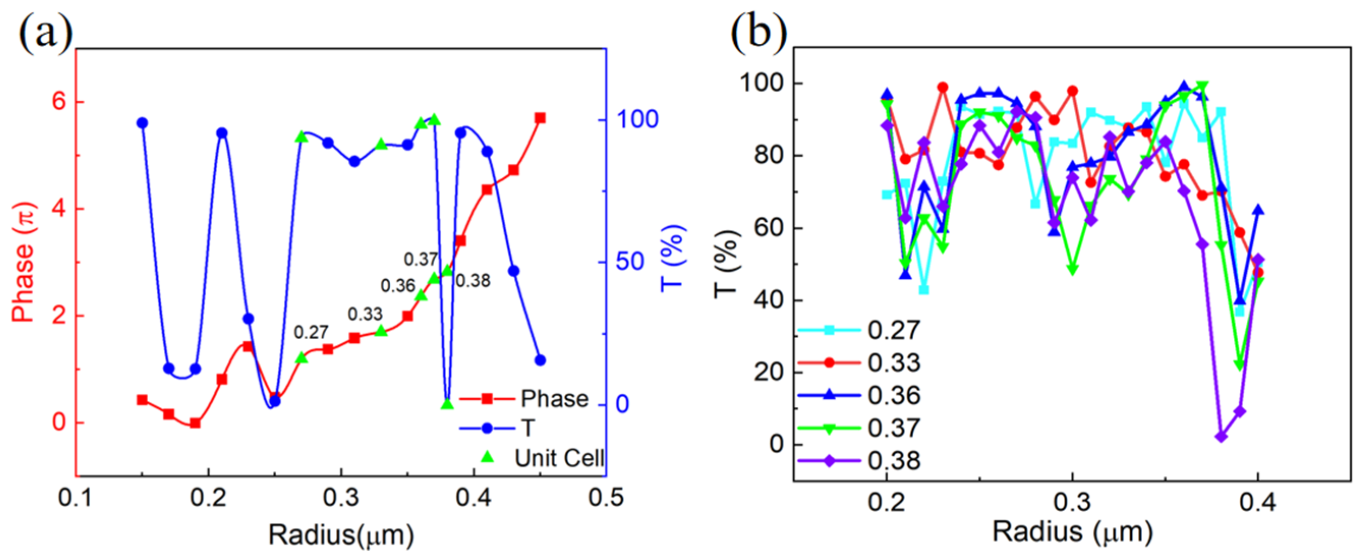
3. Simulation Results


4. Conclusions
Author Contributions
Funding
Institutional Review Board Statement
Informed Consent Statement
Data Availability Statement
Acknowledgments
Conflicts of Interest
Appendix A



References
- Colace, L.; Sorianello, V.; Romagnoli, M.; Assanto, G. Near-Infrared Ge-on-Si Power Monitors Monolithically Integrated on SOI Chips. IEEE Photonics Technol. Lett. 2010, 22, 658–660. [Google Scholar] [CrossRef]
- Mekawey, H.; Elsayed, M.; Ismail, Y.; Swillam, M.A. Optical Interconnects Finally Seeing the Light in Silicon Photonics: Past the Hype. J. Nanomater. 2022, 12, 485. [Google Scholar] [CrossRef]
- Zhao, J.-H.; Li, X.-B.; Chen, Q.-D.; Chen, Z.-G.; Sun, H.-B. Ultrafast laser-induced black silicon, from micro-nanostructuring, infrared absorption mechanism, to high performance detecting devices. Mater. Today Nano 2020, 11, 100078. [Google Scholar] [CrossRef]
- Wang, Y.; Xie, F.; Ma, S.; Dong, L. Review of surface profile measurement techniques based on optical interferometry. Opt. Lasers Eng. 2017, 93, 164–170. [Google Scholar] [CrossRef]
- Wang, J.; He, S.; Dai, D. On-chip silicon 8-channel hybrid (de)multiplexer enabling simultaneous mode- and polarization-division-multiplexing. Laser Photonics Rev. 2014, 8, L18–L22. [Google Scholar] [CrossRef]
- Liu, D.; Hostetler, C.; Miller, I.; Cook, A.; Hair, J. System analysis of a tilted field-widened Michelson interferometer for high spectral resolution lidar. Opt. Express 2012, 20, 1406–1420. [Google Scholar] [CrossRef]
- Vlasov, S.N.; Katin, S.V.; Koposova, E.V.; Lubyako, L.V.; Prokofyev, L.I. Quasioptical Mach—Zehnder Interferometer with a Reflective Diffraction Grating Acting as a Power Splitter. Radiophys. Quantum Electron. 2016, 59, 137–144. [Google Scholar] [CrossRef]
- Phongwisit, P.; Kamoldilok, S.; Buranasiri, P.; Srinuanjan, K.; Limsuwan, P. Design and simulation of asymmetric Y-junction beam splitter with controllable splitting based on adjusted air-hole defect. Ukr. J. Phys. Opt. 2022, 23, 142–149. [Google Scholar] [CrossRef]
- Yang, G.; Sergienko, A.V.; Ndao, A. Plasmonic loss-mitigating broadband adiabatic polarizing beam splitter. Opt. Lett. 2022, 47, 629–632. [Google Scholar] [CrossRef]
- Noori, M.; Soroosh, M.; Baghban, H. Design of highly efficient polarization beam splitter based on self-collimation on Si platform. J. Mod. Opt. 2016, 64, 491–499. [Google Scholar] [CrossRef]
- Razmi, H.; Soroosh, M.; Kavian, Y.S. A New Proposal for Ultra-Compact Polarization Independent Power Splitter Based on Photonic Crystal Structures. Opt. Commun. 2018, 39, 375–379. [Google Scholar] [CrossRef]
- Ghosh, N.; Bhattacharya, K. Cube beam-splitter interferometer for phase shifting interferometry. J. Opt. 2009, 38, 191–198. [Google Scholar] [CrossRef]
- Chung, K.; Chan, H.P.; Chu, P.L. A1×4 polarization and wavelength independent optical power splitter based on a novel wide-angle low-loss Y-junction. Opt. Commun. 2006, 267, 367–372. [Google Scholar] [CrossRef]
- Wang, J.; Guan, X.; He, Y.; Shi, Y.; Wang, Z.; He, S.; Holmström, P.; Wosinski, L.; Thylén, L.; Dai, D. Sub-μm2 power splitters by using silicon hybrid plasmonic waveguides. Opt. Express 2011, 19, 838–847. [Google Scholar] [CrossRef]
- Ye, C.; Dai, D. Ultra-Compact Broadband 2 × 2 3dB Power Splitter Using a Subwavelength-Grating-Assisted Asymmetric Directional Coupler. J. Light. Technol. 2020, 38, 2370–2375. [Google Scholar] [CrossRef]
- Rizea, A. Design technique for all-dielectric non-polarizing beam splitter plate. Opto-Electron. Rev. 2012, 20, 96–99. [Google Scholar] [CrossRef]
- Feng, J.; Zhou, Z. Polarization beam splitter using a binary blazed grating coupler. Opt. Lett. 2007, 32, 1662–1664. [Google Scholar] [CrossRef] [PubMed]
- Karar, V.; Sharma, A.L. Design and Fabrication of Multilayer Dichroic Beam Splitter. Adv. Mater. Proc. 2017, 2, 398. [Google Scholar]
- Deng, L.; Deng, J.; Guan, Z.; Tao, J.; Chen, Y.; Yang, Y.; Zhang, D.; Tang, J.; Li, Z.; Li, Z.; et al. Malus-metasurface-assisted polarization multiplexing. Light Sci. Appl. 2020, 9, 101. [Google Scholar] [CrossRef]
- Qin, Z.; Meng, D.; Yang, F.; Shi, X.Y.; Liang, Z.; Xu, H.; Smith, D.R.; Liu, Y. Broadband long-wave infrared metamaterial absorber based on single-sized cut-wire resonators. Opt. Express 2021, 29, 20275–20285. [Google Scholar] [CrossRef]
- Liu, M.; Zhu, W.; Huo, P.; Feng, L.; Song, M.; Zhang, C.; Chen, L.; Lezec, H.J.; Lu, Y.; Agrawal, A.; et al. Multifunctional metasurfaces enabled by simultaneous and independent control of phase and amplitude for orthogonal polarization states. Light Sci. Appl. 2021, 10, 107. [Google Scholar] [CrossRef] [PubMed]
- Zhang, C.; Divitt, S.; Fan, Q.; Zhu, W.; Agrawal, A.; Lu, Y.; Xu, T.; Lezec, H.J. Low-loss metasurface optics down to the deep ultraviolet region. Light Sci. Appl. 2020, 9, 55. [Google Scholar] [CrossRef]
- Wang, J.; Du, J. Plasmonic and Dielectric Metasurfaces: Design, Fabrication and Applications. Appl. Sci. 2016, 6, 239. [Google Scholar] [CrossRef]
- Ding, F.; Yang, Y.; Deshpande, R.A.; Bozhevolnyi, S.I. A review of gap-surface plasmon metasurfaces: Fundamentals and applications. Nanophotonics 2018, 7, 1129–1156. [Google Scholar] [CrossRef]
- Luo, S.; Hoff, B.H.; Maier, S.A.; de Mello, J.C. Scalable Fabrication of Metallic Nanogaps at the Sub-10 nm Level. Adv. Sci. 2021, 8, 2102756. [Google Scholar] [CrossRef]
- Hua, X.; Wang, Y.; Wang, S.; Zou, X.; Zhou, Y.; Li, L.; Yan, F.; Cao, X.; Xiao, S.; Tsai, D.P.; et al. Ultra-compact snapshot spectral light-field imaging. Nat. Commun. 2022, 13, 2732. [Google Scholar] [CrossRef] [PubMed]
- Thureja, P.; Sokhoyan, R.; Hail, C.U.; Sisler, J.; Foley, M.; Grajower, M.Y.; Atwater, H.A. Toward a universal metasurface for optical imaging, communication, and computation. Nanophotonics 2022, 11, 3745–3768. [Google Scholar] [CrossRef]
- Wu, Z.; Zhang, Z.; Xu, Y.; Zhai, Y.; Zhang, C.; Wang, B.; Wang, Q. Random color filters based on an all-dielectric metasurface for compact hyperspectral imaging. Opt. Lett. 2022, 47, 4548–4551. [Google Scholar] [CrossRef] [PubMed]
- Liu, C.; Ma, Q.; Luo, Z.J.; Hong, Q.R.; Xiao, Q.; Zhang, H.C.; Miao, L.; Yu, W.M.; Cheng, Q.; Li, L.; et al. A programmable diffractive deep neural network based on a digital-coding metasurface array. Nat. Electron. 2022, 5, 113–122. [Google Scholar] [CrossRef]
- Sun, K.; Xiao, W.; Wheeler, C.; Simeoni, M.; Urbani, A.; Gaspari, M.; Mengali, S.; de Groot, C.H.; Muskens, O.L.J.N. VO2 metasurface smart thermal emitter with high visual transparency for passive radiative cooling regulation in space and terrestrial applications. Nanophotonics 2022, 11, 4101–4114. [Google Scholar] [CrossRef]
- Xie, X.; Liu, K.; Pu, M.; Ma, X.; Li, X.; Guo, Y.; Zhang, F.; Luo, X. All-metallic geometric metasurfaces for broadband and high-efficiency wavefront manipulation. Nanophotonics 2020, 9, 3209–3215. [Google Scholar] [CrossRef]
- He, Y.; Xie, Z.; Yang, B.; Chen, X.; Liu, J.; Ye, H.; Zhou, X.; Li, Y.; Chen, S.; Fan, D. Controllable photonic spin Hall effect with phase function construction. Photonics Res. 2020, 8, 963–971. [Google Scholar] [CrossRef]
- Genevet, P.; Capasso, F. Holographic optical metasurfaces: A review of current progress. Rep. Prog. Phys. 2015, 78, 024401. [Google Scholar] [CrossRef] [PubMed]
- Xie, Z.-Q.; He, Y.-L.; Wang, P.-P.; Su, M.-Y.; Chen, X.-Y.; Yang, B.; Liu, J.-M.; Zhou, X.-X.; Li, Y.; Chen, S.-Q.; et al. Two-dimensional optical edge detection based on Pancharatnam-Berry phase metasurface. Acta Phys. Sin. 2020, 69, 014101. [Google Scholar]
- Hao, H.; Tang, Y.; Zheng, S.; Ran, X. Design of metasurface beam splitter based on polarization characteristics of incident wave. J. Electromagn. Waves Appl. 2021, 36, 307–320. [Google Scholar] [CrossRef]
- Chen, X.; Zou, H.; Su, M.; Tang, L.; Wang, C.; Chen, S.; Su, C.; Li, Y. All-Dielectric Metasurface-Based Beam Splitter with Arbitrary Splitting Ratio. Nanomaterials 2021, 11, 1137. [Google Scholar] [CrossRef] [PubMed]
- Tian, T.; Liao, Y.; Feng, X.; Cui, K.; Liu, F.; Zhang, W.; Huang, Y. Metasurface-Based Free-Space Multi-port Beam Splitter with Arbitrary Power Ratio. physics. Optics 2023, 2212, 01009. [Google Scholar]
- Khorasaninejad, M.; Zhu, A.Y.; Roques-Carmes, C.; Chen, W.T.; Oh, J.; Mishra, I.; Devlin, R.C.; Capasso, F. Polarization-Insensitive Metalenses at Visible Wavelengths. Nano Lett. 2016, 16, 7229–7234. [Google Scholar] [CrossRef]
- Ziolkowski, R.W.; Engheta, N. Metamaterials: Two Decades Past and Into Their Electromagnetics Future and Beyond. IEEE Trans. Antennas Propag. 2020, 68, 1232–1237. [Google Scholar] [CrossRef]
- Yu, N.; Genevet, P.; Kats, M.A.; Aieta, F.; Tetienne, J.-P.; Capasso, F.; Gaburro, Z. Light Propagation with Phase Discontinuities: Generalized Laws of Reflection and Refraction. Science 2011, 334, 333–337. [Google Scholar] [CrossRef]
- Lim, S.W.D.; Meretska, M.L.; Capasso, F. A High Aspect Ratio Inverse-Designed Holey Metalens. Nano Lett. 2021, 21, 8642–8649. [Google Scholar] [CrossRef] [PubMed]
- Zhang, X.; Deng, R.; Yang, F.; Jiang, C.; Xu, S.; Li, M. Metasurface-Based Ultrathin Beam Splitter with Variable Split Angle and Power Distribution. ACS Photonics 2018, 5, 2997–3002. [Google Scholar] [CrossRef]
- Sell, D.; Yang, J.; Wang, E.; Phan, T.; Doshay, S.; Fan, J. Ultra-High-Efficiency Anomalous Refraction with Dielectric Metasurfaces. ACS Photonics 2018, 5, 2402–2407. [Google Scholar] [CrossRef]
- Wang, Z.; Dai, C.; Li, Z.; Li, Z. Free-Space Optical Merging via Meta-Grating Inverse-Design. Nano Lett. 2022, 22, 2059–2064. [Google Scholar] [CrossRef] [PubMed]







Disclaimer/Publisher’s Note: The statements, opinions and data contained in all publications are solely those of the individual author(s) and contributor(s) and not of MDPI and/or the editor(s). MDPI and/or the editor(s) disclaim responsibility for any injury to people or property resulting from any ideas, methods, instructions or products referred to in the content. |
© 2023 by the authors. Licensee MDPI, Basel, Switzerland. This article is an open access article distributed under the terms and conditions of the Creative Commons Attribution (CC BY) license (https://creativecommons.org/licenses/by/4.0/).
Share and Cite
Ren, Y.; Liang, Z.; Shi, X.; Yang, F.; Zhang, X.; Dai, R.; Zhang, S.; Liu, W. Infrared All-Dielectric Metasurface Beam Splitter Based on Transflective Structures. Appl. Sci. 2023, 13, 5207. https://doi.org/10.3390/app13085207
Ren Y, Liang Z, Shi X, Yang F, Zhang X, Dai R, Zhang S, Liu W. Infrared All-Dielectric Metasurface Beam Splitter Based on Transflective Structures. Applied Sciences. 2023; 13(8):5207. https://doi.org/10.3390/app13085207
Chicago/Turabian StyleRen, Yingzheng, Zhongzhu Liang, Xiaoyan Shi, Fuming Yang, Xiqing Zhang, Rui Dai, Shoutao Zhang, and Weizhen Liu. 2023. "Infrared All-Dielectric Metasurface Beam Splitter Based on Transflective Structures" Applied Sciences 13, no. 8: 5207. https://doi.org/10.3390/app13085207
APA StyleRen, Y., Liang, Z., Shi, X., Yang, F., Zhang, X., Dai, R., Zhang, S., & Liu, W. (2023). Infrared All-Dielectric Metasurface Beam Splitter Based on Transflective Structures. Applied Sciences, 13(8), 5207. https://doi.org/10.3390/app13085207

