Deep Fusion Prediction Method for Nonstationary Time Series Based on Feature Augmentation and Extraction
Abstract
1. Introduction
2. Related Works
2.1. Statistical Prediction Methods
2.2. Shallow Machine Learning Methods
2.3. Deep Learning Methods
3. Fusion Prediction Based on Data Augmentation
3.1. Framework of Fusion Prediction in Data Augmentation
3.2. Augmentation of Small-Scale Time Series
| Algorithm 1: Augmentation of a small sample. |
| Input: , , , |
| Output: |
| Procedure |
| For, k++ |
| For j = 1, j < = m, j++ |
| resampling of ; |
| calculate probability distribution parameter ; |
| For end |
| join ; |
| join ; |
| calculate confidence interval parameters a and b following Formula (2); |
| select samples from evenly; |
| insert samples selected above into evenly ; |
| For end |
| Procedure end |
3.3. Deep Prediction Model Based on Trend Decomposition
3.4. Fusion Method Based on Error Covariance Intersection
4. Simulation and Experiment
4.1. Test on Typical Simulated Time Series
4.1.1. Simulation Data
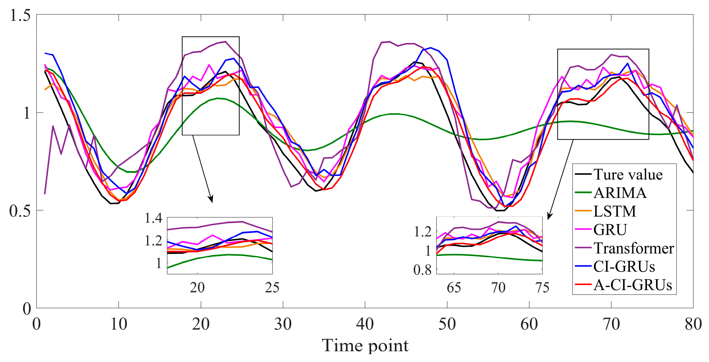
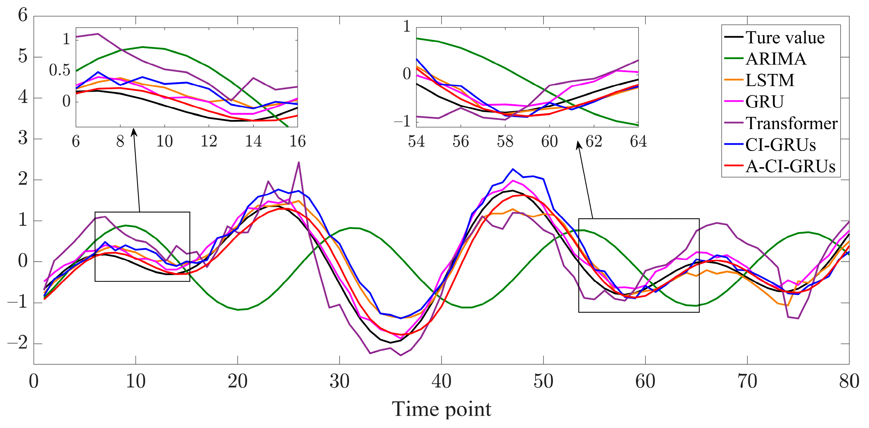
4.1.2. Test Results
4.2. Test on Time Series in Practical Systems
4.2.1. Dataset
4.2.2. Test Results
5. Discussion
6. Conclusions
Author Contributions
Funding
Institutional Review Board Statement
Informed Consent Statement
Data Availability Statement
Conflicts of Interest
References
- Motroni, A.; Buffi, A.; Nepa, P.; Tellini, B. Sensor-fusion and tracking method for indoor vehicles with low-density UHF-RFID tags. IEEE Trans. Instrum. Meas. 2020, 70, 8001314. [Google Scholar] [CrossRef]
- Lian, S.K.; Meng, W.; Lin, Z.M. Adaptive attitude control of a quadrotor using fast nonsingular terminal sliding mode. IEEE Trans. Ind. Electron. 2022, 69, 1597–1607. [Google Scholar] [CrossRef]
- Mofid, O.; Mobayen, S.; Zhang, C. Desired tracking of delayed quadrotor UAV under model uncertainty and wind disturbance using adaptive super-twisting terminal sliding mode control. ISA Trans. 2021, 123, 455–471. [Google Scholar] [CrossRef]
- Jin, X.B.; Wang, Z.Y.; Kong, J.L.; Bai, Y.T.; Su, T.L.; Ma, H.J.; Chakrabarti, P. Deep spatio-temporal graph network with self-optimization for air quality prediction. Entropy 2023, 25, 247. [Google Scholar] [CrossRef]
- Zhang, H.; Hu, B.; Wang, X. An action dependent heuristic dynamic programming approach for algal bloom prediction with time-varying parameters. IEEE Access 2020, 8, 26235–26246. [Google Scholar] [CrossRef]
- Jin, X.B.; Wang, Z.Y.; Gong, W.T.; Kong, J.L.; Bai, Y.T.; Su, T.L.; Ma, H.J.; Chakrabarti, P. Variational bayesian network with information interpretability filtering for air quality forecasting. Mathematics 2023, 11, 837. [Google Scholar] [CrossRef]
- Hu, H.; Tang, L.; Zhang, S. Predicting the direction of stock markets using optimized neural networks with google trends. Neurocomputing 2018, 285, 188–195. [Google Scholar] [CrossRef]
- Kong, J.L.; Fan, X.M.; Jin, X.B.; Su, T.L.; Bai, Y.T.; Ma, H.J.; Zuo, M. Bmae-net: A data-driven weather prediction network for smart agriculture. Agronomy 2023, 13, 625. [Google Scholar] [CrossRef]
- Lim, B.; Zohren, S. Time-series forecasting with deep learning: A survey. Philos. Trans. R. Soc. A 2021, 379. [Google Scholar] [CrossRef]
- Box, G.; Jenkins, G.M.; MacGregor, J.F. Some recent advances in forecasting and control. J. R. Stat. Soc. C Appl. 1974, 23, 158–179. [Google Scholar] [CrossRef]
- Engle, R.F. Autoregressive conditional heteroscedasticity with estimates of the variance of United Kingdom inflation. Econom. J. Econom. Soc. 1982, 50, 987–1007. [Google Scholar] [CrossRef]
- Yang, Y.; Bai, Y.; Wang, X.; Wang, L.; Jin, X.; Sun, Q. Group decision-making support for sustainable governance of algal bloom in urban lakes. Sustainability 2020, 12, 1494. [Google Scholar] [CrossRef]
- Lee, T. Emd and lstm hybrid deep learning model for predicting sunspot number time series with a cyclic pattern. Sol. Phys. 2020, 295, 6. [Google Scholar] [CrossRef]
- Schaffer, A.L.; Dobbins, T.A.; Pearson, S.A. Interrupted time series analysis using autoregressive integrated moving average (ARIMA) models: A guide for evaluating large-scale health interventions. BMC Med. Res. Methodol. 2021, 21, 58. [Google Scholar] [CrossRef]
- Seong, B. Smoothing and forecasting mixed-frequency time series with vector exponential smoothing models. Econ. Model. 2020, 91, 463–468. [Google Scholar] [CrossRef]
- Durbin, J.; Koopman, S.J. Time Series Analysis by State Space Methods; Oxford University Press: Oxford, UK, 2010; Volume 47, p. 373. [Google Scholar]
- Rogoza, W. Method for the prediction of time series using small sets of experimental samples. Appl. Math. Comput. 2019, 355, 108–122. [Google Scholar] [CrossRef]
- Shi, W.; Wang, Y.; Tang, Y. Forecasting method for water quality time series of few and abnormal data. J. Comput. Appl. 2010, 2, 486–489. [Google Scholar] [CrossRef]
- Rajesh, R. Forecasting supply chain resilience performance using grey prediction. Electron. Commer. Res. A 2016, 20, 42–58. [Google Scholar]
- Deng, Y.; Zhou, X.L.; Shen, J.; Xiao, G.; Hong, H.C.; Lin, H.J.; Wu, F.Y.; Liao, B.Q. New methods based on back propagation (BP) and radial basis function (RBF) artificial neural networks (ANNs) for predicting the occurrence of haloketones in tap water. Sci. Total Environ. 2021, 772, 145534. [Google Scholar] [CrossRef]
- Tsai, C.P.; Lee, T.L. Back-propagation neural network in tidal-level forecasting. J. Waterw. Port Coast. 1999, 125, 195–202. [Google Scholar] [CrossRef]
- Mandal, S. Discussion of back-propagation neural network in tidal-level forecasting. J. Waterw. Port Coast. 2001, 127, 55. [Google Scholar] [CrossRef]
- Cui, M.; Wang, Y.; Lin, X. Fault diagnosis of rolling bearings based on an improved stack autoencoder and support vector machine. IEEE Sens. J. 2021, 21, 4927–4937. [Google Scholar] [CrossRef]
- Xue, L.; Liu, Y.T.; Xiong, Y.F.; Liu, Y.L.; Cui, X.H.; Lei, G. A data-driven shale gas production forecasting method based on the multi-objective random forest regression. J. Petrol. Sci. Eng. 2021, 196, 107801. [Google Scholar] [CrossRef]
- Xu, X.; Yang, C.-C.; Xiao, Y.; Kong, J.-L. A fine-grained recognition neural network with high-order feature maps via graph-based embedding for natural bird diversity conservation. Int. J. Environ. Res. Public Health 2023, 20, 4924. [Google Scholar] [CrossRef]
- Wang, Y.; Tang, H.; Huang, J. A comparative study of different machine learning methods for reservoir landslide displacement prediction. Eng. Geol. 2022, 298, 106544. [Google Scholar] [CrossRef]
- Shu, X.B.; Zhang, L.Y.; Qi, G.J. Spatiotemporal co-attention recurrent neural networks for human-skeleton motion prediction. IEEE Trans. Pattren Anal. 2022, 44, 3300–3315. [Google Scholar] [CrossRef]
- Zheng, H.F.; Lin, F.; Feng, X.X. A hybrid deep learning model with attention-based conv-lstm networks for short-term traffic flow prediction. IEEE Trans. Intell. Transp. 2021, 22, 6910–6920. [Google Scholar] [CrossRef]
- Onan, A. Bidirectional convolutional recurrent neural network architecture with group-wise enhancement mechanism for text sentiment classification. J. King Saud Univ.-Comput. Inf. Sci. 2022, 34, 2098–2117. [Google Scholar] [CrossRef]
- Wei, X.; Zhang, L.L.; Yang, H.Q. Machine learning for pore-water pressure time-series prediction: Application of recurrent neural networks. Geosci. Front. 2021, 12, 453–467. [Google Scholar] [CrossRef]
- Sun, X.; Li, T.; Li, Q.; Huang, Y.; Li, Y. Deep belief echo-state network and its application to time series prediction. Knowl.-Based Syst. 2017, 130, 17–29. [Google Scholar] [CrossRef]
- Xiong, T.; Li, C.; Bao, Y. Seasonal forecasting of agricultural commodity price using a hybrid STL and ELM method: Evidence from the vegetable market in China. Neurocomputing 2018, 275, 2831–2844. [Google Scholar] [CrossRef]
- Liu, D.; Niu, D.; Wang, H.; Fan, L. Short-term wind speed forecasting using wavelet transform and support vector machines optimized by genetic algorithm. Renew. Energy 2014, 62, 592–597. [Google Scholar] [CrossRef]
- Mohammad, Z.K.; Batelaan, O.; Fadaee, M.; Hinkelmann, R. Ensemble machine learning paradigms in hydrology: A review. J. Hydrol. 2021, 598, 126266. [Google Scholar]
- Wang, C.N. A two-stage dea approach to measure operational efficiency in vietnam’s port industry. Mathematics 2022, 10, 1385. [Google Scholar] [CrossRef]
- Cleveland, R.B.; Cleveland, W.S.; McRae, J.E. Stl: A seasonal-trend decomposition. J. Off. Stat. 1990, 6, 3–73. [Google Scholar]
- Dagum, B.E.; Luati, A. Global and local statistical properties of fixed-length nonparametric smoothers. Stat. Method Appl. Ger. 2002, 11, 313–333. [Google Scholar] [CrossRef]
- Gupta, M.; Gupta, B. An ensemble model for breast cancer prediction using sequential least squares programming method (SLSQP). In Proceedings of the IEEE Eleventh International Conference on Contemporary Computing, Noida, India, 2–4 August 2018; Volume 1, pp. 1–3. [Google Scholar]

















| Prediction Steps | 5 | 10 | 15 |
|---|---|---|---|
| MG system dataset | 1500 | 1700 | 1800 |
| MSO system dataset | 1800 | 1900 | 1950 |
| Input-Size | Output-Size | Layers | Hidden Unit | Batch Size | Leaking Rate |
|---|---|---|---|---|---|
| 1 | 1 | 2 | 32 | 60 | 0.001 |
| Model | Parameter Settings | |
|---|---|---|
| Statistical model | ARIMA | p = 2, d = 1, q = 2 |
| Deep learning model | LSTM | layers = 2, nodes = 16, batch size = 60, η = 0.03 |
| GRU | layers = 2, nodes = 16, batch size = 60, η = 0.03 | |
| Transformer | seq_len = 24, label_len = 24, n_heads = 8 layers = 2, d_layers = 1, d_ff = 2048, factor = 5 dropout = 0.05, batch_size = 60, η = 0.03 | |
| Multi-model Fusion | CI-GRUs | layers = 2, nodes = 16, batch size = 60, η = 0.03 |
| A-CI-GRUs | layers = 2, nodes = 16, batch size = 60, η = 0.03 |
| MG System | MSO System | ||||||
|---|---|---|---|---|---|---|---|
| 5 | 10 | 15 | 5 | 10 | 15 | ||
| RMSE | ARIMA | 0.0860 | 0.1210 | 0.1109 | 1.2327 | 1.3584 | 1.5893 |
| LSTM | 0.0577 | 0.0712 | 0.0832 | 0.6205 | 0.8289 | 0.8938 | |
| GRU | 0.0472 | 0.0689 | 0.0789 | 0.2444 | 0.3589 | 0.3623 | |
| Transformer | 0.1379 | 0.1590 | 0.1642 | 0.4485 | 0.6149 | 0.7211 | |
| CI-GRUs | 0.0356 | 0.0412 | 0.0634 | 0.3623 | 0.4012 | 0.4265 | |
| A-CI-GRUs | 0.0269 | 0.0313 | 0.0529 | 0.2343 | 0.2783 | 0.3074 | |
| MAE | ARIMA | 0.1889 | 0.2034 | 0.2101 | 1.0061 | 1.3342 | 1.3983 |
| LSTM | 0.1223 | 0.1324 | 0.1423 | 0.4955 | 0.5253 | 0.5321 | |
| GRU | 0.1070 | 0.1132 | 0.1198 | 0.2160 | 0.3129 | 0.3983 | |
| Transformer | 0.1093 | 0.1268 | 0.1286 | 0.3600 | 0.4863 | 0.5880 | |
| CI-GRUs | 0.0729 | 0.0805 | 0.0894 | 0.2817 | 0.3029 | 0.3182 | |
| A-CI-GRUs | 0.0583 | 0.0612 | 0.0669 | 0.2054 | 0.2983 | 0.3056 | |
| Food Safety Fraction Ratio | SO2 Concentration | ||||||
|---|---|---|---|---|---|---|---|
| 5 | 10 | 15 | 5 | 10 | 15 | ||
| RMSE | ARIMA | 7.0300 | 9.3423 | 10.3224 | 4.7846 | 5.8321 | 6.1232 |
| LSTM | 8.0841 | 8.4562 | 8.9342 | 5.3669 | 5.9832 | 6.1233 | |
| GRU | 6.6246 | 7.3452 | 7.8923 | 4.5867 | 5.3422 | 5.9653 | |
| Transformer | 5.6369 | 7.0029 | 8.3610 | 8.6905 | 10.2021 | 10.5355 | |
| CI-GRUs | 5.9455 | 6.2345 | 7.1234 | 4.0821 | 5.3983 | 5.7834 | |
| A-CI-GRUs | 5.4012 | 5.9839 | 6.2532 | 2.8743 | 3.5683 | 3.9834 | |
| MAE | ARIMA | 4.5877 | 5.8965 | 6.2312 | 3.7824 | 4.5834 | 6.0123 |
| LSTM | 4.8356 | 4.9342 | 4.9834 | 4.0112 | 4.2342 | 5.2736 | |
| GRU | 4.2812 | 5.0745 | 4.8912 | 3.7135 | 4.2453 | 4.9832 | |
| Transformer | 4.4159 | 5.4351 | 6.2418 | 5.7427 | 7.1292 | 7.4242 | |
| CI-GRU | 3.9939 | 4.0234 | 4.1235 | 3.1694 | 4.2341 | 4.0231 | |
| A-CI-GRUs | 3.5680 | 3.9834 | 4.2371 | 2.1708 | 2.9843 | 3.7532 | |
Disclaimer/Publisher’s Note: The statements, opinions and data contained in all publications are solely those of the individual author(s) and contributor(s) and not of MDPI and/or the editor(s). MDPI and/or the editor(s) disclaim responsibility for any injury to people or property resulting from any ideas, methods, instructions or products referred to in the content. |
© 2023 by the authors. Licensee MDPI, Basel, Switzerland. This article is an open access article distributed under the terms and conditions of the Creative Commons Attribution (CC BY) license (https://creativecommons.org/licenses/by/4.0/).
Share and Cite
Zhang, Y.-L.; Bai, Y.-T.; Jin, X.-B.; Su, T.-L.; Kong, J.-L.; Zheng, W.-Z. Deep Fusion Prediction Method for Nonstationary Time Series Based on Feature Augmentation and Extraction. Appl. Sci. 2023, 13, 5088. https://doi.org/10.3390/app13085088
Zhang Y-L, Bai Y-T, Jin X-B, Su T-L, Kong J-L, Zheng W-Z. Deep Fusion Prediction Method for Nonstationary Time Series Based on Feature Augmentation and Extraction. Applied Sciences. 2023; 13(8):5088. https://doi.org/10.3390/app13085088
Chicago/Turabian StyleZhang, Yu-Lei, Yu-Ting Bai, Xue-Bo Jin, Ting-Li Su, Jian-Lei Kong, and Wei-Zhen Zheng. 2023. "Deep Fusion Prediction Method for Nonstationary Time Series Based on Feature Augmentation and Extraction" Applied Sciences 13, no. 8: 5088. https://doi.org/10.3390/app13085088
APA StyleZhang, Y.-L., Bai, Y.-T., Jin, X.-B., Su, T.-L., Kong, J.-L., & Zheng, W.-Z. (2023). Deep Fusion Prediction Method for Nonstationary Time Series Based on Feature Augmentation and Extraction. Applied Sciences, 13(8), 5088. https://doi.org/10.3390/app13085088

