Unsteady Combustion of the Heptane-in-Water Emulsion Foamed with Hydrogen–Oxygen Mixture
Abstract
1. Introduction
2. Problem Setup
- Gas–liquid multiphase interactions,
- Evaporation,
- Foam decay into droplets,
- Droplets fragmentation at high flow rates,
- Combustion.
3. Results and Discussion
3.1. Flame Dynamics
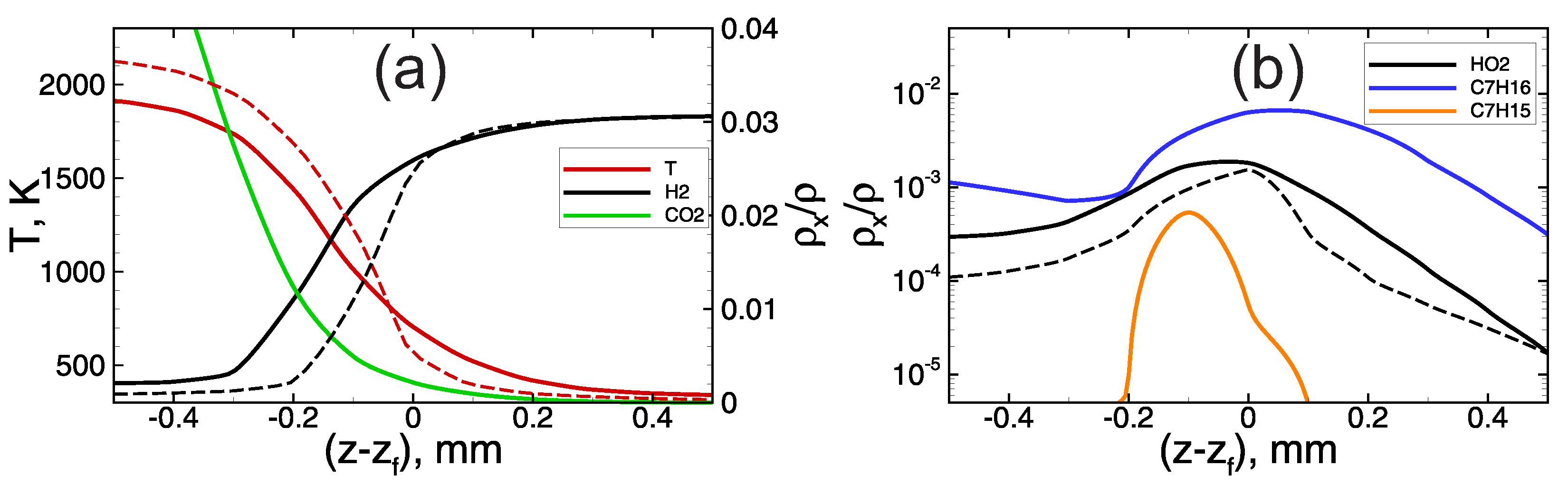
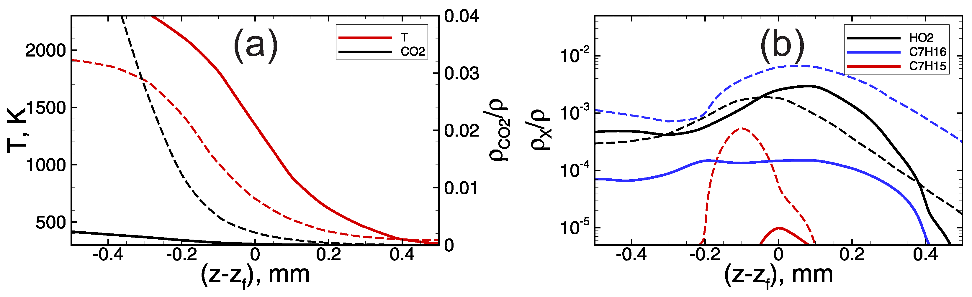
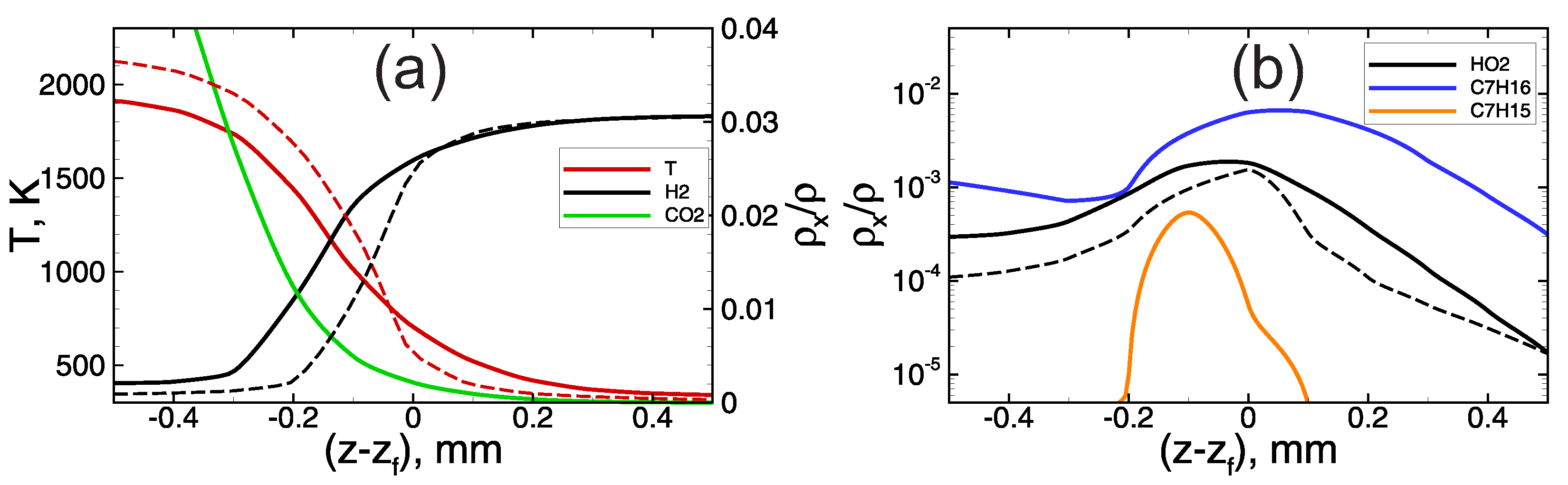
3.2. Mutual Effect of Hydrogen and Heptane in the Process of Foamed Emulsion Combustion
4. Conclusions
- Inhibition of hydrogen combustion by heptane via termination of chemical chain reactions. This mode is observed in the case of the stoichiometric hydrogen–oxygen mixture and causes the flame quenching at certain concentrations of heptane. The same mode can be expected in the case of rich hydrogen–oxygen mixtures.
- Joint combustion of hydrogen and heptane. This mode is observed in the case of lean hydrogen–oxygen mixtures with moderate heptane content in the combined fuel at low speeds of flame propagation (at the early stage).
- When the flame achieves high enough speed, it is shown that heptane has almost no time to be evaporated in the reaction zone, so the modes of fast hydrogen combustion are much less sensitive to the heptane addition into the system.
Author Contributions
Funding
Institutional Review Board Statement
Informed Consent Statement
Data Availability Statement
Acknowledgments
Conflicts of Interest
References
- Zhong, B.J.; Peng, H.S.; Zheng, D. The effect of different class of hydrocarbons on laminar flame speeds of three C7 fuels. Fuel 2018, 225, 225–229. [Google Scholar] [CrossRef]
- Mukhtar, M.N.A.; Hagos, F.Y.; Abdulah, A.A.; Karim, Z.A.A. Combustion characteristics of tri-fuel (diesel-ethanol-biodiesel) emulsion fuels in CI engine with micro-explosion phenomenon attributes. Fuel 2022, 312, 122933. [Google Scholar] [CrossRef]
- Tornatore, C.; Marchitto, L.; Teodosio, L.; Massoli, P. Performance and Emissions of a Spark Ignition Engine Fueled with Water-in-Gasoline Emulsion Produced through Micro-Channels Emulsification. Appl. Sci. 2021, 11, 9453. [Google Scholar] [CrossRef]
- Park, J.; Oh, J. Study on the characteristics of performance, combustion, and emissions for a diesel water emulsion fuel on a combustion visualization engine and a commercial diesel engine. Fuel 2022, 311, 122520. [Google Scholar] [CrossRef]
- Romanov, D.S.; Vershinina, K.Y.; Dorokhov, V.V.; Strizhak, P.A. Rheology, ignition, and combustion performance of coal-water slurries: Influence of sequence and methods of mixing. Fuel 2022, 322, 124294. [Google Scholar] [CrossRef]
- Glushkov, D.; Paushkina, K.; Vershinina, K. Slagging Characteristics of a Steam Boiler Furnace with Flare Combustion of Solid Fuel When Switching to Composite Slurry Fuel. Appl. Sci. 2023, 13, 434. [Google Scholar] [CrossRef]
- Qian, L.; Wan, J.; Qian, Y.; Sun, Y.; Zhuang, Y. Experimental investigation of water injection and spark timing effects on combustion and emissions of a hybrid hydrogen-gasoline engine. Fuel 2022, 322, 124051. [Google Scholar] [CrossRef]
- Sun, X.; Ning, J.; Liang, X.; Jing, G.; Chen, Y.; Chen, G. Effect of direct water injection on combustion and emissions characteristics of marine diesel engines. Fuel 2022, 309, 122213. [Google Scholar] [CrossRef]
- Mariani, A.; Unich, A.; Minale, M. Combustion of hydrogen enriched methane and biogases containing hydrogen in a controlled auto-ignition engine. Appl. Sci. 2018, 8, 2667. [Google Scholar] [CrossRef]
- Abe, J.; Popoola, A.; Ajenifuja, E.; Popoola, O. Hydrogen energy, economy and storage: Review and recommendation. Int. J. Hydrogen Energy 2019, 44, 15072–15086. [Google Scholar] [CrossRef]
- Li, C.; Wang, Y.; Jia, B.; Zhang, Z.; Roskilly, A. Numerical Investigation on NOx Emission of a Hydrogen-Fuelled Dual-Cylinder Free-Piston Engine. Appl. Sci. 2023, 13, 1410. [Google Scholar] [CrossRef]
- Taghavifar, H.; Anvari, S.; Parvishi, A. Benchmarking of water injection in a hydrogen-fueled diesel engine to reduce emissions. Int. J. Hydrogen Energy 2017, 42, 11962–11975. [Google Scholar] [CrossRef]
- Huo, M.; Lin, S.; Liu, H.; Lee, C.f.F. Study on the spray and combustion characteristics of water–emulsified diesel. Fuel 2014, 123, 218–229. [Google Scholar] [CrossRef]
- Feng, X.; Ren, J.; Pu, M.; Chen, B.; Bi, M. Suppression effect of ultra-fine water mist on methane-coal dust hybrid explosion. Powder Technol. 2022, 406, 117590. [Google Scholar] [CrossRef]
- Wang, F.; Yu, M.; Wen, X.; Deng, H.; Pei, B. Suppression of methane/air explosion in pipeline by water mist. J. Loss Prev. Process. Ind. 2017, 49, 791–796. [Google Scholar] [CrossRef]
- Yakovenko, I.; Kiverin, A. Intensification mechanisms of the lean hydrogen-air combustion via addition of suspended micro-droplets of water. Int. J. Hydrogen Energy 2021, 46, 1259–1272. [Google Scholar] [CrossRef]
- Kichatov, B.; Korshunov, A.; Kiverin, A.; Son, E. Foamed emulsion—Fuel on the base of water-saturated oils. Fuel 2017, 203, 261–268. [Google Scholar] [CrossRef]
- Kichatov, B.; Korshunov, A.; Kiverin, A.; Medvetskaya, N. Combustion of foamed emulsion prepared via bubbling of oxygen-nitrogen gaseous mixture through the oil-in-water emulsion. Fuel Process. Technol. 2019, 186, 25–34. [Google Scholar] [CrossRef]
- Kichatov, B.; Korshunov, A.; Gubernov, V.; Kiverin, A.; Yakovenko, I. Combustion of heptane-in-water emulsion foamed with hydrogen-oxygen mixture. Fuel Process. Technol. 2020, 198, 106230. [Google Scholar] [CrossRef]
- Kichatov, B.; Korshunov, A.; Kiverin, A.; Yakovenko, I.; Gubernov, V.; Khomik, S.V.; Medvedev, S.P. Detonation in the hydrogen-oxygen microfoam on the aqueous base. Int. J. Hydrogen Energy 2019, 44, 31567–31578. [Google Scholar] [CrossRef]
- Xu, C.; Wang, Q.; Li, X.; Liu, K.; Liu, W.; Oppong, F.; Sun, Z.Y. Effect of hydrogen addition on the laminar burning velocity of n-decane/air mixtures: Experimental and numerical study. Int. J. Hydrogen Energy 2022, 47, 19263–19274. [Google Scholar] [CrossRef]
- Pukalskas, S.; Kriaučiūnas, D.; Rimkus, A.; Przybyła, G.; Droździel, P.; Barta, D. Effect of hydrogen addition on the energetic and ecologic parameters of an si engine fueled by biogas. Appl. Sci. 2021, 11, 742. [Google Scholar] [CrossRef]
- Yin, Y.; Medwell, P.R.; Gee, A.J.; Foo, K.K.; Dally, B.B. Fundamental insights into the effect of blending hydrogen flames with sooting biofuels. Fuel 2023, 331, 125618. [Google Scholar] [CrossRef]
- Babkin, V.; Kakutkina, N.; Zamaschikov, V. Characteristics of water-base foam combustion. Symp. (Int.) Combust. 1994, 25, 1627–1634. [Google Scholar] [CrossRef]
- Saint-Cloud, J.P.; Peraldi, O. Detonations in Explosive Foams. Prog. Astronaut. Aeronaut. 1984, 94, 302–308. [Google Scholar] [CrossRef]
- Subbotin, V.; Usol’tsev, S. Study of the mechanism of the transfer of gaseous detonation through films of liquid. Combust. Explos. Shock Waves 1984, 20, 224–230. [Google Scholar] [CrossRef]
- Kiverin, A.; Yakovenko, I. Numerical Modeling of Combustion and Detonation in Aqueous Foams. Energies 2021, 14, 6233. [Google Scholar] [CrossRef]
- Nicoli, C.; Haldenwang, P.; Denet, B. Darrieus–Landau instability of premixed flames enhanced by fuel droplets. Combust. Theory Model. 2017, 21, 630–645. [Google Scholar] [CrossRef]
- Nicoli, C.; Haldenwang, P.; Denet, B. Premixed flame dynamics in presence of mist. Combust. Sci. Technol. 2019, 191, 197–207. [Google Scholar] [CrossRef]
- Sánchez, A.L.; Williams, F.A. Recent advances in understanding of flammability characteristics of hydrogen. Prog. Energy Combust. Sci. 2014, 41, 1–55. [Google Scholar] [CrossRef]
- Yu, G.; Law, C.; Wu, C. Laminar flame speeds of hydrocarbon + air mixtures with hydrogen addition. Combust. Flame 1986, 63, 339–347. [Google Scholar] [CrossRef]
- Halter, F.; Chauveau, C.; Djebaïli-Chaumeix, N.; Gökalp, I. Characterization of the effects of pressure and hydrogen concentration on laminar burning velocities of methane–hydrogen–air mixtures. Proc. Combust. Inst. 2005, 30, 201–208. [Google Scholar] [CrossRef]
- Aggarwal, S.; Awomolo, O.; Akber, K. Ignition characteristics of heptane–hydrogen and heptane–methane fuel blends at elevated pressures. Int. J. Hydrogen Energy 2011, 36, 15392–15402. [Google Scholar] [CrossRef]
- Azatyan, V.V.; Prokopenko, V.M.; Chapysheva, N.V.; Abramov, S.K. Difference in the Mechanisms of the Inhibition of Hydrogen Combustion in the Deflagration and Detonation Modes. Russ. J. Phys. Chem. B 2018, 12, 103–107. [Google Scholar] [CrossRef]
- Li, Y.; Bi, M.; Li, B.; Zhou, Y.; Gao, W. Effects of hydrogen and initial pressure on flame characteristics and explosion pressure of methane/hydrogen fuels. Fuel 2018, 233, 269–282. [Google Scholar] [CrossRef]
- Kiverin, A.; Yakovenko, I.; Kichatov, B.; Korshunov, A. Ignition and non-stationary combustion of the foamed heptane-in-water emulsion: Experimental and numerical analysis. Fuel 2022, 320, 123824. [Google Scholar] [CrossRef]
- Faure, S.; Ghidaglia, J.M. Violent flows in aqueous foams I: Physical and numerical models. Eur. J. Mech.—B/Fluids 2011, 30, 341–359. [Google Scholar] [CrossRef]
- Aveyard, R.; Binks, B.P.; Fletcher, P.D.; Peck, T.G.; Garrett, P.R. Entry and spreading of alkane drops at the air/surfactant solution interface in relation to foam and soap film stability. J. Chem. Soc. Faraday Trans. 1993, 89, 4313–4321. [Google Scholar] [CrossRef]
- Yakovenko, I.; Kiverin, A.; Korshunov, A.; Kichatov, B. Combustion Limits of Foamed Emulsions with High Water Content. Tech. Phys. Lett. 2019, 45, 1241–1244. [Google Scholar] [CrossRef]
- Xu, L.; Chang, Y.; Treacy, M.; Zhou, Y.; Jia, M.; Bai, X.S. A skeletal chemical kinetic mechanism for ammonia/n-heptane combustion. Fuel 2023, 331, 125830. [Google Scholar] [CrossRef]
- Song, C.; Liang, J.; Zhang, Z.; Li, G.; Zhang, C. Interpretation of role of methane in low-temperature oxidation processes of methane/n-heptane mixtures. Fuel 2022, 328, 125373. [Google Scholar] [CrossRef]
- Kéromnès, A.; Metcalfe, W.K.; Heufer, K.A.; Donohoe, N.; Das, A.K.; Sung, C.J.; Herzler, J.; Naumann, C.; Griebel, P.; Mathieu, O.; et al. An experimental and detailed chemical kinetic modeling study of hydrogen and syngas mixture oxidation at elevated pressures. Combust. Flame 2013, 160, 995–1011. [Google Scholar] [CrossRef]
- Maroteaux, F.; Noel, L. Development of a reduced n-heptane oxidation mechanism for HCCI combustion modeling. Combust. Flame 2006, 146, 246–267. [Google Scholar] [CrossRef]
- Ivanov, M.F.; Kiverin, A.D.; Liberman, M.A. Ignition of deflagration and detonation ahead of the flame due to radiative preheating of suspended micro particles. Combust. Flame 2015, 162, 3612–3621. [Google Scholar] [CrossRef]
- Emami, S.D.; Kasmani, R.M.; Hamid, M.D.; Che Hassan, C.R.; Mokhtar, K.M. Kinetic and dynamic analysis of hydrogen-enrichment mixtures in combustor systems—A review paper. Renew. Sustain. Energy Rev. 2016, 62, 1072–1082. [Google Scholar] [CrossRef]
- Manias, D.M.; Rabbani, S.; Kyritsis, D.C.; Goussis, D.A. The effect of fuel additives on the autoignition dynamics of rich methanol/air mixtures. Fuel 2022, 323, 124275. [Google Scholar] [CrossRef]
- Xu, H.; Yao, C.; Xu, G. Chemical kinetic mechanism and a skeletal model for oxidation of n-heptane/methanol fuel blends. Fuel 2012, 93, 625–631. [Google Scholar] [CrossRef]
- Zhong, F.; Zheng, L.; Zhang, J.; Wang, X.; Shi, Z.; Miao, Y.; Wang, J. Comparison of the premixed flame dynamics of CH4/O2/CO2 mixtures in closed and half-open ducts. Fuel 2022, 323, 124326. [Google Scholar] [CrossRef]
- Frolov, S.; Medvedev, S.; Basevich, V.; Frolov, F. Self-ignition of hydrocarbon–hydrogen–air mixtures. Int. J. Hydrogen Energy 2013, 38, 4177–4184. [Google Scholar] [CrossRef]






Disclaimer/Publisher’s Note: The statements, opinions and data contained in all publications are solely those of the individual author(s) and contributor(s) and not of MDPI and/or the editor(s). MDPI and/or the editor(s) disclaim responsibility for any injury to people or property resulting from any ideas, methods, instructions or products referred to in the content. |
© 2023 by the authors. Licensee MDPI, Basel, Switzerland. This article is an open access article distributed under the terms and conditions of the Creative Commons Attribution (CC BY) license (https://creativecommons.org/licenses/by/4.0/).
Share and Cite
Kiverin, A.; Yakovenko, I. Unsteady Combustion of the Heptane-in-Water Emulsion Foamed with Hydrogen–Oxygen Mixture. Appl. Sci. 2023, 13, 4829. https://doi.org/10.3390/app13084829
Kiverin A, Yakovenko I. Unsteady Combustion of the Heptane-in-Water Emulsion Foamed with Hydrogen–Oxygen Mixture. Applied Sciences. 2023; 13(8):4829. https://doi.org/10.3390/app13084829
Chicago/Turabian StyleKiverin, Alexey, and Ivan Yakovenko. 2023. "Unsteady Combustion of the Heptane-in-Water Emulsion Foamed with Hydrogen–Oxygen Mixture" Applied Sciences 13, no. 8: 4829. https://doi.org/10.3390/app13084829
APA StyleKiverin, A., & Yakovenko, I. (2023). Unsteady Combustion of the Heptane-in-Water Emulsion Foamed with Hydrogen–Oxygen Mixture. Applied Sciences, 13(8), 4829. https://doi.org/10.3390/app13084829

