Assessment of 2D Digital Image Correlation for Experimental Modal Analysis of Transient Response of Beams Using a Continuous Wavelet Transform Method
Abstract
1. Introduction
2. Experimental Implementation of DIC
2.1. Experimental Set-Up
2.2. DIC Post-Processing
2.3. Speckle Choice and Characterization
2.4. Full-Field Measurements
3. Modal Identification
3.1. Beam Theory
3.2. Continuous Wavelet Transform Method for Modal Identification
3.3. Signal Processing Procedure to Limit the Disturbance of Measurement Noise on Modal Identification
- First of all, the length of the signals to be processed has to be fixed, i.e., the beginning and the end of the signals have to be defined. There is no particular difficulty for the beginning of the signal. For the end of the signal, a first wavelet transform is applied to all the measurement points on a narrow frequency bandwidth close to the frequency of the mode considered ([0.99, 1.01] ) with a factor . Then, after a first approximation of the mode shape, the points whose modal amplitude is less than 0.1 (the mode shape is normalized to the maximum value, so its maximum is equal to 1) are not used for determining the end of the signals. For each of the remaining points, the curve is normalized to the maximum and the time from which the curve is under the arbitrarily fixed threshold of 0.2 is saved. The final time for all the points to be analyzed is defined as the minimum of the times saved previously.
- Once the length of the signals is determined, a second wavelet analysis on the same bandwidth as before is performed using a factor Q equal to in order to minimize the time fluctuation on the ridge. The values obtained for the modal parameters (frequency, modal damping ratio, and mode shape) are the averages of these parameters for the time interval not subject to edge effects (inside the two vertical red lines represented in Figure 8).
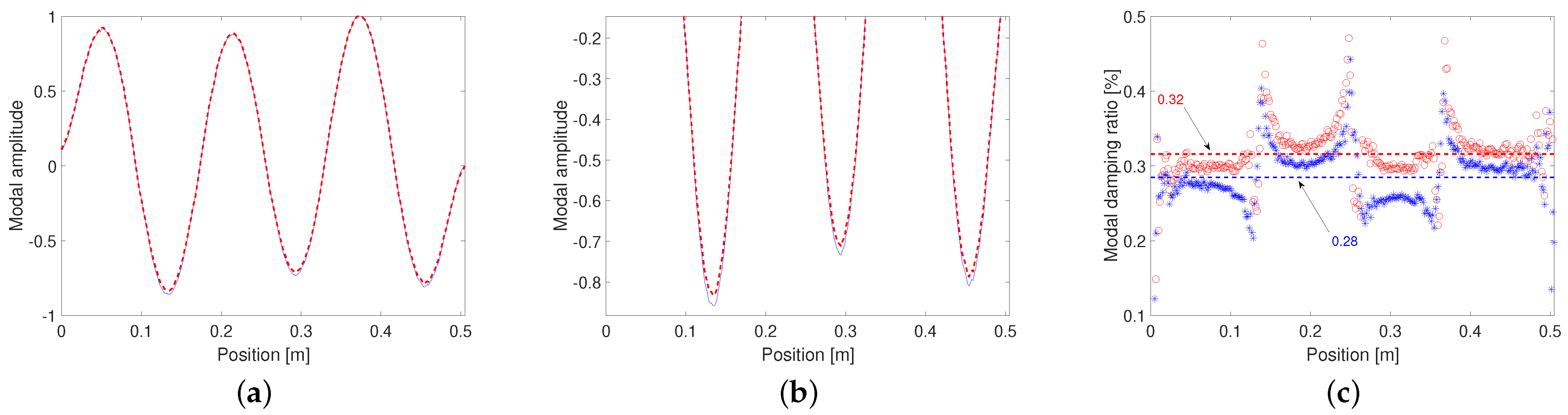
- In order to limit the noise disturbance on the identification of the modal parameters, a singular value decomposition (SVD) is applied to the wavelet scalogram as proposed in [26]. The scalogram is recombined from matrices obtained using SVD after setting the lowest singular values to zero. Since it is time-consuming and not needed for the first wavelet transform used to determine the final duration of the signals, the SVD is only applied for the second wavelet transform used to obtain the modal parameters. The noise present in the data has no effect on the determination of the frequency, a small effect on the mode shape (Figure 9a,b (zoom)), and a quite important effect on the values of the modal damping ratio (Figure 9c).
4. Results and Discussion
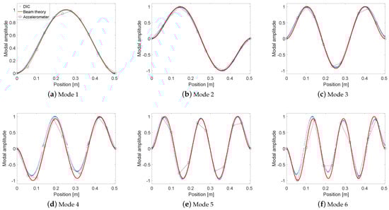
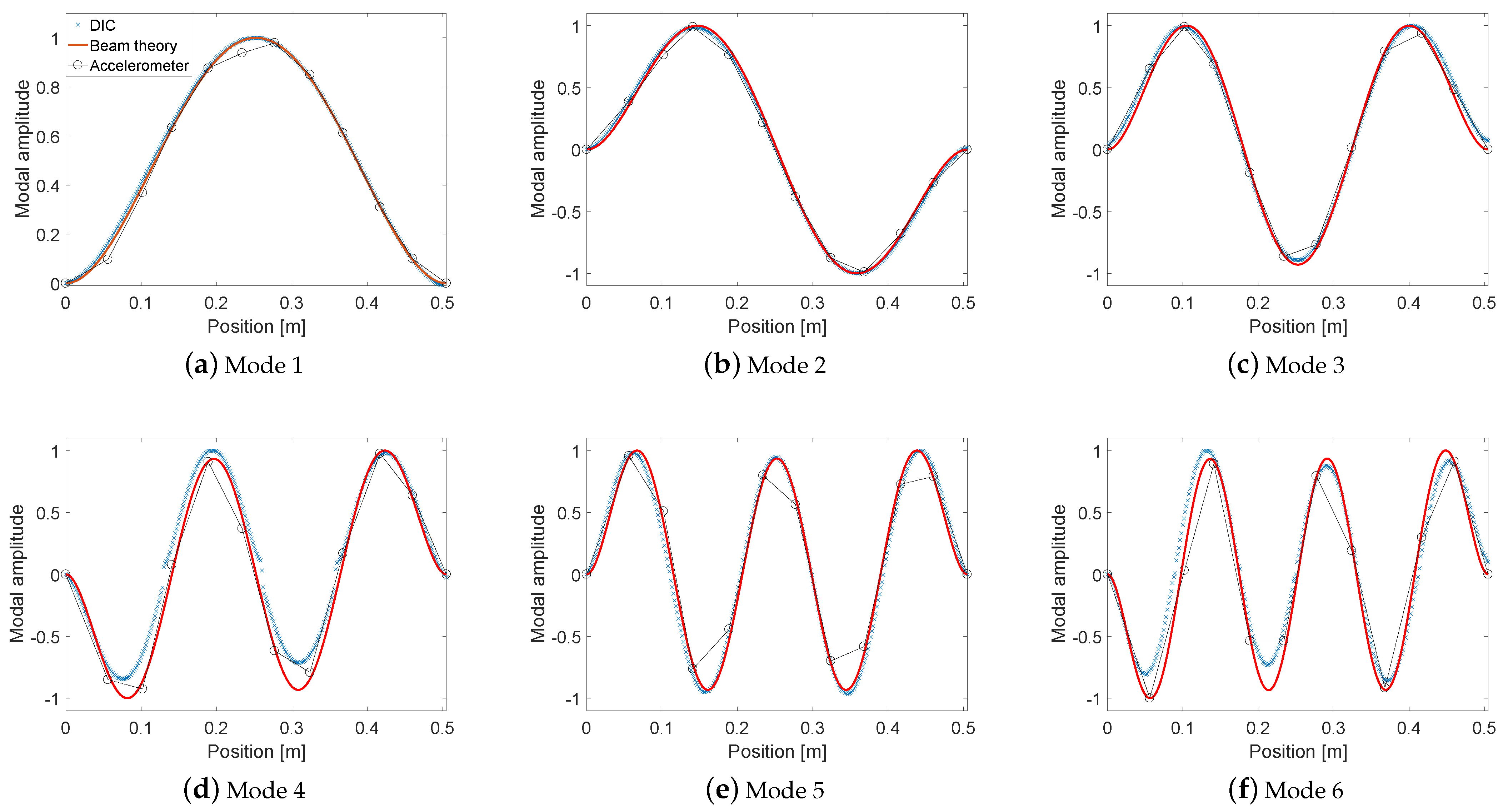
4.1. Clamped–Clamped Beam
4.2. Cantilever Beam
4.3. Discussion
5. Conclusions
Author Contributions
Funding
Institutional Review Board Statement
Informed Consent Statement
Data Availability Statement
Conflicts of Interest
References
- Cumunel, G.; Delepine-Lesoille, S.; Argoul, P. Long-gage optical fiber extensometers for dynamic evaluation of structures. Sens. Actuators A Phys. 2012, 184, 1–15. [Google Scholar] [CrossRef]
- Yang, S.; Allen, M.S. Output-only Modal Analysis using Continuous-Scan Laser Doppler Vibrometry and application to a 20 kW wind turbine. Mech. Syst. Signal Process. 2012, 31, 228–245. [Google Scholar] [CrossRef]
- Ashory, M.R. Correction of Mass-loading Effects of Transducers and Suspension Effects in Modal Testing. In Proceedings of the 16th International Modal Analysis Conference, Santa Barabara, CA, USA, 2–5 February 1998; Volume 3243, p. 815. [Google Scholar]
- Yang, D.S.; Bornert, M.; Chanchole, S.; Gharbi, H.; Valli, P.; Gatmiri, B. Dependence of elastic properties of argillaceous rocks on moisture content investigated with optical full-field strain measurement techniques. Int. J. Rock Mech. Min. Sci. 2012, 53, 45–55. [Google Scholar] [CrossRef]
- Beberniss, T.; Ehrhardt, D.A. High-speed 3D digital image correlation vibration measurement: Recent advancements and noted limitations. Mech. Syst. Signal Process. 2017, 86 Pt B, 35–48. [Google Scholar] [CrossRef]
- Reu, P.L.; Rohe, D.P.; Jacobs, L.D. Comparison of {DIC} and {LDV} for practical vibration and modal measurements. Mech. Syst. Signal Process. 2017, 86 Pt B, 2–16. [Google Scholar] [CrossRef]
- Beberniss, T.; Spottswood, M.; Eason, T. High-Speed Digital Image Correlation Measurements of Random Nonlinear Dynamic Response. In Experimental and Applied Mechanics; Proulx, T., Ed.; Springer: New York, NY, USA, 2011; Volume 6, pp. 171–186. [Google Scholar] [CrossRef]
- Siebert, T.; Wood, R.; Splitthof, K. High speed image correlation for vibration analysis. J. Phys. Conf. Ser. 2009, 181, 012064. [Google Scholar] [CrossRef]
- Wang, W.; Mottershead, J.E.; Siebert, T.; Pipino, A. Frequency response functions of shape features from full-field vibration measurements using digital image correlation. Mech. Syst. Signal Process. 2012, 28, 333–347. [Google Scholar] [CrossRef]
- Helfrick, M.N.; Niezrecki, C.; Avitabile, P.; Schmidt, T. 3D digital image correlation methods for full-field vibration measurement. Mech. Syst. Signal Process. 2011, 25, 917–927. [Google Scholar] [CrossRef]
- Hagara, M.; Trebuňa, F.; Huňady, R.; Kalina, M.; Schrötter, M. Experimental Identification of Modal Parameters of Thin Metal Sheets by using of DIC. Proc. Eng. 2012, 48, 180–188. [Google Scholar] [CrossRef]
- Wang, W.; Mottershead, J.E.; Ihle, A.; Siebert, T.; Reinhard Schubach, H. Finite element model updating from full-field vibration measurement using digital image correlation. J. Sound Vib. 2011, 330, 1599–1620. [Google Scholar] [CrossRef]
- Chen, J.G.; Wadhwa, N.; Cha, Y.J.; Durand, F.; Freeman, W.T.; Buyukozturk, O. Modal identification of simple structures with high-speed video using motion magnification. J. Sound Vib. 2015, 345, 58–71. [Google Scholar] [CrossRef]
- Bornert, M.; Brémand, F.; Doumalin, P.; Dupré, J.C.; Fazzini, M.; Grédiac, M.; Hild, F.; Mistou, S.; Molimard, J.; Orteu, J.J.; et al. Assessment of Digital Image Correlation Measurement Errors: Methodology and Results. Exp. Mech. 2008, 49, 353–370. [Google Scholar] [CrossRef]
- Bornert, M.; Vales, F.; Gharbi, H.; Nguyen Minh, D. Multiscale full-field strain measurements for micromechanical investigations of the hydromechanical behaviour of clayey rocks. Strain 2010, 46, 33–46. [Google Scholar] [CrossRef]
- Dautriat, J.; Bornert, M.; Gland, N.; Dimanov, A.; Raphanel, J. Localized deformation induced by heterogeneities in porous carbonate analysed by multi-scale digital image correlation. Tectonophysics 2011, 503, 100–116. [Google Scholar] [CrossRef]
- Martin, G.; Caldemaison, D.; Bornert, M.; Pinna, C.; Bréchet, Y.; Véron, M.; Mithieux, J.D.; Pardoen, T. Characterization of the High Temperature Strain Partitioning in Duplex Steels. Exp. Mech. 2013, 53, 205–215. [Google Scholar] [CrossRef]
- Bornert, M.; Orteu, J.J.; Roux, S. Corrélation d’images. In Mesures de Champs et Identification en Mécanique des Solides; Grédiac, M., Hild, F., Eds.; Traité MIM; Série Matériaux et Métallurgie; Hermes Science Publications Lavoisier: Paris, France, 2011; Chapter 6; pp. 175–208. [Google Scholar]
- Doumalin, P.; Bornert, M. Micromechanical applications of digital image correlation techniques. In Interferometry in Speckle Light; Springer: Berlin/Heidelberg, Germany, 2000; Volume 3243, pp. 67–74. [Google Scholar] [CrossRef]
- Lecompte, D.; Smits, A.; Bossuyt, S.; Sol, H.; Vantomme, J.; Van Hemelrijck, D.; Habraken, A.M. Quality assessment of speckle patterns for digital image correlation. Opt. Lasers Eng. 2006, 44, 1132–1145. [Google Scholar] [CrossRef]
- Crammond, G.; Boyd, S.W.; Dulieu-Barton, J.M. Speckle pattern quality assessment for digital image correlation. Opt. Lasers Eng. 2013, 51, 1368–1378. [Google Scholar] [CrossRef]
- Bossuyt, S. Optimized Patterns for Digital Image Correlation. In Imaging Methods for Novel Materials and Challenging Applications; Jin, H., Sciammarella, C., Furlong, C., Yoshida, S., Eds.; Springer: New York, NY, USA, 2013; Volume 3, pp. 239–248. [Google Scholar] [CrossRef]
- Amiot, F.; Bornert, M.; Doumalin, P.; Dupré, J.C.; Fazzini, M.; Orteu, J.J.; Poilâne, C.; Robert, L.; Rotinat, R.; Toussaint, E.; et al. Assessment of Digital Image Correlation Measurement Accuracy in the Ultimate Error Regime: Main Results of a Collaborative Benchmark: Benchmark on Digital Image Correlation Ultimate Error. Strain 2013, 49, 483–496. [Google Scholar] [CrossRef]
- Géradin, M.; Rixen, D. Mechanical Vibrations: Theory and Application to Structural Dynamics; Wiley: Hoboken, NJ, USA, 1997. [Google Scholar]
- Le, T.P.; Argoul, P. Continuous wavelet transform for modal identification using free decay response. J. Sound Vib. 2004, 277, 73–100. [Google Scholar] [CrossRef]
- Le, T.P.; Paultre, P. Modal identification based on continuous wavelet transform and ambient excitation tests. J. Sound Vib. 2012, 331, 2023–2037. [Google Scholar] [CrossRef]
- Allemang, R.J.; Brown, D.L. A correlation coefficient for modal vector analysis. In Proceedings of the 1st International Modal Analysis Conference, SEM, Orlando, FL, USA, 8–10 November 1982; Volume 1, pp. 110–116. [Google Scholar]






















| Clamped–Clamped Beam | Cantilever Beam | |||||
|---|---|---|---|---|---|---|
| [Hz] | [Hz] | |||||
| 1 | 4.730 | 0.9825 | 124.6 | 1.875 | 0.7341 | 15.37 |
| 2 | 7.853 | 1.0008 | 343.4 | 4.694 | 1.0185 | 96.3 |
| 3 | 10.996 | 1.0000 | 673.3 | 7.855 | 0.9992 | 269.7 |
| 4 | 14.137 | 1.0000 | 1112.9 | 10.996 | 1.0000 | 528.6 |
| 5 | 17.279 | 1.0000 | 1662.6 | 14.138 | 1.0000 | 873.7 |
| 6 | 20.421 | 1.0000 | 2322.1 | 17.280 | 1.0000 | 1305.1 |
| Test | Mode 1 | Mode 2 | Mode 3 | Mode 4 | Mode 5 | Mode 6 | ||||||
|---|---|---|---|---|---|---|---|---|---|---|---|---|
| DIC | Acc. | DIC | Acc. | DIC | Acc. | DIC | Acc. | DIC | Acc. | DIC | Acc. | |
| 1 | 118.0 | 118.0 | 325.1 | 325.1 | 634.5 | 634.7 | 1055.0 | 1055.2 | 1571.8 | 1572.2 | 2192.3 | 2193.4 |
| 2 | 117.9 | 117.9 | 324.9 | 325.0 | 634.1 | 634.4 | 1054.5 | 1054.8 | 1571.6 | 1571.6 | 2191.3 | 2192.1 |
| 3 | 117.8 | 117.8 | 324.8 | 324.8 | 634.0 | 634.3 | 1054.7 | 1054.6 | 1571.4 | 1571.6 | 2191.6 | 2192.1 |
| 4 | 117.9 | 118.0 | 325.0 | 325.1 | 634.8 | 634.8 | 1055.8 | 1055.7 | 1572.8 | 1572.6 | 2193.6 | 2194.3 |
| 5 | 117.8 | 117.8 | 324.7 | 324.7 | 634.2 | 634.5 | 1054.9 | 1054.9 | 1572.0 | 1571.9 | 2192.4 | 2193.2 |
| 6 | 117.5 | 117.6 | 324.5 | 324.5 | 633.8 | 633.9 | 1054.2 | 1054.5 | 1571.3 | 1571.1 | 2191.2 | 2191.5 |
| 7 | 117.8 | 117.8 | 324.8 | 324.9 | 634.2 | 634.3 | 1054.8 | 1055.0 | 1571.6 | 1571.8 | 2191.9 | 2192.5 |
| 8 | 117.6 | 117.7 | 324.6 | 324.7 | 634.0 | 634.1 | 1054.3 | 1054.5 | 1571.2 | 1571.4 | 2191.0 | 2192.1 |
| 9 | 117.6 | 117.6 | 324.4 | 324.5 | 633.6 | 633.9 | 1054.1 | 1054.3 | 1570.9 | 1571.2 | 2189.9 | 2191.8 |
| 10 | 117.5 | 117.5 | 324.3 | 324.3 | 633.6 | 633.7 | 1054.3 | 1054.3 | 1571.0 | 1571.3 | 2190.8 | 2191.9 |
| Mean | 117.8 | 117.8 | 324.7 | 324.8 | 634.1 | 634.2 | 1054.7 | 1054.8 | 1571.5 | 1571.7 | 2191.6 | 2192.5 |
| RSD (%) | 0.15 | 0.15 | 0.08 | 0.08 | 0.06 | 0.06 | 0.05 | 0.04 | 0.04 | 0.03 | 0.05 | 0.04 |
| Test | Mode 1 | Mode 2 | Mode 3 | Mode 4 | Mode 5 | Mode 6 | ||||||
|---|---|---|---|---|---|---|---|---|---|---|---|---|
| DIC | Acc. | DIC | Acc. | DIC | Acc. | DIC | Acc. | DIC | Acc. | DIC | Acc. | |
| 1 | 0.49 | 0.51 | 0.38 | 0.37 | 0.38 | 0.37 | 0.32 | 0.31 | 0.20 | 0.20 | 0.17 | 0.18 |
| 2 | 0.51 | 0.50 | 0.36 | 0.36 | 0.39 | 0.39 | 0.32 | 0.31 | 0.21 | 0.21 | 0.18 | 0.19 |
| 3 | 0.44 | 0.46 | 0.37 | 0.36 | 0.39 | 0.38 | 0.32 | 0.31 | 0.21 | 0.21 | 0.18 | 0.19 |
| 4 | 0.37 | 0.36 | 0.26 | 0.26 | 0.30 | 0.33 | 0.25 | 0.27 | 0.18 | 0.17 | 0.17 | 0.17 |
| 5 | 0.37 | 0.38 | 0.36 | 0.36 | 0.36 | 0.36 | 0.30 | 0.29 | 0.20 | 0.19 | 0.17 | 0.18 |
| 6 | 0.47 | 0.48 | 0.37 | 0.37 | 0.39 | 0.39 | 0.31 | 0.30 | 0.21 | 0.21 | 0.18 | 0.19 |
| 7 | 0.46 | 0.47 | 0.37 | 0.37 | 0.37 | 0.38 | 0.30 | 0.30 | 0.20 | 0.20 | 0.18 | 0.19 |
| 8 | 0.51 | 0.53 | 0.37 | 0.37 | 0.39 | 0.38 | 0.31 | 0.30 | 0.21 | 0.20 | 0.18 | 0.19 |
| 9 | 0.50 | 0.55 | 0.37 | 0.36 | 0.38 | 0.39 | 0.30 | 0.30 | 0.20 | 0.20 | 0.17 | 0.19 |
| 10 | 0.52 | 0.54 | 0.37 | 0.36 | 0.38 | 0.38 | 0.30 | 0.30 | 0.20 | 0.20 | 0.18 | 0.19 |
| Mean | 0.46 | 0.48 | 0.36 | 0.35 | 0.37 | 0.37 | 0.30 | 0.30 | 0.20 | 0.20 | 0.18 | 0.19 |
| RSD (%) | 12.20 | 13.47 | 10.13 | 9.59 | 7.54 | 4.94 | 6.95 | 4.06 | 4.65 | 5.46 | 2.91 | 4.17 |
| Test | Mode 1 | Mode 2 | Mode 3 | Mode 4 | Mode 5 | Mode 6 | Mode 7 | Mode 8 | ||||||||
|---|---|---|---|---|---|---|---|---|---|---|---|---|---|---|---|---|
| DIC | Acc. | DIC | Acc. | DIC | Acc. | DIC | Acc. | DIC | Acc. | DIC | Acc. | DIC | Acc. | DIC | Acc. | |
| 1 | 15.05 | 15.05 | 93.09 | 93.08 | 259.0 | 259.0 | 509.3 | 509.3 | 844.3 | 844.3 | 1255.3 | 1255.2 | 1752.9 | 1753.5 | 2178.2 | 2327.0 |
| 2 | 15.04 | 15.05 | 93.09 | 93.08 | 259.1 | 259.1 | 509.4 | 509.4 | 844.4 | 844.2 | 1255.2 | 1255.2 | 1753.2 | 1753.5 | 2178.2 | 2326.9 |
| 3 | 15.04 | 15.05 | 93.08 | 93.10 | 259.1 | 259.1 | 509.3 | 509.3 | 844.5 | 844.2 | 1255.5 | 1255.3 | 1753.0 | 1753.3 | 2178.0 | 2326.9 |
| 4 | 15.04 | 15.05 | 93.09 | 93.09 | 259.0 | 259.1 | 509.2 | 509.3 | 844.0 | 844.3 | 1254.8 | 1255.3 | 1753.0 | 1753.1 | 2177.9 | 2326.4 |
| 5 | 15.05 | 15.05 | 93.09 | 93.09 | 259.1 | 259.1 | 509.4 | 509.4 | 844.0 | 844.5 | 1255.3 | 1255.5 | 1753.3 | 1753.5 | 2176.9 | 2327.0 |
| 6 | 15.04 | 15.05 | 93.08 | 93.09 | 259.1 | 259.1 | 509.4 | 509.3 | 844.7 | 844.3 | 1255.4 | 1255.4 | 1753.1 | 1753.6 | 2177.8 | 2327.0 |
| 7 | 15.04 | 15.04 | 93.09 | 93.09 | 259.0 | 259.1 | 509.5 | 509.5 | 844.5 | 844.4 | 1255.5 | 1255.6 | 1753.3 | 1753.6 | 2178.2 | 2326.9 |
| 8 | 15.07 | 15.07 | 93.13 | 93.16 | 259.0 | 259.2 | 509.6 | 509.7 | 844.6 | 844.8 | 1253.2 | 1256.0 | 1753.8 | 1754.1 | 2176.7 | 2328.1 |
| 9 | 15.04 | 15.04 | 93.08 | 93.08 | 259.1 | 259.0 | 509.3 | 509.4 | 844.1 | 844.2 | 1254.9 | 1255.1 | 1753.0 | 1753.1 | 2177.7 | 2326.7 |
| 10 | 15.03 | 15.04 | 93.09 | 93.09 | 259.0 | 259.0 | 509.2 | 509.3 | 844.3 | 844.3 | 1255.2 | 1255.1 | 1753.0 | 1753.1 | 2177.7 | 2326.8 |
| Mean | 15.04 | 15.05 | 93.09 | 93.10 | 259.1 | 259.1 | 509.4 | 509.4 | 844.3 | 844.4 | 1255.0 | 1255.4 | 1753.2 | 1753.4 | 2177.7 | 2327.0 |
| RSD (%) | 0.08 | 0.07 | 0.02 | 0.02 | 0.01 | 0.02 | 0.02 | 0.02 | 0.03 | 0.02 | 0.05 | 0.02 | 0.01 | 0.02 | 0.02 | 0.02 |
| Test | Mode 1 | Mode 2 | Mode 3 | Mode 4 | Mode 5 | Mode 6 | Mode 7 | Mode 8 | ||||||||
|---|---|---|---|---|---|---|---|---|---|---|---|---|---|---|---|---|
| DIC | Acc. | DIC | Acc. | DIC | Acc. | DIC | Acc. | DIC | Acc. | DIC | Acc. | DIC | Acc. | DIC | Acc. | |
| 1 | 0.45 | 0.50 | 0.28 | 0.28 | 0.27 | 0.28 | 0.15 | 0.15 | 0.49 | 0.49 | 0.13 | 0.14 | 0.14 | 0.14 | 0.17 | 0.15 |
| 2 | 0.46 | 0.48 | 0.28 | 0.28 | 0.27 | 0.27 | 0.15 | 0.15 | 0.47 | 0.49 | 0.14 | 0.14 | 0.13 | 0.14 | 0.16 | 0.15 |
| 3 | 0.47 | 0.51 | 0.29 | 0.28 | 0.27 | 0.27 | 0.15 | 0.15 | 0.48 | 0.49 | 0.14 | 0.14 | 0.13 | 0.14 | 0.16 | 0.15 |
| 4 | 0.45 | 0.50 | 0.28 | 0.28 | 0.27 | 0.27 | 0.16 | 0.15 | 0.47 | 0.48 | 0.14 | 0.14 | 0.13 | 0.14 | 0.17 | 0.16 |
| 5 | 0.48 | 0.50 | 0.29 | 0.28 | 0.27 | 0.27 | 0.14 | 0.14 | 0.48 | 0.50 | 0.12 | 0.13 | 0.13 | 0.14 | 0.17 | 0.15 |
| 6 | 0.49 | 0.51 | 0.29 | 0.28 | 0.28 | 0.27 | 0.16 | 0.14 | 0.48 | 0.50 | 0.13 | 0.13 | 0.14 | 0.14 | 0.17 | 0.15 |
| 7 | 0.49 | 0.51 | 0.28 | 0.28 | 0.28 | 0.27 | 0.15 | 0.14 | 0.47 | 0.50 | 0.14 | 0.13 | 0.14 | 0.14 | 0.16 | 0.15 |
| 8 | 0.55 | 0.53 | 0.27 | 0.25 | 0.24 | 0.23 | 0.13 | 0.13 | 0.50 | 0.51 | 0.14 | 0.12 | 0.14 | 0.13 | 0.12 | 0.14 |
| 9 | 0.47 | 0.48 | 0.29 | 0.28 | 0.27 | 0.27 | 0.16 | 0.15 | 0.48 | 0.49 | 0.13 | 0.14 | 0.14 | 0.14 | 0.16 | 0.15 |
| 10 | 0.47 | 0.50 | 0.28 | 0.28 | 0.27 | 0.27 | 0.16 | 0.15 | 0.47 | 0.49 | 0.14 | 0.14 | 0.14 | 0.14 | 0.15 | 0.15 |
| Mean | 0.48 | 0.50 | 0.28 | 0.28 | 0.27 | 0.27 | 0.15 | 0.14 | 0.48 | 0.49 | 0.13 | 0.13 | 0.14 | 0.14 | 0.16 | 0.15 |
| RSD (%) | 6.43 | 3.19 | 1.86 | 3.77 | 3.97 | 5.14 | 6.42 | 4.86 | 1.96 | 1.92 | 5.81 | 4.22 | 2.00 | 1.37 | 9.01 | 2.09 |
| Parameter | DIC | Accelerometers | ||
|---|---|---|---|---|
| Frequency | Good determination | = | Good determination | = |
| Damping ratio | Some disparity (many measurements) | +/− | Low disparity (few measurements) | + |
| Mode shape | Accurate description | + | Lack of points | − |
| Impact on measurement | Non-intrusive | + | Intrusive | − |
Disclaimer/Publisher’s Note: The statements, opinions and data contained in all publications are solely those of the individual author(s) and contributor(s) and not of MDPI and/or the editor(s). MDPI and/or the editor(s) disclaim responsibility for any injury to people or property resulting from any ideas, methods, instructions or products referred to in the content. |
© 2023 by the authors. Licensee MDPI, Basel, Switzerland. This article is an open access article distributed under the terms and conditions of the Creative Commons Attribution (CC BY) license (https://creativecommons.org/licenses/by/4.0/).
Share and Cite
Régal, X.; Cumunel, G.; Bornert, M.; Quiertant, M. Assessment of 2D Digital Image Correlation for Experimental Modal Analysis of Transient Response of Beams Using a Continuous Wavelet Transform Method. Appl. Sci. 2023, 13, 4792. https://doi.org/10.3390/app13084792
Régal X, Cumunel G, Bornert M, Quiertant M. Assessment of 2D Digital Image Correlation for Experimental Modal Analysis of Transient Response of Beams Using a Continuous Wavelet Transform Method. Applied Sciences. 2023; 13(8):4792. https://doi.org/10.3390/app13084792
Chicago/Turabian StyleRégal, Xavier, Gwendal Cumunel, Michel Bornert, and Marc Quiertant. 2023. "Assessment of 2D Digital Image Correlation for Experimental Modal Analysis of Transient Response of Beams Using a Continuous Wavelet Transform Method" Applied Sciences 13, no. 8: 4792. https://doi.org/10.3390/app13084792
APA StyleRégal, X., Cumunel, G., Bornert, M., & Quiertant, M. (2023). Assessment of 2D Digital Image Correlation for Experimental Modal Analysis of Transient Response of Beams Using a Continuous Wavelet Transform Method. Applied Sciences, 13(8), 4792. https://doi.org/10.3390/app13084792

