Experimental Study on the Protection of an Asphalt Coating to Reinforcement in Magnesium Oxychloride Cement Concrete
Abstract
1. Introduction
2. Test Materials and Testing Scheme
2.1. Raw Materials
2.2. Testing Scheme
3. Test Results
3.1. Polarisation Curve Test Results
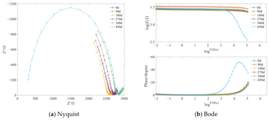
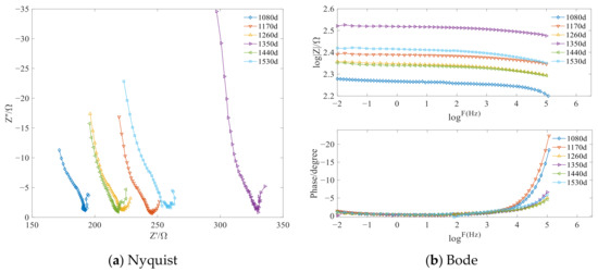
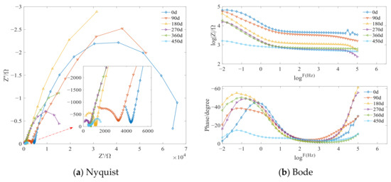
3.2. AC Impedance Test Results
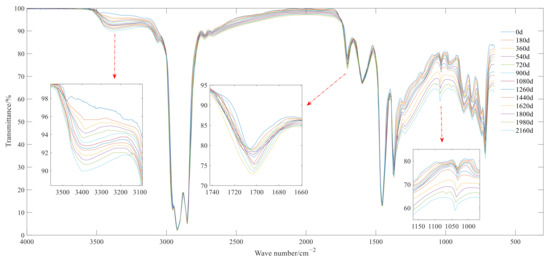
3.3. FTIR Test Results
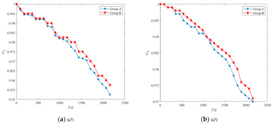
. When water is present, the following reactions occur (Figure 18) [22]:3.4. Crack Development and Quality Degradation Results
3.5. Microscopic Test Results
4. Conclusions
Author Contributions
Funding
Institutional Review Board Statement
Informed Consent Statement
Data Availability Statement
Acknowledgments
Conflicts of Interest
References
- Wang, P.; Qiao, H.; Zhang, Y.; Li, Y.; Feng, Q. Three-dimensional characteristics of steel corrosion and corrosion-induced cracks in magnesium oxychloride cement concrete monitored by x-ray computed tomography. Constr. Build. Mater. 2020, 246, 118504. [Google Scholar] [CrossRef]
- Wang, P.; Qiao, H.; Zhang, Y.; Li, Y.; Chen, K. Meso-damage evolution analysis of magnesium oxychloride cement concrete based on X-CT and grey-level co-occurrence matrix. Constr. Build. Mater. 2020, 255, 119373. [Google Scholar] [CrossRef]
- Gao, S.; Ban, S.; Wang, H.; Lei, D.; Gong, Y. The influence of oiled fiber, freeze-thawing cycle, and sulfate attack on strain hardening cement-based composites. Rev. Adv. Mater. Sci. 2022, 61, 208–220. [Google Scholar] [CrossRef]
- Yu, Y.; Li, B.; Zhang, Y.; Zhang, C. Deterioration characteristics of recycled aggregate concrete subjected to coupling effect with salt and frost. Rev. Adv. Mater. Sci. 2022, 61, 27–40. [Google Scholar] [CrossRef]
- Angst, U.M. Challenges and opportunities in corrosion of steel in concrete. Mater. Struct. 2018, 51, 4. [Google Scholar] [CrossRef]
- Torbati-Sarraf, H.; Poursaee, A. Corrosion improvement of carbon steel in concrete environment through modification of steel microstructure. J. Mater. Civ. Eng. 2019, 31, 04019042. [Google Scholar] [CrossRef]
- Alhozaimy, A.; Hussain, R.R.; Al-Negheimish, A.I.; Singh, J.K.; Singh, D. Protection against reinforcement corrosion using phosphoric acid-based rust converter. ACI Mater. J. 2018, 115, 935–944. [Google Scholar] [CrossRef]
- Wei, L.Z.; Wang, Y.C.; Jiang, T.; Xiao, J.Z. Feasibility study of strain hardening magnesium oxychloride cement-based composites. Constr. Build. Mater. 2018, 165, 750–760. [Google Scholar] [CrossRef]
- Gong, W.; Yu, H.; Ma, H.; Qiao, H.; Chen, G. Study on corrosion and anticorrosion of rebar in magnesium oxychloride cement concrete. Emerg. Mater. Res. 2019, 8, 94–104. [Google Scholar] [CrossRef]
- Wang, P.; Qiao, H.; Feng, Q.; Cao, H. Degradation in durability of magnesium oxychloride-coated reinforced steel concrete. ACI Mater. J. 2020, 117, 33–41. [Google Scholar]
- Wang, P.; Qiao, H.; Chen, K.; Li, Y.; Feng, Q. Life prediction and long-term durability of coated steel bars in magnesium oxychloride concrete. KSCE J. Civ. Eng. 2020, 24, 2120–2131. [Google Scholar] [CrossRef]
- Zhang, M.; Xu, R.; Liu, K.; Sun, S. Research progress on durability of marine concrete under the combined action of Cl− erosion, carbonation, and dry–wet cycles. Rev. Adv. Mater. Sci. 2022, 61, 622–637. [Google Scholar] [CrossRef]
- Chen, X.Y.; Zhang, T.T.; Bi, W.L.; Cheeseman, C. Effect of tartaric acid and phosphoric acid on the water resistance of magnesium oxychloride (MOC) cement. Constr. Build. Mater. 2019, 213, 528–536. [Google Scholar] [CrossRef]
- Huang, T.; Yuan, Q.; Deng, D. The role of phosphoric acid in improving the strength of magnesium oxychloride cement pastes with large molar ratios of H2O/MgCl2. Cem. Concr. Compos. 2019, 97, 379–386. [Google Scholar] [CrossRef]
- He, P.; Poon, C.S.; Tsang, D. Comparison of glass powder and pulverized fuel ash for improving the water resistance of magnesium oxychloride cement. Cem. Concr. Compos. 2018, 86, 98–109. [Google Scholar] [CrossRef]
- He, P.; Poon, C.S.; Tsang, D. Effect of pulverized fuel ash and co2 curing on the water resistance of magnesium oxychloride cement (moc). Cem. Concr. Res. 2017, 97, 115–122. [Google Scholar] [CrossRef]
- Khatkar, S. Hybrid magnesium matrix composites: A review of reinforcement philosophies, mechanical and tribological characteristics. Rev. Adv. Mater. Sci. 2023, 62, 20220294. [Google Scholar] [CrossRef]
- Nian, T.; Li, P.; Wei, X.; Wang, P.; Li, H.; Guo, R. The effect of freeze-thaw cycles on durability properties of sbs-modified bitumen. Constr. Build. Mater. 2018, 187, 77–88. [Google Scholar] [CrossRef]
- Nian, T.; Li, P.; Mao, Y.; Zhang, G.; Liu, Y. Connections between chemical composition and rheology of aged base asphalt binders during repeated freeze-thaw cycles. Constr. Build. Mater. 2018, 159, 338–350. [Google Scholar] [CrossRef]
- Smith, F.H. Field joint coating of pipelines—Effect of soluble salt contamination on 2-layer heat shrink sleeve performance. Anti-Corros. Methods Mater. 2016, 63, 105–115. [Google Scholar] [CrossRef]
- Tang, L.M.; Bi, W.J. The improvement of anticorrosive technology for pipeline in panjin oilfield. Adv. Mater. Res. 2012, 472, 2901–2904. [Google Scholar] [CrossRef]
- Wang, P.; Qiao, H.; Li, Y.; Chen, K.; Nian, T. Durability of organic coated reinforced magnesium oxychloride cement concrete. Struct. Concr. 2021, 22, 2595–2610. [Google Scholar] [CrossRef]
- Pa, A.; Xl, A.; Se, A.; Asa, B. Use of epoxy asphalt as surfacing and tack coat material for roadway pavements—Sciencedirect. Constr. Build. Mater. 2020, 250, 118936. [Google Scholar]
- Huang, Q.; Qian, Z.; Chen, L.; Zhang, M.; Hu, J. Evaluation of epoxy asphalt rubber with silane coupling agent used as tack coat for seasonally frozen orthotropic steel bridge decks. Constr. Build. Mater. 2020, 241, 117957. [Google Scholar] [CrossRef]
- Xiao, R.; Huang, B.S. Moisture damage mechanism and thermodynamic properties of hot-mix asphalt under aging conditions. ACS Sustain. Chem. Eng. 2022, 10, 14865–14887. [Google Scholar] [CrossRef]
- Wang, W.Z.; Shen, A.Q.; He, Z.M.; Liu, H.C. Evaluation of the adhesion property and moisture stability of rubber modified asphalt mixture incorporating waste steel slag. J. Adhes. Sci. Technol. 2023, 37, 296–318. [Google Scholar] [CrossRef]
- Zhang, G.; Qiu, J.; Zhao, J.; Wei, D.; Wang, H. Development of Interfacial Adhesive Property by Novel Anti-Stripping Composite between Acidic Aggregate and Asphalt. Polymers 2020, 12, 473. [Google Scholar] [CrossRef]
- Zamanizadeh, H.R.; Danaee, I.; Shishesaz, M.R.; Zarei, D. Preparation, adhesion and barrier properties of bituminous composite coatings on steel 37. Sci. Iran. 2016, 23, 2784–2790. [Google Scholar] [CrossRef]
- Zamanizadeh, H.R.; Shishesaz, M.R.; Danaee, I.; Zaarei, D. Investigation of the corrosion protection behavior of natural montmorillonite clay/bitumen nanocomposite coatings. Prog. Org. Coat. 2015, 78, 256–260. [Google Scholar] [CrossRef]
- Shahsavari, A.R.; Danaee, I.; Baniasad, F. Effect of Nano Cerium Oxide on Cathodic Protection and Barrier Properties of Zinc Rich Bitumen Coatings. Prot. Met. Phys. Chem. Surf. 2022, 58, 981–990. [Google Scholar] [CrossRef]
- Yu, J.H.; Zhang, Y.F.; Jin, X.Y.; Chen, L.; Xue, W.B. Fabrication and optical emission spectroscopy of enhanced corrosion-resistant CPEO films on Q235 low carbon steel. Surf. Coat. Technol. 2019, 363, 411–418. [Google Scholar] [CrossRef]
- Ohba, M.; Scarazzato, T.; Espinosa, D.C.R.; Panossian, Z. Study of metal electrodeposition by means of simulated and experimental polarization curves: Zinc deposition on steel electrodes. Electrochim. Acta 2019, 309, 86–103. [Google Scholar] [CrossRef]
- Luo, D.; Li, F.; Xing, G. Corrosion resistance of 6061-T6 aluminium alloy and its feasibility of near-surface reinforcements in concrete structure. Rev. Adv. Mater. Sci. 2022, 61, 638–653. [Google Scholar] [CrossRef]
- Wu, J.; Dong, L.; Deng, J.H.; Hou, D.; Li, G.Z.; Li, D.J.; Xue, W.B. Direct growth of oxide layer on carbon steel by cathodic plasma electrolysis. Surf. Coat. Technol. 2018, 338, 63–68. [Google Scholar] [CrossRef]
- Tao, Z.; He, W.; Wang, S.; Zhang, S.; Zhou, G. A study of differential polarization curves and thermodynamic properties for mild steel in acidic solution with nitrophenyl triazole derivative. Corros. Sci. 2012, 60, 205–213. [Google Scholar] [CrossRef]
- Fajardo, S.; Llorente, I.; Jiménez, J.A.; Bastidas, J.M.; Bastidas, D.M. Effect of Mn additions on the corrosion behaviour of TWIP Fe-Mn-Al-Si austenitic steel in chloride solution. Corros. Sci. 2019, 154, 246–253. [Google Scholar] [CrossRef]
- Benarioua, M.; Mihi, A.; Bouzeghaia, N.; Naoun, M. Mild steel corrosion inhibition by Parsley (Petroselium Sativum) extract in acidic media. Egypt. J. Pet. 2019, 28, 155–159. [Google Scholar] [CrossRef]
- Rengaraju, S.; Neelakantan, L.; Pillai, R.G. Investigation on the polarization resistance of steel embedded in highly resistive cementitious systems—An attempt and challenges. Electrochim. Acta 2019, 308, 131–141. [Google Scholar] [CrossRef]





















| Species | Density Value (g/mL) | pH | Alkali Content (%) | Water Reduction Rate (%) | Bleeding Rate (%) | Compressive Strength Ratio | Recommended Dosage | ||
|---|---|---|---|---|---|---|---|---|---|
| 3 d | 7 d | 28 d | |||||||
| PCA(I) | 0.0003 | 8.08 | ≤3.88 | 34 | 0 | 168 | 149 | 139 | 0.02 |
| MgO | Water Reducer | Water Repellent | Sand | Cobblestone | MgCl2 | Water | Slum (mm) |
|---|---|---|---|---|---|---|---|
| 388.96 | 2.288 | 1.6016 | 625 | 1162 | 147.811 | 135.586 | 120 |
| Detection Indicator | Unit | Test Result | Technical Requirement |
|---|---|---|---|
| Penetration (25 °C, 5 s, 100 g) | 0.1 mm | 88 | 80–100 |
| Penetration index (PI) | — | −1.06 | −1.5–1.0 |
| Ductility at 10 °C | cm | >100 | ≥30 |
| Softening point TR&B | °C | 45.0 | ≥44 |
| Dynamic viscosity coefficient at 60 °C | — | 281.0 | ≥140 |
| Flash point | °C | 295 | ≤245 |
| Solubility | °C | 99.74 | ≥99.5 |
| Wax content (distillation method) | % | 1.7 | ≤2.2 |
| Density | g/cm3 | 0.986 | Measured value |
| RTFOT | Quality change | −0.04 | −0.8–0.8 |
| Residual penetration ratio | 75 | ≥57 | |
| Residual ductility at 5 °C | 46 | ≥8 |
| icorr (μA·cm−2) | icorr < 0. 1 | 0.1 ≤ icorr < 0.5 | 0.5 ≤ icorr < 1 | icorr ≥ 1 |
|---|---|---|---|---|
| rusting condition | no corrosion | low corrosion | medium corrosion | serious corrosion |
Disclaimer/Publisher’s Note: The statements, opinions and data contained in all publications are solely those of the individual author(s) and contributor(s) and not of MDPI and/or the editor(s). MDPI and/or the editor(s) disclaim responsibility for any injury to people or property resulting from any ideas, methods, instructions or products referred to in the content. |
© 2023 by the authors. Licensee MDPI, Basel, Switzerland. This article is an open access article distributed under the terms and conditions of the Creative Commons Attribution (CC BY) license (https://creativecommons.org/licenses/by/4.0/).
Share and Cite
Li, Y.; Qiao, H.; Yang, A. Experimental Study on the Protection of an Asphalt Coating to Reinforcement in Magnesium Oxychloride Cement Concrete. Appl. Sci. 2023, 13, 4759. https://doi.org/10.3390/app13084759
Li Y, Qiao H, Yang A. Experimental Study on the Protection of an Asphalt Coating to Reinforcement in Magnesium Oxychloride Cement Concrete. Applied Sciences. 2023; 13(8):4759. https://doi.org/10.3390/app13084759
Chicago/Turabian StyleLi, Yuanke, Hongxia Qiao, and An Yang. 2023. "Experimental Study on the Protection of an Asphalt Coating to Reinforcement in Magnesium Oxychloride Cement Concrete" Applied Sciences 13, no. 8: 4759. https://doi.org/10.3390/app13084759
APA StyleLi, Y., Qiao, H., & Yang, A. (2023). Experimental Study on the Protection of an Asphalt Coating to Reinforcement in Magnesium Oxychloride Cement Concrete. Applied Sciences, 13(8), 4759. https://doi.org/10.3390/app13084759
