Next Article in Journal
Teletraffic Analysis of DoS and Malware Cyber Attacks on P2P Networks under Exponential Assumptions
Previous Article in Journal
Image-Based Malware Detection Using α-Cuts and Binary Visualisation
 
 
Font Type:
Arial Georgia Verdana
Font Size:
Aa Aa Aa
Line Spacing:
Column Width:
Background:
Article

Research and Application of Key Technologies for the Construction of Cemented Material Dam with Soft Rock

1
China Institute of Water Resources and Hydropower Research (IWHR), Beijing 100038, China
2
Chinese National Committee on Large Dams, Beijing 100038, China
3
School of Civil Engineering, Tianjin University, Tianjin 300350, China
*
Author to whom correspondence should be addressed.
Appl. Sci. 2023, 13(7), 4626; https://doi.org/10.3390/app13074626
Submission received: 5 March 2023 / Revised: 31 March 2023 / Accepted: 3 April 2023 / Published: 6 April 2023
(This article belongs to the Topic Advances on Structural Engineering, 2nd Volume)

Abstract

In order to safely and efficiently use soft rock aggregate cemented dams in red bed regions and promote the development of widely sourced cemented sand and gravel dam materials, the Jinjigou project in China applied soft rock for the first time in the construction of cemented material dams. This article further explores the concept of cemented material dams from conducting on-site direct shear tests and research on soft rock material ratios and explores and invents a new structure and construction method by combining soft rock cemented sand and gravel with cemented rockfill. This article also proposes a digital mixing and intelligent dynamic control method for cemented material dams with soft rock. The research results show that soft rock aggregate content not exceeding 60% can produce soft rock cemented gravel with a compressive strength of no less than 6 MPa. The stress on the dam body is small and does not produce tensile stress. The dam body with added soft rock has certain shear-bearing capacity, with a shear friction coefficient of 0.99~1.10 MPa, cohesion of 0.26~0.53 MPa, and high residual strength, accounting for 60~80% of the peak strength. At the same time, the problems of large fluctuations in moisture content and the uneven grading of the soft rock and riverbed gravel mix during the mixing and production process, and the significant influence on safety caused by the large strength dispersion of the cemented sand and gravel, are resolved, ensuring the quality of soft rock cemented sand and gravel preparation. The successful application of soft rock cemented material dams in Jinjigou has achieved a breakthrough in key technologies for soft rock cemented dam construction in red bed regions, proving the feasibility of soft rock cemented material dam construction and having broad prospects for application and promotion.

1. Introduction

The Jinjigou Reservoir is approximately 35 km from Yingshan County, Sichuan Province, China, and is a key water conservancy project of the Qujiang River system. This reservoir has a maximum design dam height of 33.0 m, with a total storage capacity of 11.2 million m3 [1], and is responsible for supplying water to a 37.87 km2 irrigation area in Yingshan County and to 22,200 people and 112,200 heads of livestock in this irrigation area. There is no large fault zone or seismic structure in the reservoir area. The mountains on both sides of the dam site are composed of interbedded thin-to-thick laminated sandstone and sandy mudstone with different thicknesses, essentially forming a narrow valley with symmetric V-shaped walls, with weak intercalated layers and poor continuity at the base of the dam. Since the project is located in the red bed area of Southwest China, sandstone is the main material available for dam construction because of a mine near the dam site. The sandstone has an average saturated uniaxial compressive strength of 32.8 MPa, with the lowest value being less than 29 MPa, and a softening coefficient of 0.71, which suggests that it is a soft rock [2]. Among the natural building materials near the project, the pebble aggregates are of a high strength but involve a long transportation distance, with an average of approximately 60 km, and are restricted in both mining activity and supply [3]. Therefore, a construction method that would allow for the full use of the existing soft rock aggregates for dam construction was the primary challenge in the construction of the Jinjigou Reservoir.
Among the existing dam types, earth–rockfill dams can be constructed by making full use of local soft rock materials, which can deliver a safe structure under proper design conditions [4]. However, since the materials constituting the dam body are loose and granular, earth–rockfill dams have a poor resistance to flood overtopping [5] and hence can collapse quickly when subjected to overtopping flood flow under overdesign conditions such as major earthquakes, landslides, and floods. For example, in August 1975, the Banqiao earth–rock core dam in Henan, China, collapsed during an overtopping flood, resulting in 26,000 deaths [6]. In May 2020, the Edenville Dam and the downstream Sanford Dam over the Tittabawassee River in the United States collapsed successively due to widespread and sustained rainfall [7]. The Jinjigou Reservoir has good dam foundation conditions, and important towns lie downstream. To reduce public risk and make full use of local resources, an earth–rockfill dam did not seem to be the appropriate choice in this instance.
As large-volume concrete structures, concrete dams have a strong ability to resist collapse under overtopping flooding [8]. Regarding the material parameters of concrete artificial aggregates, the Code for Investigation of Natural Building Material for Water Resources and Hydropower Project (SL251-2015) [9] clearly stipulates that the original rock has a saturated compressive strength > 40 MPa and a softening coefficient > 0.75. The sandstone material at the Jinjigou project site has a low compressive strength and softening coefficient, such that the material indexes are unable to meet the specification requirements for concrete aggregates, and the mining and supply of pebble aggregates near the project are restricted. Therefore, the concrete dam solution is constrained by local materials and thus not an ideal choice of dam type.
To ensure the safe, economical, and environmentally friendly construction of the Jinjigou Reservoir, this study proposes for the first time the construction of cemented soft rock dams and a cemented rockfill dam to make full use of the excavatable rock materials near the dam, further deepening the concept of the construction of cemented dams while developing relevant dam construction technology.

2. Construction of Cemented Soft Rock Dams

Proposed by the authors in 2009, cemented material dams [10] are constructed using a new type of cementitious material formed by a small amount of cement, fly ash, admixture, and local materials such as sand, gravel, and stone. Unlike earth–rock materials, cementitious materials are erosion-resistant and do not rapidly collapse under an overtopping flood. Cementitious materials are also different from concrete material in that they can be made of riverbed sand, gravel, and stone, which do not require sieving, washing, or particularly strict grading, thus making the cost of cemented material dams approximately 20% lower than that of concrete dams. Since their introduction, cemented material dams have been widely used and, to date, more than 40 cemented material dams have been built in China and other countries [11].
The Jinjigou project is different from previous cemented dams, in that the riverbed sand and gravel aggregates have a high strength but are restricted in mining and use, meaning the dam construction could not fully rely on riverbed sand and gravel and needed to use the rock excavated near the dam site. However, the sandstone material near the dam site has a low strength and softening coefficient and cannot be used for the preparation of concrete according to concrete dam specifications. There was no precedent for whether soft rock materials could be used for the preparation of cementitious materials. Hence, to build cemented soft rock dams, it is first necessary to deepen our knowledge of dam construction using cementitious materials.
In the design process of the cemented material dam, the dam cross-section was increased to reduce the requirements of the dam construction materials and foundation and to simplify the preparation of the dam construction materials. Three technical problems needed to be addressed in the construction of the Jinjigou dam with soft rock. First, the low strength of the aggregates led to a decrease in the strength of the cementitious material. Second, the soft rock had a low softening coefficient and its strength could be further reduced after long-term immersion in water. Third, the vibratory rolling process during construction had an impact on the integrity of the soft rock, which could inadvertently pulverize some of the soft rock. For this reason, new construction measures were taken in the design and construction of the Jinjigou dam with soft rock. First, the design and construction of the dam was reasonably partitioned for seepage control, drainage, and load-bearing capacity to fully utilize the properties of local materials. A cross-section of the Jinjigou dam is shown in Figure 1. The side of the dam adjacent to the water and the exposed side of the dam were constructed using concrete with a minimum thickness of 0.6 m, which met the safety requirements of anti-leakage, anti-erosion, anti-freeze–thaw, and anti-carbonization under a water head of 33 m. Next, reliable drainage facilities were set up, so that in case concrete leaked due to the quality of construction or cracks during long-term operation, water could be drained to the downstream surface through the gallery. The cementitious material of the dam bears water pressure but very little seepage pressure, which greatly reduces the anti-seepage, anti-erosion, and anti-freeze–thaw requirements of the cementitious material. As in the case of concrete-faced rockfill dams, the anti-seepage requirement was not considered and only load-bearing safety was considered for the material in the rockfill area. Second, the strength of the soft rock cementitious material and its strength after softening by soaking should meet the requirements for the compressive strength of the dam structure with a certain margin of safety. For this reason, multi-scheme mix ratio tests on the riverbed sand, gravel, stone, and soft rock materials were conducted in the field to ensure that the safety requirements were met. Third, the soft rock damage and pulverization caused by vibratory rolling could not affect the sliding stability and safety of the dam structure. Hence, in situ shear tests were performed in the field to obtain actual and reliable parameters to ensure the stability of the dam. In general, unwashed, non-sieved riverbed sand, gravel, and stone are directly used in the construction of cemented material dams. This is mainly because the constructed dams according to the traditional design of gravity dams have excessive material overstrength. For example, for the Three Gorges concrete gravity dam, the compressive strength of the core sample of concrete after construction reached more than 50 MPa, which is more than 10 times the compressive strength required for the dam structure. Therefore, after the material preparation requirements have been appropriately lowered, the safety of the dam does not pose a problem, since the compressive strength of the dam structure can still meet its safety requirements. The results of calculational analysis revealed that after adopting the above measures, there was no issue with dam safety by preparing the cemented material using the mixed ingredients of riverbed sand, gravel, stone, and soft rock. The relevant test and calculation analysis is described as follows:
(1) Mixing scheme and properties of soft rock with riverbed sand, gravel, and stone. To safely construct the dam while making full use of the soft rock material at the dam site, mix ratio tests on the cemented sand and gravel dam with different types of aggregates were carried out in the field. The specific schemes were as follows: Scheme 1, sieved sandstone aggregates; Scheme 2, sieved sandstone aggregates + pebble aggregates (extra-large stones and some crushed pebble sands); Scheme 3, riverbed sand and gravel used directly (excluding that with a grain size greater than 150 mm); Scheme 4, primary crushed sandstone aggregates + pebble aggregates (medium stones, small stones, and sand); and Scheme 5, sieved sandstone (extra-large stones and large stones) + pebble aggregates (medium stones, small stones, and sand). The test results are shown in Table 1. The results showed that the 180-day wet sieved small specimens of cemented sand and gravel prepared entirely with soft sandstone aggregates had a compressive strength of 5.8 MPa, which did not meet the design strength of C1808, and had a low compacted bulk density (approximately 2277 kg/m3); furthermore, the strength was still not satisfied when the proportion of soft rock material was 71%. In short, the compressive strength did not meet the dam construction requirements when soft sandstone was used entirely or when soft rock aggregates accounted for 71%. All other schemes met the design requirements. Based on the test results, the Jinjigou cemented soft rock dam was designed with a strength of C8 below the elevation of 402 m, using cemented sand and gravel mixed with 50% soft sandstone and a cementitious material amount of 120 kg/m3 and was designed with a strength of C6 above the elevation of 402 m, using cemented sand and gravel mixed with 60% soft sandstone and a cementitious material amount of 130 kg/m3. Both types of cemented sand and gravel met the strength design requirements.
The test results of the material properties of other cemented sand and gravel mixes carried out in the field showed that the anti-seepage grade reached the level of W4 and that the frost resistance grade of the 180-day cemented sand and gravel reached F50 due to a lack of air entrainment in the tests, while the frost resistance performance could be improved after air entrainment. The seepage and erosion test results showed that the relatively well compacted cemented sand and gravel had significantly better anti-seepage and erosion performance than poorly compacted or cracked cemented sand and gravel. Therefore, special attention should be paid to the design and construction quality of the anti-seepage system of the cemented sand and gravel dam to address the long-term dam durability problem caused by continuous seepage and erosion of the cemented sand and gravel. The performance test of the cemented gravel material which was soaked in water under changing temperature shows that as long as the specimen was cured in water, it had a good strength even in low-temperature water (0–5 °C), and there was no loosening phenomenon. However, regardless of whether the materials soaked in water or not, the strength of the specimen decreased under low-temperature and changing temperature conditions. Compared with the standard curing conditions, the average strength of the specimens cured by low-temperature water was reduced by 35% and the strength of specimens with a long curing period was slightly reduced after soaking in water. Therefore, it is necessary to take certain protective measures for wintering during the construction period.
(2) Interlayer shear strength of soft rock cementitious material. The shear strength of cemented sand and gravel dams was investigated for the Shoukoubao cemented dam [12] in Shanxi Province and the Xijiang cemented dam [13] in Guizhou Province, among the existing cemented sand and gravel projects, thereby obtaining a number of findings. Nevertheless, the sliding stability-related parameters of soft rock cemented sand and gravel dams after vibratory rolling require experimental analysis. To this end, in situ direct shear tests were carried out on cemented sand and gravel with different contents of soft sandstone. After vibratory rolling, the test section was cured for 90 days and then the cemented sand and gravel with soft sandstone contents of 50%, 60%, and 70%, respectively, were subjected to in situ direct shear tests between the bulk alone, the bulk and slurry-rich cemented sand and gravel, and the bulk and the concrete interface. The typical shear stress–displacement relationship curves and shear cross-sections are shown in Figure 2 and Figure 3, and the test results are provided in Table 2.
The test results showed that the relationship curves of shear stress to displacement for the cemented sand and gravel mixed with sandstone had an obvious linear increasing stage and a peak strength, the shear failure friction coefficient, f , was between 0.99 and 1.10 MPa, and the cohesion, c , ranged from 0.26 to 0.53 MPa, indicating that the shear parameters met the stress demands for low-to-medium dams and the sliding stability demand for the Jinjigou cemented material dam with soft rock. In terms of the trend, as the sandstone aggregate content increased, f decreased from 1.10 MPa to 0.99 MPa, and c decreased from 0.53 MPa to 0.26 MPa, i.e., the shear failure strength of the layer and contact surface gradually decreased. Since the mixed failure mode corresponding to several sandstone contents basically dominated at the layer and contact surfaces, the shear strength and single-point friction shear strength at the shear surface did not change significantly, with the shear friction coefficient being f = 0.72 ~ 0.91 MPa and cohesion being c = 0.05 ~ 0.18 MPa, which were low. The cemented sand and gravel exhibited a high residual strength after shear failure, accounting for 60–80% of the peak strength, indicating that the cemented sand and gravel still had a high shear resistance after the shear failure at the layer or contact surface, hence indicating that the cemented sand and gravel had a strong ability to withstand the risk of catastrophe.
(3) Dam stress and sliding stability analysis considering each weak sliding surface. The results of the stress analysis of the dam (Figure 4) showed that the stress of the dam below the elevation of 402.00 m decreased from 1.32 MPa at the bottom to 0.75 MPa at the top, both of which are less than the allowable compressive stress of C8 cemented sand and gravel (2 MPa). The maximum principal tensile stress of the dam was 0.3 MPa, which satisfied the requirement that the tensile strength of C8 cemented sand and gravel be less than 0.6 MPa. The stress of the dam above 402.0 m decreased gradually from 0.75 MPa at the bottom to 0.17 MPa at the top, both of which are smaller than the allowable compressive stress of C6 cemented sand and gravel (1.5 MPa); no tensile stress was generated in the dam, meeting the material strength requirements of the dam. The maximum vertical normal stress of the foundation was approximately 0.5 MPa, which can meet the bearing capacity requirements when the foundation surface is placed under the highly weathered sandstone and sandy mudstone. Under normal working conditions, the dam foundation system had the lowest factor of safety for the sliding stability along the weak intercalated layer of the type of mudstone with interbedded rock debris; the factors of safety for shear of the overflow dam section and non-overflow dam section were 1.12 and 1.14, respectively, both of which are greater than the code requirement of 1.05, and the factors of safety for shear failure were 4.55 and 4.51, respectively, both of which are also greater than the code requirement of 3.0. The dam stability factor was greater than 1.3 under various working conditions during operation, thus meeting the code requirements.
The main project of the Jinjigou cemented soft rock dam reached the dam crest elevation of 422.00 m in June 2019, as shown in Figure 5. The main on-site safety monitoring equipment in Jinjigou includes 28 osmometers, 6 crack gauges, 6 rock displacement meters, 3 thermometers, and 7 observation piers. The safety monitoring results show that the 28 osmometers with the dam longitudinal 0 + 036.00, 0 + 045.00, and 0 + 016.00 sections of the dam body have not been abnormal since January 2018, and the seepage pressure of the dam body is stable. Since the installation time, the crack gauge and rock displacement meters have been working normally, and there is no abnormal situation. The dam suffered heavy rainfall on 9 August 2021, with a daily rainfall of 500 mm. The dam retained water to an elevation of 417.50 m (overflow dam crest elevation), and the diversion tunnel was opened to discharge water. No leakage point was found and the overall operation was in good condition.
The Jinjigou Reservoir dam project adopted the scheme of a cemented soft rock gravel dam, which saved a total of CNY 3.96 million in static investment compared to the roller compacted concrete gravity dam scheme. Adopting the new dam construction method shortened the construction period by 20% and it was completed 5 months ahead of schedule, resulting in early irrigation and water supply benefits of about CNY 27 million. Cemented material dams can save about 20% of the investment compared to concrete dams, can save about half of the material usage compared to earth and stone dams and can be constructed more safely and quickly. One of the main economic benefits of cemented sand and gravel dams is their low cost compared to other types of dams. They require fewer materials, and the construction process is relatively simple and can be completed quickly. This means that the overall cost of the project is lower, making it more accessible to smaller communities or organizations with limited budgets. Additionally, cemented sand and gravel dams require less maintenance than other types of dams, which can also save money in the long run. Since they are made from natural materials, they are more resistant to erosion and can last for several decades without requiring major repairs or replacements.

3. New Method for Dam Construction Combining Cemented Sand, Gravel, and Cemented Rockfill

The maximum allowable grain size of the cemented sand and gravel aggregates is 150 mm, with any oversized aggregates needing to be removed or crushed. A certain number of aggregates with a grain size greater than 150 mm occurs in cemented material dams. For example, the proportion of oversized natural sand and gravel materials in the Dashixia Water Conservancy Project in Xinjiang exceeded 20%, and there was a certain amount of natural alluvial pebbles with a size of more than 150 mm and a maximum size of 500 mm in the Qianwei Hydropower Project. Since it is difficult to evenly mix aggregates larger than 150 mm in the mixture and production of cemented sand and gravel, the separation of aggregates larger than 150 mm is a serious problem during the laying process, which poses a challenge for the current construction methods to solve.
In this study, a structural design model and construction method combining cemented sand and gravel and cemented rockfill in a three-layer sandwich form is proposed to solve the problem of a large proportion of large-sized (150–300 mm) aggregates, which leads to a considerable amount of waste materials and an increase in project costs due to the crushing of oversized aggregates in some projects. The model and method have since been granted invention patents in China [14], the United States [15], and Japan [16]. The new cemented rockfill dam structure proposed in this invention is shown in Figure 6a. The construction layers laid and stacked from bottom to top comprise a lower layer of cemented sand and gravel, a cemented rockfill layer, and an upper layer of cemented sand and gravel. The aggregates of the cemented rockfill layer have a size in the range of 150–300 mm, and the aggregates of the cemented sand and gravel layer have a size of 150 mm or less. The large-sized block stones are laid before the lower layer of cemented sand and gravel is crushed, initially set and, after slurry spraying, covered by the upper layer of cemented sand and gravel, which is compacted as the bearing structure of the dam core. The anti-seepage surface layer is constructed simultaneously upwards. Additionally, this study proposes a construction method for whole-process quality control. First, the water/cement ratio for the mixing of sand and gravel materials is determined through simulation tests; when the lower layer of cemented sand and gravel is laid, it is controlled, such that the rockfill is laid prior to the initial setting of the lower layer. During this process, an image scanner is used to collect visual data of the rockfill to statistically calculate the maximum, minimum, and mean grain sizes as well as the spacing of the rockfill material. Second, the rockfill with a maximum grain size of less than one-quarter of the minimum side length of the dam section is selected and the spacing is controlled to meet the design requirements. Then, cement slurry is sprayed on the rockfill such that the cement slurry fills the gaps between the rockfill and covers all the rockfill, and the laying of the upper layer of cemented sand and gravel is completed when the cement slurry is initially set. Finally, the construction layer is laid and rolled, and the rolling is stopped when the thickness of the construction layer decreases by 10% or when any value of the apparent density satisfies the conditions. In the present study, the rockfill material was directly laid without mixing, which prevented the problem of the existing mixing equipment not being able to mix excessively large aggregates; the rockfill aggregates increased the strength of the dam and reduced the cement consumption per unit, resulting in a lower increase in hydration heat temperature and fewer cracks, thus improving the construction quality of the dam.
The application test of cemented rockfill was carried out in the Jinjigou project to explore the feasibility of using cemented rockfill in cemented dams by adopting the design model of a cemented structure with a three-layer sandwich form and through the use of quality control measures throughout the whole process, as shown in Figure 6b. The results of radar scanning along the G–G’ line (Figure 7) showed that the interlayer bonding interface had a depth of approximately 40 cm, and there was no obvious under-compaction or cavity in the areas of the three test points, indicating dense compaction and good interlayer bonding.

4. Digital Mixing and Intelligent Dynamic Control Technology for Cemented Soft Rock Dams

The mixing of soft sandstone and riverbed sand and gravel in the Jinjigou project encountered problems such as large fluctuations in the clay content and moisture content, uneven aggregate gradation, and large dispersion of the cementitious material strength, which required the timely testing of cementitious material, timely feedback of testing results, and timely adjustment of the mix ratio to ensure quality and prevent potential safety hazards.
To this end, this study proposes technologies such as the rapid measurement of aggregate properties, digital mixing, intelligent control, and strength prediction and developed a digital mixing and intelligent dynamic control platform for cemented dams, as shown in Figure 8.
The authors proposed a dual-strength and band-controlled mix ratio design method [17]. Despite the variation in the strength of the cementitious material, the overall safety of the dam is not of concern, because the minimum compressive strength is used to determine the dam’s cross-section. A digital mixing and intelligent control technology is proposed to optimize real construction and reduce the associated costs while ensuring safety. Instruments for the rapid measurement of moisture content and clay content were developed. According to the rapid determination of aggregate gradation, moisture content, and clay content, as well as the strength prediction model, the amount of cemented material, and the amount of water for mixing can be dynamically and intelligently adjusted to achieve the dynamic optimization and intelligent control of the mix ratio. The specific dynamic control methods are as follows:
(1) Based on the spatiotemporal Kriging interpolation method [18], a representative sand and gravel quarry was selected for sampling tests to be carried out at the site of the cemented dam project. Through the new non-destructive testing means, non-contact rapid detection and rapid feedback regarding aggregate gradation, water content, and clay content, as well as rapid adjustment of the mix ratio, were achieved, providing a scientific basis for the real-time monitoring and dynamic control of the mix ratio parameters for construction.
Rapid determination of moisture content. Through a comparative study, a microwave moisture monitor [19] was selected as the research object of the rapid monitoring scheme of aggregate moisture, as shown in Figure 9. When the electromagnetic microwave with a specific frequency of 2.4 GHz penetrates the material, the O–H bonds of water molecules in the material absorb the microwave energy at that specific frequency. The moisture content percentage is calculated based on the microwave energy attenuation generated when the microwave penetrates the medium. As the microwave completely penetrates the material during processing, the surface moisture and internal moisture of the aggregates are quickly determined to realize the rapid measurement of the moisture content.
Rapid determination of clay content. The principle for the rapid detection of clay content is to examine the difference in resistivity between sand grains and fine grains such as clay, silt, and fines attached to them and then, using purified water or tap water as the medium (preferably purified water), to indirectly measure the clay content in the sand by comparing the electrical resistances of the test samples and standard samples under the same conditions. Electrode plates, ohmmeters, and other instruments were installed in a fixed container and a data processing program was developed to automatically analyze the readings. Thus, a rapid clay content detector was built to quickly determine the clay content of the aggregates. This clay content detection method is both simple and time-saving.
Rapid identification of aggregate gradation. A dynamic online monitoring system for the non-contact aggregate gradation of sand and gravel was established based on digital imaging, image processing [20], recognition, and segmentation techniques [21] (Figure 10) to monitor the geometry of the outer contour of each raw material, statistically calculate the percentage of each shape, and perform quality control of the cemented sand and gravel materials to simplify the construction process. Taking the discharge end of the aggregate conveyor belt of the mixing equipment as the research object, when the material falls freely between the light source and the lens, the lens can take high-speed, high-frequency images of the material, and a multitude of indicators, such as the needle-like content, spherical content, aspect ratio, spherical diameter, and grain count of the aggregates, can be monitored by image recognition. Through digital image processing technology and improved convolutional neural network deep learning, rapid non-contact grain size identification and gradation analysis of sand and stone materials are realized. The sand grain identification system can reach an identification speed of 20,000 grains per second with the error in identified grain sizes not exceeding 1%.
(2) The samples selected for testing were analyzed to determine the control range of the cementitious material mix ratio of the cemented dam using the dual-strength and band-controlled mix ratio design method (Figure 11) and to give the design mix ratio. This method includes the following steps: (i) Grain size sieving tests are performed on the cemented sand and gravel-based materials to divide the aggregate grain size into four grades of coarse aggregates (150–80 mm, 80–40 mm, 40–20 mm, 20–5 mm) and sand (smaller than 5 mm). (ii) The gradation of the sand and gravel is quantified numerically, and the gradation boundary of the sand and gravel is calculated using the Fuller [22] similarity coefficient to obtain the coarsest gradation, the finest gradation, and the average gradation. (iii) The relationship curves between the water use and the compressive strength of the cemented sand and gravel with three different gradations are obtained with the constraint that the minimum value of the average gradation strength meets the requirements for the preparation strength and that the minimum value of the finest gradation strength is not less than the design strength. (iv) The relationship between the compressive strength and the water use at 7 d, 28 d, 90 d, and 180 d as well as the relationship between design age and different gradations is established according to the relationship curves to determine the control range of the mix ratio of cemented sand and gravel.
(3) Aggregates, cementitious material, water, and admixtures are mixed using special mixing equipment to form cemented sand and gravel material. The module used to monitor the mixing process monitors the whole process of cemented sand and gravel production in real time, mainly performs a statistical analysis of the total amount of cemented sand and gravel mixing, production, and the weight of various materials in different time dimensions (e.g., real-time, minute, shift, day, and month) and automatically generates a mixing monitoring report according to the set report template. The goal of digital mixing is to monitor the whole production process of cemented sand and gravel from the raw materials to mixing and casting and then to the finished products, such that the quality of each unit of cemented sand and gravel can be tracked and traced, thereby realizing the digital mixing of cemented sand gravel and an intelligent defect early warning and quality forecasting system.
(4) The actual mix ratio of the cemented sand and gravel mixture is compared with the control range, and the cementitious materials with large errors are identified. A statistical model of the multifactor grey correlation method [23] is established based on the index parameters affecting the performance of cementitious materials. The compressive strength of the cemented dam is predicted by using either empirical equations or the backpropagation (BP) neural network (the ANN-GWO model can be employed, which has a high predictive veracity, robustness, and reliability [24]) and then, the mix ratio parameters (e.g., the amount of cementitious material and the amount of mixing water) are dynamically adjusted by evaluating the mix quality, such that the compressive strength of the cementitious material not only meets the design indexes but also that the material performance does not go beyond the standard to an excessive degree, realizing the dynamic optimization and intelligent control of the mix ratio of the cementitious material. In the mixing process, the mix ratio error is monitored and forecasted in real time to ensure that the mixing error throughout the whole mixing process meets the requirements, and the defects of the cemented sand and gravel that have been produced beyond the allowable error range are analyzed and highlighted to facilitate further treatment measures.
In particular, when it is necessary to consider the effect of age, the mixing quality evaluation module uses an empirical equation to predict the compressive strength of the cemented dam:
C ( n ) = a C ( 28 ) ln ( n )
where C ( n ) represents the compressive strength of the cemented granular material at an age of n days of the specimen, C ( 28 ) denotes the compressive strength of the cemented granular material at the age of 28 days, and a is an empirical coefficient.
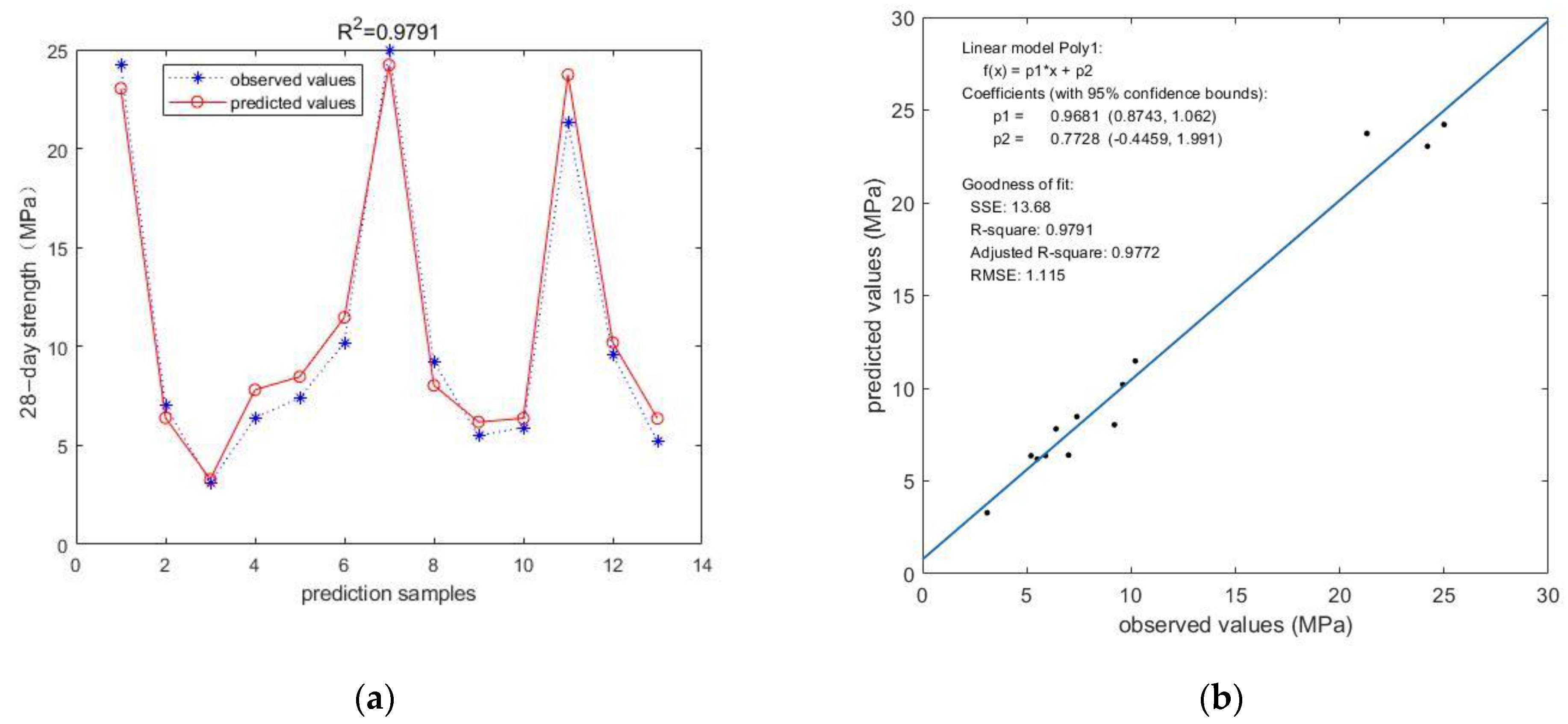
When considering the influence of multiple factors on the mixing performance index of the cementitious material, the mixing quality evaluation module uses the BP neural network to predict the compressive strength of the cemented dam. The authors conducted the mix ratio and performance and field tests on 1420 sets of cemented sand and gravel from several cemented dam projects. Based on the big data analysis and the grey correlation method, the effects of factors such as the fractal dimension of the grain size, amount of cementitious material, water/cement ratio, clay content, admixture content, and sand ratio of the sand and gravel material on the compressive strength were investigated, and a BP neural network-based model for predicting the compressive strength of the cemented sand and gravel was established. Comparison with the actual measurement results of cemented dams such as Shoukoubao, Shunjiangyan, Xijiang, and Dongyang, as well as the cemented sand and gravel protection dike of the Qianwei project located in Minjiang, showed that the prediction errors were less than 10% (Figure 12).

5. Discussion

Soft rocks are abundant on Earth, and using local soft rock resources can make use of on-site materials, eliminating the need for large-scale material yards or only requiring small-scale material yards, which can reduce transportation costs and emissions from importing construction materials from other regions and help reduce negative environmental impacts. The use of cemented soft rock as a construction material can make use of low-quality aggregates that conventional construction materials, such as concrete, are unable to use. In red layer areas, particularly in areas lacking hard rocks, it is even more practical. Cemented soft rock gravel has a certain strength and shear resistance, and the dam body stress level of a cemented soft rock dam is relatively low, with the overall stability and seismic safety high enough to be suitable for construction in strong earthquake zones. Overall, due to its relatively low cost and abundant reserves, as well as good engineering properties, cemented soft rock can become a beneficial construction material. Although further research is needed to fully understand the engineering characteristics and long-term performance of cemented soft rock, the successful completion of the Jinjigou cemented soft rock dam demonstrates that cemented soft rock is a reliable and effective building material, providing a feasible option for similar construction projects.
However, the application of soft rock in cemented material dams is still in its early stages and has certain limitations. Soft rocks generally have low strength and represent a wide variety of rock types with high variability. During mining and construction, rock fragments are easily broken, causing large fluctuations in gravel size. Due to changes in aggregate size, the required water content of the cemented soft rock also changes, resulting in fluctuations and variations in material performance. Therefore, certain quality control measures are required to ensure the mixing and construction quality of the cemented soft rock. Additionally, because the strength of cemented soft rock is not as strong as concrete or other building materials, it has relatively low impermeability and frost resistance. Concrete panels are often installed on the surface of the dam to enhance its overall performance. Currently, cemented soft rock gravel dams are mainly used in small and medium-sized water conservancy and hydropower projects and can be built on the upper part of poorly weathered bedrock. For cemented dams built on non-rock foundations, special consideration must be given to the dam material, structural design, anti-sliding stability, anti-seepage design, deformation, and settlement in the design process.
For the application of cemented soft rock dams, it is necessary to first comply with the applicable standards and regulations for using cemented soft rock as a construction material. Second, proper feasibility studies should be conducted to evaluate whether cemented soft rock is appropriate as a construction material for the project. The cemented soft rock should then be properly maintained, regularly inspected, and repaired to ensure its optimal strength and durability, as well as maintaining the structural integrity of the dam with the passage of time. In the future, it is important to further study the methods for cemented mixtures using low-quality gravel such as mudstone, mudstone sandstone, slate weathering material, sandy soil, and foundation excavation material and to develop cost-effective construction processes and quality assurance measures for cemented soft rock dams. This can play an important role in promoting the development and diversification of cemented soft rock gravel materials, providing technical support for the construction of 100 m cemented soft rock dams.

6. Conclusions

This study represents the first application of a cemented material dam in a red bed soft rock area, which requires more experience in damming techniques, construction crafts, and intelligent mechanization. It can thus provide a reference for the promotion and application of new types of cemented dams in red bed soft rock areas, offer guidance for the further development of the digital mixing and intelligent control of cementitious materials and is conducive to making full use of local materials and building safe, economical, and environmentally friendly cemented dams with a wide range of materials. Additionally, the main results and conclusions arising from this study on this damming technique are summarized as follows:
(1) This study introduced and proved that the two types of cemented sand and gravel can meet the strength design and safety requirements with a certain shear-bearing capacity and dam sliding stability. This can not only lead to solving the damming issue in soft rock districts but also widen the theoretical research perspective of the cemented material dam. It not only makes full use of local materials to build dams, reduces project costs, and has a strong ability to reduce accident risks, but also avoids waste disposal and protects the ecological environment, which has significant economic and social benefits.
(2) To fully utilize mix aggregates larger than 150 mm, it is proposed that a structural design model of a cemented structure with a three-layer sandwich form be used, combining cemented sand and gravel and cemented rockfill through the use of quality control measures throughout the whole process, and the results showed that there was no obvious under-compaction or cavity in the areas of the three test points, indicating dense compaction and good interlayer bonding.
(3) Digital mixing and intelligent dynamic control technology for a cemented material dam with soft rock can realize the non-contact rapid detection and rapid feedback regarding aggregate gradation water content and clay content, as well as the rapid adjustment of the mix ratio, providing a scientific basis for the real-time monitoring and dynamic control of the mix ratio parameters for construction.

Author Contributions

Conceptualization, L.D.; Methodology, L.D. and Y.W.; Software, L.D., Y.W. and C.Z.; Validation, Y.W. and L.Z.; Formal analysis, L.D., Y.W. and L.Z.; Investigation, L.D., Y.W. and L.Z.; Resources, J.J. and C.Z.; Data curation, L.D. and C.Z.; Writing—original draft, J.J. and L.D.; Writing—review & editing, J.J.; Visualization, L.D. and L.Z.; Supervision, J.J. and C.Z.; Project administration, J.J.; Funding acquisition, C.Z. All authors have read and agreed to the published version of the manuscript.

Funding

This research is financially supported by the National Key Research and Development Plan of China under Grant No. 2018 YFC0406801.

Data Availability Statement

All relevant data are included in the paper.

Acknowledgments

This study was supported by the State Key Laboratory of Simulation and Regulation of Water Cycles in River Basins.

Conflicts of Interest

The authors declare no conflict of interest.

References

  1. Lv, P.; Duan, X.Z.; Wang, Y.; Gong, L.; Dong, L.; Yang, L.J. Special Research Report on Cemented Material Dam in Jinjigou Reservoir Engineering Technology Design Stage; Yingshan County Jinjigou Reservoir Management Office: Sichuan, China, 2018. [Google Scholar]
  2. Chen, H.; Hu, Q.D.; Wang, T.T.; Long, Y. Study on dam construction technology of soft rock cementation material for jinjigou reservoir. Sichuan Water Resour. 2020, 41, 6–9. [Google Scholar]
  3. Jia, B.Z.; Feng, W.; Yang, H.C.; Du, Z.K.; Zheng, C.Y.; Tang, S.P.; Jia, Y.C.; Zhao, C.; Liu, Z.W.; Wang, Y.; et al. Report on Experimental Research Results of Jinjigou Cementing Gravel Dam Materials; Beijing IWHR-KHL Co., Ltd.: Beijing, China, 2017. [Google Scholar]
  4. Athani, S.S.; Shivamanth; Solanki, C.H.; Dodagoudar, G.R. Seepage and Stability Analyses of Earth Dam Using Finite Element Method. Aquat. Procedia 2015, 4, 876–883. [Google Scholar] [CrossRef]
  5. Aureli, F.; Maranzoni, A.; Petaccia, G. Review of Historical Dam-Break Events and Laboratory Tests on Real Topography for the Validation of Numerical Models. Water 2021, 13, 1968. [Google Scholar] [CrossRef]
  6. Fan, L.M. Natural Attributes of “75.8” Flood and its Positive Significance—Commemorating the 40th anniversary of “75.8”. Henan Water Resour. South-North Water Divers. 2015, 19, 8–10. [Google Scholar]
  7. Mehta, A.M.; Weeks, C.S.; Tyquin, E. Towards preparedness for dam failure: An evidence base for risk communication for downstream communitie. Int. J. Disaster Risk Reduct. 2020, 50, 101820. [Google Scholar] [CrossRef]
  8. Sawai, A.; Shyamal, D.; Kumar, L. Dam Break Analysis—Review of Literature. Int. J. Res. Eng. Appl. Manag. 2019, 4, 538–542. [Google Scholar]
  9. SL 251-2015; Code for Investigation of Natural Builing Material for Water Resources and Hydropower Project. China Water & Power Press: Beijing, China, 2015.
  10. Jia, J.S.; Lino, M.; Jin, F.; Zheng, C.Y. The Cemented Material Dam: A New, Environmentally Friendly Type of Dam. Engineering 2016, 2, 490–497. [Google Scholar] [CrossRef]
  11. Jia, J.S.; Zheng, C.Y.; Ma, F.L.; Xu, Y. New type of Dam-Cemented Material Dam and current research progress related. In Proceedings of the Hydropower2013-CHINCOLD Annual Meeting & the 3rd International Symposium on Rockfill Dams, Kunming, China, 1–3 November 2013. [Google Scholar]
  12. Wang, S.; Jia, J.S.; Ren, D.Q.; Yang, H.C. Experimental study of shear parameters of CSGR layers. J. China Inst. Water Resour. Hydropower Res. 2019, 17, 32–38. [Google Scholar]
  13. Jia, B.Z.; Jia, J.S.; Zheng, C.Y.; Li, S.G.; Ding, L.Y. Experimental study of in situ shear of cemented sand and gravel rocks layers. J. China Inst. Water Resour. Hydropower Res. 2022, 20, 244–250. [Google Scholar]
  14. CN110130278A; The Invention Relates to a Cemented Rockfill Dam and a Construction Method Thereof. China Institute of Water Resources and Hydropower Research: Beijing, China, 2019.
  15. Jia, J.S.; Wang, Y.; Zheng, C.Y.; Li, S.; Shi, W.; Liu, Z.; Lei, T.; Ding, L.; Wu, Y. Method for Cemented Material Dam Construction Based on Whole-Process Quality Control. U.S. Patent 10,815,631 B1, 27 October 2020. [Google Scholar]
  16. Jia, J.S.; Zheng, C.Y.; Wang, Y.; Li, S.; Shi, W.; Liu, Z.; Ding, L.; Lei, T. Cementing Material Dam and Construction Method. Japanese Patents JP6841964, 22 February 2021. [Google Scholar]
  17. Feng, W. Studies on Cemented Sand and Gravel Dam Material and Its Application; China Institute of Water Resources and Hydropower Research: Beijing, China, 2013. [Google Scholar]
  18. Wang, J.X.; Qin, Z.L.; Cao, Z.N.; Chen, Y.H.; Shi, Y. Modified kriding spatial interpolation algorithm based on octree mechanism. J. Zhengzhou Univ. (Eng. Sci.) 2021, 42, 21–27. [Google Scholar]
  19. Trabelsi, S.; Nelson, S.O. Microwave moisture meter for granular and particulate materials. In Proceedings of the 2010 IEEE Instrumentation and Measurement Technology Conference, Austin, TX, USA, 3–6 May 2010; pp. 1304–1308. [Google Scholar]
  20. Madhavi, B.G.K.; Bhujel, A.; Kim, N.E.; Kim, H.T. Measurement of Overlapping Leaf Area of Ice Plants Using Digital Image Processing Technique. Agriculture 2022, 12, 1321. [Google Scholar] [CrossRef]
  21. Zaitoun, N.M.; Aqel, M.J. Survey on Image Segmentation Techniques. Procedia Comput. Sci. 2015, 65, 797–806. [Google Scholar] [CrossRef]
  22. Xiang, J.; Liu, L.; Cui, X.; He, Y.; Zheng, G.; Shi, C. Effect of Fuller-fine sand on rheological, drying shrinkage, and microstructural properties of metakaolin-based geopolymer grouting materials. Cem. Concr. Compos. 2019, 104, 103381. [Google Scholar] [CrossRef]
  23. Zhang, M.; Yao, X.; Guan, J.; Li, L.; Wang, J.; Qing, L. Study of Concrete Strength and Pore Structure Model Based on Grey Relation Entropy. Materials 2021, 14, 432. [Google Scholar] [CrossRef] [PubMed]
  24. Raja, M.N.A.; Shukla, S.K. Predicting the settlement of geosynthetic-reinforced soil foundations using evolutionary artificial intelligence technique. Geotext. Geomembr. 2021, 49, 1280–1293. [Google Scholar] [CrossRef]
Figure 1. Typical design cross-section of a cemented soft rock dam.
Figure 1. Typical design cross-section of a cemented soft rock dam.
Applsci 13 04626 g001
Figure 2. Shear stress–displacement curves of typical measurement points.
Figure 2. Shear stress–displacement curves of typical measurement points.
Applsci 13 04626 g002
Figure 3. The typical failure of the shear piers: (a) soft sandstone contents of 50% between the bulk alone; (b) soft sandstone contents of 60% between the bulk alone; (c) soft sandstone contents of 70% between the bulk alone; and (d) soft sandstone contents of 60% between the bulk and the concrete interface.
Figure 3. The typical failure of the shear piers: (a) soft sandstone contents of 50% between the bulk alone; (b) soft sandstone contents of 60% between the bulk alone; (c) soft sandstone contents of 70% between the bulk alone; and (d) soft sandstone contents of 60% between the bulk and the concrete interface.
Applsci 13 04626 g003
Figure 4. Diagram of the vertical normal stress of the dam: (a) overflow dam section (Pa); (b) non-overflow dam section (Pa); (c) vertical normal stress distribution diagram of the overflow dam axis cross-section; and (d) vertical normal stress distribution diagram of the non-overflow dam axis cross-section.
Figure 4. Diagram of the vertical normal stress of the dam: (a) overflow dam section (Pa); (b) non-overflow dam section (Pa); (c) vertical normal stress distribution diagram of the overflow dam axis cross-section; and (d) vertical normal stress distribution diagram of the non-overflow dam axis cross-section.
Applsci 13 04626 g004
Figure 5. Jinjigou cemented soft rock dam.
Figure 5. Jinjigou cemented soft rock dam.
Applsci 13 04626 g005
Figure 6. Cemented sand and gravel and cemented rockfill: (a) schematic diagram of the structure of the cemented rockfill dam and (b) laying test of the cemented rockfill material. Note: 1 is the first layer of cemented sand and gravel; 2 is the cemented rockfill layer; and 3 is the second layer of cemented sand and gravel.
Figure 6. Cemented sand and gravel and cemented rockfill: (a) schematic diagram of the structure of the cemented rockfill dam and (b) laying test of the cemented rockfill material. Note: 1 is the first layer of cemented sand and gravel; 2 is the cemented rockfill layer; and 3 is the second layer of cemented sand and gravel.
Applsci 13 04626 g006
Figure 7. Radar detection results of the cemented rockfill (G–G’ line).
Figure 7. Radar detection results of the cemented rockfill (G–G’ line).
Applsci 13 04626 g007
Figure 8. Digital mixing and intelligent dynamic control platform for cemented dams.
Figure 8. Digital mixing and intelligent dynamic control platform for cemented dams.
Applsci 13 04626 g008
Figure 9. Testing of aggregate moisture using rapid monitoring technology.
Figure 9. Testing of aggregate moisture using rapid monitoring technology.
Applsci 13 04626 g009
Figure 10. Flowchart of the online detection and identification of the aggregate gradation in the cemented sand and gravel.
Figure 10. Flowchart of the online detection and identification of the aggregate gradation in the cemented sand and gravel.
Applsci 13 04626 g010
Figure 11. Relationship between the water use and compressive strength of cemented sand and gravel materials.
Figure 11. Relationship between the water use and compressive strength of cemented sand and gravel materials.
Applsci 13 04626 g011
Figure 12. BP neural network for compressive strength prediction of cemented material dam: (a) prediction results of compressive strength and (b) linear regression equation.
Figure 12. BP neural network for compressive strength prediction of cemented material dam: (a) prediction results of compressive strength and (b) linear regression equation.
Applsci 13 04626 g012
Table 1. Main strength test results of cemented sand and gravel with different types of aggregates.
Table 1. Main strength test results of cemented sand and gravel with different types of aggregates.
SchemeSandstone
(%)
Cement (kg/m3)Fly Ash (kg/m3)Vebe Consistency Value
(s)
Water–Cement Ratio
(%)
Sand Ratio (%)Compressive Strength of 150 mm Cube Specimen (MPa)Bulk Density
(kg/m3)
28 d180 d
110050501.61.02534.72277
60601.90.83253.65.82260
271.2560603.33.9253.97
345455.31215.46.9
50504.20.9216.810.6
60608.60.8218.710.5
60606.11305.78.6
707040.9306.17.9
45060605.60.7127.87.411.42357
40505060.727.28.311.82403
3060606.60.8231.710.914.22436
540555520.77258.313.12425
35555560.77259.614.82414
Table 2. Summary of the in situ direct shear test results of the test sections.
Table 2. Summary of the in situ direct shear test results of the test sections.
Sandstone ContentShear Failure StrengthResidual StrengthShear StrengthShear Mode
f c (MPa) f R c R (MPa) f c (MPa)
50%1.100.380.810.240.810.18Dominated by mixed failure
60%1.080.340.810.300.850.11Dominated by mixed failure and supplemented by surface shear failure
1.040.530.950.300.880.06Dominated by shear failure along the surface
1.050.400.990.250.910.05Shear failure along the cemented body on the surface
70%1.020.260.910.240.870.09Shear failure along the cemented body on the surface or along the surface
0.990.280.940.200.890.10Mixed failure or shear failure of the cemented body on the surface
Disclaimer/Publisher’s Note: The statements, opinions and data contained in all publications are solely those of the individual author(s) and contributor(s) and not of MDPI and/or the editor(s). MDPI and/or the editor(s) disclaim responsibility for any injury to people or property resulting from any ideas, methods, instructions or products referred to in the content.

Share and Cite

MDPI and ACS Style

Jia, J.; Ding, L.; Wu, Y.; Zhao, C.; Zhao, L. Research and Application of Key Technologies for the Construction of Cemented Material Dam with Soft Rock. Appl. Sci. 2023, 13, 4626. https://doi.org/10.3390/app13074626

AMA Style

Jia J, Ding L, Wu Y, Zhao C, Zhao L. Research and Application of Key Technologies for the Construction of Cemented Material Dam with Soft Rock. Applied Sciences. 2023; 13(7):4626. https://doi.org/10.3390/app13074626

Chicago/Turabian Style

Jia, Jinsheng, Lianying Ding, Yangfeng Wu, Chun Zhao, and Lei Zhao. 2023. "Research and Application of Key Technologies for the Construction of Cemented Material Dam with Soft Rock" Applied Sciences 13, no. 7: 4626. https://doi.org/10.3390/app13074626

APA Style

Jia, J., Ding, L., Wu, Y., Zhao, C., & Zhao, L. (2023). Research and Application of Key Technologies for the Construction of Cemented Material Dam with Soft Rock. Applied Sciences, 13(7), 4626. https://doi.org/10.3390/app13074626

Note that from the first issue of 2016, this journal uses article numbers instead of page numbers. See further details here.

Article Metrics

Back to TopTop