Evaluation of Chronic Kidney Disease Risk Factors after Radical Nephrectomy
Abstract
1. Introduction
2. Materials and Methods
2.1. Criteria of Inclusion in the Study
2.2. Criteria of Exclusion in the Study
2.3. Surgical Procedure
2.4. Data and Definitions
2.5. Statistical Analysis
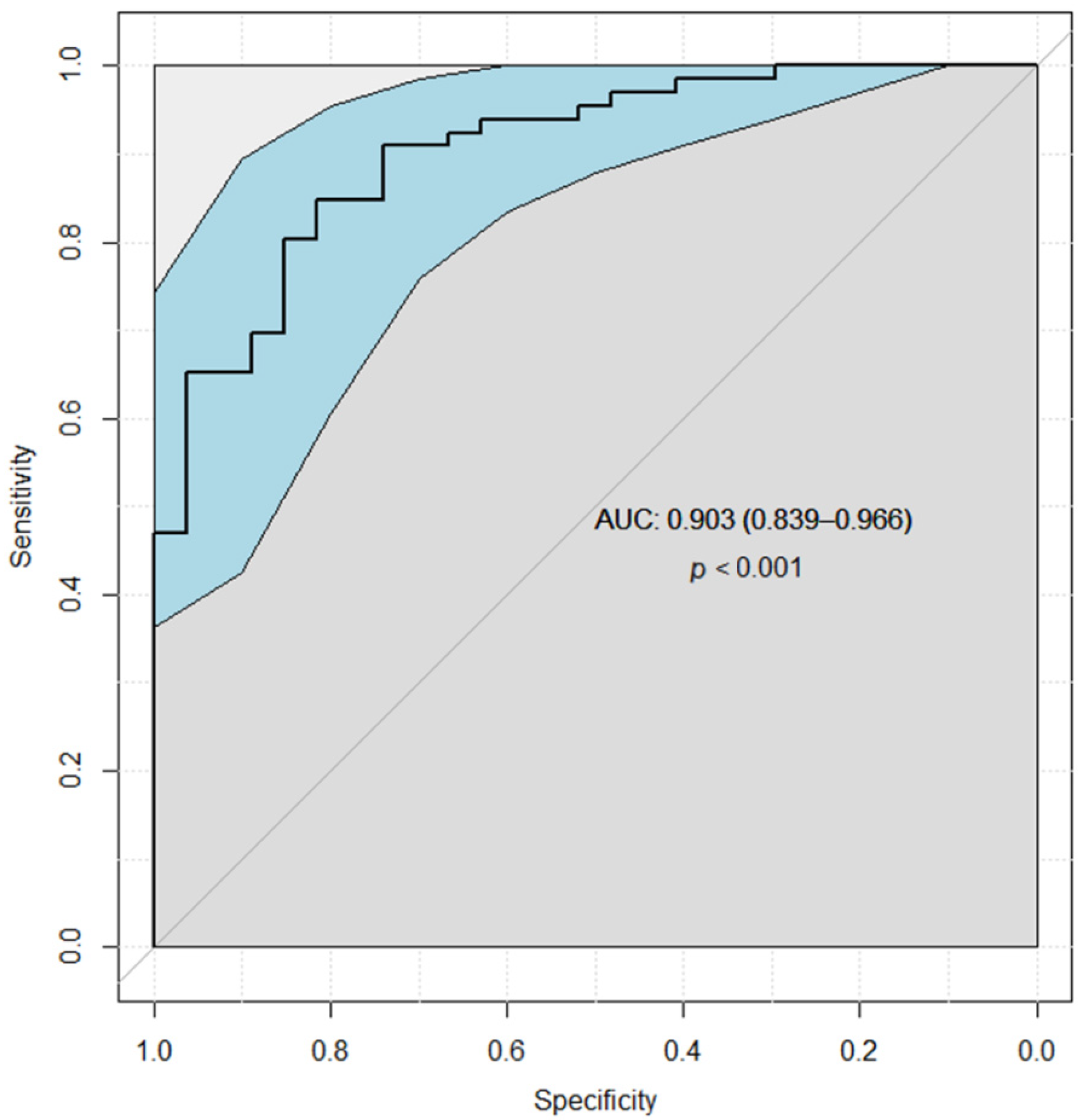
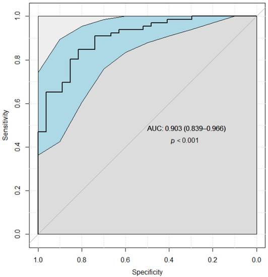
3. Results
4. Discussion
5. Conclusions
Supplementary Materials
Author Contributions
Funding
Institutional Review Board Statement
Informed Consent Statement
Data Availability Statement
Conflicts of Interest
References
- Sung, H.; Ferlay, J.; Siegel, R.L.; Laversanne, M.; Soerjomataram, I.; Jemal, A.; Bray, F. Global Cancer Statistics 2020: GLOBOCAN Estimates of Incidence and Mortality Worldwide for 36 Cancers in 185 Countries. CA A Cancer J. Clin. 2021, 71, 209–249. [Google Scholar] [CrossRef] [PubMed]
- Capitanio, U.; Bensalah, K.; Bex, A.; Boorjian, S.A.; Bray, F.; Coleman, J.; Gore, J.L.; Sun, M.; Wood, C.; Russo, P. Epidemiology of Renal Cell Carcinoma. Eur. Urol. 2019, 75, 74–84. [Google Scholar] [CrossRef] [PubMed]
- Al-Bayati, O.; Hasan, A.; Pruthi, D.; Kaushik, D.; Liss, M.A. Systematic review of modifiable risk factors for kidney cancer. Urol. Oncol. 2019, 37, 359–371. [Google Scholar] [CrossRef]
- Hannan, M.; Ansari, S.; Meza, N.; Anderson, A.H.; Srivastava, A.; Waikar, S.; Charleston, J.; Weir, M.R.; Taliercio, J.; Horwitz, E.; et al. Risk Factors for CKD Progression: Overview of Findings from the CRIC Study. Clin. J. Am. Soc. Nephrol. 2021, 16, 648–659. [Google Scholar] [CrossRef]
- Zhang, X.; Fang, Y.; Zou, Z.; Hong, P.; Zhuo, Y.; Xu, Y.; Wan, J. Risk Factors for Progression of CKD with and without Diabetes. J. Diabetes Res. 2022, 2022, 2127–2135. [Google Scholar] [CrossRef]
- Shuch, B.; Vourganti, S.; Ricketts, C.J.; Middleton, L.; Peterson, J.; Merino, M.J.; Metwalli, A.R.; Srinivasan, R.; Linehan, W.M. Defining early-onset kidney cancer: Implications for germline and somatic mutation testing and clinical management. J. Am. Soc. Clin. Oncol. 2014, 32, 431–437. [Google Scholar] [CrossRef] [PubMed]
- Haas, N.B.; Nathanson, K.L. Hereditary kidney cancer syndromes. Adv. Chronic Kidney Dis. 2014, 21, 81–90. [Google Scholar] [CrossRef] [PubMed]
- Perazella, M.A.; Dreicer, R.; Rosner, M.H. Renal cell carcinoma for the nephrologist. Kidney Int. 2018, 94, 471–483. [Google Scholar] [CrossRef]
- Linehan, W.M.; Srinivasan, R.; Schmidt, L.S. The genetic basis of kidney cancer: A metabolic disease. Nat. Rev. Urol. 2010, 7, 277–285. [Google Scholar] [CrossRef] [PubMed]
- Ljungberg, B.; Albiges, L.; Abu-Ghanem, Y.; Bedke, J.; Capitanio, U.; Dabestani, S.; Fernández-Pello, S.; Giles, R.H.; Hofmann, F.; Hora, M.; et al. European Association of Urology Guidelines on Renal Cell Carcinoma: The 2022 Update. Eur. Urol. 2022, 82, 399–410. [Google Scholar] [CrossRef]
- Hevia, V.; Ciancio, G.; Gómez, V.; Álvarez, S.; Díez-Nicolás, V.; Burgos, F.J. Surgical technique for the treatment of renal cell carcinoma with inferior vena cava tumor thrombus: Tips, tricks and oncological results. SpringerPlus 2016, 5, 132. [Google Scholar] [CrossRef]
- Stevens, P.E.; Levin, A. Kidney Disease: Improving Global Outcomes Chronic Kidney Disease Guideline Development Work Group Members. Evaluation and management of chronic kidney disease: Synopsis of the kidney disease: Improving global outcomes 2012 clinical practice guideline. Ann. Intern. Med. 2013, 158, 825–830. [Google Scholar] [CrossRef] [PubMed]
- Wen, C.P.; Cheng, T.Y.D.; Tsai, M.K.; Chang, Y.C.; Chan, H.T.; Tsai, S.P.; Chiang, P.H.; Hsu, C.C.; Sung, P.K.; Hsu, Y.H.; et al. All-cause mortality attributable to chronic kidney disease: A prospective cohort study based on 462 293 adults in Taiwan. Lancet 2008, 371, 2173–2182. [Google Scholar] [CrossRef] [PubMed]
- Mano, R.; Tin, A.L.; Silagy, A.W.; Haywood, S.C.; Huang, C.; Benfante, N.E.; Fischer, G.; Vickers, A.; Russo, P.; Coleman, J.; et al. The association between modifiable perioperative parameters and renal function after nephrectomy. BJU Int. 2022, 129, 380–386. [Google Scholar] [CrossRef] [PubMed]
- Weinstein, S.M.; YaDeau, J.T.; Memtsoudis, S.G. Lack of Association Between Levels and Length of Intraoperative Controlled Hypotension and Acute Kidney Injury in Total Hip Arthroplasty Patients Receiving Neuraxial Anesthesia. Reg. Anesth. Pain Med. 2018, 43, 725–731. [Google Scholar] [CrossRef]
- Leppert, J.T.; Lamberts, R.W.; Thomas, I.C.; Chung, B.I.; Sonn, G.A.; Skinner, E.C.; Wagner, T.; Chertow, G.; Brooks, J. Incident CKD after Radical or Partial Nephrectomy. J. Am. Soc. Nephrol. 2018, 29, 207–216. [Google Scholar] [CrossRef] [PubMed]
- Hua, Y.B.; Li, X.; Wang, D.X. Prevalence and risk factors of myocardial and acute kidney injury following radical nephrectomy with vena cava thrombectomy: A retrospective cohort study. BMC Anesthesiol. 2021, 21, 243. [Google Scholar] [CrossRef]
- Nientiedt, M.; Bertolo, R.; Campi, R.; Capitanio, U.; Erdem, S.; Kara, Ö.; Klatte, T.; Larcher, A.; Mir, M.C.; Ouzaid, I.; et al. Chronic Kidney Disease After Partial Nephrectomy in Patients with Preoperative Inconspicuous Renal Function—Curiosity or Relevant Issue? Clin. Genitourin. Cancer 2020, 18, 754–761. [Google Scholar] [CrossRef]
- Rydén, L.; Sartipy, U.; Evans, M.; Holzmann, M.J. Acute Kidney Injury After Coronary Artery Bypass Grafting and Long-Term Risk of End-Stage Renal Disease. Circulation 2014, 130, 23. [Google Scholar] [CrossRef]
- Gameiro, J.; Fonseca, J.A.; Neves, M.; Jorge, S.; Lopes, J.A. Acute kidney injury in major abdominal surgery: Incidence, risk factors, pathogenesis and outcomes. Annu. Intensive Care 2018, 8, 22. [Google Scholar] [CrossRef] [PubMed]
- Makris, K.; Spanou, L. Acute Kidney Injury: Definition, Pathophysiology and Clinical Phenotypes. Clin. Biochem. Rev. 2016, 2, 85. [Google Scholar]
- Ohno, Y.; Nakashima, J.; Ohori, M.; Hashimoto, T.; Iseki, R.; Hatano, T.; Tachibana, M. Impact of Tumor Size on Renal Function and Prediction of Renal Insufficiency After Radical Nephrectomy in Patients with Renal Cell Carcinoma. J. Urol. 2011, 186, 1242–1246. [Google Scholar] [CrossRef] [PubMed]
- Hu, S.L.; Chang, A.; Perazella, M.A.; Okusa, M.D.; Jaimes, E.A.; Weiss, R.H. The Nephrologist’s Tumor: Basic Biology and Management of Renal Cell Carcinoma. J. Am. Soc. Nephrol. 2016, 27, 2227–2237. [Google Scholar] [CrossRef] [PubMed]
- Saly, D.L.; Eswarappa, M.S.; Street, S.E.; Deshpande, P. Renal cell cancer and chronic kidney disease. Adv. Kidney Dis. Health 2021, 5, 460–468. [Google Scholar] [CrossRef]
- Clark, M.A.; Shikanov, S.; Raman, J.D.; Smith, B.; Kaag, M.; Russo, P.; Wheat, J.; Wolf, J.S., Jr.; Matin, S.; Huang, W.; et al. Chronic kidney disease before and after partial nephrectomy. J. Urol. 2011, 185, 43–48. [Google Scholar] [CrossRef]
- Yokoyama, M.; Fujii, Y.; Takeshita, H.; Kawamura, N.; Nakayama, T.; Iimura, Y.; Sakura, M.; Ishioka, J.; Saito, K.; Koga, F.; et al. Renal function after radical nephrectomy: Development and validation of predictive models in Japanese patients. Int. J. Urol. 2014, 21, 238–242. [Google Scholar] [CrossRef]
- Michels, W.M.; Grootendorst, D.C.; Verduijn, M.; Elliott, E.G.; Dekker, F.W.; Krediet, R.T. Performance of the Cockcroft-Gault, MDRD, and New CKD-EPI Formulas in Relation to GFR, Age, and Body Size. Clin. J. Am. Soc. Nephrol. 2010, 5, 1003–1009. [Google Scholar] [CrossRef]
- Jeon, H.G.; Gong, I.H.; Hwang, J.H.; Choi, D.K.; Lee, S.R.; Park, D.S. Prognostic significance of preoperative kidney volume for predicting renal function in renal cell carcinoma patients receiving a radical or partial nephrectomy. BJU Int. 2012, 109, 1468–1473. [Google Scholar] [CrossRef]
- Veccia, A.; Autorino, R.; Mir, M.C.; Derweesh, I.; Capitanio, U.; Porpiglia, F.; Antonelli, A.; RESURGE (Renal Surgery in Elderly) Group. Renal surgery for the older population: Time for a paradigm shift? Data from the RESURGE project. Aging Clin. Exp. Res. 2020, 32, 173–178. [Google Scholar] [CrossRef]
- Ahn, S.J.; Kim, H.J.; Jeon, H.G.; Jeong, B.C.; Seo, S.I.; Lee, H.M.; Choi, H.I.; Jeon, S.S. Predictive Preoperative Factors for Renal Insufficiency in Patients Followed for More Than 5 Years After Radical Nephrectomy. Korean J. Urol. 2013, 54, 303–310. [Google Scholar] [CrossRef] [PubMed]
- Hew, M.N.; Opondo, D.; Cordeiro, E.R.; Bemelman, F.J.; Idu, M.M.; de la Rosette, J.J.; Laguna, M.P. The 1-year decline in estimated glomerular filtration rate (eGFR) after radical nephrectomy in patients with renal masses and matched living kidney donors is the same. BJU Int. 2014, 113, 49–55. [Google Scholar] [CrossRef] [PubMed]
- Streja, E.; Kalantar-Zadeh, K.; Molnar, M.Z.; Landman, J.; Arah, O.A.; Kovesdy, C.P. Radical versus partial nephrectomy, chronic kidney disease progression and mortality in US veterans. Nephrol. Dial. Transplant. 2018, 33, 95–101. [Google Scholar] [CrossRef] [PubMed]
- Pouliot, F.; Shuch, B.; LaRochelle, J.C.; Pantuck, A.; Belldegrun, A.S. Contemporary Management of Renal Tumors with Venous Tumor Thrombus. J. Urol. 2010, 184, 833–841. [Google Scholar] [CrossRef]
- Liu, Z.; Zhao, X.; Zhang, H.X.; Ma, R.Z.; Li, L.W.; Tang, S.Y.; Wang, G.L.; Zhang, S.D.; Wang, S.M.; Tian, X.J.; et al. Peking University Third Hospital score: A comprehensive system to predict intra-operative blood loss in radical nephrectomy and thrombectomy. Chin. Med. J. 2020, 10, 1166–1174. [Google Scholar] [CrossRef] [PubMed]
- Jeldres, C.; Bensalah, K.; Capitanio, U.; Zini, L.; Perrotte, P.; Suardi, N.; Tostain, J.; Valeri, A.; Descotes, J.L.; Rambeaud, J.J.; et al. Baseline renal function, ischaemia time and blood loss predict the rate of renal failure after partial nephrectomy. BJU Int. 2009, 103, 1632–1635. [Google Scholar] [CrossRef] [PubMed]
- Mir, M.C.; Derweesh, I.; Porpiglia, F.; Zargar, H.; Mottrie, A.; Autorino, R. Partial Nephrectomy versus Radical Nephrectomy for Clinical T1b and T2 Renal Tumors: A Systematic Review and Meta-analysis of Comparative Studies. Eur. Urol. 2017, 4, 606–617. [Google Scholar] [CrossRef] [PubMed]
- Park, B.H.; Sung, H.H.; Jeong, B.C.; Seo, S.I.; Jeon, S.S.; Lee, H.M.; Choi, H.Y.; Jeon, H.G. Tumor size is associated with compensatory hypertrophy in the contralateral kidney after radical nephrectomy in patients with renal cell carcinoma. Int. Urol. Nephrol. 2016, 48, 977–983. [Google Scholar] [CrossRef]
- Song, W.; Sung, H.H.; Han, D.H.; Jeong, B.C.; Seo, S.I.; Jeon, S.S.; Lee, H.M.; Choi, H.Y.; Jeon, H.G. The effect of contralateral kidney volume on renal function after radical nephroureterectomy: Implications for eligibility for neoadjuvant chemotherapy for upper tract urothelial cancer. Urol. Oncol. 2017, 35, 114.e1–114.e7. [Google Scholar] [CrossRef] [PubMed]
- Zhang, Y.; Wu, T.; Xie, J.; Yan, L.; Guo, X.; Xu, W.; Wang, L. Effects of metabolic syndrome on renal function after radical nephrectomy in patients with renal cell carcinoma. Int. Urol. Nephrol. 2021, 53, 2127–2135. [Google Scholar] [CrossRef]
- Kriegmair, M.C.; Mandel, P.; Porubsky, S.; Dürr, J.; Huck, N.; Nuhn, P.; Pfalzgraf, D.; Michel, M.S.; Wagener, N. Metabolic Syndrome Negatively Impacts the Outcome of Localized Renal Cell Carcinoma. Horm. Cancer 2017, 8, 127–134. [Google Scholar] [CrossRef]
- Hagiwara, M.; Miyajima, A.; Matsumoto, K.; Kikuchi, E.; Nakagawa, K.; Oya, M. Benefit of Laparoscopic Radical Nephrectomy in Patients with a High BMI. Jpn. J. Clin. Oncol. 2011, 41, 400–404. [Google Scholar] [CrossRef] [PubMed]
- Arfi, N.; Baldini, A.; Decaussin-Petrucci, M.; Ecochard, R.; Ruffion, A.; Paparel, P. Impact of Obesity on Complications of Laparoscopic Simple or Radical Nephrectomy. Curentr Urol. 2015, 8, 149–155. [Google Scholar] [CrossRef] [PubMed]
- Song, M.; Graubard, B.I.; Rabkin, C.S.; Engels, E.A. Neutrophil-to-lymphocyte ratio and mortality in the United States general population. Sci. Rep. 2021, 11, 464. [Google Scholar] [CrossRef]
- Hajibandeh, S.; Hajibandeh, S.; Hobbs, N.; Mansour, M. Neutrophil-to-lymphocyte ratio predicts acute appendicitis and distinguishes between complicated and uncomplicated appendicitis: A systematic review and meta-analysis. Am. J. Surg. 2020, 219, 154–163. [Google Scholar] [CrossRef] [PubMed]
- Silberman, S.; Abu-Yunis, U.; Tauber, R.; Shavit, L.; Grenader, T.; Fink, D.; Bitran, D.; Merin, O. Neutrophil-Lymphocyte Ratio: Prognostic Impact in Heart Surgery. Early Outcomes and Late Survival. Ann. Thorac. Surg. 2018, 105, 581–586. [Google Scholar] [CrossRef] [PubMed]
- Yoshitomi, R.; Nakayama, M.; Sakoh, T.; Fukui, A.; Katafuchi, E.; Seki, M.; Tsuda, S.; Nakano, T.; Tsuruya, K.; Kitazono, T. High neutrophil/lymphocyte ratio is associated with poor renal outcomes in Japanese patients with chronic kidney disease. Ren. Fail. 2019, 41, 238–243. [Google Scholar] [CrossRef]
- Lin, C.; Li, Y.; Wang, Y.; Chang, W. Higher Neutrophil-To-Lymphocyte Ratio Was Associated with Increased Risk of Chronic Kidney Disease in Overweight/Obese but Not Normal-Weight Individuals. Int. J. Environ. Res. Public Health 2022, 13, 8077. [Google Scholar] [CrossRef]
- Weinberg, L.; Li, S.Y.; Louis, M.; Karp, J.; Poci, N.; Carp, B.S.; Miles, L.F.; Tully, P.; Hahn, R.; Karalapillai, D.; et al. Reported definitions of intraoperative hypotension in adults undergoing non-cardiac surgery under general anaesthesia: A review. BMC Anesthesiol. 2022, 22, 69. [Google Scholar] [CrossRef] [PubMed]
- Gregory, A.; Stapelfeldt, W.H.; Khanna, A.K.; Smischney, N.J.; Boero, I.J.; Chen, Q.; Stevens, M.; Shaw, A.D. Intraoperative Hypotension Is Associated with Adverse Clinical Outcomes After Noncardiac Surgery. Anesth. Analg. 2021, 132, 1654–1665. [Google Scholar] [CrossRef] [PubMed]
- Salmasi, V.; Maheshwari, K.; Yang, D.; Mascha, E.J.; Singh, A.; Sessler, D.I.; Kurz, A. Relationship between Intraoperative Hypotension, Defined by Either Reduction from Baseline or Absolute Thresholds, and Acute Kidney and Myocardial Injury after Noncardiac Surgery: A Retrospective Cohort Analysis. Anesthesiology 2017, 126, 47–65. [Google Scholar] [CrossRef] [PubMed]
- Ellis, R.J.; Del Vecchio, S.J.; Kalma, B.; Ng, K.L.; Morais, C.; Francis, R.S.; Gobe, G.C.; Ferris, R.; Wood, S.T. Association between preoperative hydration status and acute kidney injury in patients managed surgically for kidney tumours. Int. Uroogy Nephrol. 2018, 50, 1211–1217. [Google Scholar] [CrossRef] [PubMed]
- Levey, A.S.; Eckardt, K.U.; Dorman, N.M.; Christiansen, S.L.; Hoorn, E.J.; Ingelfinger, J.R.; Inker, L.A.; Levin, A.; Mehrotra, R.; Palevsky, P.M.; et al. Nomenclature for kidney function and disease: Report of a Kidney Disease: Improving Global Outcomes (KDIGO) Consensus Conference. Kidney Int. 2020, 97, 1117–1129. [Google Scholar] [CrossRef] [PubMed]
- Kurzhagen, J.T.; Dellepiane, S.; Cantaluppi, V.; Rabb, H. AKI: An increasingly recognized risk factor for CKD development and progression. J. Nephrol. 2020, 33, 1171–1187. [Google Scholar] [CrossRef] [PubMed]
- See, E.J.; Jayasinghe, K.; Glassford, N.; Bailey, M.; Johnson, D.W.; Polkinghorne, K.R.; Toussaint, N.D.; Bellomo, R. Long-term risk of adverse outcomes after acute kidney injury: A systematic review and meta-analysis of cohort studies using consensus definitions of exposure. Kidney Int. 2019, 95, 160–172. [Google Scholar] [CrossRef] [PubMed]
- Turan, A.; Cohen, B.; Adegboye, J.; Makarova, N.; Liu, L.; Mascha, E.J.; Qiu, Y.; Irefin, S.; Wakefield, B.J.; Ruetzler, K.; et al. Mild Acute Kidney Injury after Noncardiac Surgery Is Associated with Long-term Renal Dysfunction: A Retrospective Cohort Study. Anesthesiology 2020, 132, 1053–1061. [Google Scholar] [CrossRef]
- Cho, A.; Lee, J.E.; Kwon, G.Y.; Huh, W.; Lee, H.M.; Kim, Y.G.; Kim, D.J.; Oh, H.Y.; Choi, H.Y. Post-operative acute kidney injury in patients with renal cell carcinoma is a potent risk factor for new-onset chronic kidney disease after radical nephrectomy. Nephrol. Dial. Transplant. Off. Publ. Eur. Dial. Transpl. Assoc.—Eur. Ren. Assoc. 2011, 26, 3496–3501. [Google Scholar] [CrossRef] [PubMed]








| Parameters | Estimate | Patients without Chronic Kidney Disease | Patients with Chronic Kidney Disease | p-Value 1 |
|---|---|---|---|---|
| Age, y | Median (Q1, Q3) | 56.0 (48.0 to 62.5) | 70.5 (62.5 to 74.0) | <0.001 |
| Hospital stay, day | Median (Q1, Q3) | 7.0 (5.0 to 7.0) | 7.0 (6.0 to 8.8) | 0.071 |
| Gender: | N (%) | 0.678 | ||
| Female | 19 (40.4) | 21 (45.7) | ||
| Male | 28 (59.6) | 25 (54.3) | ||
| BMI, kg/m2 | Median (Q1, Q3) | 27.8 (24.7 to 30.3) | 28.9 (26.2 to 33.5) | 0.021 |
| CCI, score | Median (Q1, Q3) | 3.0 (2.0 to 3.5) | 4.5 (3.0 to 6.0) | <0.001 |
| CT nephrometry result, points | Median (Q1, Q3) | 9.0 (8.0 to 10.0) | 10.0 (9.0 to 10.8)) | 0.002 |
| Contralateral kidney CT volume, cm3 | Median (Q1, Q3) | 255.4 (228.3 to 319.5) | 191.8 (157.8 to 223.3) | <0.001 |
| Contralateral kidney CT volume classification: | N (%) | <0.001 | ||
| Low | 1 (2.1) | 30 (65.2) | ||
| Medium | 20 (42.6) | 14 (30.4) | ||
| High | 26 (55.3) | 2 (4.3) | ||
| Metabolic syndrome: | N (%) | 0.003 | ||
| Yes | 19 (40.4) | 33 (71.7) | ||
| No | 28 (59.6) | 13 (28.3) | ||
| Radical nephrectomy: | N (%) | 0.063 | ||
| Laparoscopic | 29 (61.7) | 19 (41.3) | ||
| Open | 18 (38.3) | 27 (58.7) | ||
| Duration of surgery, min | Median (Q1, Q3) | 120.0 (90.0 to 145.0) | 120.0 (80.0 to 195.0) | 0.869 |
| Loss of blood, mL | Median (Q1, Q3) | 210.0 (175.0 to 250.0) | 525.0 (275.0 to 600.0) | <0.001 |
| Loss of blood classification, mL: | N (%) | <0.001 | ||
| ≤500 | 46 (97.9) | 19 (41.3) | ||
| >500 | 1 (2.1) | 27 (58.7) | ||
| ASA, classification: | N (%) | <0.001 | ||
| 1 | 8 (17.0) | 1 (2.2) | ||
| 2 | 29 (61.7) | 16 (34.8) | ||
| 3 | 10 (21.3) | 29 (63.0) | ||
| Intraoperative hypotension, min | Median (Q1, Q3) | 0.0 (0.0 to 10.0) | 40.0 (20.0 to 60.0) | <0.001 |
| Removed kidney volume, cm3 | Median (Q1, Q3) | 398.0 (358.5 to 497.0) | 409.0 (288.8 to 486.5) | 0.377 |
| Tumor volume, cm3 | Median (Q1, Q3) | 118.3 (87.0 to 166.9) | 179.0 (100.3 to 320.0) | 0.032 |
| AKI status: | N (%) | <0.001 | ||
| Non-AKI | 10 (21.3) | 3 (6.5) | ||
| AKI non-CKD upstage | 14 (29.8) | - | ||
| AKI CKD upstage | 23 (48.9) | 43 (93.5) | ||
| Focal global glomerulosclerosis | N (%) | <0.001 | ||
| Yes | 14 (29.8) | 40 (87.0) | ||
| None | 33 (70.2) | 6 (13.0) |
| Univariate | ||||||
|---|---|---|---|---|---|---|
| Parameters | Estimate | Non-CKD | CKD | OR | 95% CI | p-Value 1 |
| Age | Mean (SD) | 56.1 (9.7) | 67.3 (9.6) | 1.12 | 1.07–1.18 | <0.001 |
| BMI | Mean (SD) | 31.1 (25.4) | 30.3 (5.3) | 1.00 | 0.97–1.02 | 0.825 |
| Comorbidities: | N (%) | |||||
| No data | 32 (80.0) | 8 (20.0) | – | – | – | |
| HTN | 14 (30.4) | 32 (69.6) | 9.14 | 3.51–26.17 | <0.001 | |
| HTN and DM | 1 (14.3) | 6 (85.7) | 24.00 | 3.46–489.01 | 0.006 | |
| CT nephrometry score | Mean (SD) | 9.0 (1.1) | 9.8 (1.2) | 1.85 | 1.28–2.82 | 0.002 |
| No metabolic syndrome | Mean (SD) | 28 (68.3) | 13 (31.7) | 0.27 | 0.11–0.62 | 0.003 |
| Preoperative eGFR | Mean (SD) | 92.6 (12.8) | 74.2 (12.2) | 0.89 | 0.84–0.93 | <0.001 |
| Estimated blood loss | Mean (SD) | 222.8 (84.0) | 480.7 (249.5) | 1.01 | 1.01–1.02 | <0.001 |
| Intraoperative hypotension time | Mean (SD) | 6.9 (11.3) | 41.1 (24.0) | 1.11 | 1.07–1.16 | <0.001 |
| Contralateral kidney CT volume | Mean (SD) | 289.4 (85.7) | 190.1 (42.1) | 0.96 | 0.94–0.98 | <0.001 |
| NLR | Mean (SD) | 3.8 (2.2) | 5.7 (3.3) | 1.34 | 1.12–1.66 | 0.004 |
Disclaimer/Publisher’s Note: The statements, opinions and data contained in all publications are solely those of the individual author(s) and contributor(s) and not of MDPI and/or the editor(s). MDPI and/or the editor(s) disclaim responsibility for any injury to people or property resulting from any ideas, methods, instructions or products referred to in the content. |
© 2023 by the authors. Licensee MDPI, Basel, Switzerland. This article is an open access article distributed under the terms and conditions of the Creative Commons Attribution (CC BY) license (https://creativecommons.org/licenses/by/4.0/).
Share and Cite
Makevičius, J.; Pajaurytė, A.; Samuilis, A.; Lukšaitė-Lukštė, R.; Jasiūnas, E.; Jankevičius, F.; Miglinas, M. Evaluation of Chronic Kidney Disease Risk Factors after Radical Nephrectomy. Appl. Sci. 2023, 13, 3921. https://doi.org/10.3390/app13063921
Makevičius J, Pajaurytė A, Samuilis A, Lukšaitė-Lukštė R, Jasiūnas E, Jankevičius F, Miglinas M. Evaluation of Chronic Kidney Disease Risk Factors after Radical Nephrectomy. Applied Sciences. 2023; 13(6):3921. https://doi.org/10.3390/app13063921
Chicago/Turabian StyleMakevičius, Jurijus, Akvilė Pajaurytė, Artūras Samuilis, Raminta Lukšaitė-Lukštė, Eugenijus Jasiūnas, Feliksas Jankevičius, and Marius Miglinas. 2023. "Evaluation of Chronic Kidney Disease Risk Factors after Radical Nephrectomy" Applied Sciences 13, no. 6: 3921. https://doi.org/10.3390/app13063921
APA StyleMakevičius, J., Pajaurytė, A., Samuilis, A., Lukšaitė-Lukštė, R., Jasiūnas, E., Jankevičius, F., & Miglinas, M. (2023). Evaluation of Chronic Kidney Disease Risk Factors after Radical Nephrectomy. Applied Sciences, 13(6), 3921. https://doi.org/10.3390/app13063921

