Abstract
The tribological performance of both PI- and PEI-based nanocomposites, reinforced with chopped carbon fibers (CCF) and additionally loaded with halloysite nanotubes (HNTs) as well as carbon nanotubes (CNT), was investigated. Metal (GCr15 steel) counterparts were utilized in the point (“ball-on-disk”) and linear (“block-on-ring”) tribological contacts. In the point contact, the PEI/10CCF/1HNT nanocomposite was characterized by the maximum wear resistance and the absence of microabrasive damage of the steel counterpart (Ra = 0.02 µm). The effect of tribological layer formation through creep and mixing mechanisms was proposed to make it possible to protect (shield) the contacting surfaces. In the linear contact at the higher Ra counterpart roughness of 0.2 µm, the tribological layer was formed on both PI- and PEI-based nanocomposites. This was governed by the development of both creep and mixing processes under the cyclic action of the tangential load transmitted from the sliding counterpart and being localized on the wear track. Due to the combination of both higher manufacturability and lower cost, the PEI-based nanocomposite loaded with CCFs and HNTs is a promising inexpensive material for fabricating components of metal–polymer friction units.
1. Introduction
High performance (thermoplastic) polymers (HPP), such as polyimide (PI) and polyetherimide (PEI), are characterized by great mechanical properties in wide temperature ranges. They attract designers of polymer nanocomposites for antifriction applications. However, despite all their inherent advantages, neat polyimides are almost not employed for manufacturing parts of tribological units due to their fast wearing under dry sliding friction conditions because of the high strength and coefficient of friction (CoF) levels [1,2,3]. Typically, this issue is solved by loading with solid lubricant fillers, which enables a reduction of reduce both the CoF and wear rate (WR) values for the mating parts. Ye et al. [4] noted that the friction process and wear performance depend on the formation, development and stability of a transfer film, in addition to the structure and composition of such solid lubricants. The most common ones include polytetrafluoroethylene (PTFE) [5,6], graphite (Gr) [7], molybdenum disulfide (MoS2) [8,9], tungsten disulfide (WS2), boron nitride (BN), etc. Onodera et al. [10] showed that transfer films (TFs) can have a gradient structure: PTFE is on their surfaces, while polyetheretherketone (PEEK) is mostly in the bulk. In addition, Ye et al. reported [11] that sliding-induced chemical changes contribute to the formation of direct polymer/filler and polymer/counterpart bonds, stabilizing the surfaces by adhering the transfer film (TF) on a counterpart.
Recently, the attention of many researchers was riveted to the design of nanocomposites based on various polymer matrices. A monograph edited by Friedrich [12] was one of the first most comprehensive steps in this direction. This book and other reports [13,14,15,16] devoted to the study of the tribological characteristics of nanocomposites have justified that nanofillers can significantly affect the functional properties of TFs.
In this way, loading PEEK with 1 vol.% nano-SiO2 improved the wear resistance of a nanocomposite via the fast formation of a tribological film. Such a nanocomposite possessed a WR level of ~9 × 10−6 mm3/N·m that was 69% greater in comparison with neat PEEK [17]. In [18], Wu, et al. reported the effect of decorated reduced graphene oxide (GO) synthesized with 3-Triethoxysilylpropylamine on the tribological properties of PI-based composites. At a content of 0.5 wt.%, the WR value was 2.64 × 10−6 mm3/N·m. According to the authors of [18], the nanoparticles inhibited the propagation of a crack during the friction process, lowering the WR level. Similar results were obtained for another PI-based composite, when Liu, et al. [19] investigated the influence of Fe2O3-decorated reduced GO. In addition, Qi et al. [20] reported the effect of h-BN and amorphous SiO2 nanoparticles on TF formation on PI-based nanocomposites loaded with both carbon fibers (CFs) and graphite. Filling with such nanoparticles significantly inhibited the tribo-oxidation process and improved the tribological performance.
Carbon nanomaterials are widely used as additives for fabricating bulk composites due to their great physical-chemical properties [21,22]. Various nanoparticles are widely employed for antifriction applications as well [23].
Carbon nanotubes (CNTs), as an antioxidant, were studied in [24], where their efficiency was proven for PEEK at temperatures up to 450 °C. Zhao et al. reported [25] that, compared with neat PI, the thermal stability and heat resistance of composites were increased by 10 °C after loading with 5 wt.% nano-SiO2. At the same time, both their compressive strength and elastic modulus values were enhanced by 42.6% and 45.2%, respectively. Díez-Pascual and Díez-Vicente fabricated PEEK/PI-based nanocomposites reinforced with TiO2 nanoparticles [26]. As a result, the thermal stability, glass transition temperature and tribological characteristics were improved after loading with 4 wt.% TiO2.
Sivanand et al. [27] presented a thorough analysis of the application of carbon nanoparticles in tribology, including carbon nanotubes (CNT), graphene, nanodiamonds and fullerenes. They were compared in terms of their capability to reduce friction and wear when being loaded as a lubricant additive. In addition, the superlubricity effect was discussed in regard of CNT and graphene.
Halloysite nanotubes (HNTs) are of wide practical interest due to their great strength, thermal stability, availability and low cost [28]. Chen et al. [29] discussed the mechanisms of PI/HNT nanocomposite formation. It was shown that the tensile strength and tensile modulus could be increased by 62.8% and 63.7%, respectively, when the HNTs content was equal to 3 wt.%. Zhu et al. [30] loaded PI with HNTs in order to fabricate the polymer composites with high dielectric permittivity and thermal stability. In addition, KH550 sizing agent was employed for HNT surface treatment.
However, HNTs have rarely been used in tribological applications. Song et al. [31] loaded 1 wt. HNTs into the epoxy matrix. In doing so, the elastic modulus increased by 50%, while the hardness increased by 100%. In addition, the tribological test showed that certain patterns of HNT orientations ensured a decrease in the scratches’ volumes by 50%. To the best of our knowledge, HNTs have not been employed for the development of PI/PEI-based wear-resistant composites.
Important factors determining the formation and adherence of a TF are the tribological contact scheme, namely, (i) point (“ball-on-plate”, as an example), (ii) linear (e.g., “block-on-ring”), and (iii) planar (“pin-on-disk”, for instance) contact, as well as the load–speed conditions in tribological tests [32,33,34,35,36]. Consequently, they are also decisive for the performance characteristics of wear-resistant (anti-friction) (nano)composites.
A recently published book on the tribology of polymer nanocomposites [37] analyzed the role of various types of nanofillers (metal nanoparticles, mineral fillers, carbon nanofibers (CNFs) and carbon nanotubes (CNTs), natural fibers, combined nanofillers) in terms of their functional characteristics. It was stated for various types of polymer matrices that, firstly, there is no single mechanism for the formation and adherence of a TF on both the counterpart and nanocomposite surfaces of different chemical natures. Secondly, the tribological contact conditions (including temperature, the test scheme, the counterface surface roughness, the presence of a lubricating medium, etc.) greatly determine the wear mechanism and the formation/adherence of the tribological film on the contacting surfaces. Thirdly (and most importantly), it was shown that designing polymer nanocomposites for tribological applications is a promising technical solution for maximizing economic efficiency by reducing the consumption of materials, production waste and energy [38].
Despite the unique structures and properties of various types of nanofillers, as well as their changes after loading into polymer matrices, the aspect of their cost still remains an important issue limiting wide industrial applications. In this regard, this study aimed to establish an inexpensive nanofiller (in particular, natural nanotubes) for wear-resistant PI- and PEI-based nanocomposites, additionally reinforced with chopped carbon fibers (CCFs) for metal–polymer tribological units. The relevance of a comparison of the two types of amorphous thermoplastics as matrices for the nanocomposites is also associated with their cost and technological characteristics. PEI remains stable only at temperatures up to 200 °C, but it is cheaper and easier to process than PI. Therefore, PEI is preferable (in the mentioned temperature range) when both types of the polymers have similar mechanical characteristics.
It should be noted that the authors have previously shown that loading such PI/PEI-based composites reinforced with chopped carbon and glass fibers (≥10 wt.%) was accompanied with wearing the metal (GCr15 steel) counterpart. For this reason, special attention should be paid to the search for nanofillers that can eliminate the damaging effect of the inclusion of synthetic reinforcements on the steel counterpart surface in metal–polymer friction units. From a fundamental point of view, the relevance here is the study of the formation mechanism of a tribological layer (TL) that protects the contacting surfaces. At the same time, the TL, formed due to the development of creep, mass transfer and mixing processes, is characteristic of the wear of metals [39,40,41,42]. This result was realized for the PI- and PEI-based nanocomposites because of the TL reinforcement with fractured CCFs, with its subsequent grinding by the smooth metal counterpart in the linear tribological contacts [43].
In the present study, the tribological performance of the PI- and PEI-based nanocomposites, reinforced with CCFs and additionally loaded with natural and commercially available halloysite nanotubes (HNTs), as well as with CNTs for comparison, was investigated. It was expected that loading with various nanotubes would stimulate the formation of a tribological film (layer) at the rubbing surfaces both in the point (“ball-on-disk”) and linear (“block-on-ring”) tribological contacts. Thus, the wear resistance of PI/PEI nanocomposites was expected to increase.
2. Materials and Methods
2.1. Materials
Both PI and PEI powders (PI-1600, China and Solver PEI ROOH, Jiande, China) were used with average particle sizes of 16 and 20 µm, respectively. The following fillers were loaded: CCFs (Tenax®-A, Teijin Carbon Europe Gmbh, Wuppertal, Germany) with lengths of 2 mm with an aspect ratio (AR) ~100 as reinforcing particles, as well as TUBALL™ CNTs (Novosibirsk, Russia, https://tuball.com/ (accessed on 10 February 2023)) and HNTs (Halloysite-Ural LLC, Ekaterinburg, Russia, http://xn--80aahsfpa3df.xn--p1ai/ (accessed on 10 February 2023)) as nanofillers. An SEM micrograph of CNTs (OCSiAl, Kowloon, Hong Kong) is shown in Figure 1a. HNTs, Al2Si2O5(OH)4–aluminosilicate clay with a nanotubular structure (Figure 1b), were characterized by a monoclinic syngony (a = 3.14 Å, b = 8.9 Å, c = 7.21 Å) and consisted of double-layer kaolinite plates displaced along the a and b axes.
Figure 1.
SEM micrographs of CNTs (a) and HNTs (b).
2.2. Fabrication of the Nanocomposites
The polymer powders and the fillers were mixed by dispersing the suspension components in alcohol using a PSB-Gals 1335-05 ultrasonic cleaner (PSB-Gals Ultrasonic equipment center, Moscow, Russia). The processing duration was 5 min at a generator frequency of 22 kHz. After mixing, a suspension of the components was dried in an oven for 3.5 h at a temperature of 125 °C. Both PI- and PEI-based nanocomposites were fabricated using hot pressing at a pressure of 15 MPa and a temperature of 370 °C with a subsequent cooling rate of 2 °C/min.
Similar to earlier studies [33,43], the CCF content was chosen to be 10 wt.%, while contents of both CNTs and HNTs were 1 wt.%. The compositions of the investigated nanocomposites are presented in Table 1.
Table 1.
The compositions of the investigated nanocomposites.
2.3. Physical and Mechanical Properties
Tensile properties of dog-bone shaped samples were measured using an Instron 5582 electromechanical testing machine (Instron, Norwood, MA, USA). The number of samples of each material was at least four. The following samples’ gauge dimensions were taken: thickness = 3.2 ± 0.4 mm, width = 3.18 ± 0.5 mm, length = 9.53 ± 0.5 mm. The samples were stretched until their failure.
Nanoindentation was carried out with a ‘NanoTest’ system (Micro Materials Ltd., Wrexham, UK) using Berkovich diamond tips in the load-controlled mode. The maximum load was 50 mN. Both loading and unloading durations were 20 s. Holding durations at the maximum loading and 90% unloading levels (for thermal drift correction) were 10 and 60 s, respectively.
2.4. Tribological Characteristics
In the point tribological contact according to the “ball-on-disk” scheme, dry sliding friction tests were carried out at a load (P) of 5 N and a sliding speed (V) of 0.3 m/s. In addition, an increased load of 10 N was employed for comparison. A CH 2000 tribometer (CSEM, Neuchâtel, Switzerland) was used in accordance with ASTM G99. The tribological tests were conducted using a metal counterpart (a ball made of the GCr15 bearing steel, 60 HRC) with a diameter of 6 mm and an Ra surface roughness of 0.02 µm, which was assessed with a New View 6200 optical interferential profilometer (Zygo Corporation, Middlefield, CT, USA). The testing distance was 1 km and the tribological track radius was 16 mm.
In the linear tribological contact according to the “block-on-ring” scheme, the dry sliding friction tests were performed using a 2070 SMT-1 friction testing machine (Tochpribor Production Association, Ivanovo, Russia). A load (P) was 60 N, while a sliding speed (V) was 0.3 m/s. In addition, increased load of 180 N and sliding speed of 0.5 m/s were taken for comparison A metal counterpart was made of the outer ring of a commercial bear (the GCr15 steel, a diameter of 35 mm and a width of 11 mm). The Ra surface roughness was 0.20 µm.
The counterpart temperatures were assessed with a CEM DT-820 non-contact infrared (IR) thermometer (Shenzhen Everbest Machinery Industry Co., Ltd., Shenzhen, China).
WR levels were determined by measuring width and depth of wear tracks according to stylus profilometry (KLA-Tencor, Milpitas, CA, USA), followed by multiplication by their length. They were calculated taking into account both load and distance values:
2.5. Structural Studies
The surface topography of the wear tracks was studied using a Neophot 2 optical microscope (Carl Zeiss, Jena, Germany) equipped with a Canon EOS 550D digital camera (Canon Inc., Tokyo, Japan) and an Alpha-Step IQ contact profiler (KLA-Tencor, Milpitas, CA, USA).
The structural studies were carried out on cleaved surfaces of notched specimens, fractured mechanically after cooling in liquid nitrogen. A LEO EVO 50 scanning electron microscope (Carl Zeiss, Oberkochen, Germany) with an Oxford INCA X-Max80 attachment for EDS analysis (Oxford Instruments, Abingdon, Oxfordshire, UK) was employed at an accelerating voltage of 20 kV.
After the tribological tests, TFs on the counterpart surface and tribological layers on the wear track surfaces were analyzed using Raman spectroscopy with a Renishaw inVia Basis Raman spectrometer (Renishaw plc, Gloucestershire, UK).
3. Results
Figure 2 shows SEM micrographs of the structures of neat PI (a) and PEI (b), and the PEI/10CCF/1HNT (c) and PEI/10CCF/1CNT (d) nanocomposites. With the applied dispersing procedure and content of both types of the nanofillers, their agglomeration was eliminated. In addition, their presence almost did not affect the polymer matrix structure. In the presented cases, examples of the PEI-based nanocomposites are given, but their structures were generally similar to those of the PI-based ones.
Figure 2.
SEM micrographs of the structures of the neat PI (a), neat PEI (b), PEI/10CCF/1HNT (c) and PEI/10CCF/1CNT (d) nanocomposites.
3.1. Mechanical Properties
The mechanical properties of the PI- and PEI-based nanocomposites loaded with reinforcing CCFs and modifying CNTs and HNTs differed slightly (Table 2). For neat PEI, the elastic modulus, ultimate tensile strength and elongation at break exceeded by ~10% the corresponding characteristics of neat PI. For both types of the nanocomposites, the elastic modulus was doubled and the ultimate strength was increased by ~12–20%. Elongation at break was decreased by four to five times for the reinforced nanocomposites. Since loading with both CNTs and HNTs (1 wt.%) did not significantly affect the mechanical properties for both types of the polymer matrices (Table 2), the influence of the former on the tribological characteristics could be excluded.
Table 2.
The physical and mechanical properties of neat PI and PEI, as well as the PI- and PEI-based nanocomposites.
3.2. The Point Tribological Contact
Table 3 presents the integral values of the tribological characteristics of the studied nanocomposites. After reinforcing PI with CCFs, its CoF value decreased by 8%, while subsequent loading with both types of nanotubes (CNTs and HNTs) was accompanied by only a slight increase. For the PEI-based nanocomposite, filling with HNTs lowered the CoF level by 8% compared to that of the neat polymer.
Table 3.
The tribological properties of neat PI and PEI, as well as the PI- and PEI-based nanocomposites.
Figure 3 shows the variation kinetics of the CoF values for all the studied materials. In the PI case (Figure 3a), both PI/10CCF and PI/10CCF/1CNT were characterized by noticeable CoF oscillations, which differed from the PI/10CCF/1HNT sample. However, the high CoF value, comparable to that of neat PI, did not enable us to position them as antifriction ones. For neat PEI, the CoF value of ~0.3 was not significantly lower than that of ~0.39 obtained for neat PI. On the other hand, the CoF variation kinetics for the PEI/10CCF/1HNT nanocomposite were not accompanied by any pronounced oscillation at its minimum average level of ~0.24.
Figure 3.
The time dependence of the CoF values for the PI- (a) and PEI-based (b) nanocomposites. Point tribological contact.
A comparison of the CoF and WR values (Table 3) enabled the following conclusions:
- The WR value for neat PEI was three times greater than obtained for neat PI (although the CoF level was higher by ~0.1 for neat PI);
- Reinforcing PI with CCFs lowered the WR value of the PI/10CCF nanocomposite by 4.8 times, and its additional modification with nanofillers only slightly improved wear resistance (by 9–12%);
- After reinforcing PEI with CCFs, its WR level decreased by ~13 times compared with that of the neat polymer, while subsequent modification with CNTs additionally reduced it by ~1.5 times, while such an improvement was much higher (~6 times) in the HNTs case.
To identify the reasons for the observed differences, an analysis of micrographs of the wear track surfaces was carried out for both the counterparts and the nanocomposites. In the neat PI case (Figure S1a), a film of oxidized polymeric debris was attached to the counterpart and some grooves, oriented along the sliding direction, were observed. The formation and adherence of the thick transfer layer on the counterpart was associated with the high WR level of the polymer. Regardless of the presence of CNTs and HNTs, loading with CCFs exerted a damaging effect on the steel counterpart surface, causing its abrasive wear (Figure S1d and Figure 4a,d). Thus, the presence of the nanofillers was not accompanied by the formation of a stable TF on the steel counterpart’s surface. Nevertheless, debris was observed on the wear track surfaces of the PI-based nanocomposites, which, however, did not protect the steel counterpart against the protrusion of CCFs above the surface (Figure S1e and Figure 4b,e). This fact was consistent with the rough (ragged) wear track profiles (Figure S1f and Figure 4c,f).

Figure 4.
Optical photographs of the steel counterpart surfaces (a,d), wear tracks (b,e) and wear track profiles (c,f) after the tribological tests of the PI/10CCF/1CNT (a–c) and PI/10CCF/1HNT (d–f) nanocomposites. Point tribological contact. White arrows denote sliding direction.
Figure 5 presents optical photographs of the wear tracks on the PEI-based nanocomposites and the counterparts. In the neat PEI case, a thick transfer film also adhered on the steel counterpart surface, with scratches oriented along the sliding direction (Figure S2a). Although the polymer surface topography was similar to that of neat PI (Figure S1b), the WR value was three times higher for neat PEI (Table 3; Figure S2c). Loading with CCFs deteriorated the tribological characteristics of the two-component PI- and PEI-based composites (Table 3), whose wear tracks were similar (Figure S2e) due to the abrasive damage of the steel counterpart (Figure S2d). Loading with CNTs did not change the wear pattern substantially (Figure 5a–c).
Figure 5.
Optical photographs of the steel counterpart surfaces (a,d), wear tracks (b,e) and wear track profiles (c,f) after the tribological tests of the PEI/10CCF/1CNT (a–c) and PEI/10CCF/1HNT (d–f) nanocomposites. Point tribological contact. White arrows denote sliding direction.
The abrasive wear of the steel counterpart was only excluded when loaded with HNTs (representing kaolinite double-layer packages) (Figure 5d). In this case, a stable (“compacted”) tribological layer was formed on the wear track surface of the PEI/10CCF/1HNT nanocomposite. Note that it is more correct to name it “the tribological layer” rather than “the tribological film” [13,43]. At the same time, there was no significant decrease in the CoF level.
According to the authors, it was precisely the facilitated possibility of straining the thin surface layer (representing mixture of PEI, CCFs and HNTs) smoothed by the rotated steel counterpart, which was gradually transformed into the tribological one, that protected the steel counterpart from the damaging effect of CCFs. On the other hand, loading with CNTs with the stable and chemically inert structure prevented the formation of such a TL.
Note that a thin (optically translucent) fixed TF was observed on the counterpart surface (Figure 5d) after the tribological test of the PEI/10CCF/1HNT nanocomposite. Its composition is analyzed below. However, judging by the rather high CoF value of ~0.24, it included both oxidized polymer and halloysite, which did not facilitate mutual sliding, as it took place after loading with PTFE microparticles, for example, see [44,45,46].
Thereby, HNTs were the only nanofiller that made it possible to exclude the metal counterpart wear and ensure low WR values at relatively high CoF levels.
Figure 6 shows Raman spectra taken on the wear track of the PEI/10CCF/1HNT nanocomposite as well as on the steel counterpart. The intensities are plotted in relative units. On the counterpart surface outside the TF, the spectrum was characterized by nearly zero intensity in the entire range of wavenumbers (Figure 6; curve 1, given as a reference). On the spectrum for the TF on the counterface (Figure 6a; curve 2), the intensity increased. Nevertheless, it was impossible to state more about the formation of individual pronounced sharp peaks; rather, there was an extended maximum in the range of 100–1670 cm−1. At the same time, peaks were distinguished in the regions of 1680–1450 and 900–≤600 cm−1 that could be attributed to nitrogen NO2, C–N and organosilicon compounds, respectively [47].
Figure 6.
The Raman spectra on the steel counterpart (a) and the PEI/10CCF/1HNT nanocomposite (b): (a) outside (1) and inside (2) the TF; (b) outside (1) and inside (2) the TL.
For the PEI/10CCF/1HNT nanocomposite, the Raman spectrum outside the wear track was characterized by the absence of arbitrarily pronounced peaks, although the intensity gradually increased as the wavenumber decreased (Figure 7b; curve 1). On the wear track surface, the spectrum pattern was expectedly similar to that in the TF (Figure 6a,b; curve 2), which proved their identical compositions. An increase in the overall intensity level for the spectrum on the wear track surface relative to that outside it (Figure 6b) indicated the development of structure-ordering processes during the formation of the TL, including due to tribo-chemical reactions.
Figure 7.
SEM micrographs of the steel counterpart surface (a) and the tribological layer on the PEI/10CCF/1HNT nanocomposite (b). Point tribological contact. Digits in blue squares denote Spectra numbers in Table 4.
An additional characterization of the structures of the TL and TF for the PEI/10CCF/1HNT nanocomposite was performed using SEM (Figure 7) in an EDS analysis (Table 4). In general, the obtained data supplemented the above results from the Raman spectra and confirmed the identity of the chemical compositions of the TF on the counterface and the TL on the nanocomposite’s wear track surface.
Table 4.
The results of EDS analysis on the wear track surfaces shown in Figure 7.
3.3. The Linear Tribological Contact
According to Table 5, the average CoF values of 0.44 for neat PI and 0.38 for neat PEI were 1.4 times higher than those for the point tribological contact (Table 3). Their reinforcement with CCFs reduced these levels by 1.6 times for the PI/10CCF composite and by 1.7 times for the PEI/10CCF one. Subsequent loading with CNTs and HNTs almost did not change the integral CoF values in all the cases studied.
Table 5.
The tribological characteristics of neat both PI and PEI, as well as the PI- and PEI-based nanocomposites.
Figure 8 presents the time dependence in the CoF values for the three-component PI- and PEI-based nanocomposites (for the two-component ones and the neat polymers, similar data are reported in the Supplementary Materials). For neat both PI and PEI, the CoF levels were consistently high (0.44 and 0.37) with a pronounced “high-frequency” oscillation after a short running-in stage (Figure S3a,b). Loading with CCFs (Figure S3c,d), as well as subsequent filling with CNTs and HNTs, reduced both the oscillation levels and CoF values down to 0.24 (Figure 8a–d). This fact was previously associated with the formation of tribological layers on the wear track surfaces [43]. However, the average CoF value was lower for the PEI-based nanocomposites than for the PI-based ones (~0.23 versus ~0.28, respectively) in the current study.
Figure 8.
The time dependence in the CoF values for the PI/10CCF/1CNT (a), PI/10CCF/1HNT (b), PEI/10CCF/1CNT (c) and PEI/10CCF/1HNT (d) nanocomposites. Linear tribological contact. P = 60 N, V = 0.3 m/s.
Note that reinforcing PEI with CCFs reduced the WR level by three times compared to the neat polymer (Table 5). However, subsequent filling with CNTs and HNTs further lowered the WR values by up to approximately five times. In contrast to the point tribological contact, the WR levels were close for the nanocomposites based on both polymer matrices. Nevertheless, the minimum values were typical after loading with HNTs (0.77 and 0.95 for the PI- and PEI-based nanocomposites, respectively).
Figure 9 and Figure 10 show optical photographs of the counterpart surfaces, the wear tracks and their profiles for the studied nanocomposites. For PI/10CCF/1HNT (Figure 9e) and PEI/10CCF/1HNT (Figure 10e), the tribological layers were characterized by the smoothest surfaces. The same nanocomposites exhibited the minimum WR values of 0.77 × 10−6 and 0.95 × 10−6 mm3/N·m, respectively. However, the difference in the WR levels did not exceed a couple of dozen of percent (Table 5) in contrast to the two-component nanocomposites.
Figure 9.
Optical photographs of the steel counterpart surfaces (a,d), wear tracks (b,e)and their profiles (c,f) after the tribological tests of the PI/10CCF/1CNT (a–c) and PI/10CCF/1HNT (d–f) nanocomposites. Linear tribological contact. P = 60 N, V = 0.3 m/s.
Figure 10.
Optical photographs of the steel counterpart surfaces (a,d), wear tracks (b,e) and their profiles (c,f) after the tribological tests of the PEI/10CCF/1CNT (a–c) and PEI/10CCF/1HNT (d–f) nanocomposites. Linear tribological contact. P = 60 N, V = 0.3 m/s.
Since it was impossible to reveal any peaks or maxima for neat PI in the Raman spectra, the authors analyzed the spectra for the PEI/10CCF/1HNT nanocomposite (Figure 11). Curve 1 did not possess any noticeable peaks or maxima outside the wear track, similar to the above data for the “ball-on-disk” scheme (Figure 6b). On the wear track (curve 2), there was a pronounced range of increased intensity in wavenumbers 1000–1700 cm−1. This could be attributed to the presence of nitrogen compounds NO2, C–N (1680–1450 cm−1) and organosilicon (1000, 900–1600, 2250 cm−1) compounds, as well as carboxylic acid anhydrides (1750 cm−1). Since such peaks were absent from the initial nanocomposite, the authors interpret their detection to the development of tribo-chemical reactions between elements of the polymer and HNTs.
Figure 11.
The Raman spectra outside (1) and inside the wear track (2) of the PEI/10CCF/1HNT nanocomposite. Linear tribological contact. P = 60 N, V = 0.3 m/s.
It should be noted that the experimentally registered spectra substantially changed from point to point, which indicated the compositional heterogeneity of the tribological layer. Most likely, the reason was related to the mechanism of its formation, including the development of both mixing, mass transfer and creep processes.
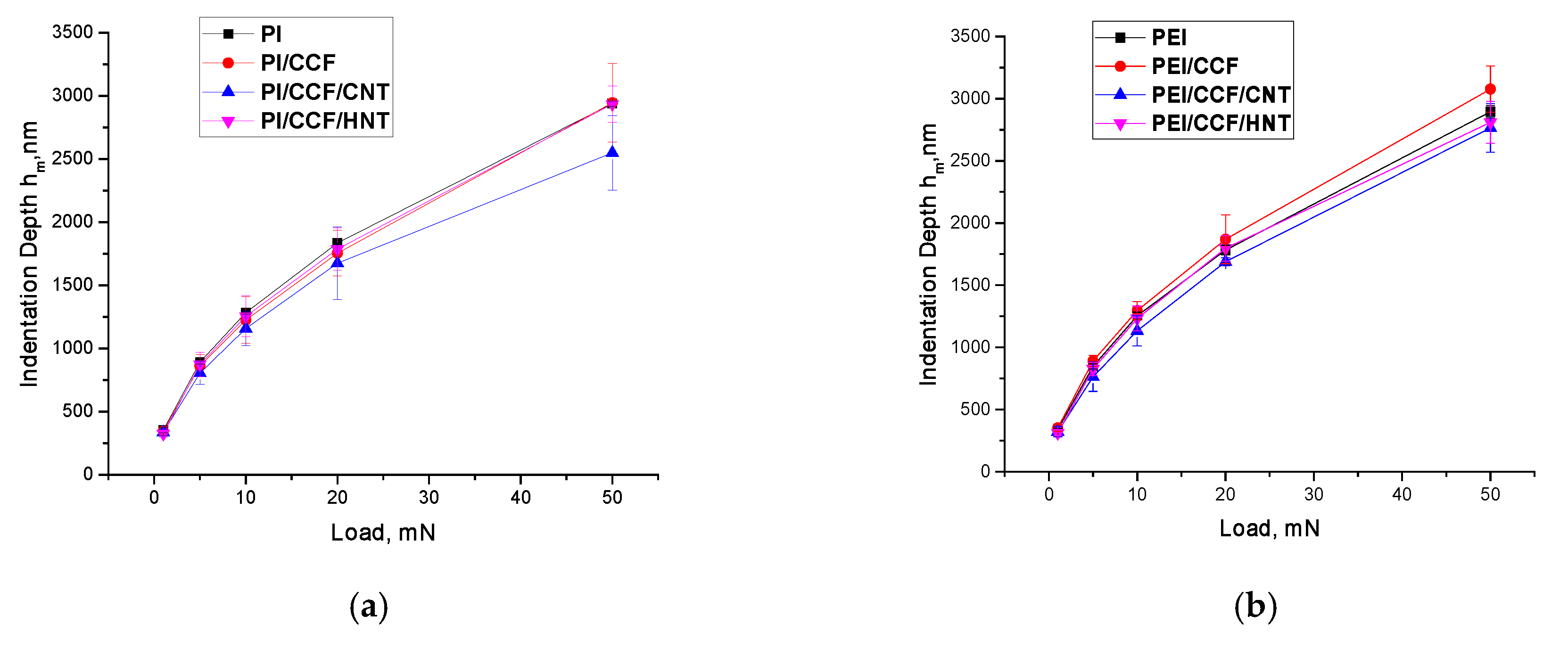
By analogy with the results presented in [43], a quantitative analysis of the tribological layers on the nanocomposite surfaces was carried out using the nanoindentation method (Figure 12). First of all, the penetration depth into the surface layers of all the studied materials did not exceed 300 nm at the minimum applied load of 1 mN, while it was ~3 μm at the maximum level of 50 mN (Figure 12a,b). The minimum value of elastic modulus of E~5 GPa was typical for both neat PI and PEI (Figure 12c,d). Nevertheless, no layer was detected on the surfaces with the different mechanical properties (which was consistent with the optical microscopy data shown in Figures S4b and S5b). After loading with CCFs, the average E level became higher over the entire range of the indentation depths (slightly above 6.0 GPa for the PI/10CCF nanocomposite and slightly below 6.0 GPa for the PEI/10CCF one).

Figure 12.
The nanoindentation data for the wear tracks on both neat PI and PEI, as well as on their nanocomposites. Linear tribological contact. P = 60 N, V = 0.3 m/s. Indentation depth (a,b) and Elastic modulus (c,d).
For the PI/10CCF/1CNT sample, the value of the E elastic modulus was maximal at a depth of 3 µm (Figure 13a). In the case of PEI/10CCF/1CNT, the E value decreased slightly in the range of 6.5–6.0 GPa with rising distance from the surface (Figure 12b). In fact, a layer with a higher elastic modulus was observed only on the nanocomposite loaded with HNTs. According to the authors, this is to be classified as a tribological layer (moreover, it was similar to that observed in the point tribological contact). However, it was thinner compared to those of the PI/10CCF/10Gr and PEI/10CCF/10Gr nanocomposites reported in [43] due to the lower (nano)filler content. For this particular reason, the modification of the structure and properties of the tribological layer manifested itself to a lesser extent.
Figure 13.
SEM micrographs of the wear track surfaces on the PI/10CCF/1CNT (a), PI/10CCF/1HNT (b), PEI/10CCF/1CNT (c) and PEI/10CCF/1HNT (d) nanocomposites. Digits in blue squares denote Spectra numbers in Table 6.
In addition, an EDS analysis of the wear track surfaces on the studied nanocomposites was carried out. Figure 13 shows SEM micrographs for the PI/10CCF/1CNT, PI/10CCF/1HNT, PEI/10CCF/1CNT and PEI/10CCF/1HNT nanocomposites, while the interpretation of their EDS analysis results is presented in Table 6.
Table 6.
The results of EDS analysis on the wear track surfaces shown in Figure 13.
It followed from Table 6 that there was a sufficient amount of iron in the tribological layer on the PI/10CCF/1CNT nanocomposite, which appeared as a result of the interaction of the polymer with the metal counterpart. At the same time, the iron content was decreased in the PI/10CCF/1HNT sample, but silicon was observed instead, which agreed with the Raman spectra presented above. On the PEI-based nanocomposites with the lower CoF values, in particular PEI/10CCF/1CNT, the iron content was negligible in the tribological layer. However, high content of both carbon and oxygen indicated the active development of tribo-chemical oxidation processes. Finally, the greatest amount of the chemical elements was in the tribological layer on the PEI/10CCF/1HNT nanocomposite with the most active nanofiller (Figure 13d and Figure 9).
4. Concept Verification and Discussion
The key result of the study should be considered the fact of identifying the tribological layer in the point tribological contact. Both PI and PEI, as representatives of high-performance polymers, are not anti-friction materials. Therefore, to improve wear resistance (as well as to minimize wearing of a counterface), they are conventionally loaded with solid lubricant fillers (in order to form a TF), as well as nanoparticles [48,49,50]. The latter, due to their small sizes, do not damage the steel counterpart, but somehow strengthen polymer composites. Under dry sliding friction, the chemical activity of the polymer matrix is extremely important, which determines the possibility of its interaction with the counterface material. This process, among other things, can be estimated using CoF values, as well as the development of tribo-chemical reactions between polymers and nanofiller particles. In doing so, of particular importance are the specific pressure in the tribological contact and the counterpart roughness.
In this research, a phenomenon of interest was the threefold higher WR level found for the neat PEI in tribological contact with the GCr15 steel counterpart. While the physical and mechanical properties of both polymer matrices were equal, the authors attributed this fact to the greater activity of PEI that contained, among other things, oxygen atoms. However, the difference in the molecular structure and activity of both matrices was further leveled out through loading with CCFs, which abrasively wore the steel counterface during sliding friction in the point tribological contact (even if the surface of the two-component nanocomposite was polished before testing). Thus, it was required to form a protective layer through additional loading with nanofillers. This was only possible for the PEI matrix by loading it with 1 wt.% HNTs, resulting in a CoF value of ~0.24. However, it was not a pronounced manifestation of the solid lubricant effect, when CoF levels of polymer nanocomposites could be ~0.1, for example, after loading with PTFE particles [48].
Note that only the loading of PEI with HNTs contributed to the reduction of wear resistance. Table 7 shows that the WR value for the PEI/1HNT nanocomposite was more than 500 times higher in contrast to the PEI/10CCF/1HNT one (in the point tribological contact). At the same time, the CoF level of the PEI/10CCF sample was at the same level as neat PEI.
Table 7.
The tribological properties of the PEI/1HNT nanocomposite. Point tribological contact.
According to Figure 14a, a rather high CoF oscillation was registered during the tribological test of the PEI/1HNT nanocomposite, which corresponded to the sample’s abrasive wearing (Figure 14c,d). In this case, a large amount of formed debris adhered to the steel counterpart surface as a thick transfer layer (Figure 14b), intensifying the wear process.
Figure 14.
The time dependence of the CoF values for the PEI/1HNT nanocomposite (a), optical photographs of the steel counterpart surfaces (b), the wear track (c) and the wear track profile (d) after the tribological tests of the PEI/1HNT (d) nanocomposite. Point tribological contact.
In the point tribological contact, the aspect of fixing a tribolayer (TL) on the wear track surface was substantially dependent on the loading conditions. Figure 6 shows the variation kinetics of the CoF value in the tribological tests of the PEI/10CCF/1HNT nanocomposite at the increased loads of 7.5 and 10 N, while Figure 6b–g present micrographs of the counterpart surfaces, as well as the wear tracks and their profiles on the nanocomposites. The integral results of the tribological tests are shown in Table 8. When the load was increased above 5 N, the CoF value rose to ~0.3 (Figure 15a) and its pronounced oscillation was observed at about half the test distance. Then, it was not manifested; however, the CoF value did not decrease as well. At the same time, the WR level increased by approximately three times compared to the result with a load of 5 N (Figure 15d,g; Table 8). The absence of CoF oscillations in the second half of the test distance was accompanied by the formation of a TL on the wear track surface (Figure 15c,f). Before starting this process, the steel counterpart surface had been damaged partly (Figure 15b,e). Therefore, the protective TL was formed from the very beginning of the tribological tests only at loads of ≤5 N.
Table 8.
The tribological properties of the PEI-based nanocomposites. Point tribological contact.

Figure 15.
The time dependence of CoF values for the PEI/10CCF/1HNT nanocomposite in the tribological tests at the loads of 5, 7.5 and 10 N and a sliding speed of 0.3 m/s (a). Optical micrographs of the steel counterpart surface (b,e), wear tracks (c,f) and their profiles (d,g). Loads were 7.5 (b–d) and 10 N (e–g). Point tribological contact.
Similar to the point tribological contact, as well as the recent experimental data reported by the authors of [43], another test was carried out in the linear tribological contact at more “severe” load–speed conditions (P = 180 N, V = 0.5 m/s). Its results are presented in Table 9. Compared to the data at P = 60 N and V = 0.3 m/s, the CoF level decreased from 0.23 to 0.19, while the WR value increased from 0.95 to 1.87. Note that such a WR increase was expected in this case.
Table 9.
The tribological properties of the PEI/10CCF/1CNT nanocomposite. Linear tribological contact.
A time dependence of the CoF values for the PEI/10CCF/1CNT nanocomposite is presented in Figure 16. It could be stated that the pattern of its variation clearly indicated the formation of a TL. The same was evidenced using a micrograph of the wear track surface (Figure 17b), which was quite similar to that of the “mild” tribological test conditions (Figure 10e). The wear track profile was quite smooth (Figure 17c), and the “polished” steel counterpart surface had a uniform shade (Figure 17a), which could indicate the formation of a thin transfer film, identical in composition to the tribological layer on the wear track surface.
Figure 16.
The time dependence in the CoF values for the PEI/10CCF/1CNT nanocomposite at P = 180 N, V = 0.5 m/s. Linear tribological contact.
Figure 17.
Micrographs of the steel counterpart surface (a), wear track (b) and its profile (c) after the tribological tests of the PEI/10CCF/1CNT nanocomposite. Linear tribological contact. P = 180 N, V = 0.5 m/s.
Note that the steel counterpart protection was achieved precisely by loading PEI with 1 wt.% HNTs. According to the literature, the degree of nanofilling could be varied over a wide range of 5–10 wt.% [12], but the nanofiller efficiency was determined by the possibility of forming and fixing a tribological layer or a transfer film. On the wear track surface of the PEI/10CCF/1HNT nanocomposite, a thin transfer film was not formed, but a mixing layer was, which could be classified as a tribological one. This fact was confirmed by its non-smooth surface according to the SEM micrograph (Figure 7b), as well as the relatively high CoF value of ~0.24. This phenomenon was not characteristic of the three-component PI-based nanocomposites, nor the PEI/10CCF/1CNT one. According to the authors, the reasons for this were the specifics of both the chemical structure and activity of this polymer (which was consistent with the high WR value of 390.2 × 10−6 mm3/N·m for neat PEI reported in Table 3).
The filling degree of 1 wt.% was quite rational for HNTs, since there were no agglomerations in the polymer matrix (Figure 2a). At the same time, at such a content, it was sufficient to modify the TL structure, which manifested itself in the form of the significant increase in the maxima on the Raman spectrum (Figure 6b). It was also extremely important that the variation kinetics of the CoF value were not characterized by oscillations (Figure 3b), which should ensure the long-term preservation of the tribological layer on the sliding surface of this nanocomposite.
It should be highlighted that HNTs were rather nanoparticles, according to the SEM data, in terms of their shapes and the formed nanocomposite structure. However, the combination of the layered crystalline structure (two-layer kaolinite packets displaced along the a and b axes; a = 5.14 Å, b = 8.9 Å, c = 7.21Å) and high activity enabled the formation and fixing of both the TL on the wear track surface and the TF of a similar composition on the steel counterface (Figure 6a).
In the linear tribological contact, the formation of the tribological layer was more expected, both due to the greater roughness of the counterpart and its long-term shear effect on the wear track of a small area. Although the integral temperatures, rising in this case, were rather low (Table 5), the polymer nanocomposite experienced the development of creep processes due to the sliding steel counterpart [51]. For this reason, the TLs were formed on the wear track surfaces of the nanocomposites with both types of the matrices and the fillers. As the authors showed previously (and as presented in the optical micrographs of the wear tracks in Figure 9b,e and Figure 10b,e), this was the result of the tribological layer reinforcement with CCFs, as well as polishing the surface with the sliding steel counterpart, which possessed an Ra roughness of ~0.2 µm. At the same time, the CoF values were comparable for both types of matrices (slightly lower for PI), while for the nanofillers, it was HNTs that provided greater wear resistance (Table 5).
Thus, even at the point tribological contact at the very low Ra roughness of the steel counterpart of 0.02 μm, the combination of the composition and the properties of the polymer matrix and the nanofiller made it possible to form the protective TL on the PEI/1CCF/1HNT nanocomposite’s surface. This report did not include the results of the tribological tests of ternary PEI-based nanocomposites with other types of nanoparticles (SiC, nanographite, MoS2, WS2), when wear of the steel counterpart was also observed in the point tribological contact. This highlights the unique combination of PEI and HNTs in terms of developing the effect of the TL formation. A future prospect of this study may be to search for the optimal combination of the content of reinforcing fibers and nanofillers in order to further reduce both CoF and WR levels (in fact, decrease wear at the running-in stage), as well as loading the fourth (solid lubricant) component for a greater reduction of the CoF values while maintaining the improved strength properties of such nanocomposites.
The previous paper by the authors [52] studied the tribological properties of PEEK/PTFE composites loaded with four types of nanoparticles: carbonous, metallic, metal-oxide and ceramic. It was shown that three types of the nanofillers ensured an increase in the wear resistance by up to 22 times. This effect was governed by the tribological film’s adherence to the steel counterface. The differences in efficiency levels of various nanoparticles were related to their ability to adhere the PTFE-containing transfer film.
In the current paper, the wear resistance of PEI/10CCF/1HNT nanocomposites was decreased by 70 times in comparison with the neat PEI. This time it was promoted by the tribological layer’s formation and adherence to the wear track surface of the polymer nanocomposite.
5. Conclusions
The tribological characteristics of the three-component nanocomposites based on amorphous PI and PEI thermoplastics reinforced with CCFs and simultaneously loaded with nanotubes of different nature (synthetic CNTs and natural HNTs) were studied in the point and linear tribological contacts at a room temperature of 23 °C. As a result, the following was shown:
- In the point metal–polymer tribological contact, the PEI/10CCF/1HNT nanocomposite was characterized by the maximum wear resistance because of the absence of microabrasive damage by the steel counterpart (Ra = 0.02 µm). The observed formation of the tribological layer on the PEI-based nanocomposite loaded with HNTs was associated with the higher activity of both the polymer matrix (containing oxygen atoms in the composition of its macromolecules) and HNTs. The latter, possessing a layered structure, had an ability to exfoliate, and the chemical structure facilitated the formation of new bonds, which was shown using Raman spectroscopy within the tribological layer. The indicated tribological layer could not be considered an anti-friction one, since it did not provide a significant reduction in the CoF value of ~0.24, but significantly improved wear resistance.
- In the linear tribological contact at the higher Ra counterpart roughness of 0.2 µm, the tribological layer formed on both PI- and PEI-based nanocomposites. According to the elastic modulus values assessed using the nanoindentation method, the presence of CNTs exerted a greater effect on the modification of the tribological layer properties, while the thin (about 1 μm) layer, possessing the higher elastic modulus than those in the greater depths, was revealed in the case of HNTs.
- Due to the combination of both higher manufacturability and lower cost, the PEI-based nanocomposite loaded with CCFs and HNTs is recommended for use in metal–polymer friction units, including operation under conditions of a lubricating medium deficiency in both point and linear tribological contacts.
Supplementary Materials
The following supporting information can be downloaded at https://www.mdpi.com/article/10.3390/app13063848/s1, Figure S1: Micrographs of the metal counterpart surfaces (a,d), the wear tracks (b,e) and their profiles (c,f) after the tribological tests of neat PI (a–c) and the PI/10CCF composite (d–f). The point tribological contact; Figure S2: Micrographs of the metal counterpart surfaces (a,d), the wear tracks (b,e) and their profiles (c,f) after the tribological tests of neat PEI (a–c) and the PEI/10CCF composite (d–f). The point tribological contact; Figure S3: The variation kinetics for the CoF values for neat PI (a) and PEI (b), as well as the PEI/10CCF (c) and PEI/10CCF (d) nanocomposites. The linear tribological contact. P = 60 N, V = 0.3 m/s.; Figure S4: Micrographs of the metal counterpart surfaces (a,d), the wear tracks (b,e) and their profiles (c,f) after the tribological tests of neat PI (a–c) and the PI/10CCF composite (d–f). The linear tribological contact. P = 60 N, V = 0.3 m/s.; Figure S5: Micrographs of the metal counterpart surfaces (a,d), the wear tracks (b,e) and their profiles (c,f) after the tribological tests of neat PEI (a–c) and the PEI/10CCF composite (d–f). The linear tribological contact. P = 60 N, V = 0.3 m/s.
Author Contributions
Conceptualization, S.V.P.; methodology, S.V.P. and D.G.B.; formal analysis, S.V.P., L.A.K. and D.G.B.; investigation, J.L., D.G.B., V.O.A., A.V.B. and A.R.S.; data curation, J.L., D.G.B.; writing—original draft preparation, S.V.P., L.A.K., F.B. and K.S.P.; writing—review and editing, S.V.P.; visualization, D.G.B.; supervision, S.V.P.; All authors have read and agreed to the published version of the manuscript.
Funding
This research was funded by the ISPMS SB RAS FWRW-2021-0010.
Institutional Review Board Statement
Not applicable.
Informed Consent Statement
Not applicable.
Data Availability Statement
The data presented in this study are available on request from the corresponding author. The data are not publicly available due to confidential disclosure reasons.
Acknowledgments
The SEM investigations were carried out using the equipment of the Share Use Centre “Nanotech” of the ISPMS SB RAS.
Conflicts of Interest
The authors declare no conflict of interest.
References
- Lee, E.; Lee, C.; Chun, Y.S.; Han, C.; Lim, D.S. Effect of hydrogen plasma-mediated surface modification of carbon fibers on the mechanical properties of carbon-fiber-reinforced polyetherimide composites. Compos. Part B 2017, 116, 451–458. [Google Scholar] [CrossRef]
- Su, F.; Zhang, S. Tribological properties of polyimide coatings filled with PTFE and surface-modified nano-Si3N4. J. Appl. Polym. Sci. 2014, 131, 40410. [Google Scholar] [CrossRef]
- Kumar, R.; Malaval, B.; Antonov, M.; Zhao, G. Performance of polyimide and PTFE based composites under sliding, erosive and high stress abrasive conditions. Tribol. Int. 2020, 147, 106282. [Google Scholar] [CrossRef]
- Ye, J.; Haidar, D.; Burris, D. Polymeric Solid Lubricant Transfer Films: Relating Quality to Wear Performance. In Self-Lubricating Composites, 1st ed.; Menezes, P., Rohatgi, P., Omrani, E., Eds.; Springer: Berlin/Heidelberg, Germany, 2018; pp. 155–180. [Google Scholar]
- Mu, L.; Zhu, J.; Fan, J.; Zhou, Z.; Shi, Y.; Feng, X.; Wang, H.; Lu, X. Self-Lubricating Polytetrafluoroethylene/Polyimide Blends Reinforced with Zinc Oxide Nanoparticles. J. Nanomater. 2015, 2015, 1–8. [Google Scholar] [CrossRef]
- Shi, Y.; Mu, L.; Feng, X.; Lu, X. The tribological behavior of nanometer and micrometer TiO2 particle-filled polytetrafluoroethylene/polyimide. Mater. Des. 2011, 32, 964–970. [Google Scholar] [CrossRef]
- Gheisari, R.; Polycarpou, A.A. Tribological performance of graphite-filled polyimide and PTFE composites in oil-lubricated three-body abrasive conditions. Wear 2019, 436, 203044. [Google Scholar] [CrossRef]
- Panin, S.V.; Luo, J.; Alexenko, V.O.; Buslovich, D.G.; Kornienko, L.A.; Bochkareva, S.A.; Panov, I.L. The effect of annealing of milled carbon fibers on the mechanical and tribological properties of solid-lubricant thermoplastic polyimide-based composites. Polym. Eng. Sci. 2020, 60, 1–14. [Google Scholar] [CrossRef]
- Chen, B.; Li, X.; Jia, Y.; Li, X.; Yang, J.; Yan, F.; Li, C. MoS2 nanosheets-decorated carbon fiber hybrid for improving the friction and wear properties of polyimide composite. Compos. Part A 2018, 109, 232–238. [Google Scholar] [CrossRef]
- Onodera, T.; Nunoshige, J.; Kawasaki, K.; Adachi, K.; Kurihara, K.; Kubo, M. Structure and Function of Transfer Film Formed from PTFE/PEEK Polymer Blend. J. Phys. Chem. C 2017, 121, 14589–14596. [Google Scholar] [CrossRef]
- Ye, J.; Burris, D.L.; Xie, T. A Review of Transfer Films and Their Role in Ultra-Low-Wear Sliding of Polymers. Lubricants 2016, 4, 4. [Google Scholar] [CrossRef]
- Friedrich, K.; Schlarb, A. (Eds.) Tribology of Polymeric Nanocomposites. In Friction and Wear of Bulk Materials and Coatings, 2nd ed.; Butterworth-Heinemann: Oxford, UK, 2013. [Google Scholar]
- Bahadur, S.; Schwartz, C. Chapter 2—The effect of nanoparticle fillers on transfer film formation and the tribological behavior of polymers. In Tribology of Polymeric Nanocomposites. Friction and Wear of Bulk Materials and Coatings, 2nd ed.; Friedrich, K., Schlarb, A., Eds.; Butterworth-Heinemann: Oxford, UK, 2013; pp. 23–48. [Google Scholar]
- Chang, L.; Zhang, Z.; Ye, L.; Friedrich, K. Chapter 3—Synergistic effects of nanoparticles and traditional tribofillers on sliding wear of polymeric hybrid composites. In Tribology of Polymeric Nanocomposites. Friction and Wear of Bulk Materials and Coatings, 2nd ed.; Friedrich, K., Schlarb, A., Eds.; Butterworth-Heinemann: Oxford, UK, 2013; pp. 49–89. [Google Scholar]
- Padhan, M.; Marathe, U.; Bijwe, J. Tribology of Poly(etherketone) composites based on nano-particles of solid lubricants. Compos. Part B. 2020, 201, 108323. [Google Scholar] [CrossRef]
- Wang, Q.; Pei, X. Chapter 4—The influence of nanoparticle fillers on the friction and wear behavior of polymer matrices. In Tribology of Polymeric Nanocomposites. Friction and Wear of Bulk Materials and Coatings, 2nd ed.; Friedrich, K., Schlarb, A., Eds.; Butterworth-Heinemann: Oxford, UK, 2013; pp. 91–118. [Google Scholar]
- Zhang, G.; Schlarb, A.K.; Tria, S.; Elkedim, O. Tensile and tribological behaviors of PEEK/nano-SiO2 composites compounded using a ball milling technique. Compos. Sci. Technol. 2008, 68, 3073–3080. [Google Scholar] [CrossRef]
- Wu, J.; Liu, H.; Wang, H.; Ma, W.; Wang, T.; Wang, Q. Effects of TiO2 decorated reduced graphene oxide on mechanical and tribological properties of thermosetting polyimide. Compos. Interfaces 2022, 29, 985–998. [Google Scholar] [CrossRef]
- Liu, H.; Jia, Y.; Wang, H.; Duan, C.; Wang, T.; Wang, Q. Ultra-high compression and wear resistant hybrid filled polyimide composite: Synergistic effect of Fe2O3 decorated RGO. J. Appl. Polym. Sci. 2020, 137, 1–12. [Google Scholar] [CrossRef]
- Qi, H.; Li, G.; Zhang, G.; Wang, T.; Wang, Q. Impact of counterpart materials and nanoparticles on the transfer film structures of polyimide composites. Mater. Des. 2016, 109, 367–377. [Google Scholar] [CrossRef]
- Nazarychev, V.M.; Vaganov, G.V.; Larin, S.V.; Didenko, A.L.; Elokhovskiy, V.Y.; Svetlichnyi, V.M.; Yudin, V.E.; Lyulin, S.V. Rheological and Mechanical Properties of Thermoplastic Crystallizable Polyimide-Based Nanocomposites Filled with Carbon Nanotubes: Computer Simulations and Experiments. Polymers 2022, 14, 3154. [Google Scholar] [CrossRef] [PubMed]
- Akinyi, C.; Iroh, J.O. Thermal Decomposition and Stability of Hybrid Graphene–Clay/Polyimide Nanocomposites. Polymers 2023, 15, 299. [Google Scholar] [CrossRef]
- Ogbonna, V.E.; Popoola, P.I.; Popoola, O.M.; Adeosun, S.O. A Review on Recent Advances on Improving Polyimide Matrix Nanocomposites for Mechanical, Thermal, and Tribological Applications: Challenges and Recommendations for Future Improvement. J. Thermoplast. Compos. Mater. 2021, 36, 1–30. [Google Scholar] [CrossRef]
- Ata, S.; Hayashi, Y.; Nguyen Thi, T.B.; Tomonoh, S.; Kawauchi, S.; Yamada, T.; Hata, K. Improving thermal durability and mechanical properties of poly (ether ether ketone) with single-walled carbon nanotubes. Polymer 2019, 176, 60–65. [Google Scholar] [CrossRef]
- Zhao, Y.; Qi, X.; Dong, Y.; Ma, J.; Zhang, Q.; Song, L.; Yang, Y.; Yang, Q. Mechanical, thermal and tribological properties of polyimide/nano-SiO2 composites synthesized using an in-situ polymerization. Tribol. Int. 2016, 103, 599–608. [Google Scholar] [CrossRef]
- Díez-Pascual, A.M.; Díez-Vicente, A.L. Nano-TiO2 reinforced PEEK/PEI blends as biomaterials for load-bearing implant applications. ACS Appl. Mater. Interfaces 2015, 7, 5561–5573. [Google Scholar] [CrossRef] [PubMed]
- Sivanand, R.; Gajendiran, V.; Alshamsi, H.A.; Raffik, R.; Sharma, A.; Pant, K. Carbon Based Nanomaterials Technology for Tribology Applications-A Review. In Proceedings of the Recent Advancements in Biomedical Engineering; Trans Tech Publications Ltd.: Zurich, Switzerland, 2022; Volume 117, pp. 9–16. [Google Scholar]
- Zhao, F.; Zhu, J.; Peng, T.; Liu, H.; Ge, S.; Xie, H.; Xie, L.; Jiang, C. Preparation of Functionalized Halloysite Reinforced Polyimide Composite Aerogels with Excellent Thermal Insulation Properties. Appl Clay Sci 2021, 211, 106200. [Google Scholar] [CrossRef]
- Chen, S.; Lu, X.; Wang, T.; Zhang, Z. Preparation and Characterization of Mechanically and Thermally Enhanced Polyimide/Reactive Halloysite Nanotubes Nanocomposites. J. Polym. Res. 2015, 22, 185. [Google Scholar] [CrossRef]
- Zhu, T.; Qian, C.; Zheng, W.; Bei, R.; Liu, S.; Chi, Z.; Chen, X.; Zhang, Y.; Xu, J. Modified Halloysite Nanotube Filled Polyimide Composites for Film Capacitors: High Dielectric Constant, Low Dielectric Loss and Excellent Heat Resistance. RSC Adv. 2018, 8, 10522–10531. [Google Scholar] [CrossRef] [PubMed]
- Song, K.; Rubner, M.F.; Cohen, R.E.; Askar, K.A. Polymer/Halloysite Nanotubes Composites: Mechanical Robustness and Optical Transmittance. MRS Adv. 2017, 2, 27–32. [Google Scholar] [CrossRef]
- Panin, S.V.; Luo, J.; Buslovich, D.G.; Alexenko, V.O.; Kornienko, L.A.; Bochkareva, S.A.; Byakov, A.V. Experimental—FEM Study on Effect of Tribological Load Conditions on Wear Resistance of Three-Component High-Strength Solid-Lubricant PI-Based Composites. Polymers 2021, 13, 2837. [Google Scholar] [CrossRef]
- Panin, S.V.; Luo, J.; Buslovich, D.G.; Alexenko, V.O.; Berto, F.; Kornienko, L.A. Effect of Transfer Film on Tribological Properties of Anti-Friction PEI- and PI-Based Composites at Elevated Temperatures. Polymers 2022, 14, 1215. [Google Scholar] [CrossRef]
- Duan, C.; He, R.; Li, S.; Shao, M.; Yang, R.; Tao, L.; Wang, T.; Wang, Q. Exploring the friction and wear behaviors of Ag-Mo hybrid modified thermosetting polyimide composites at high temperature. Friction 2019, 8, 893–904. [Google Scholar] [CrossRef]
- Xian, G.; Zhang, Z.; Friedrich, K. Tribological properties of micro- and nanoparticles-filled poly(etherimide) composites. J. Appl. Polym. Sci. 2006, 101, 1678–1686. [Google Scholar] [CrossRef]
- Duan, C.; Yuan, D.; Yang, Z.; Li, S.; Tao, L.; Wang, Q.; Wang, T. High wear-resistant performance of thermosetting polyimide reinforced by graphitic carbon nitride (g-C3N4) under high temperature. Compos. Part A 2018, 113, 200–208. [Google Scholar] [CrossRef]
- George, S.C.; Haponiuk, J.T.; Thomas, S.; Reghunath, R.; Sarath, P.S. (Eds.) Tribology of Polymers, Polymer Composites, and Polymer Nanocomposites, 1st ed.; Elsevier: Amsterdam, The Netherlands, 2023; ISBN 9780323907484. [Google Scholar]
- Milosevic, M.; Valášek, P.; Ruggiero, A. Tribology of natural fibers composite materials: An overview. Lubricants 2020, 8, 42. [Google Scholar] [CrossRef]
- Kapoor, A. Wear by plastic ratchetting. Wear 1997, 212, 119–130. [Google Scholar] [CrossRef]
- Kapoor, A.; Johnson, K.L. Plastic ratchetting as a mechanism of metallic wear. Proc. R. Soc. A 1994, 445, 367–384. [Google Scholar]
- Franklin, F.J.; Kapoor, A. Effect of adhesion on wear by plastic ratchetting. Tribol. Ser. 2000, 38, 105–114. [Google Scholar]
- Boher, C.; Barrau, O.; Gras, R.; Rezai-Aria, F. A wear model based on cumulative cyclic plastic straining. Wear 2009, 267, 1087–1094. [Google Scholar] [CrossRef]
- Panin, S.V.; Luo, J.; Buslovich, D.G.; Alexenko, V.O.; Kornienko, L.A.; Byakov, A.V.; Paimushin, V.N.; Shugurov, A.R. Role of Testing Conditions in Formation of Tribological Layers at Line Contacts of Antifriction CF-Reinforced PI- and PEI-Based Composites. Molecules 2022, 27, 6376. [Google Scholar] [CrossRef]
- Burris, D.L.; Sawyer, W.G. A low friction and ultra low wear rate PEEK/PTFE composite. Wear 2006, 261, 410–418. [Google Scholar] [CrossRef]
- Pedroso, J.M.; Enger, M.; Bandeira, P.; Magalhães, F.D. Comparative Study of Friction and Wear Performance of PEK, PEEK and PEKK Binders in Tribological Coatings. Polymers 2022, 14, 4008. [Google Scholar] [CrossRef]
- Schroeder, R.; Torres, F.W.; Binder, C.; Klein, A.N.; De Mello, J.D.B. Failure mode in sliding wear of PEEK based composites. Wear 2013, 301, 717–726. [Google Scholar] [CrossRef]
- Pretsch, E.; Bühlmann, P.; Badertscher, M. Structure Determination of Organic Compounds; Springer: Berlin/Heidelberg, Germany, 2020; Volume 167, ISBN 978-3-662-62438-8. [Google Scholar]
- Molazemhosseini, A.; Tourani, H.; Khavandi, A.; Eftekhari Yekta, B. Tribological performance of PEEK based hybrid composites reinforced with short carbon fibers and nano-silica. Wear 2013, 303, 397–404. [Google Scholar] [CrossRef]
- Rodriguez, V.; Sukumaran, J.; Schlarb, A.K.; De Baets, P. Influence of solid lubricants on tribological properties of polyetheretherketone (PEEK). Tribol. Int. 2016, 103, 45–57. [Google Scholar] [CrossRef]
- Guo, L.; Zhang, G.; Wang, D.; Zhao, F.; Wang, T.; Wang, Q. Significance of combined functional nanoparticles for enhancing tribological performance of PEEK reinforced with carbon fibers. Compos. Part A Appl. Sci. Manuf. 2017, 102, 400–413. [Google Scholar] [CrossRef]
- Panin, S.V.; Kornienko, L.A.; Alexenko, V.O.; Buslovich, D.G.; Bochkareva, S.A.; Lyukshin, B.A. Increasing wear resistance of UHMWPE by loading enforcing carbon fibers: Effect of irreversible and elastic deformation, friction heating, and filler size. Materials 2020, 13, 338. [Google Scholar] [CrossRef]
- Panin, S.V.; Nguyen, D.A.; Buslovich, D.G.; Alexenko, V.O.; Pervikov, A.V.; Kornienko, L.A.; Berto, F. Effect of Various Type of Nanoparticles on Mechanical and Tribological Properties of Wear-Resistant PEEK + PTFE-Based Composites. Materials 2021, 14, 1113. [Google Scholar] [CrossRef] [PubMed]
Disclaimer/Publisher’s Note: The statements, opinions and data contained in all publications are solely those of the individual author(s) and contributor(s) and not of MDPI and/or the editor(s). MDPI and/or the editor(s) disclaim responsibility for any injury to people or property resulting from any ideas, methods, instructions or products referred to in the content. |
© 2023 by the authors. Licensee MDPI, Basel, Switzerland. This article is an open access article distributed under the terms and conditions of the Creative Commons Attribution (CC BY) license (https://creativecommons.org/licenses/by/4.0/).



















