Next Article in Journal
A Novel Object Detection Method of Pointer Meter Based on Improved YOLOv4-Tiny
Next Article in Special Issue
Kinetic Photovoltaic Facade System Based on a Parametric Design for Application in Signal Box Buildings in Switzerland
Previous Article in Journal
Operation Optimization of Medium-Depth Ground Source Heat Pump (MD-GSHP) Systems Based on the Improved Particle Swarm Algorithm
Previous Article in Special Issue
Sustainable Operation of Active Distribution Networks
 
 
Font Type:
Arial Georgia Verdana
Font Size:
Aa Aa Aa
Line Spacing:
Column Width:
Background:
Article

Methodology to Identify and Prioritise the Sustainability Aspects to Be Considered in the Design of Brazilian Healthcare Buildings

by
Marília Costa
,
Maria de Fátima Castro
and
Ricardo Mateus
*
University of Minho, ISISE, ARISE, Department of Civil Engineering, 4800-058 Guimarães, Portugal
*
Author to whom correspondence should be addressed.
Appl. Sci. 2023, 13(6), 3807; https://doi.org/10.3390/app13063807
Submission received: 16 January 2023 / Revised: 9 March 2023 / Accepted: 12 March 2023 / Published: 16 March 2023

Abstract

The evidence of climate change has increased the necessity for actions to avoid severe consequences for future generations. Recognising the benefits of sustainable and energy-efficient buildings has led to the development of several methods to estimate and rate the performance of building. Healthcare buildings are functional and dynamic structures that support their occupants’ healing processes and comfort. They have a significant role in society and specific goals in merging their strategic planning requirements (cost reduction, regulatory compliance, social responsibility, and performance improvement) with Sustainable Development Goals. Therefore, this paper addresses critical issues regarding the sustainability of the Brazilian healthcare sector by analysing the suitability of the most common international healthcare building sustainability assessment methods to the specific social, economic, and environmental contexts of the Brazilian healthcare sector. The paper analyses the HBSAtool-PT, a sustainability assessment method developed for this type of building, and identifies the possibilities for adapting to the Brazilian context. As a result, this research proposes a framework to assess the sustainability of healthcare buildings in Brazil. In the framework’s definition, a survey was conducted to determine the opinion of building stakeholders regarding the importance of indicators. A weighing system for the proposed sustainability indicators was developed using the AHP method.

1. Introduction

The building industry is one of the largest sectors involving people (services) and materials. It significantly impacts the environment, economy, and society because it consumes large amounts of natural resources [1]. As reported by the World Business Council for Sustainable Development, the building sector accounts for about 40% of total energy use, 30% of greenhouse gas (GHG) emissions, 17% of freshwater consumption, and 25% of harvested wood and is responsible for the production of 45% to 65% of disposed waste in landfills [2].
Consequently, mitigating the environmental impacts of the building sector has become a significant issue, and projections for the future global population and economic growth predict a steady increase in the worldwide energy demand [2]. Energy use in the built environment is the main factor causing climate change. Therefore, promoting energy-efficient buildings is crucial to ensure a more sustainable future [3].
According to Happio and Viietaniemi [4], numerous building sustainability assessment (BSA) methods have been developed over the last decades to evaluate building performance and to analyse the buildings’ life cycle impacts on the environment, economy, public health, and well-being in cities. These methods are based on a list of indicators organised in different sustainability dimensions.
BSA methods are tools for evaluating building performance and supporting sustainable design. Therefore, they are essential to support decision making towards implementing sustainable principles in existing and new buildings. It allows us to obtain a sustainability rate after a detailed report [5] and serves as a management tool or guideline to address sustainability targets during the design, construction, and operation phases. Considering the effect these methods can have in fostering the implementation of sustainable buildings, some governments offer tax incentives for buildings that fulfil certain sustainability rating thresholds [6].
Globally, there are different BSA methods developed by private and public institutions. The approaches share the general aim of promoting sustainable buildings and are based on a similar list of core sustainability indicators. Still, they differ in adjusting to the specific territory’s environmental, economic, and sociocultural contexts [6].
Healthcare buildings are very complex due to the different types of users, the dynamic demand of spaces, the integration of constantly evolving technologies and systems and their social contribution to the community. Incorporating sustainable development criteria in the design strategy is considered the main factor for the success of sustainable hospital projects. Other essential factors are promoting sustainable initiatives, measuring risks and impacts (goals, metrics, monitoring, and evaluation), management programs (water and energy efficiency), low-impact maintenance products, actions towards transparency, educational programs, communication, and response teams.
In Brazil, the healthcare sector is starting to look at sustainability as an opportunity, and efforts are being made to define the sustainability indicators for different healthcare buildings and locations. One of the limitations of developing a method to support the practical implementation of sustainability goals in the Brazilian healthcare sector is the need for comprehensive information about its performance. In addition, the Brazilian territory is very vast. Therefore, diverse economic, environmental, and social goals make it challenging to develop an effective method to be applied nationwide [7]. The analysis and interpretation of the current situation in Brazil are crucial in developing a sustainability assessment framework that fits the market needs and stakeholders’ expectations.

1.1. Challenges for Healthcare Buildings in Brazil

Healthcare is a water- and energy-intensive service, mainly due to the continuous operations that require, among others, light, heat, intensive ventilation, sterilisation, and food preparation. It is responsible for generating significant waste and producing polluting emissions. The built environment accounts for about 40% of all CO2 emissions, and hospitals alone account for about 4% of the total emissions of the built environment. Therefore, it is necessary that hospitals’ stakeholders feel the urgency to undertake actions to reduce these greenhouse gas emissions. CO2 emissions are prone to cause respiratory diseases and other illnesses. Thus, hospitals are undermining the communities’ health [8]. Since hospitals provide patient care for people within a community, they can be characterised as inherent to social responsibility by taking care of patients as their core business. In sharp contrast to this, hospitals are among the most significant contributors to climate change [9].
Brazil’s health sector has undergone many changes in the last few years. Concerns regarding sustainability are becoming more evident, mainly because of society’s awareness of the growing environmental issues and how the poor quality of indoor environments affects the health and comfort of patients and employees. Additionally, constant technological changes and the need to incorporate them into hospitals lead to a plurality of design issues that must be considered, such as building flexibility and adaptability.
The need to apply modern concepts in hospital management influences the development of suitable techniques and tools that can support decision making towards integrating sustainability principles that contribute to economic growth, social satisfaction, and the preservation of the natural environment. The design professional can improve the healthcare environment, from being cold, sober, and intimidating to a humanised, ludic, and secure space, increasing the healing ambience of the patient and reducing the hospitalisation period. In addition, designing rest areas enables a better working environment for the employees, resulting in better performance and safety. Besides this set of concerns, merging all specific technical requirements with sustainable development goals is necessary.

1.2. Healthcare Building Sustainability Assessment Methods and Their Application in the Brazilian Context

With regard to implementing the sustainable healthcare building concept, several assessment methods define the criteria that can guide professionals to meet the standards and develop high-performance solutions. Nevertheless, some issues still need to be considered for better accuracy. For example, comprehensive databases that gather life cycle information about buildings and materials are required, as are more and better correlations between construction and operational costs. In the construction sector, traditional and outdated processes lead to multiple construction processes and considerable heterogeneity of the final products [10].
According to Bellen [11], comparing existing methods allows for identifying the main advantages and limitations of the different existing evaluation processes. Comparative analysis will enable groups with various objectives to choose the most appropriate method for achieving their goals. Many countries either have or are developing sustainability assessment methods, which makes the need for coordination increasingly relevant. In Brazil, the assessment tool for healthcare buildings is mainly LEED, but there needs to be a prior adaptation to the country’s specific context.

2. Objectives

Underestimated decisions at the early design stage are often tricky and expensive to remediate during the operation stage. In addition, the environmental impact and cost can be massive for large-scale projects, such as healthcare buildings, if they are not completed well.
This paper aims to identify and analyse the sustainability assessment methods for healthcare buildings, studying their suitability and the need to be adapted to the Brazilian context. This analysis focuses on assessing the potentiality of adaptation of the Portuguese method for healthcare buildings (HSBAtool-PT) to the Brazilian context. The objective is to define a list of sustainability criteria, adapted to the Brazilian environmental, societal, and economic contexts that can support decision making in the design of more sustainable healthcare buildings in Brazilian. Additionally, it will propose a system of weights for the defined list of indicators, based on the opinion of different Brazilian stakeholders of the healthcare sector. The proposed system of weight enables the identification, from the preliminary design stages, of the priorities to consider in the sustainable design of healthcare buildings. In addition, it allows comparing the sustainability priorities of different countries in the context of these type of buildings.
The HBSAtool-PT, LEED v4 for Building Design and Construction, and BREEAM International New Constructions 2016 were the BSA methods analysed to evaluate the potentialities and possibilities for adaptation. The lists of sustainability indicators were studied comparatively, along with the weights and assessment methods used.
A list of indicators was defined based on the abovementioned assessment methods and validated for the Brazilian context, considering the opinion of a group of experts. Afterwards, the sustainability priorities (weighting system) of the proposed list of indicators were outlined using a survey involving the main stakeholders on the design, management, and maintenance of healthcare buildings. This list would define the priorities of a sustainable healthcare building in Brazil.

3. Methodology

This study seeks to analyse different sustainability assessment methods for healthcare buildings to highlight the key similarities and differences and propose a list of sustainability indicators and a system of weights for use in the Brazilian context. Two international methods have been selected to attain these goals: BREEAM International New Constructions 2016 and LEED v4 for Building Design and Construction, the leading systems operated by well-known organisations (BRE and USGBC) with a proven record in the domain of sustainability development. A method developed for a specific country, i.e., HBSAtool-PT, is also considered.

3.1. Comparative Matrix of Healthcare Assessment Methods

The comparative analysis aims at contrasting the selected rating systems for assessing the performance of healthcare buildings. Considering the criteria requirements and guidelines of the different methods used, it is possible to identify, categorise, and standardise the critical building performance [12] criteria that will influence the decision-making process the most.
Analysing the categories of the considered HBSA methods, it is possible to conclude that there are, on one hand, different categories referring to the same sustainability criteria and, on the other, categories with similar denominations that assess completely different criteria. Therefore, thirteen core sustainability criteria were identified, and the categories of the different methods analysed were grouped in this framework. According to this organisation, the categories most commonly assessed within the analysed methods are Energy (21%) and Indoor Environmental Quality (17%). Other important categories are Materials and Resources (13%), followed by Site Quality, Management, Water, Waste, and Transport and Pollution, which are assessed by the majority of the methods. Nevertheless, there are some categories only considered by a few or one of the BSA methods. For example, outdoor quality and the economy are two categories that are only covered by the HBSAtool-PT method.
The HBSAtool-PT method was designed specifically for Portuguese healthcare buildings, considering the national context, European sustainability standards and policies, and other existing and recognised sustainability methods for this type of building [13]. It can evaluate new, existing, and renovated buildings, allowing for future adaptations to new guidelines, standards, or national laws. Thus, it aims to be practical, easily understandable, and flexible to be adapted. This is important to promote sustainable development, construction, operation, and maintenance. The structure of the method is based on 52 indicators, divided into 22 categories, which are integrated into five areas: Environmental; Sociocultural and functional; Economic; Technical; and Site. The sustainability label delivered communicates the performance at the level of each sustainability area and category, allowing a better comparison between different design scenarios.
The proposed research methodology is based on the exact steps of development of the HBSA method for the specific context of Portugal but considers the Brazilian context. The following research steps are considered:
  • To define the preliminary list of sustainability indicators based on internationally recognised HBSA methods and international goals for sustainability;
  • To pre-validate the preliminary list of indicators through interviews with the most recognised experts and policymakers in the context of the Brazilian healthcare sector;
  • To propose the final list of indicators based on a survey (Appendix A) distributed to the main Brazilian healthcare buildings’ stakeholders;
  • To develop the system of weights of the proposed list of indicators by applying the Analytical Hierarchy Process (AHP) method.

3.2. Development of the List of Indicators and Questionnaire

The definition of the initial set of sustainable indicators comprehended all criteria identified in existing methods for the healthcare context. It was based on the literature and the analysis of the following data:
  • Two most used assessment methods at the international level to assess the sustainability of healthcare buildings, namely: BREEAM International New Constructions 2016 [14] and LEED v4 for Building Design and Construction [15];
  • The list of areas, categories, and indicators of the HBSAtool-PT method [16];
  • The Global Agenda for Green and Healthy Hospitals objectives [17].
The initial set of indicators included all different environmental, social, economic, technical, and site indicators identified in the BSA methods mentioned before [18,19]. The methodology was similar to the one used by other authors to develop BSA methods for specific contexts [20,21].
Afterwards, three experts (well-known Brazilian academics and practitioners in sustainability and healthcare buildings) were invited to discuss the results and validate the preliminary list of sustainable categories and indicators. These experts include an ex-president from the Brazilian Association for the Development of Hospital Buildings; a member of the International Academy for Design and Health–South American Chapter; and a professional consultant in building sustainability assessment.
The discussions were carried out through online interviews, which allowed the definition of the list of sustainability categories and related indicators. Some were highlighted and considered a priority according to the Brazilian context. Following the experts’ recommendations, one indicator was added to the preliminary list of indicators (Table 1).
Experts recommended adding the corruption avoidance plan to the preliminary list of indicators because of its relation to the political context. It is necessary to understand how each healthcare institution implements anti-corruption measures.
On the other hand, the criteria of olfactory comfort are used in the Haute Qualité Environnementale (HQE) and sub-targeted into objectives, such as the provision of efficient ventilation, the minimisation of olfactory discomfort, and the improvement of indoor air quality. These items are already embedded into the User’s health and comfort category. Therefore, they will not be considered as indicators to be added.
The Contingency Plan is another item that would not be interesting to include in the list presented because it is only used in odd circumstances and is challenging to measure. In addition, Brazil has no occurrences of natural disasters (e.g., hurricanes, earthquakes, and tsunamis). The Universal Design was not considered because the research is based on the added value, meaning that only the improvements compared to the standard Brazilian design practices will be considered. Universal Design is already mandatory in the design of healthcare buildings (according to, e.g., ANVISA–RDC 50/2002 [22] and ABNT NBR 9050 [23]).
It was also suggested to merge two items into Space flexibility and Space adaptability. Still, it describes the changes that can happen during the period of a day, using furniture elements, doors, panels, and curtains, while the other describes the adaptive capacity of the room in case of renovation.
As a result of the analysis of the existing assessment methods and the expert’s opinions, the draft list of indicators (Table 2) was used to develop the survey to produce the final list of indicators. The draft list presents fifty-seven indicators, organised into twenty-three categories: C1 Environmental life cycle impacts assessment; C2 Energy; C3 Soil use and biodiversity; C4 Materials and Solid Waste; C5 Water; C6 Users’ health and Comfort; C7 Controllability by the user; C8 Landscaping; C9 Passive design; C10 Mobility plan; C11 Space flexibility and adaptability; C12 Life cycle costs; C13 Local economy; C14 Corruption avoidance plan; C15 Environmental management systems; C16 Technical systems; C17 Security; C18 Durability; C19 Awareness and education for sustainability; C20 Skills in sustainability; C21 Local community; C22 Cultural value; and C23 Conveniences. This list was included in the survey (Appendix A) conducted to healthcare buildings stakeholders.
During the survey, a descriptive methodology was used. Descriptive research involves gathering data that describe events which are then organised, recorded, and analysed. The survey consisted of fifty-seven questions, organised into six sections. The first section was a cover letter that explained the research goals and stated the privacy policies of the collected data. The following section allowed for identifying how involved in the life cycle of a healthcare building the stakeholder was, and the remaining sections recognised the relative importance of each indicator according to each stakeholder’s perspective. Respondents were asked to give their opinion regarding the matter of each indicator, using a Likert scale organised into five levels of importance: not at all important (1); slightly important (2); moderately important (3); very important (4); and extremely important (5).
In the final part of the questionnaire, the respondents were asked to provide their opinion on the list of indicators by stating if, according to their experience, it was necessary or not to amend the list of sustainability indicators.

3.3. Sampling Process

The survey was intended for professionals developing a professional activity in the healthcare sector or sustainable development. It included healthcare building designers, managers, and stakeholders with sustainable development experience. To achieve broad participation, an internet-based questionnaire was sent by e-mail to the stakeholders with a cover letter describing the study’s aims and stating the data privacy issues.
The overall sample (Table 3) consisted of fifty-five respondents, 40% of which were architects, followed by civil engineers (38%), hospital managers (18%), and sustainable construction consultants or experts (4%).
Figure 1 presents the geographic distribution of the Brazilian locations where the stakeholders typically develop their activity. As expected, the majority of people who answered are from the Southeast region of Brazil (59%), where most hospitals are concentrated, followed by the South (15%) and Northeast (11%). A further 9% of the participants develop activities all over the country.

3.4. Development of the Weighting System

Panel weighing is considered the most accurate method for defining the weighting system of a BSA method [24]. The more prominent and representative the panel, the more precise the result is. In this study, the Analytical Hierarchy Process (AHP) panellist’s method was applied to evaluate the relative weight of each indicator. The AHP is an organisational and analytical mathematical method for complex priorities and decisions. It was developed in the 1970s and prioritised human decision making in different fields such as policies, business, project selection, healthcare, and education [25].
The AHP is a simple technique that can translate the decision-makers’ qualitative and quantitative data evaluations into multi-criteria rankings. In addition, the AHP includes a valuable tool for checking the consistency of the decision-makers’ evaluations, thus reducing bias in the decision-making process [26].
The AHP involves the following steps to hierarchise the priorities of a project [25]:
  • Modelling the problem as a hierarchy containing the goal decision, alternatives for reaching it, and criteria for evaluating;
  • Establishing priorities among the elements of the hierarchy by making a series of judgments based on pairwise comparisons between them;
  • Synthesising these judgments to yield a set of overall priorities for the hierarchy;
  • Checking consistency;
  • Achieve a final decision based on the results of this process.
The professionals were asked to provide their opinion on the importance of the five sustainability areas (environmental, sociocultural, functional, economy, technical, and site) in the overall building sustainability level. Inside each sustainability area, the respondents ranked the importance of each indicator using the five-point Likert scale presented before. Based on the recommendations of the experts interviewed. On the methodology used in other similar studies, e.g., Mateus and Bragança [18], for the practical use of the method under development, the final list of indicators should be as compact as possible while including the most critical indicators. Therefore, the last step was to reduce the list of indicators by removing those that, according to the results, had a shallow contribution to overall sustainability. At this level, it was decided to remove the indicators with a weight lower than 0.2% from the list. The reasoning for this cut-off rule comes from analysing the abovementioned BSA methods. The lowest weight in BREEAM is 0.4%, 0.9% in LEED, and 0.2% in HBSATool-PT.
Therefore, a list considering only the indicators that contributed 0.2% or more to the overall sustainability level was proposed, which meant that the list presented in Table 2 was reduced to 48 indicators. In this process, the following indicators were excluded from the final list: Layout optimisation; Reuse of previously built or contaminated areas; Use of native plants; Heat Island effect; Visual comfort; Commissioning; Proper selection of furniture; Education of occupants; and Satisfaction surveys. Using the AHP method again, the weight of the final list of indicators was calculated.

4. Presentation of Results and Discussion

After removing the indicators with a weight below the cut-off boundary, the weights of the remaining indicators, categories, and sustainability areas were recalculated using the AHP method.
Figure 2 presents the relative importance of the sustainability areas and shows that according to the professionals’ opinion, the Environmental (A1), Sociocultural and Functional (A2), and Technical (A4) areas have similar relative importance. Subsequently, the Economy (A3) area’s importance was 17%, and Site (A5) was appointed as the least relevant, corresponding to a weight of 8%.
Analysing the final weights of the indicators, the “technical systems” and “corruption avoidance plan” were both ranked as the most important ones in the “economic” and “technical” sustainability areas, respectively, accounting for almost about 10% of the total weight in each category. The third most prioritised category in sustainable healthcare buildings was water, with potable water consumption and treatment of contaminated effluents as the most critical indicators.
The “Sociocultural and functional” area was ranked the third most important in healthcare buildings. The most important categories of this area are “mobility plan” and “controllability by the user”, both with a weight of 33% inside the area. Furthermore, the fourth-ranked category was “environmental life cycle impacts assessment”, closely followed by the “life cycle costs” category. The “Operational costs within the life cycle costs” category scored highest. Finally, in the “Sociocultural and functional” area, the less important categories are “landscaping” and “passive design”.
The categories proposed for the “Environmental” area were defined to allow, in a holistic way, the assessment of the most common life-cycle environmental impacts according to national priorities. The “Social and Functional” area presented a list of indicators divided into six categories, including the critical aspects of building occupants’ health and comfort, considering the importance of mobility and space design quality.
The “Economic” area was defined to consider the most relevant building life-cycle costs and the impact on the local economy. On the other hand, the “Technical” area reflected issues about security, durability, management of systems and their efficiency and the occupants’ education and awareness regarding sustainability concerns. In contrast, the “Site” areas’ main issues regarded community and cultural values.
The proposed list of sustainability areas, categories and indicators is presented in Table 4, together with the weights assigned by respondents to each sustainability category and area.
Analysing Table 4, it is essential to highlight that the categories’ weight was equal to that of the indicator in categories with only one indicator. Analysing each category made it possible to understand the most important Indicators according to the respondents’ opinions.
In Category C2 (Energy), the weight of the two first Indicators (I2—Primary energy consumption; I3—Onsite energy production) was the same, whereas Indicator I4 (Minimum energy performance) had the lowest weight. In Category C3 (Soil use and biodiversity), the most important was I6 (Ecological protection of the site), closely followed by I7 (Rehabilitation of the surrounding). In Category C4 (Materials and Solid Waste), I10 (Waste separation and storage) achieved the highest weight, and the other three indicators had a balanced weight. In Category C5 (Water), I12 (Potable water consumption) and I14 (Treatment of contaminated effluents) were the most important.
At Category C6 (User’s health and comfort), I20 (Indoor air quality) was disclosed as a priority, and the other three indicators had a balanced weight. The two indicators had the same weight in Category C7 (Controllability by the user). In Category C9 (Passive design), I24 (Layout and Orientation) was considered more significant than I25 (Passive Systems). In Category C11 (Space flexibility and adaptability), the most important was I27 (Availability and accessibility to social areas), closely followed by I28 (Space optimisation).
Within Category C12 (Life cycle costs), I32 (Operational costs) was considered more important than indicator I31 (Initial cost). In what concerns Category C14 (Corruption avoiding plan), Indicator I34 (Sustainable purchase policies) was proposed by the experts, and the results disclosed it as the most important category within the Economy Area. In Category C15 (Environmental management systems), the most important was I36 (Infection control), and in Category C17 (Security), I39 (Occupants’ safety) was more important than indicator I40 (Responsible construction practices). Finally, the most crucial indicator in Category C23 (Conveniences) was I46 (Accessibility to public transport).
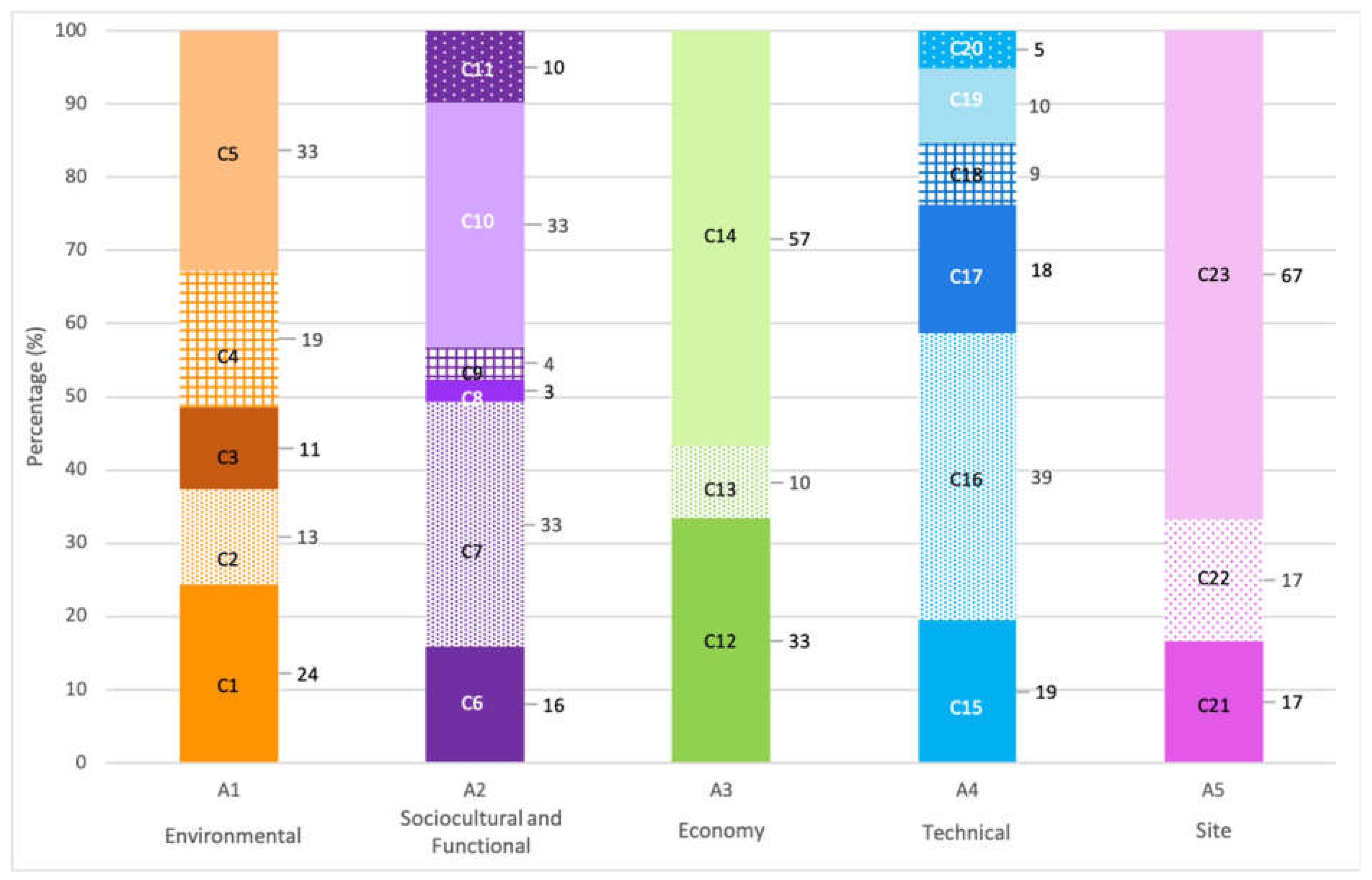
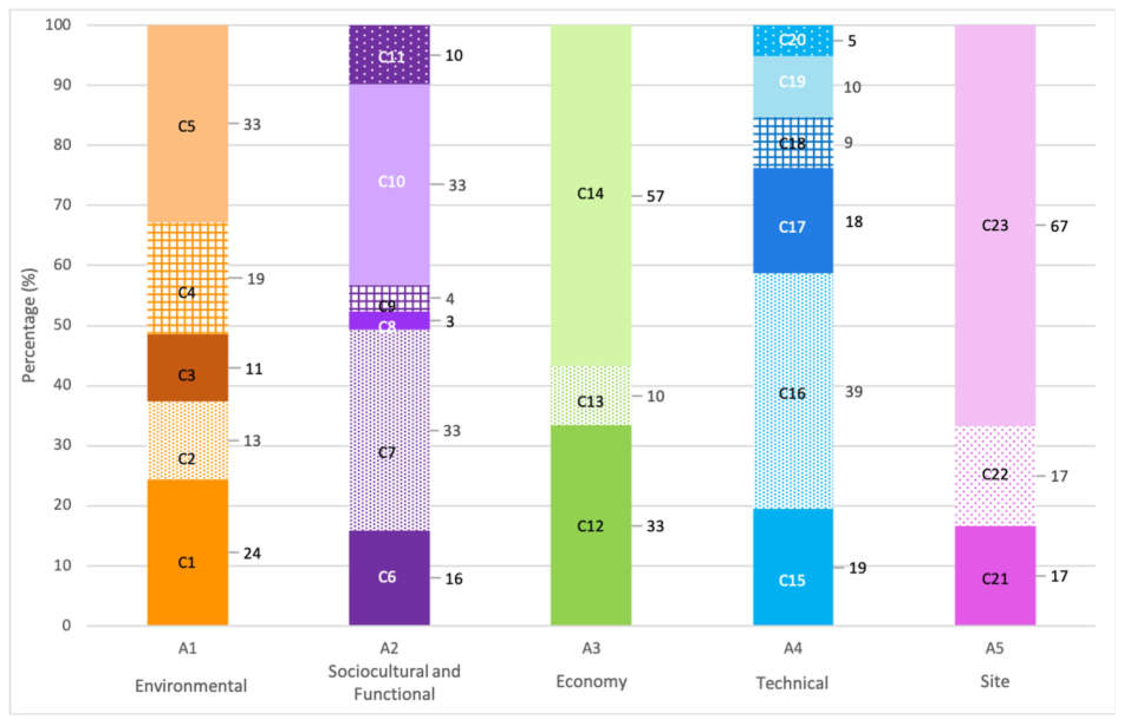
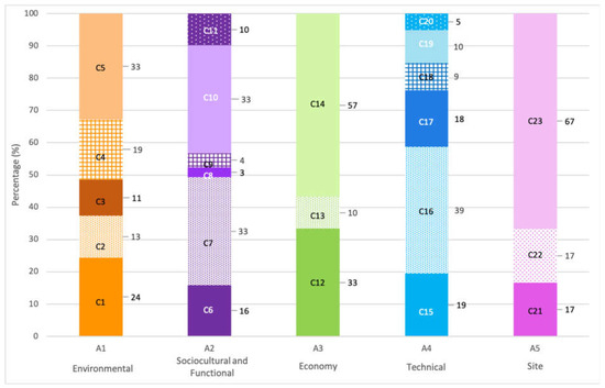
Finally, the weight of each category within the areas is presented in Figure 3. The category with the most significant impact on an area was C23 (Conveniences), representing 67% of the A5 (Site) total. Nevertheless, the importance of the Site area in the overall sustainability level is only 8%. The categories with the lower influence were C8 (Landscaping) and C9 (Passive design), which belong to the “Sociocultural and functional” area, having weights of 3% and 4%, respectively.
From comparing the weights between the proposed assessment framework and other HBSA methods, it is possible to draw some conclusions regarding the differences in the sustainability priorities and the level of the structure of each method.
Analysing the different HBSA methods addressed in this study, it is possible to conclude that they share common core sustainability categories, such as energy use; water efficiency; indoor and outdoor environmental quality; resources and materials; service quality; and site strategies. The proposed framework in this study also considered those priorities. Nevertheless, the weight of each category in the overall assessment varies among the analysed methods, as presented in Figure 4. This difference is because the methods were developed for different locations; therefore, each system of weights reflects specific sustainability properties.
It is important to note that one of the studied methods gives more importance to one core sustainability category than others. The energy-related indicators in LEED BD + C weigh 33% of the global sustainability score. On the other hand, BREEAM International New Construction has a more balanced weighing system between all core criteria.
The “Economic” category was one of the three leading sustainability categories in the proposed framework, and this is not considered in the two most used BSA methods (LEED and BREEAM). Additionally, in the Brazilian context, the importance of the economy category is more suited to the healthcare sector’s role in the Brazilian economy. It also reflects the stakeholders’ opinions gathered in the survey.
Based on these differences, it is possible to conclude that this study is an essential contribution to developing a new HBSA method in the Brazilian context because it sets a more comprehensive list of sustainability priorities suitable for the specific environmental, societal, and economic contexts.

5. Conclusions

Healthcare buildings are complex systems due to specific, higher technical, and functional requirements. The number of health services covered and the population served to mean different types of healthcare buildings. Many initiatives related to environmental sustainability in the healthcare sector present necessary steps for hospitals to deal with the eminent global crisis resulting from excessive consumption of natural resources and production of wastes.
Buildings do not have the inherent capacity for regeneration. However, the built environment can be designed to contribute to and support this goal. It also offers the opportunity to align its ecological profile with the health sector’s core mission—to heal—by providing essential health services while preserving the natural environment.
If decisions are made at the early design stage, using comprehensive and systematic approaches, it is possible to integrate sustainability principles with a greater probability of success and reduced costs. It is also important to highlight that those principles must be aligned with the environmental, societal, and economic contexts of the country/region where the approach will be applied.
This study’s limitations are related to the reduced number of Brazilian experts in the fields of hospital building design, construction, and operation. Sustainable construction applied to this type of building has yet to be made a priority. This situation may cause some need for more understanding by the respondents about what is included in each sustainability category and indicator, thus causing biases in the presented weighting system. An additional limitation may be that it was impossible to involve a more significant number of participants, a situation that is common to other studies that used the same methodology conducted in Brazil.
Healthcare building sustainability assessment methods can support the implementation of sustainability concerns in standard design and building management practices by integrating more comprehensive social and economic aspects and minimizing environmental impacts. These methods will allow identifying the design priorities from the early design stages.
Since there is no common international understanding regarding the weight of each sustainability indicator and it depends overall on the specific context and priorities of the location, the proposed framework was based on the results of a survey involving the main Brazilian healthcare stakeholders. This concept is relevant since it considers the knowledge and experience of different experts in the design process, validates the proposed framework, and evaluates the relative importance of each sustainability area, category, and indicator in the overall sustainability level of a project. This will facilitate priority setting when designing more sustainable healthcare buildings in Brazil.
This kind of initiative brings a significant advantage when seeking improvement towards the performance of healthcare buildings. The assessment method can raise awareness, promote sustainable practices, and decrease consumption rates and costs, thus reducing environmental and economic impacts. Additionally, considering the stakeholders’ opinions in the proposed list of indicators, the weighing system becomes more aligned with their expectations, increasing its potential effectiveness.
As a recommendation, environmental issues and strategies must be the focus. However, considering other vital issues, such as societal needs and requirements and economic and technical aspects, is also essential.
The sustainability framework presented in this study differs from other existing HBSA methods since, in this case, the context of the Brazilian construction and healthcare sector was addressed.
To plan a sustainable healthcare building in Brazil, the designer must focus on the most pertinent sustainability categories disclosed in this study, such as efficiency in technical systems, sustainable purchase practices, and accessibility. Additionally, life cycle impacts and costs must be considered, as well as security, environmental management, and aspects related to the controllability of the indoor environmental quality by the user.

Author Contributions

Conceptualisation, M.C., M.d.F.C. and R.M.; Data curation, M.C.; Investigation, M.C.; Methodology, M.d.F.C. and R.M.; Project administration, M.d.F.C. and R.M.; Resources, M.C., M.d.F.C. and R.M.; Supervision, M.d.F.C. and R.M.; Writing—original draft, M.C.; Writing—review and editing, M.d.F.C. and R.M. All authors have read and agreed to the published version of the manuscript.

Funding

This research received no external funding.

Institutional Review Board Statement

Ethical review and approval were waived for this study since it does not disclose personal data nor individual answers of the participants in the survey.

Informed Consent Statement

Not applicable.

Data Availability Statement

Additional data supporting reported results can be found in the following link: https://hdl.handle.net/1822/67176.

Conflicts of Interest

The authors declare no conflict of interest.

Appendix A

Appendix A.1. Survey

In the context of the Master’s Dissertation entitled “Building Sustainability Assessment Methods for Healthcare–critical comparative analysis to apply in Brazilian context”, the questionnaire was formulated representing a proposal to develop an indicators structure based on international rating systems (LEED v4 for Building Design and Construction, BREEAM New Construction, and Healthcare Building Sustainability Assessment tool–Portugal).
The survey aims to check the sustainability level of hospitals in Brazil. The objective of the evaluation is to contribute to the applicability of the indicator to a broader context, making it more reliable and robust for practical applications and contributing to the development of the measurement of the Sustainable Assessment Method for Healthcare Buildings. This evaluation is carried out through the expert’s judgment using specific criteria divided into categories: Environmental, Sociocultural and Functional, Economy, Technical, and Site.
The answers will be critical to the credibility of the final results and should be given the most genuine opinions on all the questions presented. All data processing will be performed for the Dissertation mentioned, respecting their anonymity and confidentiality.
The estimated time to complete the survey is 20 min.
Thank you in advance for your cooperation!
  •                                    
1. To identify the individual expectations of each involved, identify the group to which they belong. If you belong to more than one of the groups listed, please select as many options as necessary.
1.1. Occupation or position currently held (choose one or more of the following):
• Architect
Applsci 13 03807 i001With less than five years of experience
Applsci 13 03807 i001With over five years of experience
Applsci 13 03807 i001With experience in hospital projects
• Civil engineer
Applsci 13 03807 i001With less than five years of experience
Applsci 13 03807 i001With over five years of experience
Applsci 13 03807 i001With experience in hospital projects
• Sustainable Construction Consultant/Expert
Applsci 13 03807 i001With less than five years of experience
Applsci 13 03807 i001With more than five years of experience
• Qualified Sustainable Construction Appraiser
Applsci 13 03807 i001AQUA-HQEApplsci 13 03807 i001LEED
Applsci 13 03807 i001LeaderApplsci 13 03807 i001CASBEE
Applsci 13 03807 i001Procel EdificaApplsci 13 03807 i001DGNB
Applsci 13 03807 i001BREEAMApplsci 13 03807 i001Other, which one?
• Hospital Manager
Applsci 13 03807 i001Facilities and Equipment Services
Applsci 13 03807 i001Superintendent/Director
Applsci 13 03807 i001Other, which one?
• Other
Applsci 13 03807 i001What?
2. Identification
2.1. Area of expertise and project development:
• Brazil
Applsci 13 03807 i001NorthApplsci 13 03807 i001Southeast
Applsci 13 03807 i001NortheastApplsci 13 03807 i001South
Applsci 13 03807 i001MidwestApplsci 13 03807 i001All over the country
3. The proposed Hospital Building Method is a Design Support that consists of three levels to position the selected assessment criteria. Thus the fifty-seven Indicators presented are grouped into twenty-two Categories, framed into five Areas.
3.1. Considering the following tables show the indicators of each category, define the relative importance that each INDICATOR should present in the statement scale.
The criteria are in the form of statements; the evaluator should verify if each of the statements is consistent with the indicator that is being evaluated through a five-level scale (Likert scale):
1—Not important
2—Slightly important
3—Neutral
4—Important
5—Very important

Appendix A.2. Environmental Area

This item intends to evaluate the environmental life cycle impact to promote the use, by the design teams, of low environmental impact solutions, associated with the life cycle of various constructive elements and building materials. The database includes, beyond renewable and non-renewable energy embodied, the accounting of the categories: Global warming potential (GWP) Destruction of the ozone layer (ODP); Potential acidification (PA), Photochemical oxidation potential (POP) and Eutrophication potential (EP). To contribute to a reduction in national NOx emission levels by using low-emission heat sources in the building.
Environmental Life Cycle Impacts Assessment
IDDescriptionEvaluation
Not ImportantSlightly ImportantNeutralImportantVery Important
I1Assessment of the building’s life cycle impactsApplsci 13 03807 i001Applsci 13 03807 i001Applsci 13 03807 i001Applsci 13 03807 i001Applsci 13 03807 i001
  • Primary energy consumption
Total primary energy consumption during the use phase to promote the reduction of energy consumption in healthcare buildings.
  • Local energy production
Amount of energy produced in the building through renewable sources to reward renewable energy consumption by incorporating systems that enable clean energy. The use of renewable energy allows the reduction of greenhouse gas emissions and other pollutants. It contributes to the conservation of global resources of fossil fuels and the development of technologies that will enable their exploitation, additionally resulting in a reduction in the life cycle costs of the building.
  • Minimum Energy Performance
Demonstrate an improvement in the proposed building performance rating compared with the baseline building performance rating to reduce the environmental and economic harms of excessive energy use by achieving a minimum level of energy efficiency for the building and its systems.
Energy
IDDescriptionEvaluation
Not ImportantSlightly ImportantNeutralImportantVery Important
I2Primary energy consumption Applsci 13 03807 i001Applsci 13 03807 i001Applsci 13 03807 i001Applsci 13 03807 i001Applsci 13 03807 i001
I3Local energy productionApplsci 13 03807 i001Applsci 13 03807 i001Applsci 13 03807 i001Applsci 13 03807 i001Applsci 13 03807 i001
I4Minimum Energy Performance Applsci 13 03807 i001Applsci 13 03807 i001Applsci 13 03807 i001Applsci 13 03807 i001Applsci 13 03807 i001
  • Layout optimisation
Several beds are available per square meter of the built area to recognise the efficient use of the built space.
  • Soil sealing
Waterproofing Index to promote soil permeability in urban areas to ensure aquifer recharge and decrease peak flow in stormwater drainage systems. The impermeable areas can majorly impact ecosystems as the ground covered by constructions, streets, and other occupations reduces the soil surface available to support natural habitats and perform rainwater absorption. The increased area of impermeable soil has a negative effect on sustainable development, and the most common are nature conservation and the absence of flood control.
  • Reuse of previously built or contaminated areas
Percentage of intervention areas previously contaminated or built to reward the choice of location of these buildings in areas previously contaminated or constructed once. The primary solution to slow the destruction of natural habitats and wildlife they support and prevent the loss of soil suitability is reuse.
  • Ecological protection of the site
Protection of the site’s ecological and natural resources aims to implement measures to preserve the ecological and natural resources of the building construction site. The ecological value is affected by the type of existing flora and fauna and their interactions, the number of different species, vegetation strata, and water courses.
  • Rehabilitation of the surrounding
Potential development of the surroundings by rewarding the rehabilitation of deteriorated or/and abandoned surrounding areas. The principle to be adopted when studying the implementation of a building is to minimise the impacts on the ecology of the site or, where possible, contribute to its improvement.
  • Use of native plants
Percentage of the green area occupied by native plants aiming to promote the integration of pre-existing native plants and the planting of local plants in green spaces. Native plants are the ones that belong to a place where they live for many generations, which is different from an introduced plant, which is a specie that resulted from subsequent introductions. The spontaneous plants grow in a community with other species, providing protection and nourishment, but at the same time, they can interfere with the natural habitat, competing with native plants.
  • Heat island effect
Percentage of coverage area and surrounding paved areas with reflectance to reduce the heat island effect in urban areas by promoting high reflectance materials or vegetation in outdoor spaces and roofs. The heat island effect indicates a higher temperature in urban areas, compared with the forest and rural areas. It is caused mainly due to the removal of vegetation and its replacement by asphalt and concrete buildings and structures that store and release thermal energy, which has high solar absorption due to its low reflectance. The heat island effect results in additional energy needs of buildings in urban areas, resulting in increased emissions of pollutants into the atmosphere.
Soil use and Biodiversity
IDDescriptionEvaluation
Not ImportantSlightly ImportantNeutralImportantVery Important
I5Layout optimisation Applsci 13 03807 i001Applsci 13 03807 i001Applsci 13 03807 i001Applsci 13 03807 i001Applsci 13 03807 i001
I6Soil sealingApplsci 13 03807 i001Applsci 13 03807 i001Applsci 13 03807 i001Applsci 13 03807 i001Applsci 13 03807 i001
I7Reuse of previously built or contaminated areasApplsci 13 03807 i001Applsci 13 03807 i001Applsci 13 03807 i001Applsci 13 03807 i001Applsci 13 03807 i001
I8Ecological protection of the siteApplsci 13 03807 i001Applsci 13 03807 i001Applsci 13 03807 i001Applsci 13 03807 i001Applsci 13 03807 i001
I9Rehabilitation of the surroundingApplsci 13 03807 i001Applsci 13 03807 i001Applsci 13 03807 i001Applsci 13 03807 i001Applsci 13 03807 i001
I10Use of native plantsApplsci 13 03807 i001Applsci 13 03807 i001Applsci 13 03807 i001Applsci 13 03807 i001Applsci 13 03807 i001
I11Heat island effectApplsci 13 03807 i001Applsci 13 03807 i001Applsci 13 03807 i001Applsci 13 03807 i001Applsci 13 03807 i001
  • Construction waste
Measurements to reduce the production of Solid Construction and Demolition Waste, and a percentage is destined for reuse or recycling to promote the reduction of waste production and reward its recycling.
  • Reused products and recycled materials
Percentage of the cost of reused products and materials with recycled content to promote its usage from the construction site or outside, specific for each material type within its components. The reuse of building materials or elements that result from the end of a building’s life cycle consists of using them incorporated into new materials for construction or rehabilitation.
  • Waste separation and storage
The building’s performance at the level of this parameter is evaluated by the value of the Potential of the Building’s Conditions for Promoting the Separation of Solid Waste (PRSU), which results from criteria related to the indoor and outdoor existing conditions for the deposition and storage of household waste and usually composed of organic material, paper, cardboard, plastic, glass, metals, infectious, pathological, sharps, and chemicals, among others.
  • Responsible for sourcing materials
To recognise and encourage the specification and procurement of responsibly sourced construction products by using timber/timber-based products legally harvested and traded, a documented policy and procedure that sets out procurement requirements for all suppliers and trades to adhere to relating to the responsible sourcing of construction products and to available the responsible sourcing credits awarded where the methodology responsibly sources the applicable construction products.
Materials and Solid Waste
IDDescriptionEvaluation
Not ImportantSlightly ImportantNeutralImportantVery Important
I12Construction waste Applsci 13 03807 i001Applsci 13 03807 i001Applsci 13 03807 i001Applsci 13 03807 i001Applsci 13 03807 i001
I13Reused products and recycled materialsApplsci 13 03807 i001Applsci 13 03807 i001Applsci 13 03807 i001Applsci 13 03807 i001Applsci 13 03807 i001
I14Waste separation and storageApplsci 13 03807 i001Applsci 13 03807 i001Applsci 13 03807 i001Applsci 13 03807 i001Applsci 13 03807 i001
I15Responsible sourcing of materialsApplsci 13 03807 i001Applsci 13 03807 i001Applsci 13 03807 i001Applsci 13 03807 i001Applsci 13 03807 i001
  • Potable water consumption
The annual volume of water consumed per square meter inside the building aims to promote reducing water consumption, depending on the efficiency of devices and the average consumption patterns. The quality of water supply, drainage and wastewater treatment strongly impact public health. Due to reducing drinking water supplies, as opposed to increasing consumption, it is necessary to take measures to make its use more efficient.
  • Recycling and recovery of effluents
Percentage reduction of drinking water consumption rewarding the use of effluents and systems that reduce the unnecessary consumption of potable water. As a precious resource and quality of life, potable water should be used only for functions that require all its qualities. However, it is currently used in applications that can be satisfied with recycled or lower-quality water.
  • Treatment of contaminated effluents
Separation of contaminated effluents and local wastewater treatment gives space for premises in the building for wastewater treatment and an appropriate contaminated effluent drainage system. Hospital effluents can be classified into household effluents (kitchens, laundries and toilets) and specifically hospital effluents (from analyses, patient care and medicines). Hospital wastewater is classified according to the Generic Recommendations for Hospital Wastewater Management into groups that should be treated appropriately and differentiated according to their category.
  • Water efficient equipment
To reduce the water consumption by encouraging specification of water-efficient equipment by systems or processes identified to reduce the water demand, and demonstrate, through either good practice design or specification, a meaningful reduction in the total water demand of the building.
Water
IDDescriptionEvaluation
Not ImportantSlightly ImportantNeutralImportantVery Important
I16Potable water consumption Applsci 13 03807 i001Applsci 13 03807 i001Applsci 13 03807 i001Applsci 13 03807 i001Applsci 13 03807 i001
I17Recycling and recovery of effluentsApplsci 13 03807 i001Applsci 13 03807 i001Applsci 13 03807 i001Applsci 13 03807 i001Applsci 13 03807 i001
I18Treatment of contaminated effluentsApplsci 13 03807 i001Applsci 13 03807 i001Applsci 13 03807 i001Applsci 13 03807 i001Applsci 13 03807 i001
I19Water efficient equipmentApplsci 13 03807 i001Applsci 13 03807 i001Applsci 13 03807 i001Applsci 13 03807 i001Applsci 13 03807 i001

Appendix A.3. Sociocultural and functional

  • Natural ventilation
The efficiency of natural ventilation indoors promotes the existence of conditions that allow natural ventilation of the interior space of the building to the exclusive detriment of mechanical ventilation. The levels of indoor air renewal must be guaranteed, safeguarding its quality and reducing occupant exposure to indoor pollutants. The primary influence for the natural ventilation is the depth of the floor drawings plans. Also, courtyards and inner courts favour. When natural ventilation strategy is conceived correctly, this can be as effective as a mechanical ventilation system, with all the advantages associated with the fact that there is no power consumption.
  • Toxicity of finishing materials
Weight the per cent of low Volatile Organic Compounds (VOC) finishing materials aiming the reward of using materials that do not cause occupant health problems. Several studies reveal the connection between high VOC Sick Building Syndrome (SBS) concentrations. Some examples are formaldehyde, benzene, toluene and xylene. Inside the buildings, the primary sources are products derived from wood produced through adhesives and used as solvents in paints mainly based on synthetic, adhesives, carpeting and polyurethane foams. These compounds are often accidentally released into the atmosphere and are responsible for significant environmental impacts.
  • Thermal comfort
Average annual thermal comfort level to ensure the conditions within the healthcare providers to meet occupant needs. The thermal environment of the interior spaces has physical and psychological effects on its occupants and is of great importance in building design. When designing a building, creating a microclimate in the interior spaces, despite the weather conditions outside, essentially responds to the needs and expectations of occupants. The climate in Brazil is divided into five sub-types – equatorial, semi-arid, highland tropical, and subtropical – and during much of the year, it is necessary to use a cooling system to maintain indoor temperatures within a comfortable range. This situation explains that most buildings produce large amounts of thermal energy.
  • Visual Comfort
This item measures the contribution of natural lighting to the proper lighting of the interior environment by promoting the adoption of criteria to improve the visual comfort of occupants through the appropriate use of natural lighting, which will contribute to the recovery of patients and the reduction of energy consumption inside the building. Natural lighting is one factor in conditioning the environment’s quality. It has to provide a comfortable visual interior environment, through the minimum energy consumption (artificial lighting). The increasing importance of aspects related to the environment, sustainable development and interior comfort, has contributed to natural light’s leading role in the healing process.
  • Acoustic comfort
The average level of sound insulation aims to promote the option for constructive solutions that improve the acoustic comfort of patients and team works. Considering the problems that noise causes in humans, society must be aware and take necessary measures to preserve the health of building occupants. Thus, those responsible for building design must develop techniques to provide acoustic comfort conditions, creating a suitable environment for the activities developed.
  • Indoor air quality
Evaluating pollutants measured in indoor air aims to recognise and encourage the search for a healthy indoor environment by controlling the airborne concentration of existing pollutants. The indoor air is a spread source of microorganisms, which in healthcare units leads to the origin of hospital infections.
User’s Health and Comfort
IDDescriptionEvaluation
Not ImportantSlightly ImportantNeutralImportantVery Important
I20Natural ventilation Applsci 13 03807 i001Applsci 13 03807 i001Applsci 13 03807 i001Applsci 13 03807 i001Applsci 13 03807 i001
I21Toxicity of finishing materialsApplsci 13 03807 i001Applsci 13 03807 i001Applsci 13 03807 i001Applsci 13 03807 i001Applsci 13 03807 i001
I22Thermal comfortApplsci 13 03807 i001Applsci 13 03807 i001Applsci 13 03807 i001Applsci 13 03807 i001Applsci 13 03807 i001
I23Visual comfortApplsci 13 03807 i001Applsci 13 03807 i001Applsci 13 03807 i001Applsci 13 03807 i001Applsci 13 03807 i001
I24Acoustic comfortApplsci 13 03807 i001Applsci 13 03807 i001Applsci 13 03807 i001Applsci 13 03807 i001Applsci 13 03807 i001
I25Indoor air qualityApplsci 13 03807 i001Applsci 13 03807 i001Applsci 13 03807 i001Applsci 13 03807 i001Applsci 13 03807 i001
  • Ventilation and temperature
The possibility of room control of temperature and openings (windows) to encourage the installation of systems that guarantee indoor air quality (IAQ) conditions at a reduced level of energy consumption, while preventing the sprawl of diseases. The increasing efficiency of natural ventilation and preventing the solar incidence are linked with the requirements of IAQ and thermal comfort, as well as to the potential for reducing energy consumption.
  • Natural light
The possibility of controlling the entrance of natural light inside the building, through elements for this purpose according to the functional needs of the spaces aiming to recognise daylight control systems to reduce energy consumption, allowing users to administer the space’ visual comfort.
Controllability by the User
IDDescriptionEvaluation
Not ImportantSlightly ImportantNeutralImportantVery Important
I26Ventilation and temperatureApplsci 13 03807 i001Applsci 13 03807 i001Applsci 13 03807 i001Applsci 13 03807 i001Applsci 13 03807 i001
I27Natural lightApplsci 13 03807 i001Applsci 13 03807 i001Applsci 13 03807 i001Applsci 13 03807 i001Applsci 13 03807 i001
The next item persuades the visual contact with the exterior from the main compartments of the building by promoting a design that values the relationship between interior/exterior through visual contact with the outside.
Landscaping
IDDescriptionEvaluation
Not ImportantSlightly ImportantNeutralImportantVery Important
I28Visual link with the surrounding landscape Applsci 13 03807 i001Applsci 13 03807 i001Applsci 13 03807 i001Applsci 13 03807 i001Applsci 13 03807 i001
  • Layout and orientation
Proper implementation and orientation of the building, considering the territorial and landscape framing of the place, promoting the quality of the interior environment to promote, and reward a building implementation and orientation that allows the good use of solar radiation in the different heating and cooling stations and the appropriate use of wind for natural ventilation.
  • Passive systems
Integration of building systems for passive heating, ventilation and cooling, upgrading the indoor air quality by promoting the design of bioclimatic buildings that encourages comfort conditions of its users, reducing energy consumption.
Passive Design
IDDescriptionEvaluation
Not ImportantSlightly ImportantNeutralImportantVery Important
I29Layout and orientation Applsci 13 03807 i001Applsci 13 03807 i001Applsci 13 03807 i001Applsci 13 03807 i001Applsci 13 03807 i001
I30Passive systemsApplsci 13 03807 i001Applsci 13 03807 i001Applsci 13 03807 i001Applsci 13 03807 i001Applsci 13 03807 i001
  • Accessibilities
Accessibility and ease of circulation area for patients, visitors, and service providers by rewarding the existence of efficient accessibility and mobility plan that covers as many people and paths as possible.
Mobility Plan
IDDescriptionEvaluation
Not ImportantSlightly ImportantNeutralImportantVery Important
I31Accessibilities Applsci 13 03807 i001Applsci 13 03807 i001Applsci 13 03807 i001Applsci 13 03807 i001Applsci 13 03807 i001
  • Availability and accessibility to social areas
To evaluate the existence and accessibility, by users, to activities, living, leisure, and outdoor spaces by aiming for living spaces that provide the well-being of patients and work teams.
  • Space optimisation
The maximisation of the usable floor area inside the building and reduction of the total construction area by promoting the adoption of space design forms and construction solutions that facilitate the optimisation of the construction area, reducing the environmental impacts associated with the floor area, and increasing the efficiency.
  • Space flexibility
The need for spatial solutions that contributes to the versatility of the area, analysing the level of flexibility, allowing the increase in and adaptation to the continuous need for alteration of spatial functions into rewarding the option for a design that promotes the flexibility of spaces, so that it can adapt to different operations according to the diverse needs of everyday life.
  • Space adaptability
The assessment of the adaptive capacity of spaces to change functionalities to promote the adoption of design and construction solutions that simplify their adaptation to different uses, in case of need or rehabilitation of the building.
Space Flexibility and Adaptability
IDDescriptionEvaluation
Not ImportantSlightly ImportantNeutralImportantVery Important
I32Availability and accessibility to social areas Applsci 13 03807 i001Applsci 13 03807 i001Applsci 13 03807 i001Applsci 13 03807 i001Applsci 13 03807 i001
I33Space optimisationApplsci 13 03807 i001Applsci 13 03807 i001Applsci 13 03807 i001Applsci 13 03807 i001Applsci 13 03807 i001
I34Space flexibilityApplsci 13 03807 i001Applsci 13 03807 i001Applsci 13 03807 i001Applsci 13 03807 i001Applsci 13 03807 i001
I35Space adaptabilityApplsci 13 03807 i001Applsci 13 03807 i001Applsci 13 03807 i001Applsci 13 03807 i001Applsci 13 03807 i001

Appendix A.4. Economy

  • Initial cost
The value of initial investment cost per square meter of the total construction area to promote the design of sustainable buildings whose initial investment is at least equivalent to conventional buildings.
  • Operational costs
The value of utilisation costs per square meter of Total construction area aims to appreciate the design of sustainable buildings whose utilisation costs are lower than conventional buildings.
Life Cycle Costs
IDDescriptionEvaluation
Not ImportantSlightly ImportantNeutralImportantVery Important
I36Initial cost Applsci 13 03807 i001Applsci 13 03807 i001Applsci 13 03807 i001Applsci 13 03807 i001Applsci 13 03807 i001
I37Operational costsApplsci 13 03807 i001Applsci 13 03807 i001Applsci 13 03807 i001Applsci 13 03807 i001Applsci 13 03807 i001
The next item goes into the local community promotion by contracting national and local goods and services and addressing the development of the local economy by hiring local goods and services.
Local Economy
IDDescriptionEvaluation
Not ImportantSlightly ImportantNeutralImportantVery Important
I38Hiring local goods and services Applsci 13 03807 i001Applsci 13 03807 i001Applsci 13 03807 i001Applsci 13 03807 i001Applsci 13 03807 i001
The risk of corruption is transversal. Good practices management helps to prevent situations of infractions and, therefore, it is essential to identify the risks of deviation from good practices and their consequences in terms of management. Reducing corruption is necessary for strengthening democratic institutions, promoting relations between citizens and public or private administration, economic development and growth, and the regular functioning of markets. The problem of corruption is associated with many situations, which spoil the functioning of institutions and markets, such as abuse of power, bribery, embezzlement, influence peddling, economic participation in business, and concussion. All of these constitute related crimes, and there is an undue advantage or compensation to be obtained. Sustainable purchase policies aim to identify risks, resources, actions, and responsibilities to mitigate them, as well as the implementation, monitoring, evaluation, and reporting process. The risk can be defined as an event that, if it occurs, will have a negative impact on the achievement of the organisation’s mission and objectives. Missed opportunities can also be considered a risk.
Corruption Avoiding Plan
IDDescriptionEvaluation
Not ImportantSlightly ImportantNeutralImportantVery Important
I39Sustainable purchase policies Applsci 13 03807 i001Applsci 13 03807 i001Applsci 13 03807 i001Applsci 13 03807 i001Applsci 13 03807 i001

Appendix A.5. Technical

  • Commissioning
Assessment of building systems and components throughout the different life cycle phases to identify a properly planned commissioning process that ensures the proper functioning of all building systems and components.
  • Environmental management plan
Adopting a Sustainable Management Plan aims to reward the existence of an Environmental Management System to ensure the design and construction phase lasts throughout the use phase.
  • Infection control
Monitor and evaluate infection control by promoting adequate cleaning, disinfection, decontamination, and sterilisation of all areas, equipment, and instruments of the hospital.
  • Reducing noise pollution
Mitigation measures of noise production pleasing the reduction within healthcare buildings.
Environmental Management Systems
IDDescriptionEvaluation
Not ImportantSlightly ImportantNeutralImportantVery Important
I40Commissioning Applsci 13 03807 i001Applsci 13 03807 i001Applsci 13 03807 i001Applsci 13 03807 i001Applsci 13 03807 i001
I41Environmental management planApplsci 13 03807 i001Applsci 13 03807 i001Applsci 13 03807 i001Applsci 13 03807 i001Applsci 13 03807 i001
I42Infection controlApplsci 13 03807 i001Applsci 13 03807 i001Applsci 13 03807 i001Applsci 13 03807 i001Applsci 13 03807 i001
I43Reducing noise pollutionApplsci 13 03807 i001Applsci 13 03807 i001Applsci 13 03807 i001Applsci 13 03807 i001Applsci 13 03807 i001
The next item concerns the maintenance plan’s evaluation, ensuring the proper functioning and efficiency of existing or designed mechanical systems enabling the appropriate operation of all mechanical systems and building components.
Technical Systems
IDDescriptionEvaluation
Not ImportantSlightly ImportantNeutralImportantVery Important
I44Efficiency of lighting and air conditioning systems Applsci 13 03807 i001Applsci 13 03807 i001Applsci 13 03807 i001Applsci 13 03807 i001Applsci 13 03807 i001
  • Occupants safety
The indicator below evaluates measures to ensure occupant safety by limiting the risk of hatching and fire hazards, favour the action of firefighters whenever their intervention is necessary, and provide means for users to initiate combat measures before the firefighter’s arrival.
  • Responsible construction practices
To recognise and encourage construction sites which are managed in an environmentally and socially considerate, responsible and accountable manner by using legally harvested and traded timber, considering and implementing health and safety legislation and regulations for construction sites, and monitoring, recording and reporting the energy use, water consumption and transport data resulting from all on-site processes throughout the programme.
Security
IDDescriptionEvaluation
Not ImportantSlightly ImportantNeutralImportantVery Important
I45Occupants safety Applsci 13 03807 i001Applsci 13 03807 i001Applsci 13 03807 i001Applsci 13 03807 i001Applsci 13 03807 i001
I46Responsible construction practices Applsci 13 03807 i001Applsci 13 03807 i001Applsci 13 03807 i001Applsci 13 03807 i001Applsci 13 03807 i001
  • Materials of high strength and durability
Assessment of the durability and required level of maintenance of finishing materials and other constituents of building elements to benefit the use of durable materials suitable for their intended use, reducing the complexity and periodicity of maintenance.
  • Proper selection of furniture
Suitability of furniture and general equipment, mobile and fixed to the functions for which they are intended by promoting the highest durability and eligibility.
Durability
IDDescriptionEvaluation
Not ImportantSlightly ImportantNeutralImportantVery Important
I47Materials of high strength and durabilityApplsci 13 03807 i001Applsci 13 03807 i001Applsci 13 03807 i001Applsci 13 03807 i001Applsci 13 03807 i001
I48Proper selection of furnitureApplsci 13 03807 i001Applsci 13 03807 i001Applsci 13 03807 i001Applsci 13 03807 i001Applsci 13 03807 i001
  • Education of occupants
Availability and content of the Building’s User Manual by rewarding guidelines for occupants to use it efficiently. Regardless of the design of a building, its efficiency and operating costs are strongly influenced by the daily behaviour of its users. With guidance and access to information, these can best use the systems. On the other hand, malfunctioning can lead to discomfort and operating, and maintenance costs differ from those estimated, resulting in a waste of resources.
  • Education of service providers
Availability and content of the Building’s Maintenance and Management Manual by ensuring the proper maintenance for better use and preservation and increasing its useful life.
  • Satisfaction surveys
Existence of periodic surveys distributed to building users to assess their satisfaction with the buildings’ performance.
Awareness and Education for Sustainability
IDDescriptionEvaluation
Not ImportantSlightly ImportantNeutralImportantVery Important
I49Education of occupants Applsci 13 03807 i001Applsci 13 03807 i001Applsci 13 03807 i001Applsci 13 03807 i001Applsci 13 03807 i001
I50Education of service providersApplsci 13 03807 i001Applsci 13 03807 i001Applsci 13 03807 i001Applsci 13 03807 i001Applsci 13 03807 i001
I51Satisfaction surveysApplsci 13 03807 i001Applsci 13 03807 i001Applsci 13 03807 i001Applsci 13 03807 i001Applsci 13 03807 i001
The indicator below evaluates the existence of a qualified evaluator in the sustainability construction field to promote and value the integration of designers and building management or maintenance from a qualification of the experts.
Skills in Sustainability
IDDescriptionEvaluation
Not ImportantSlightly ImportantNeutralImportantVery Important
I52 Integration of a qualified sustainability expert Applsci 13 03807 i001Applsci 13 03807 i001Applsci 13 03807 i001Applsci 13 03807 i001Applsci 13 03807 i001
  • Site
The next item is about the development of the urban and local community by promoting the creation of new public space areas, access, and services.
Local Community
IDDescriptionEvaluation
Not ImportantSlightly ImportantNeutralImportantVery Important
I53Local community development Applsci 13 03807 i001Applsci 13 03807 i001Applsci 13 03807 i001Applsci 13 03807 i001Applsci 13 03807 i001
The indicator below evaluates the urban context and valorisation of the surrounding space by promoting and enhancing the architectural, landscape, and urban design according to the cultural value of the location.
Cultural Value
IDDescriptionEvaluation
Not ImportantSlightly ImportantNeutralImportantVery Important
I54Heritage framework Applsci 13 03807 i001Applsci 13 03807 i001Applsci 13 03807 i001Applsci 13 03807 i001Applsci 13 03807 i001
  • Accessibility to public transport
The public transport accessibility index aims to promote and value solutions that meet most building users’ travel needs through urban transportation services.
  • Low impact mobility
The potential of the building’s sustainable mobility conditions is to provide facilities which encourage building users to travel using low-carbon modes of transport, by stimulating the usage of bicycles and pedestrian accessibility, minimising individual journeys, and using vehicles with less environmental impact.
  • Local amenities
The accessibility to amenities index intends to enhance the existence of sustainable and integrated communities by establishing basic amenities near the healthcare building.
Conveniences
IDDescriptionEvaluation
Not ImportantSlightly ImportantNeutralImportantVery Important
I55Accessibility to public transport Applsci 13 03807 i001Applsci 13 03807 i001Applsci 13 03807 i001Applsci 13 03807 i001Applsci 13 03807 i001
I56Low impact mobilityApplsci 13 03807 i001Applsci 13 03807 i001Applsci 13 03807 i001Applsci 13 03807 i001Applsci 13 03807 i001
I57Local amenitiesApplsci 13 03807 i001Applsci 13 03807 i001Applsci 13 03807 i001Applsci 13 03807 i001Applsci 13 03807 i001
4. Considering the proposed Method presented above, are there any indicators that still need to be delivered and that you think should be addressed? Which? Justify.
5. Considering the proposed Method presented above, is there any indicator that could be eliminated? Which? Justify.
Comments:
Thanks for the collaboration!

References

  1. Li, Y.; Chen, X.; Wang, X.; Xu, Y.; Chen, P. A review of studies on green building assessment methods by comparative analysis. Energy Build. 2017, 146, 152–159. [Google Scholar] [CrossRef]
  2. Energy Efficiency in Buildings Facts and Trends: Business Realities and Opportunities. Available online: https://www.wbcsd.org/Programs/Cities-and-Mobility/Energy-Efficiency-in-Buildings/Resources/Business-realities-and-opportunities-Summary (accessed on 10 January 2023).
  3. Sahamir, S.; Zakaria, R. Green Assessment Criteria for Public Hospital Building Development in Malaysia. Procedia Environ. Sci. 2014, 20, 106–115. [Google Scholar] [CrossRef]
  4. Happio, A.; Viitaniemi, P. A critical review of building environmental assessment tools. Environ. Impact Assess. Rev. 2008, 28, 469–482. [Google Scholar] [CrossRef]
  5. Bragança, L.; Koukkari, H.; Mateus, R. Building Sustainability Assessment. Sustainability 2010, 7, 2010–2023. [Google Scholar] [CrossRef]
  6. Darko, A.; Zhang, C.; Chan, A.P.C. Drivers for green building: A review of empirical studies. Habitat Int. 2016, 60, 34–49. [Google Scholar] [CrossRef]
  7. The Scenario of Hospitals in Brazil. Available online: http://cnsaude.org.br/publicacoes/cenario-dos-hospitais-no-brasil-2019/ (accessed on 10 January 2023).
  8. Kras, I. Sustainable Hospital Building. Master’s Thesis, Technical University of Delft, Delft, The Netherlands, 2011. [Google Scholar]
  9. Healthy Hospital, Healthy Planet, Healthy People: Addressing Climate Change in Healthcare Settings. Available online: http://www.who.int/globalchange/publications/healthcare_settings/en/index.html (accessed on 10 January 2023).
  10. Barbosa, M.T.G.; Almeida, M. Developing the methodology for determining the relative weight of dimensions employed in sustainable building assessment tools for Brazil. Ecol. Indic. 2017, 73, 46–51. [Google Scholar] [CrossRef]
  11. Bellen, H.M.V. Sustainable Indicators: A Comparative Analysis. Master’s Thesis, Santa Catarina Federal University, Florianópolis, Brazil, 2002. [Google Scholar]
  12. Lu, Y.; Geng, Y.; Liu, Z.; Cote, R.; Yu, X. Measuring sustainability at the community level: An overview of China’s indicator system on National Demonstration Sustainable Communities. J. Clean. Prod. 2017, 143, 326–335. [Google Scholar] [CrossRef]
  13. International Initiative for a Sustainable Built Environment Home. Available online: http://iisbe.org (accessed on 5 August 2020).
  14. BREEAM International New Construction 2016. Available online: https://www.breeam.com/discover/technical-standards/newconstruction/ (accessed on 5 August 2020).
  15. USGBC LEED v4 for Homes Design and Construction. Available online: https://www.usgbc.org/resources/leed-v4-homes-design-and-construction-checklist (accessed on 5 August 2020).
  16. Castro, M. Building Sustainability: Method of Supporting the Design of Hospital Buildings. Doctoral Thesis, Minho University, Guimarães, Portugal, 2018. [Google Scholar]
  17. Agenda for Hospitals and Health. Global Green and Healthy Hospitals. Available online: https://www.hospitalesporlasaludambiental.net/wp-content/uploads/2016/07/Global-Green-and-Healthy-Hospitals-Agenda.pdf (accessed on 10 January 2023).
  18. Mateus, R.; Bragança, L. Sustainability assessment and rating of buildings: Developing the methodology SBToolPT–H. Build. Environ. 2011, 46, 1962–1971. [Google Scholar] [CrossRef]
  19. Castro, M.D.F.; Mateus, R.; Bragança, L. Development of a healthcare building sustainability assessment method—Proposed structure and system of weights for the Portuguese context. J. Clean. Prod. 2017, 148, 555–570. [Google Scholar] [CrossRef]
  20. Castro, M.D.F.; Mateus, R.; Bragança, L. Healthcare Building Sustainability Assessment tool–Sustainable Effective Design criteria in the Portuguese context. Environ. Impact Assess. Rev. 2017, 67, 49–60. [Google Scholar] [CrossRef]
  21. Castro, M.D.F.; Mateus, R.; Bragança, L. A critical analysis of building sustainability assessment methods for healthcare buildings. Environ. Dev. Sustain. 2015, 17, 1381–1412. [Google Scholar] [CrossRef]
  22. Ministry of Health, National Health Surveillance Agency. Resolution RDC Nº 50, Last Revised February 2002. Available online: https://bvsms.saude.gov.br/bvs/saudelegis/anvisa/2002/rdc0050_21_02_2002.html (accessed on 11 March 2023).
  23. Brazilian Normative. ABNT NBR 9050, Last Revised August 2020. Available online: https://www.canoas.rs.gov.br/wp-content/uploads/2020/07/norma-abnt-NBR-9050-2015-emenda-1-2020.pdf (accessed on 11 March 2023).
  24. Ju, C.; Ning, Y.; Pan, W. A review of interdependence of sustainable building. Environ. Impact Assess. Rev. 2016, 56, 120–127. [Google Scholar] [CrossRef]
  25. Saaty, T. Decision making with the Analytic Hierarchy Process. Int. J. Serv. Sci. 2008, 1, 83–98. [Google Scholar] [CrossRef]
  26. Ali, H.H.; Al Nsairat, S.F. Developing a green building assessment tool for developing countries—Case of Jordan. Build. Environ. 2009, 44, 1053–1064. [Google Scholar] [CrossRef]
Figure 1. Geographic distribution of the activities developed by the participants in the survey.
Figure 1. Geographic distribution of the activities developed by the participants in the survey.
Applsci 13 03807 g001
Figure 2. Final weight of the sustainability areas.
Figure 2. Final weight of the sustainability areas.
Applsci 13 03807 g002
Figure 3. Final weight of categories within each area.
Figure 3. Final weight of categories within each area.
Applsci 13 03807 g003
Figure 4. Comparison between the weights of each sustainability category of different HBSA methods and the ones from the proposed framework adapted to the Brazilian context.
Figure 4. Comparison between the weights of each sustainability category of different HBSA methods and the ones from the proposed framework adapted to the Brazilian context.
Applsci 13 03807 g004
Table 1. Indicators suggested by the experts that were not included in the preliminary list of indicators.
Table 1. Indicators suggested by the experts that were not included in the preliminary list of indicators.
Suggested IndicatorsAreaJustification
Corruption avoiding planEconomyConsidering the Brazilian situation, the Economy area should have sustainable purchase policies in order to prevent extortions.
Olfactory ComfortSociocultural and functionalTo enhance the comfort of users in hospitals by the minimisation of olfactory discomfort and improvement of indoor air quality.
Contingency PlanSociocultural and functionalA very punctual situation caused by emergencies in cases of serious claims (e.g., pandemics, floods).
Universal DesignTechnicalComposition of an environment that can be accessed, understood, and used by all people, regardless of their age, size, ability, or disability.
Space flexibility and Space adaptabilitySociocultural and functionalMerge flexibility and adaptability into just one indicator because it makes more sense in this type of building.
Table 2. List of sustainability areas, categories, and indicators included in the survey.
Table 2. List of sustainability areas, categories, and indicators included in the survey.
AreasCategoriesIndicators
A1
Environmental
C1 Environmental life cycle impacts assessmentI1 Assessment of the buildings’ life cycle impacts
C2 EnergyI2 Primary energy consumption
I3 Onsite energy production
I4 Energy Performance
C3 Soil use and biodiversityI5 Layout optimisation
I6 Soil sealing
I7 Reuse of previously built or contaminated areas
I8 Ecological protection of the site
I9 Rehabilitation of the surrounding
I10 Use of native plants
I11 Heat Island effect
C4 Materials and Solid WasteI12 Construction waste
I13 Reused and recycled products and materials
I14 Waste separation and storage
I15 Responsible sourcing of materials
C5 WaterI16 Potable water consumption
I17 Recycling and reuse of effluents
I18 Treatment of contaminated effluents
I19 Water efficient equipment
A2
Sociocultural and functional
C6 Occupants’ health and comfortI20 Natural ventilation
I21 Toxicity of finishing materials
I22 Thermal comfort
I23 Visual comfort
I24 Acoustic comfort
I25 Indoor air quality
C7 Controllability by the userI26 Ventilation and temperature control
I27 Natural light adjustment
C8 LandscapingI28 Visual link with the surrounding landscape
C9 Passive designI29 Layout and orientation
I30 Passive systems
C10 Mobility planI31 Accessibilities
C11 Space flexibility and adaptabilityI32 Availability and accessibility of social areas
I33 Space optimisation
I34 Space flexibility
I35 Space adaptability
A3
Economy
C12 Life cycle costsI36 Initial cost
I37 Operational costs
C13 Local economyI38 Hiring local goods and services
C14 Corruption avoidance planI39 Sustainable purchase policies
A4
Technical
C15 Environmental management systemsI40 Commissioning
I41 Environmental management plan
I42 Infection control
I43 Reducing noise pollution
C16 Technical systemsI44 Efficiency of lighting and air conditioning systems
C17 SecurityI45 Occupants safety
I46 Responsible construction practices
C18 DurabilityI47 Materials of high strength and durability
I48 Proper selection of furniture
C19 Awareness and education for sustainabilityI49 Education of occupants
I50 Education of service providers
I51 Satisfaction surveys
C20 Skills in sustainabilityI52 Integration in the team of a qualified sustainability expert
A5
Site
C21 Local communityI53 Local community development
C22 Cultural valueI54 Heritage framework
C23 ConveniencesI55 Accessibility to public transport
I56 Low-impact mobility
I57 Local amenities
Table 3. Feedback numbers from each field.
Table 3. Feedback numbers from each field.
Field FrequencyPercentage
ArchitectLess than 5 years of experience23.6%
More than 5 years of experience814.5%
Specialists in the hospital sector1221.8%
Civil EngineerLess than 5 years of experience23.6%
More than 5 years of experience1323.6%
Specialists in the hospital sector610.9%
Sustainable Construction Consultant/Expert23.6%
Hospital ManagerFacilities and Equipment Services23.6%
Superintendence/Management47.3%
Others47.3%
Total 55100%
Table 4. The weighing system of the proposed list of sustainability indicators.
Table 4. The weighing system of the proposed list of sustainability indicators.
AreaCategoryIndicatorWeight
IndicatorCategory
A1. EnvironmentalC1. Environmental life cycle impacts assessmentI1. Assessment of the buildings’ life cycle impacts100%24%
C2. EnergyI2. Primary energy consumption40%13%
I3. Onsite energy production40%
I4. Energy Performance20%
C3. Soil use and biodiversityI5. Soil sealing26%11%
I6. Ecological protection of the site41%
I7. Rehabilitation of the surrounding33%
C4. Materials and solid wasteI8. Construction waste24%19%
I9. Reused and recycled products and materials19%
I10. Waste separation and storage47%
I11. Responsible sourcing of materials10%
C5. WaterI12. Potable water consumption33%33%
I13. Recycling and recovery of effluents17%
I14. Treatment of contaminated effluents33%
I15. Water efficient equipment17%
A2. Sociocultural and functionalC6. Occupant’s health and comfortI16. Natural ventilation12%16%
I17. Toxicity of finishing materials10%
I18. Thermal comfort24%
I19. Acoustic comfort11%
I20. Indoor air quality42%
C7. Controllability by the userI21. Ventilation and temperature control50%33%
I22. Natural light adjustment50%
C8. LandscapingI23. Visual link with the surrounding landscape100%3%
C9. Passive designI24. Layout and orientation67%4%
I25. Passive systems33%
C10. Mobility planI26. Accessibilities100%33%
C11. Space flexibility and adaptabilityI27. Availability and accessibility of social areas36%10%
I28. Space optimisation33%
I29. Space flexibility15%
I30. Space adaptability16%
A3. EconomicC12. Life cycle costsI31. Initial cost20%33%
I32. Operational costs80%
C13. Local economyI33. Hiring local goods and services100%10%
C14. Corruption avoidance planI34. Sustainable purchase policies100%57%
A4. TechnicalC15. Environmental management systemsI35. Environmental management plan24%19%
I36. Infection control62%
I37. Reducing noise pollution14%
C16. Technical systemsI38. Efficiency of lighting and air conditioning systems100%39%
C17. SecurityI39. Occupants’ safety75%18%
I40. Responsible construction practices25%
C18. DurabilityI41. Materials of high strength and durability100%9%
C19. EducationI42. Education of service providers100%10%
C20. Skills in sustainabilityI43. Integration of a qualified sustainability expert100%5%
A5. SiteC21. Local communityI44. Local community development100%17%
C22. Cultural valueI45. Heritage framework100%17%
C23. ConveniencesI46. Accessibility to public transport69%67%
I47. Low impact mobility24%
I48. Local amenities7%
Disclaimer/Publisher’s Note: The statements, opinions and data contained in all publications are solely those of the individual author(s) and contributor(s) and not of MDPI and/or the editor(s). MDPI and/or the editor(s) disclaim responsibility for any injury to people or property resulting from any ideas, methods, instructions or products referred to in the content.

Share and Cite

MDPI and ACS Style

Costa, M.; de Fátima Castro, M.; Mateus, R. Methodology to Identify and Prioritise the Sustainability Aspects to Be Considered in the Design of Brazilian Healthcare Buildings. Appl. Sci. 2023, 13, 3807. https://doi.org/10.3390/app13063807

AMA Style

Costa M, de Fátima Castro M, Mateus R. Methodology to Identify and Prioritise the Sustainability Aspects to Be Considered in the Design of Brazilian Healthcare Buildings. Applied Sciences. 2023; 13(6):3807. https://doi.org/10.3390/app13063807

Chicago/Turabian Style

Costa, Marília, Maria de Fátima Castro, and Ricardo Mateus. 2023. "Methodology to Identify and Prioritise the Sustainability Aspects to Be Considered in the Design of Brazilian Healthcare Buildings" Applied Sciences 13, no. 6: 3807. https://doi.org/10.3390/app13063807

APA Style

Costa, M., de Fátima Castro, M., & Mateus, R. (2023). Methodology to Identify and Prioritise the Sustainability Aspects to Be Considered in the Design of Brazilian Healthcare Buildings. Applied Sciences, 13(6), 3807. https://doi.org/10.3390/app13063807

Note that from the first issue of 2016, this journal uses article numbers instead of page numbers. See further details here.

Article Metrics

Back to TopTop