Bio-Inspired Sleep Control for Improving the Energy Efficiency of a MEC System
Abstract
1. Introduction
- We address the energy-saving problem in a MEC system. To resolve the problem, we propose a MECS sleep control method by adopting a bio-inspired approach. By mimicking the cell differentiation process in a biological system, our method enables each MECS to make a sleep decision in a distributed manner.
- We analyze our sleep control method, which is composed of a sleep decision module, a task transfer module, and a MECS activation module. We show that the worst-case time complexity of our sleep control method is . Therefore, our method scales linearly with the number of neighboring MECSs.
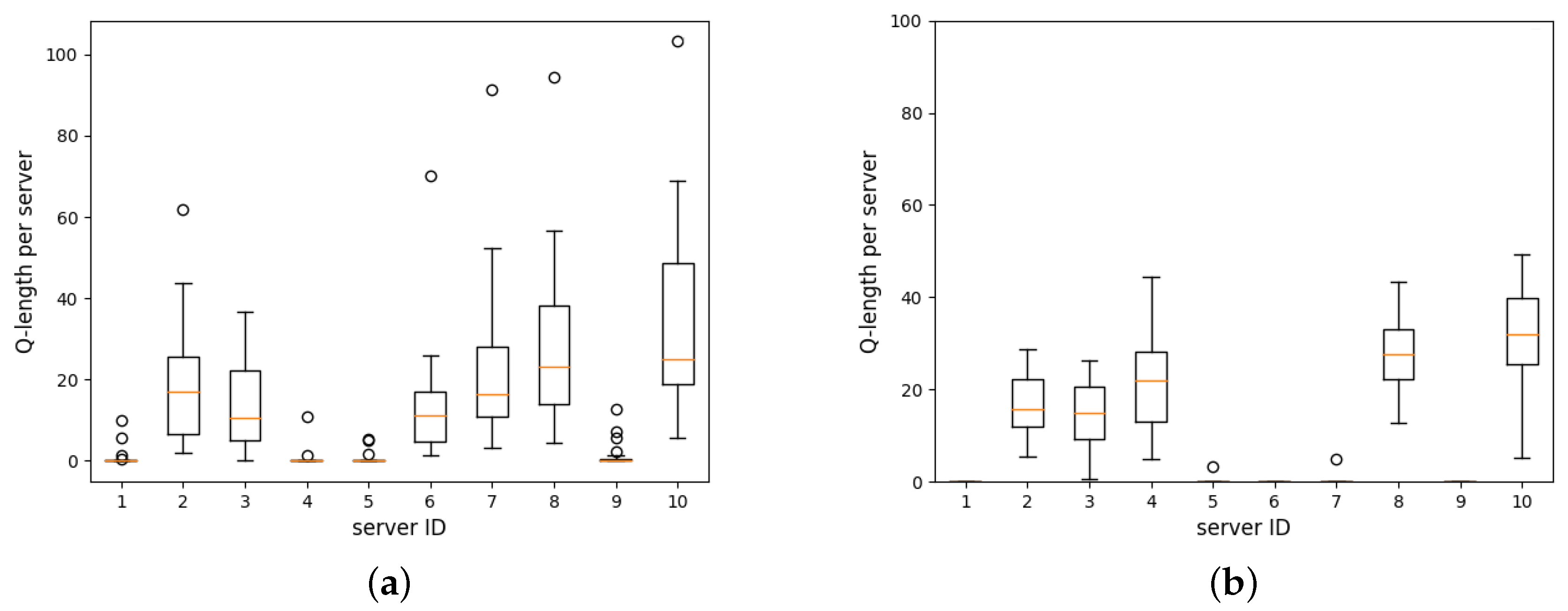
- We compare the performance of our method with that of a conventional method through simulation studies. We show that compared with a conventional method, our method can reduce the energy consumption of a MEC system while providing a comparable task service delay. We also show that our method can provide a more stable service delay by reducing the variation in the length of the task queue in a MECS.
2. Related Works
2.1. Resource Management in a MEC System
2.2. Energy Saving in a MEC System
2.3. Bio-Inspired Networking
3. System Model
3.1. Service Delay
3.2. MECS Energy Consumption
3.3. Problem Formulation
3.4. Overview of Sleep Control Mechanism
4. Bio-Inspired MECS Sleep Control Method
4.1. Sleep Decision by a MECS
| Algorithm 1 Bio-Inspired Sleep Decision Algorithm |
|
| Algorithm 2 Task transfer algorithm |
|
4.2. MECS Activation Process
4.3. Algorithm Complexity
5. Performance Evaluation
5.1. Performance Comparison
5.2. Impact of Backhaul Network
5.3. Parameter Effect
6. Conclusions and Future Work
Author Contributions
Funding
Institutional Review Board Statement
Informed Consent Statement
Data Availability Statement
Conflicts of Interest
References
- Spinelli, F.; Mancuso, V. Toward Enabled Industrial Verticals in 5G: A Survey on MEC-Based Approaches to Provisioning and Flexibility. IEEE Commun. Surv. Tutor. 2021, 23, 596–630. [Google Scholar] [CrossRef]
- Rodrigues, T.K.; Suto, K.; Nishiyama, H.; Liu, J.; Kato, N. Machine Learning Meets Computation and Communication Control in Evolving Edge and Cloud: Challenges and Future Perspective. IEEE Commun. Surv. Tutor. 2020, 22, 38–65. [Google Scholar] [CrossRef]
- Filali, A.; Abouaomar, A.; Cherkaoui, S.; Kobbane, A.; Guizani, M. Multi-Access Edge Computing: A Survey. IEEE Access 2020, 8, 197017–197046. [Google Scholar] [CrossRef]
- Freitag, C.; Lee, M.B.; Widdicks, K.; Knowles, B.; Blair, G.; Friday, A. The Climate Impact of ICT: A Review of Estimates, Trends and Regulations, Lancaster University. arXiv 2020, arXiv:2102.02622. [Google Scholar]
- Wang, S.; Zhang, X.; Yan, Z.; Wenbo, W. Cooperative Edge Computing with Sleep Control under Nonuniform Traffic in Mobile Edge Networks. IEEE Internet Things J. 2019, 6, 4295–4306. [Google Scholar] [CrossRef]
- Liang, C.; Hey, Y.; Yu, F.R.; Zhao, N. Energy-Efficient Resource Allocation in Software-Defined Mobile Networks with Mobile Edge Computing and Caching. In Proceedings of the 2017 IEEE Conference on Computer Communications Workshops (INFOCOM WKSHPS), Atlanta, GA, USA, 1–4 May 2017. [Google Scholar]
- Chen, L.; Zhou, S.; Xu, J. Energy Efficient Mobile Edge Computing in Dense Cellular Networks. In Proceedings of the 2017 IEEE International Conference on Communications (ICC), Paris, France, 21–25 May 2017. [Google Scholar]
- Zheng, C.; Sicker, D.C. A Survey on Biologically Inspired Algorithms for Computer Networking. IEEE Commun. Surv. Tutor. 2013, 15, 1160–1191. [Google Scholar] [CrossRef]
- Hamrioui, S.; Lorenz, P. Bio Inspired Routing Algorithm and Efficient Communications within IoT. IEEE Netw. 2017, 31, 74–79. [Google Scholar] [CrossRef]
- Park, J.; Lim, Y. Online Service-Time Allocation Strategy for Balancing Energy Consumption and Queuing Delay of a MEC Server. Appl. Sci. 2022, 12, 4539. [Google Scholar] [CrossRef]
- Wu, J.; Wang, L.; Pei, Q.; Cui, X.; Liu, F.; Yang, T. HiTDL: High-Throughput Deep Learning Inference at the Hybrid Mobile Edge. IEEE Trans. Parallel Distrib. Syst. 2022, 33, 4499–4514. [Google Scholar] [CrossRef]
- Chen, S.; Jiao, L.; Liu, F.; Wang, L. EdgeDR: An Online Mechanism Design for Demand Response in Edge Clouds. IEEE Trans. Parallel Distrib. Syst. 2022, 33, 343–358. [Google Scholar] [CrossRef]
- Gao, B.; Zhou, Z.; Liu, F.; Xu, F.; Li, B. An Online Framework for Joint Network Selection and Service Placement in Mobile Edge Computing. IEEE Trans. Mob. Comput. 2022, 21, 3836–3851. [Google Scholar] [CrossRef]
- Chen, Q.; Zheng, Z.; Hu, C.; Wang, D.; Liu, F. On-Edge Multi-Task Transfer Learning: Model and Practice with Data-Driven Task Allocation. IEEE Trans. Parallel Distrib. Syst. 2020, 31, 1357–1371. [Google Scholar] [CrossRef]
- Pan, L.; Wang, L.; Chen, S.; Liu, F. Retention-Aware Container Caching for Serverless Edge Computing. In Proceedings of the IEEE Conference on Computer Communications (INFOCOM’22), London, UK, 2–5 May 2022. [Google Scholar]
- Chen, S.; Wang, L.; Liu, F. Optimal Admission Control Mechanism Design for Time-Sensitive Services in Edge Computing. In Proceedings of the IEEE Conference on Computer Communications (INFOCOM’22), London, UK, 2–5 May 2022. [Google Scholar]
- Pei, Q.; Chen, S.; Zhang, Q.; Zhu, X.; Liu, F.; Jia, Z.; Wang, Y.; Yuan, Y. CoolEdge: Hotspot-relievable Warm Water Cooling for Energy-efficient Edge Datacenters. In Proceedings of the 27th ACM International Conference on Architectural Support for Programming Languages and Operating Systems (ASPLOS’22), Lausanne, Switzerland, 28 February–4 March 2022. [Google Scholar]
- Jin, P.; Fei, X.; Zhang, Q.; Liu, F.; Li, B. Latency-aware VNF Chain Deployment with Efficient Resource Reuse at Network Edge. In Proceedings of the IEEE Conference on Computer Communications (INFOCOM’20), Toronto, ON, Canada, 6–9 July 2020. [Google Scholar]
- Li, M.; Zhang, Q.; Liu, F. Finedge: A Dynamic Cost-efficient Edge Resource Management Platform for NFV Network, In Proceedings of the IEEE/ACM 28th International Symposium on Quality of Service (IWQoS’20), Hang Zhou, China, 15–17 June 2020.
- Yang, Y.; Hu, Y.; Gursoy, M.C. Deep Reinforcement Learning and Optimization Based Green Mobile Edge Computing. In Proceedings of the 2021 IEEE 18th Annual Consumer Communications & Networking Conference (CCNC), Las Vegas, NV, USA, 9–12 January 2021. [Google Scholar]
- Zhu, N.; Xu, X.; Han, S.; Lv, S. Sleep-Scheduling and Joint Computation-Communication Resource Allocation in MEC Networks for 5G IIoT. In Proceedings of the 2021 IEEE Wireless Communications and Networking Conference (WCNC), Nanjing, China, 29 March–1 April 2021. [Google Scholar]
- Bolla, R.; Bruschi, R.; Carrega, A.; Davoli, F.; Lombardo, C. Trading off Power Consumption and Delay in the Execution of Network Functions by Dynamic Activation of Processing Units. In Proceedings of the 2022 IEEE 8th International Conference on Network Softwarization (NetSoft), Milan, Italy, 27 June–1 July 2022. [Google Scholar]
- Wu, B.; Zeng, J.; Shao, S.; Ni, W.; Tang, Y. New Game-Theoretic Approach to Decentralized Path Selection and Sleep Scheduling for Mobile Edge Computing. IEEE Trans. Wirel. Commun. 2022, 21, 6125–6140. [Google Scholar] [CrossRef]
- Ranadheera, S.; Maghsudi, S. Ekram Hossain, Computation Offloading and Activation of Mobile Edge Computing Servers: A Minority Game. IEEE Wirel. Commun. Lett. 2018, 7, 688–691. [Google Scholar] [CrossRef]
- Fragkos, G.; Lebien, S.; Tsiropoulou, E.E. Artificial Intelligent Multi-Access Edge Computing Servers Management. IEEE Access 2020, 8, 171292–171304. [Google Scholar] [CrossRef]
- Badri, H.; Bahreini, T.; Grosu, D.; Yang, K.s. Energy-Aware Application Placement in Mobile Edge Computing: A Stochastic Optimization Approach. IEEE Trans. Parallel Distrib. Syst. 2020, 31, 909–922. [Google Scholar] [CrossRef]
- Zhang, Z.; Long, K.; Wang, J.; Dressler, F. On Swarm Intelligence Inspired Self-Organized Networking: Its Bionic Mechanisms, Designing Principles and Optimization Approaches. IEEE Commun. Surv. Tutor. 2014, 16, 513–537. [Google Scholar] [CrossRef]
- Bitam, S.; Mellouk, A.; Zeadally, S. Bio-Inspired Routing Algorithms Survey for Vehicular Ad Hoc Networks. IEEE Commun. Surv. Tutor. 2015, 17, 843–867. [Google Scholar] [CrossRef]
- Saleem, K.; Alabduljabbar, G.M.; Alrowais, N.; Al-Muhtadi, J.; Imran, M.; Rodrigues, J.J.P.C. Bio-Inspired Network Security for 5G-Enabled IoT Applications. IEEE Access 2020, 8, 229152–229160. [Google Scholar] [CrossRef]
- Collier, J.R.; Monk, N.A.; Maini, P.K.; Lewis, J.H. Pattern Formation by Lateral Inhibition with Feedback: A Mathematical Model of Delta–Notch Inter-Cellular Signalling. J. Theor. Biol. 1996, 183, 429–446. [Google Scholar] [CrossRef]
- Koon, Y.L.; Zhang, S.; Rahmat, M.B.; Koh, C.G.; Chiam, K. Enhanced Delta–Notch Lateral Inhibition Model Incorporating Intracellular Notch Heterogeneity and Tension-Dependent Rate of Delta–Notch Binding that Reproduces Sprouting Angiogenesis Patterns. Sci. Rep. 2018, 8, 9519. [Google Scholar] [CrossRef] [PubMed]
- Park, J.; Kim, Y.; Lee, J. Mobility Load Balancing Method for Self-Organizing Wireless Networks Inspired by Synchronization and Matching With Preferences. IEEE Trans. Veh. Technol. 2018, 67, 2594–2606. [Google Scholar] [CrossRef]
- Liu, F.; Sun, D.; Murakami, R.; Matsuno, H. Modeling and Analysis of the Delta–Notch Dependent Boundary Formation in the Drosophila Large Intestine. BMC Syst. Biol. 2017, 11, 43–60. [Google Scholar] [CrossRef] [PubMed]













| Notations | Meaning |
|---|---|
| A set of neighboring MECSs of a MECS i | |
| Task service rate of a MECS i | |
| The length of a task queue in a MECS i at the beginning of a time slot t | |
| The number of tasks received by a MECS i during a time slot t | |
| The amount of energy consumed by a MECS i during a time slot t | |
| Utilization of a MECS i during a time slot t. | |
| Operation mode of a MECS i during a time slot t | |
| Delta activation level of a MECS i during a time slot t | |
| Notch activation level of a MECS i during a time slot t | |
| A function determining the production rate of the Notch activation level | |
| A function determining the production rate of the Delta activation level | |
| Proportion of tasks transferred from a sleeping MECS i to its neighbor j |
Disclaimer/Publisher’s Note: The statements, opinions and data contained in all publications are solely those of the individual author(s) and contributor(s) and not of MDPI and/or the editor(s). MDPI and/or the editor(s) disclaim responsibility for any injury to people or property resulting from any ideas, methods, instructions or products referred to in the content. |
© 2023 by the authors. Licensee MDPI, Basel, Switzerland. This article is an open access article distributed under the terms and conditions of the Creative Commons Attribution (CC BY) license (https://creativecommons.org/licenses/by/4.0/).
Share and Cite
Park, J.; Lim, Y. Bio-Inspired Sleep Control for Improving the Energy Efficiency of a MEC System. Appl. Sci. 2023, 13, 2620. https://doi.org/10.3390/app13042620
Park J, Lim Y. Bio-Inspired Sleep Control for Improving the Energy Efficiency of a MEC System. Applied Sciences. 2023; 13(4):2620. https://doi.org/10.3390/app13042620
Chicago/Turabian StylePark, Jaesung, and Yujin Lim. 2023. "Bio-Inspired Sleep Control for Improving the Energy Efficiency of a MEC System" Applied Sciences 13, no. 4: 2620. https://doi.org/10.3390/app13042620
APA StylePark, J., & Lim, Y. (2023). Bio-Inspired Sleep Control for Improving the Energy Efficiency of a MEC System. Applied Sciences, 13(4), 2620. https://doi.org/10.3390/app13042620

