One-Body Capillary Plasma Source for Plasma Accelerator Research at e-LABs
Abstract
1. Introduction
2. Development of the One-Body Capillary Plasma Source
2.1. Sapphire-Based, One-Body Capillary Gas Cell
2.2. Characterization
3. Laser–Plasma Electron Acceleration with a Capillary Gas Cell
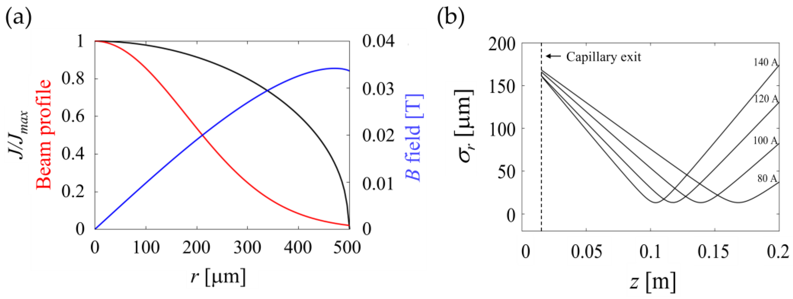
4. Capillary Discharge Plasma Source for Active Plasma Lens
5. Discussion
Author Contributions
Funding
Institutional Review Board Statement
Informed Consent Statement
Data Availability Statement
Acknowledgments
Conflicts of Interest
References
- Geddes, C.G.R.; Tóth, C.; van Tilborg, J.; Esarey, E.; Schroeder, C.B.; Bruhwiler, D.; Nieter, C.; Cary, J.; Leemans, W.P. High-quality electron beams from a laser wakefield accelerator using plasma-channel guiding. Nature 2004, 431, 538–541. [Google Scholar] [CrossRef] [PubMed]
- Faure, J.; Glinec, Y.; Pukhov, A.; Kiselev, S.; Gordienko, S.; Lefebvre, E.; Rousseau, J.P.; Burgy, F.; Malka, V. A laser-plasma accelerator producing monoenergetic electron beams. Nature 2004, 431, 541–544. [Google Scholar] [CrossRef] [PubMed]
- Leemans, W.P.; Nagler, B.; Gonsalves, A.J.; Tóth, C.; Nakamura, K.; Geddes, C.G.R.; Esarey, E.; Schroeder, C.B.; Hooker, S.M. GeV electron beams from a centimetre-scale accelerator. Nat. Photonics 2006, 2, 696–699. [Google Scholar] [CrossRef]
- Schlenvoigt, H.P.; Haupt, K.; Debus, A.; Budde, F.; Jäckel, O.; Pfotenhauer, S.; Schwoerer, H.; Rohwer, E.; Gallacher, J.G.; Brunetti, E.; et al. A compact synchrotron radiation source driven by a laser-plasma wakefield accelerator. Nat. Phys. 2007, 4, 130–133. [Google Scholar] [CrossRef]
- Osterhoff, J.; Popp, A.; Major, Z.; Marx, B.; Rowlands-Rees, T.P.; Fuchs, M.; Geissler, M.; Hörlein, R.; Hidding, B.; Becker, S.; et al. Generation of stable, low-divergence electron beams by laser-wakefield acceleration in a steady-state-flow gas cell. Phys. Rev. Lett. 2008, 101, 085002. [Google Scholar] [CrossRef]
- Cipiccia, S.; Islam, M.R.; Ersfeld, B.; Shanks, R.P.; Brunetti, E.; Vieux, G.; Yang, X.; Issac, R.C.; Wiggins, S.M.; Welsh, G.H.; et al. Gamma-rays from harmonically resonant betatron oscillations in a plasma wake. Nat. Phys. 2011, 7, 867–871. [Google Scholar] [CrossRef]
- Wang, W.; Feng, K.; Ke, L.; Yu, C.; Xu, Y.; Qi, R.; Chen, Y.; Qin, Z.; Zhang, Z.; Fang, M.; et al. Free-electron lasing at 27 nanometres based on a laser wakefield accelerator. Nature 2021, 595, 516–520. [Google Scholar] [CrossRef]
- Ciocarlan, C.; Wiggins, S.M.; Islam, M.R.; Ersfeld, B.; Abuazoum, S.; Wilson, R.; Aniculaesei, C.; Welsh, G.H.; Vieux, G.; Jaroszynski, D.A. The role of the gas/plasma plume and self-focusing in a gas-filled capillary discharge waveguide for high-power laser-plasma applications. Phys. Plasmas 2013, 20, 093108. [Google Scholar] [CrossRef]
- Spence, D.J.; Butler, A.; Hooker, S.M. Gas-filled capillary discharge waveguides. J. Opt. Soc. Am. B 2003, 20, 138–151. [Google Scholar] [CrossRef]
- Kim, M.S.; Jang, D.G.; Uhm, H.S.; Hwang, S.W.; Lee, I.W.; Suk, H. Discharge characteristics of a gas-filled capillary plasma for laser wakefield acceleration. IEEE Trans. Plasma Sci. 2011, 39, 1638–1643. [Google Scholar] [CrossRef]
- Kim, M.S.; Jang, D.G.; Lee, T.H.; Nam, I.H.; Lee, I.W.; Suk, H. Characteristics of a tapered capillary plasma waveguide for laser wakefield acceleration. Appl. Phys. Lett. 2013, 102, 204103. [Google Scholar] [CrossRef]
- Gonsalves, A.J.; Nakamura, K.; Daniels, J.; Benedetti, C.; Pieronek, C.; de Raadt, T.C.H.; Steinke, S.; Bin, J.H.; Bulanov, S.S.; van Tilborg, J.; et al. Petawatt laser guiding and electron beam acceleration to 8 GeV in a laser-heated capillary discharge waveguide. Phys. Rev. Lett. 2019, 122, 084801. [Google Scholar] [CrossRef] [PubMed]
- van Tilborg, J.; Steinke, S.; Geddes, C.G.R.; Matlis, N.H.; Shaw, B.H.; Gonsalves, A.J.; Huijts, J.V.; Nakamura, K.; Daniels, J.; Schroeder, C.B.; et al. Active plasma lensing for relativistic laser-plasma-accelerated electron beams. Phys. Rev. Lett. 2015, 115, 184802. [Google Scholar] [CrossRef] [PubMed]
- Steinke, S.; van Tilborg, J.; Benedetti, C.; Geddes, C.G.R.; Schroeder, C.B.; Daniels, J.; Swanson, K.K.; Gonsalves, A.J.; Nakamura, K.; Matlis, N.H.; et al. Multistage coupling of independent laser-plasma accelerators. Nature 2016, 530, 190–193. [Google Scholar] [CrossRef] [PubMed]
- Lindstrøm, C.A.; Adli, E.; Boyle, G.; Corsini, R.; Dyson, A.E.; Farabolini, W.; Hooker, S.M.; Meisel, M.; Osterhoff, J.; Röckemann, J.H.; et al. Emittance preservation in an aberration-free active plasma lens. Phys. Rev. Lett. 2018, 121, 194801. [Google Scholar] [CrossRef]
- Andreev, N.E.; Cassou, K.; Wojda, F.; Genoud, G.; Burza, M.; Lundh, O.; Persson, A.; Cros, B.; Fortov, V.E.; Wahlström, C.G. Analysis of laser wakefield dynamics in capillary tubes. New J. Phys. 2010, 12, 045024. [Google Scholar] [CrossRef]
- Hansson, M.; Senje, L.; Persson, A.; Lundh, O.; Wahlström, C.G. Enhanced stability of laser wakefield acceleration using dielectric capillary tubes. Phys. Rev. ST Accel. Beams 2014, 17, 031303. [Google Scholar] [CrossRef]
- Nam, I.; Kim, M.; Lee, T.H.; Lee, S.W.; Suk, H. Highly-efficient 20 TW Ti:sapphire laser system using optimized diverging beams for laser wakefield acceleration experiments. Curr. Appl. Phys. 2015, 15, 468–472. [Google Scholar] [CrossRef]
- Kim, J.; Phung, V.L.J.; Roh, K.; Kim, M.; Kang, K.; Suk, H. Development of a density-tapered capillary gas cell for laser wakefield acceleration. Rev. Sci. Instrum. 2021, 92, 023511. [Google Scholar] [CrossRef]
- Maier, A.R.; Delbos, N.M.; Eichner, T.; Hübner, L.; Jalas, S.; Jeppe, L.; Jolly, S.W.; Kirchen, M.; Leroux, V.; Messner, P.; et al. Decoding sources of energy variability in a laser-plasma accelerator. Phys. Rev. X 2020, 10, 031039. [Google Scholar] [CrossRef]
- Wiggins, S.M.; Reijnders, M.P.; Abuazoum, S.; Hart, K.; Welsh, G.H.; Issac, R.C.; Jones, D.R.; Jaroszynski, D.A. Femtosecond laser micromachining of straight and linearly tapered capillary discharge waveguides. Rev. Sci. Instrum. 2011, 82, 096104. [Google Scholar] [CrossRef] [PubMed]
- Katahira, K.; Ogawa, Y.; Morita, S.; Yamazaki, K. Experimental investigation for optimizing the fabrication of a sapphire capillary using femtosecond laser machining and diamond tool micromilling. CIRP Ann. Manuf. Technol. 2020, 69, 229–232. [Google Scholar] [CrossRef]
- Ju, J. Electron Acceleration and Betatron Radiation Driven by Laser Wakefield Inside Dielectric Capillary Tubes. Ph.D. Thesis, Université Paris-Sud, Orsay, France, 2013. [Google Scholar]
- Filippi, F.; Anania, M.P.; Biagioni, A.; Chiadroni, E.; Cianchi, A.; Ferber, Y.; Ferrario, M.; Zigler, A. 3D-printed capillary for hydrogen filled discharge for plasma based experiments in RF-based electron linac accelerator. Rev. Sci. Instrum. 2018, 89, 083502. [Google Scholar] [CrossRef] [PubMed]
- Hasan, M.; Zhao, J.; Jiang, Z. A review of modern advancements in micro drilling techniques. J. Manuf. Process. 2017, 29, 343–375. [Google Scholar] [CrossRef]
- Wang, J.; Feng, P.; Zhang, J.; Cai, W.; Shen, H. Investigations on the critical feed rate guaranteeing the effectiveness of rotary ultrasonic machining. Ultrasonics 2017, 74, 81–88. [Google Scholar] [CrossRef]
- Wakabayashi, H.; Koike, R.; Kakinuma, Y.; Aoyama, T.; Shimada, H.; Hamada, S. Ultrasonic-vibration-assisted micromachining of sapphire. Mater. Sci. Forum 2016, 874, 247–252. [Google Scholar] [CrossRef]
- Born, M.; Wolf, E. Principles of Optics, 7th ed.; Cambridge University Press: Cambridge, UK, 1999; pp. 75–115. [Google Scholar]
- Kulesh, V.P. Measurement of gas density by heterodyne interferometry. Meas. Tech. 1996, 39, 162–167. [Google Scholar] [CrossRef]
- Sung, J.H.; Yong, J.W.; Choi, I.W.; Lee, S.K.; Lee, H.W.; Yang, J.M.; Kim, Y.G.; Nam, C.H. 5-Hz, 150-TW Ti:sapphire laser with high spatiotemporal quality. J. Korean Phys. Soc. 2020, 77, 223–228. [Google Scholar] [CrossRef]
- Cho, M.H.; Kim, M.; Nam, I. Numerical dispersion free in longitudinal axis for particle-in-cell simulation. J. Comput. Phys. 2022, 462, 111221. [Google Scholar] [CrossRef]
- Bobrova, N.A.; Esaulov, A.A.; Sakai, J.-I.; Sasorov, P.V.; Spence, D.J.; Butler, A.; Hooker, S.M.; Bulanov, S.V. Simulations of a hydrogen-filled capillary discharge waveguide. Phys. Rev. E 2001, 65, 016407. [Google Scholar] [CrossRef]
- Hong, J.; Han, J.H.; Min, C.K. Performance of S-band photocathode rf gun with coaxial coupler. In Proceedings of the 39th Free Electron Laser Conference (FEL’19), Hamburg, Germany, 26–30 August 2019. [Google Scholar]
- Kim, C.; Park, S.J.; Min, C.K.; Hu, J.; Kim, S.H.; Joo, Y.; Heo, H.; Kim, D.E.; Lee, S.; Kang, H.S.; et al. Review of technical achievements in PAL-XFEL. AAPPS Bull. 2022, 32, 15. [Google Scholar] [CrossRef]







Disclaimer/Publisher’s Note: The statements, opinions and data contained in all publications are solely those of the individual author(s) and contributor(s) and not of MDPI and/or the editor(s). MDPI and/or the editor(s) disclaim responsibility for any injury to people or property resulting from any ideas, methods, instructions or products referred to in the content. |
© 2023 by the authors. Licensee MDPI, Basel, Switzerland. This article is an open access article distributed under the terms and conditions of the Creative Commons Attribution (CC BY) license (https://creativecommons.org/licenses/by/4.0/).
Share and Cite
Lee, S.; Kwon, S.-h.; Nam, I.; Cho, M.-H.; Jang, D.; Suk, H.; Kim, M. One-Body Capillary Plasma Source for Plasma Accelerator Research at e-LABs. Appl. Sci. 2023, 13, 2564. https://doi.org/10.3390/app13042564
Lee S, Kwon S-h, Nam I, Cho M-H, Jang D, Suk H, Kim M. One-Body Capillary Plasma Source for Plasma Accelerator Research at e-LABs. Applied Sciences. 2023; 13(4):2564. https://doi.org/10.3390/app13042564
Chicago/Turabian StyleLee, Sihyeon, Seong-hoon Kwon, Inhyuk Nam, Myung-Hoon Cho, Dogeun Jang, Hyyong Suk, and Minseok Kim. 2023. "One-Body Capillary Plasma Source for Plasma Accelerator Research at e-LABs" Applied Sciences 13, no. 4: 2564. https://doi.org/10.3390/app13042564
APA StyleLee, S., Kwon, S.-h., Nam, I., Cho, M.-H., Jang, D., Suk, H., & Kim, M. (2023). One-Body Capillary Plasma Source for Plasma Accelerator Research at e-LABs. Applied Sciences, 13(4), 2564. https://doi.org/10.3390/app13042564

