Abstract
Optimal energy management trends are indispensable in improving the power grid’s reliability. However, power usage scheduling for energy management (EM) poses several challenges on a practical and technical level. This paper develops an energy consumption scheduler (ECS) to solve the power usage scheduling problem for optimal EM and overcome the major challenge in demand response (DR) implementation. This work aims to solve the power usage scheduling problem for EM to optimize utility bill, peak energy demand, and pollution emission while considering the varying pricing signal, distributed generators (DGs), household load, energy storage batteries, users, and EUC constraints. The ECS is based on a stochastic algorithm (genetic wind-driven optimization (GWDO) algorithm) because generation, DGs, demand, and energy price are stochastic and uncertain. The ECS based on the GWDO algorithm determines the optimal operation schedule of household appliances and batteries charge/discharge for a day time horizon. The developed model is analyzed by conducting simulations for two cases: home is not equipped with DGs, and home is equipped DGs in terms of utility bill, peak energy demand, and pollution emission. The simulation results validated the proposed model’s applicability to EM problems.
1. Introduction
Due to technology and population growth, the energy demand is growing rapidly worldwide [1]. Mostly, energy generation is fossil fuel-based, which is costly and produces almost 27% carbon emissions after transportation [2]. Therefore, distributed generators (DGs) are introduced in the power system for power generation to avoid such problems, which are dangerous for the environment and can lead to global warming [3,4,5,6]. However, DGs, especially renewable DGs, are intermittent, and their generation is unstable [7,8,9]. To overcome the fluctuations and smooth out generation from DGs, the integration of energy storage systems (ESSs) and electric vehicle driving modes are needed [10,11,12,13,14]. This becomes possible with emanation of smart power grid (SPG), which combines the traditional grid and ICT [15]. The SPG accommodates renewable, distributed, and hybrid generations and enables a two-way power and communication flow [16].
The SPG intelligently engages end-users and electric utility companies (EUCs) in electricity markets to exchange information and electricity actively in real-time [17]. The intelligent engagement of consumers and EUCs in the electricity market is beneficial for both consumers and EUCs because it provides cheaper, green, and sustainable energy [18,19]. Recently, different optimization techniques have been introduced to ensure consumers’ active participation in the electricity market for various objectives such as operational cost, pollution emission, availability of DGs, user comfort, etc. [20,21,22,23].
The frameworks mentioned above are vital for solving EM via optimal scheduling in SPG. However, each framework has its own characteristics and constraints, and is appropriate for specific problems, objectives, and assumptions. Additionally, no framework exists that is perfect in all aspects, and can simultaneously cater conflicting objectives. Thus, a model is needed that solves the EM problem and caters simultaneously conflicting objectives. In this regard, a system model is proposed based on a novel algorithm, a genetic wind-driven optimization (GWDO) algorithm, for EM problems. The developed model simultaneously caters to energy cost, PAR, carbon emissions, and discomfort minimization. Additionally, the generation of DGs is intermittent, making it more challenging to handle. Thus, ESS is integrated with DGs to overcome the problem of energy generation fluctuations and meet the need of the load smoothly. The consumer’s load is classified as interruptible portable, uninterruptible portable, and has consistent applications for participating in the DR to solve the EM problem. For validation and applicability, the proposed GWDO-based ECS is compared with the existing heuristic algorithms such as GA, particle swarm optimization (PSO), bacterial foraging algorithm (BFA), ant colony optimization (ACO), and wind driven optimization (WDO) in aspects of solving energy problems. Due to architectural similarities, newly designed hybrid algorithms such as genetic particle swarm optimization (GPSO), genetic bacterial foraging algorithm (GBFA), and genetic ant colony optimization (GACO) are also used as benchmarks. The proposed system model simulations are carried out in two scenarios: in the first scenario, the home is not equipped with DGs, and in the second scenario, the home is equipped with DGs. The findings reveal that the proposed GWDO-based ECS outperforms the existing algorithms in solving EM problems.
The remaining paper is arranged as: Related work is discussed in Section 2. In Section 3, the developed framework for electricity market EM is presented. The overall problem formulation and mathematical modeling are briefly discussed in Section 4. The simulation results for two scenarios are presented in Section 5. Finally, the paper is concluded in Section 6.
2. Related Work
In the literature, the demand response (DR) and incline block tariff (IBT) concepts [24,25] considering DGs are introduced for energy management (EM) via shifting and curtailing loads during peak hours to avoid extra economic costs [26,27,28]. However, before EM load forecasting, human-factors identification in driving, and transmission resilience enhancement are indispensable [29,30,31]. Similarly, optimization algorithms are presented for EM problems in [32,33,34,35]. The authors used a heuristic forward–backward algorithm for optimizing thermal appliances to curtail peak energy consumption [36,37,38,39]. However, measurement applications and transmission system faults [40,41] are ignored. The genetic algorithm (GA) is used to solve EM problems for cost and discomfort minimization [42,43]. An ESS is integrated with photovoltaic (PV) to solve the EM problem in [44,45]. Likewise, an optimization strategy is introduced for scheduling appliances to optimize the operational cost and peak-to-average demand ratio (PADR) [46]. Moreover, the power usage scheduling problem is solved by engaging consumers from commercial and residential areas [47]. The EM considering DGs is performed via a particle swarm optimization technique to reduce the PADR and cost [48,49,50]. However, vehicle driving modes and charging/discharging scheduling are not addressed [51,52,53,54]. In [55], the power usage problem is solved using real-time pricing and IBT for peak energy consumption and user discomfort minimization. An automation system is introduced to improve buildings’ efficiency, allowing consumers to control and monitor consumption in [56,57]. A literature review pertinent to the topic is conducted, and some existing literature studies are discussed in detail. For example, in research studies [58], authors proposed a multi-integer linear programming technique for PADR reduction. The results illustrate that the PADR is reduced by 49%, and the net energy cost is reduced by 45% compared to the base case. A demand-side management (DSM) strategy based on GA, binary particle swarm optimization (BPSO), WDO, and GPSO is developed in [59]. The results illustrate that the electricity bills and PADR are reduced by 21.55% and 19.94%, respectively. However, the carbon emission reduction is ignored [60]. The authors developed a model to solve an ongoing pollution routing problem and environment polarization characteristics in [61,62]. The electricity cost and PADR with the user’s discomfort minimization are solved using the Nash game theory-based optimization model in [63,64,65]. The results illustrate that the electricity cost is reduced by 9.1% in the summer and 9.68% in the winter, respectively. Moreover, the PADR is reduced by 1.76% and 1.81% in the summer and winter seasons, respectively. However, an essential parameter, carbon emission, is ignored in this study. The ECS based on various optimization techniques such as GA, BPSO, WDO, etc., is presented in [66,67], which shows better results in terms of PADR and electricity cost reduction. The findings reveal that the electricity cost is reduced by 36% and PADR is reduced by 34%, respectively. However, the authors ignored user comfort and carbon emission, which are interdependent objectives [68,69,70,71,72]. In our earlier works, enhanced differential evolution (EDE), and a hybrid algorithm of EDE and GA, namely EDGE, are developed in [73,74], respectively, to solve load scheduling problems in RE-integrated SPG. The developed model’s performance is evaluated by comparing with BPSO, GA, WDO, and DE in perspectives of the utility bill, PADR, carbon emission, and user discomfort minimization. Likewise, in [75], the authors developed ACO to solve the DSM problem optimally using a flat pricing scheme (FPS) in SPG. The developed model outperforms MILP and W/O scheduling cases in the utility bill, carbon emission, and PADR alleviation perspectives. The authors in [76] develop a PSO-based super twisting sliding mode controller to balance the consumer demand according to the generation using dynamic pricing. An intelligent framework based on genetic and binary particle swarm optimization algorithm is developed in [77] for DSM in SPG. Similarly, an intelligent framework based on GACO is proposed in [78] for the energy optimization of renewable integrated SPG. A two-stage framework is developed in [79], where the electric load is forecasted for efficient EM in SPG. In [80], RESs are integrated with SPG to solve the DSM problem. The authors in [81] introduce the DR program in SPG to solve the DSM problem. Refs. [77,78,79,80,81], solve the DSM problem with the aim to minimize energy cost, carbon emission, user comfort, and PADR. Likewise, the authors develop control approaches in [82,83] to solve energy and load balancing problems in SPG and data centers, respectively, with the aim to minimize energy costs. The proposed model is compared with existing models in aspects of techniques, objectives, scenarios, and pricing schemes in Table 1.
Table 1.
Summarized related work.
3. Proposed System Model for Optimal Energy Management
This work proposes an efficient ECS based on the GWDO algorithm for optimal EM, considering DR and DGs with load flexibility. The developed model has two modules: (i) distribution system operator, and (ii) DSM. The developed framework is a cascaded framework, where the first module’s output is the next module’s input. The developed model implementation for the optimal EM requires identifying the influencing parameters and factors. The factors influencing optimal EM include DG profiles, DR, geological data, environment situation, ESSs, load flexibility, users, EUC constraints, etc. However, considering all the influencing factors would make the system’s process more complex and affect the performance. Therefore, DGs, DR, ESS, load profiles, and consumer flexibility are considered. The AMI of the developed model will receive data about energy consumption and DR. The AMI will regulate the energy price signal and deliver it to ECS. The GWDO-based ECS algorithm installed at the module will utilize users’ energy consumption pattern and price signal delivered by the AMI for optimal EM via power usage scheduling. The schematic diagram of the proposed model is shown in Figure 1. A detailed discussion of the proposed system model is given below.
Figure 1.
Developed framework for electricity market energy management.
3.1. Distribution System Operator Module with Advance Communication Infrastructure
The distribution system operator (DSO) provides an advanced communication infrastructure, i.e., AMI. The AMI consists of a data concentrator, communication module, and meter data management system. The communication module has two further modules: one on the consumer side and the other on the DSO side. The communication modules are connected to smart meters and are responsible for delivering and updating user energy consumption data. The energy usage data is received by the data concentrator and then regulated to the meter data management system for further processing. Here, the meter data management analyzes the user’s energy consumption, processes the data to extract useful information, and then communicates this data to the DSO. This real-time sharing of information with the DSO empowers them to maintain, improve and detect power outages. The DSO is also responsible for regulating varying pricing signals. The ECS based on GWDO schedules the power usage pattern of users to minimize peak energy consumption, cost, PADR, user discomfort, and carbon emissions by efficiently utilizing DGs. Thus, the role of AMI is a communication system between DSO and end users.
3.2. Demand Side Management Module
The DSM module have smart meter, a GWDO-based ECS, an in-home display, home appliances, and a computer control unit. The smart meter receives data from DSO and establishes and maintains communication with the supply side. Its role is to collect the users’ energy consumption data and communicate it with DSO, acting as a gateway to the demand side. The smart meter also receives the data from the DSO like an energy pricing signal and then communicates it to the ECS and later broadcasts this data to the in-home display. The GWDO-based ECS collects the energy pricing signal, power ratings of the appliances, energy consumption pattern, and priority set by the user and schedules the power usage pattern of home appliances for optimal EM. Moreover, the priority and consumption pattern of the appliances can be adjusted or can be changed by the user via a user interface such as an in-home display, etc.
The overall load of the consumer is divided into three categories: portable interruptible, portable uninterruptible, and consistent. The appliances’ power ratings and operation time are shown in Table 2. The overall set of appliances is represented by , where the further classification of application into the portable interruptible, portable uninterruptible, and consistent sets of appliances can be represented by , , , respectively, whereas the operation time of the appliances is considered for the 24 h and represented by T = , , … .
Table 2.
Appliances specification and description.
3.2.1. Portable Interruptible Load
Portable interruptible appliances can be interrupted during operation and scheduled for operation at any possible time. This set includes personal computers, microwave ovens, cooking ranges, water pumps, and electric irons. Energy consumption per day of portable interruptible set of appliances can be determined using Equation (1) taken from [80], where is the set of portable interruptible appliances, represents one appliance that belongs to , and shows the power rating.
where appliances energy cost is mathematically modeled in Equation (3). The state of the appliance, i.e., ON/OFF [0 1], is represented by and RTP signal by . The per hour and total operation costs are modeled in Equations (2) and (3), respectively [80].
where shows the total cost of portable interruptible appliances, denotes set of portable interruptible appliances, shows the power rating, represents the pricing signal, and shows the ON/OFF status of appliances.
3.2.2. Portable Uninterruptible Load
Portable uninterruptible appliances can be operated anytime, but cannot be disturbed or stopped during the operation. Portable uninterruptible appliances include washing machines, blenders, etc. Energy consumption per hour is denoted by , which is modeled in Equation (4), taken from [80]. is the portable uninterruptible appliances set, is an appliance that belongs to , and the power rating is . The net energy consumption is mathematically modeled in Equation (4), taken from [80].
3.2.3. Consistent Load
Appliances that are consistently ON for 24 h a day and cannot be interrupted during their operation are considered consistent loads. The per hour energy consumption of a consistent load is modeled in Equation (7), where is the set of portable uninterruptible appliances, represents an appliance that belongs to , and the power rating is denoted by . The total energy consumption is modeled in Equation (7) [80].
The hourly energy cost of consistent appliances is mathematically modeled in Equations (8) and (9), respectively [80].
The net load considered in this work is modeled in Equation (10).
The optimal energy consumption pattern obtained by the proposed algorithm-based ECS using a pricing signal is shown in Equation (11).
4. Problem Formulation and Numerical Modelling
Most EM frameworks consist of energy optimization strategies whose primary goal is minimizing the energy cost and PADR via consumer appliance scheduling. Additionally, the efficient utilization of DGs reduces the per-unit energy cost. In this section, we defined our optimization problem, focusing on reducing the per unit energy cost, PADR, and user discomfort and decreasing energy consumption with carbon emissions reduction. In this current work, we proposed a GWDO-based ECS, which simultaneously addresses and achieves all these objectives. Using our proposed framework, the consumers actively participate in DR programs to optimally schedule appliances that help to achieve the desired objectives. The detailed formulation is presented below.
4.1. Objective Function
This section discusses the objective function formulation to achieve the desired objectives such as minimization of energy cost, PADR, energy consumption, carbon emission, and user discomfort. These objectives can be achieved by scheduling the consumer’s appliances into the off-peak hours using the GWDO-based ECS. The objective function in Equation (12) is modeled and defined as follows.
where , CO, , and represent cost, carbon emission, user discomfort, and PADR, respectively. As these objectives have different dimensional units, their addition is made possible by normalization, dimensionality, and a weighted sum approach subject to the constraints and goal of the optimization problem, as in [92]. Each objective used in Equation (12) is defined separately as follows.
The energy cost is modeled and defined in Equation (13). It shows the cost paid by user for the consumed energy.
Equation (14) mathematically defines PADR, which is the ratio of peak load demand to average load demand. The PADR metric determines users’ load operating during peak hours to show whether the users’ load is high or low. Reducing PADR ensures efficient scheduling of appliances from peak hours to off-peak hours. Thus, shifting load from on- to off-peak hours leads to the minimization of energy cost, carbon emission, and peak energy consumption.
The CO is carbon emission, defined in Equation (15), represents the energy price per kWh equal to USD 0.2, is a carbon emission factor equal to 0.37, and m is the number of months.
used in Equation (12) represents the waiting time of an appliance after scheduling, which is defined in Equation (16).
The objective function defined in Equation (12) is subjected to the following constraints, which are defined as follows.
Equation (17) shows that home energy consumption must be bounded between the lower and upper limits and , respectively, which ensures that the peak loads and average loads cannot be the same. Equation (18) shows home energy consumption before and after the scheduling must be the same to ensure a fair comparison. Likewise, Equation (19) ensures that home energy consumption does not exceed the grid generation capacity, providing reliable power grid operation. Equation (20) illustrates that the length of appliances’ operation time is not affected by the scheduling process, i.e., it must be the same before and after scheduling.
4.2. Solar Energy Generation System
A solar energy generation system is utilized to lower the dependence on the traditional power grid during peak hours for utility bill, pollution emission, and PADR alleviation. The output of the solar energy generation system is calculated using Equation (21), as follows.
where represents the hourly PV energy generation, is the PV system efficiency, is the area of the PV system, is variable representing solar irradiance, and shows outside temperature, respectively.
4.3. Energy Storage Systems
The overall stored energy (SE) in the ESS is mathematically represented by Equation (22), where is the maximum level, and is the minimum level of the ESS. Moreover, some limits are defined for the charging and discharging, and the depth of the charge is kept at 90%. SE shows the overall energy stored in ESS in the unit of Ah, charging, discharging state, and the efficiency of the ESS, , , and , respectively.
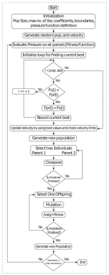
4.4. Proposed Genetic Wind Driven Optimization Algorithm
In the literature, many frameworks are proposed for optimal EM via power usage scheduling. In this work, a GWDO-based ECS is developed, which uses DR, consumer’s power usage pattern, DGs, etc., to schedule consumers’ power usage patterns. The GWDO algorithm is developed by combining key steps of two algorithms: WDO and GA.
The GA is a biologically inspired nonlinear algorithm. It leads to the selection of the upcoming living organisms with a capability best suited to the environment in which they will survive. The less suited to the environment will become extinct over the years. The genes are responsible for the characteristics of the organisms present in the chromosomes. Hence, the GA follows these steps for optimization through the biological process adopted for transferring genetic information and finding the best offspring suited for the environment using the fitness function of the optimization algorithm. The parent chromosomes in GA use crossover and mutation to transfer the information to the newly formed offspring. In the crossover step of the GA, two of the parent chromosomes mutually transfer genetic information randomly to selected points. In the mutation step, some randomly selected genes on the parent chromosome undergo a random change in the new offspring. The WDO algorithm is a heuristic optimization algorithm based on the movement of air particles in the environment. In the WDO algorithm, an N number of dimensional search space is produced, where an infinite number of air particles move, which is controlled by several forces known as gravitational, pressure gradient, frictional, and Coriolis. The mentioned forces are mainly responsible for several functions, as the gradient force is responsible for the shifting and moving forward of the air particles. In contrast, the frictional force is involved in resisting the forward direction movement. The gravitational force pulls the air particles into the origin, and the Coriolis force deflects the air particles into the atmosphere. The following Equations are used to calculate these forces, which act on the air particles. The Equations (26)–(29) represent the pressure gradient, Coriolis, gravitational, and frictional forces respectively.
The proposed GWDO algorithm is a cascaded form of the genetic and WDO algorithms. Thus, the developed algorithm at the first stage has the complete steps and processes of the WDO algorithm. In the second stage, it employs crossover and mutation steps of the GA on the global best solution returned from the first stage. This development of the GWDO algorithm is because of the WDO algorithm’s superior performance in reducing energy cost and maximizing user comfort. In contrast, the GA performs best in reducing PADR. Thus, the key steps of the WDO and GA are combined to obtain objectives: utility, PADR, and carbon emission reduction while improving user comfort. The GWDO algorithm is a type of optimization algorithm that is inspired by the principles of evolution of genetics (GA) and air parcels (WDO). In this work, GWDO is employed to solve the EM problem in the electricity market. The fitness function in a GWDO flowchart represents the objectives (energy cost, etc.) that the algorithm tries to optimize. In the context of EM, the fitness function may represent the cost of electricity. Mutation in a GWDO involves randomly changing the genes (parameters) of the solution candidates (chromosomes). In EM, mutation corresponds to changing the mix of the energy sources used to generate electricity. The selection of one offspring involves choosing the best solution candidate (chromosome) from the current generation to be passed on to the next generation. In the context of EM, selection may involve choosing the energy mix that results in the lowest cost of electricity while meeting the desired reliability requirements. In summary, the GWDO algorithm is used to optimize EM and electricity cost by using a fitness function to evaluate the quality of the solution candidates, using crossover and mutation to explore new solutions, and using selection to choose the best solution for the next generation. The complete setup-wise details of the GWDO algorithm are shown in Figure 2 and their parameters are listed in Table 3.
Figure 2.
Flowchart diagram of the overall energy management system model.
Table 3.
GWDO parameter values.
5. Simulations Results and Discussions
This section presents the simulation results and discusses the developed model for optimal EM via power usage scheduling. Our proposed system model simulations are carried out for two case studies: (a) home is not equipped with DGs, and (b) home is equipped with DGs. The load is served via a power supply from the EUC and DGs. These case studies are created to evaluate the validity and applicability of the proposed system model for achieving our desired objectives. Furthermore, the proposed GWDO-based ECS is compared with existing algorithms in aspects of optimal EM. In the proposed system model, we have considered six appliances as a load of the consumer, which are smart appliances connected via WiFi to the ECS. The GWDO algorithm-based ECS schedules the operation of smart appliances using an energy pricing signal considering consumer and EUC constraints. Distributed generations such as PV, WT, ESS, and DGs are shown in Figure 3. The RTP signal is depicted in Figure 4.
Figure 3.
DGs: (a) PV energy generation, (b) wind energy generation, (c) DGs generation, and (d) EVs charging/discharging with DGs.
Figure 4.
Pricing signal for energy management.
5.1. Case Study 1: Home Is Not Equipped with DGs
This case study considers that home is not equipped with DGs, and the home is only receiving power from SPG. The proposed GWDO-based ECS schedules consumers’ appliances using RTP signal. The obtained results for all the objectives (energy cost, PADR, carbon emission, and user comfort) are compared with the benchmark algorithms, which are discussed in detail as follows.
5.1.1. Electricity Cost Optimization
Figure 5 depicts the net electricity cost consumed by the consumer’s appliances having unscheduled loads without DGs for case study 1. In the case of the unscheduled load, the highest cost of electricity recorded is 70 cents in slots 9–10, and the combined electricity cost is 730 cents for 24 h. In PSO, the maximum energy cost is 65 cents at the 19–20, 21–22, and 23–24 time slots, whereas the combined 24 h slot is 638. In WDO, the maximum electricity cost recorded is 53 cents at the 8–9 time slot, and the 24 h combined cost is 646. While considering the results of ACO, it is 67 cents at the 7–8 h slot, and at 24 h it is 638. Similarly, BFA has 58 cents in the 21–22 time slot and 659 for 24 h. In GA, it is 56 cents within the time slot of 22–23 and 623 for 24 h. In GPSO, it is 48 cents within the time slot of 9–10, while in GACO, it is 49 cents in the 9–10 time slot. Additionally, in GBFA, it is 57 cents in the 8–9 time slot. In GWDO-based hourly electricity cost, the highest is 41 cents at a 9–10 h slot. Whereas 620, 601, 614, and 571 cents for GPSO, GACO, GBFA, and GWDO, respectively, for 24 h.
Figure 5.
Case study 1: Electricity cost reduction.
The execution of the GWDO algorithm while minimizing the electricity cost outperforms the benchmark heuristic algorithms, whether simple or hybrid. By evaluating simulations, the GWDO technique gives the best outcomes in terms of the average cost for 24 h, which is a 21.78% reduction compared with the case of unscheduled operation. Additionally, there is a 14.6%, 13.9%, 9.72%, 12.60%, 11.5%, 15%, 15.8%, and 17.6% reduction in case of GA, PSO, BFA, ACO, WDO, GPSO, GBFA, and GACO, respectively, compared with the unscheduled case. Moreover, GWDO also gave a low hourly peak electricity cost compared with other optimization algorithms: ACO, PSO, WDO, GA, BFA, GACO, GPSO, and GBFA.
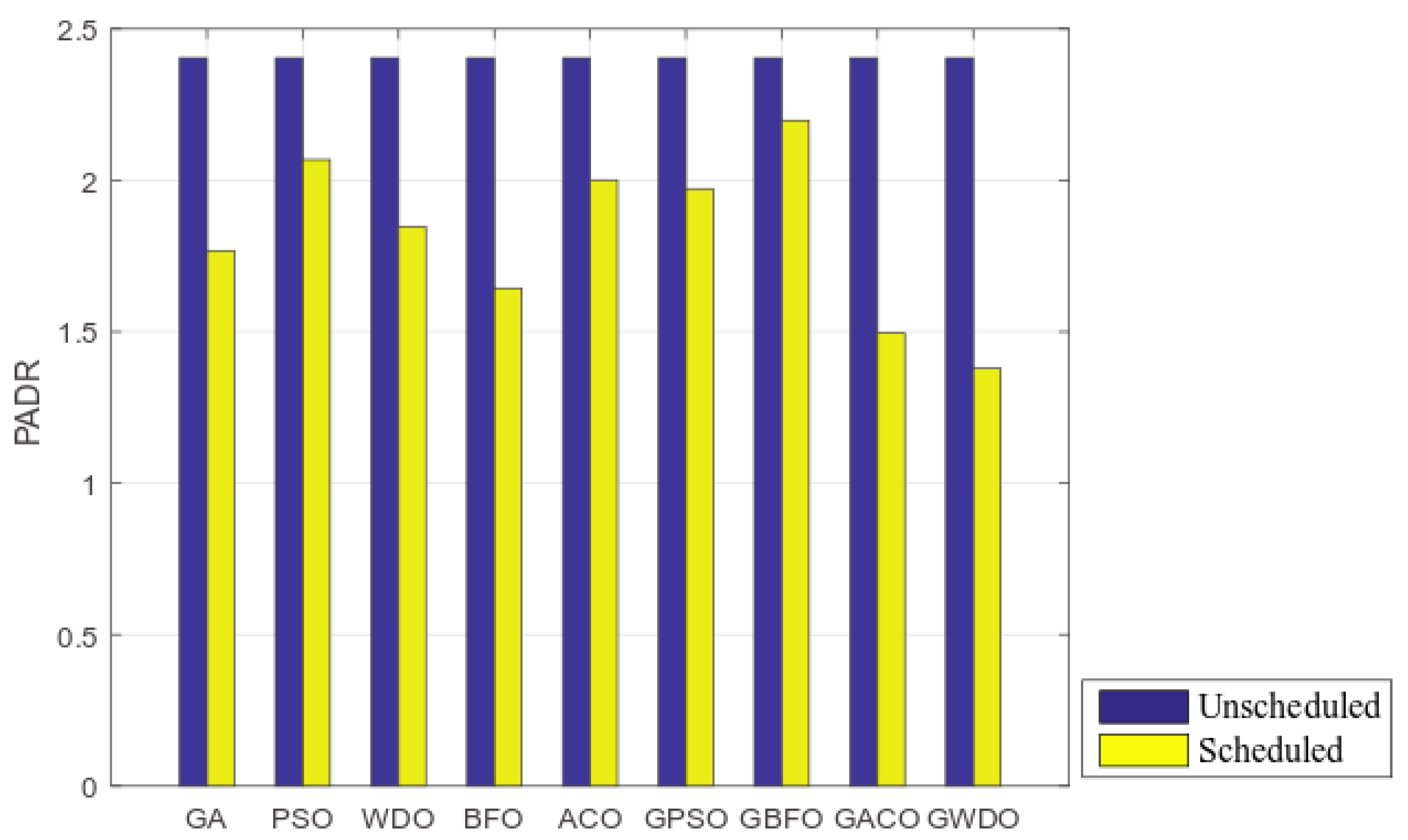
5.1.2. PADR
Figure 6 shows the PADR of the consumer’s appliances. The results show that our proposed GWDO algorithm-based ECS decreases PADR by 40.1% when compared with the case of the unscheduled load operation, whereas it is 27%, 11.8%, 32.3%, 16.3%, 23.7%, 19.2%, 5.3%, and 36.8% for cases of using the GA, PSO, BFA, ACO, WDO, GPSO, GBFA, and GACO, respectively. These algorithms are supposed to minimize the overall consumer load. The PSO, WDO, and BFA algorithms shifted more of the load to less electricity pricing time slots, resulting in rebound peaks. These new peaks in the time slots of 19–24 create instability in the power system and result in a penalty from the electricity supplier. However, the GWDO algorithms uniformly distribute the operation of the overall appliance and result in low PADR.
Figure 6.
Case study 1: PADR reduction.
5.1.3. Carbon Emission
Figure 7 depicts the carbon emissions for the scheduled and unscheduled appliance operation when the supply is only from the electricity EUC. Where the GA algorithm-based ECS emits a peak emission of 152 pounds in the 18th hour, PSO gave 158 pounds of carbon emissions in the 18th hour, BFA-based scheduling results in peak emissions of 147 pounds in the 18th hour, WDO results in 149 pounds in the 18th hour, and ACO results in 145 pounds, which is also in the 18th hour. Moreover, the GPSO, GACO, GBFA, and GWDO gave the highest peaks of 148 pounds, 147 pounds, 153 pounds, and 142 pounds, respectively. The total carbon emissions for the 24 h are 3029, 2946, 2991, 2653, 2598, 2933, 2693, 2666, 2761, and 2567 for an unscheduled load, GA, PSO, BFA, ACO, WDO, GPSO, GBFA, GACO, and GWDO, respectively.
Figure 7.
Case study 1: Carbon emission reduction.
The results show that our proposed GWDO algorithm-based ECS decreases carbon emissions by 15.25% when compared with the case of the unscheduled load operation, whereas 2.74%, 1.25%, 12.4%, 14.2%, 3.1%, 11%, 11.9%, and 8.8% for cases of using the GA, PSO, BFA, ACO, WDO, GPSO, GBFA, and GACO, respectively.
5.1.4. User Comfort
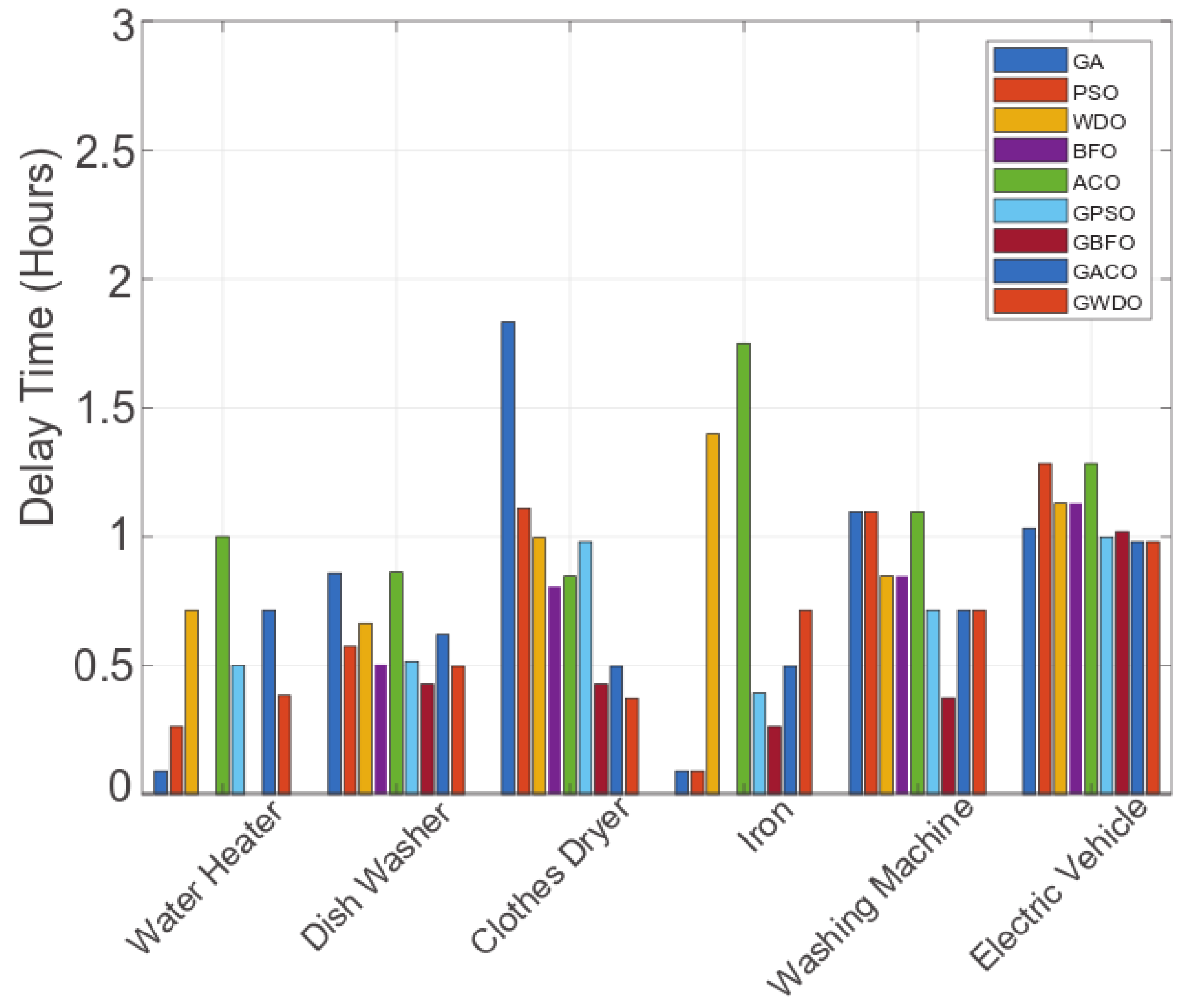
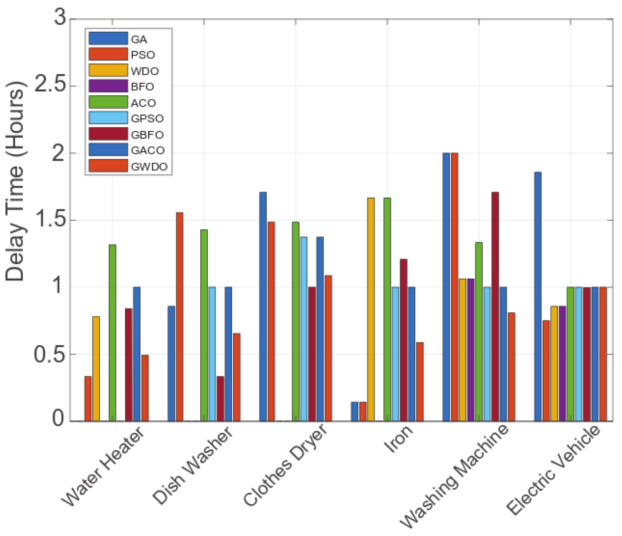
The user comfort is the delay faced by the appliance considered without DGs is depicted in Figure 8. The user comfort of our proposed GWDO-based ECS is set side by side with the existing algorithms, which are PSO, GA, ACO, WDO, BFA, GPSO, GBFA, and GACO. The overall delays in the operation of each appliance are shown in Figure 8, where the water heater faced the highest delay by using ACO, whereas the GBFA and BFA-based ECS gave zero delays. GWDO-based ECS delayed 0.4 h of the appliance’s operation for the user. Additionally, in the case of the dishwasher, the GWDO-based ECS gave a 0.5-h delay, which is the lowest after the GBFA-based ECS. The overall average delay faced by the dishwasher for all algorithms is 0.63 h. In the case of the clothes dryer, our proposed GWDO-based ECS gave the lowest delay, which is 0.38 h, and the highest delay faced by the clothes dryer is in the case of using the GA-based ECS. In the case of the iron, the lowest delay faced is by using the BFA-based ECS, and the highest delay is recorded by using ACO, whereas the GWDO-based ECS gave a delay of 0.64 h. Additionally, the GBFA-based strategy gave the lowest delay time, and the GA-, PSO-, and ACO-based ECSs gave the highest delays. In the case of EV, the overall delay faced by EV in the case of all techniques is 1.15 h, where PSO and ACO gave the highest, and our proposed GWDO gave the lowest delay among all techniques.
Figure 8.
Case study 1: User comfort evaluation.
5.2. Case Study 2: Home Is Equipped with DGs
Case study 2 considers that DGs are equipped with the home in addition to supply from the EUC. The proposed GWDO-based ECS schedules the consumers’ load under a RTP signal using case study 2. The obtained results of case 2 with the developed model are compared with existing algorithms in aspects of energy cost, PADR, carbon emission, and user comfort. The complete discussion for case study 2 considering each objective is as follows.
5.2.1. Electricity Cost
Figure 9 shows the electricity cost of the consumer’s load operation for the unscheduled and scheduled load by various optimization algorithms based on ECS for the case when DGs are equipped in the home. The unscheduled load operation gave a peak of 92 cents in the 9–10 h slot and 722 cents combined for 24 h of operation. In PSO, the maximum energy cost is 57 cents at the 9–10 time slot, whereas the combined 24 h is 602 cents. The WDO-based ECS gave 45 cents as a maximum hourly cost at the 9–10 time slot and a total energy cost of 649 cents in 24 h. Additionally, by using an ACO-based framework, it is 38 cents at the 7–8 h slot, and in 24 h, it is 639 cents. Whereas, in BFA, it is 48 cents in the 23–24 time slot and 678 cents for 24 h. In GA, it is 58 cents within the time slot of 9–10 and 643 cents for 24 h. In GPSO, it is 41 cents within the time slot of 9–10, while in GACO, it is 53 cents in the 8–9 time slot. Additionally, in GBFA, it is 64 cents in the 8–9 time slot. In GWDO-based hourly electricity cost, the highest is 43 cents at the 8–9 h slot.
Figure 9.
Case study 2: Electricity cost evaluation.
The GWDO-based ECS outperforms the existing techniques for ECS in terms of average electricity cost minimization for 24 h. The GWDO technique’s average cost for 24 h is 537 cents and is 26.43% reduced compared to the unscheduled operation. Additionally, there is a 11.9%, 17.5%, 7.1%, 12.4%, 11%, 14.1%, 15.6%, and 16.8% reduction in the cases of GA, PSO, BFA, ACO, WDO, GPSO, GBFA, and GACO, respectively, when comparing with the unscheduled case.
5.2.2. PADR
The PADR for case study 2, where RES and ESS are equipped with the home in addition to the EUC, is shown in Figure 10. The results show that the proposed algorithm reduces PADR by 40.1%, whereas PSO, GA, ACO, BFA, WDO, GBFA, GPSO, and GACO limit the PADR by 27%, 11.8%, 32.3%, 16.3%, 23.7%, 19.26%, 5.3%, and 36.8%, respectively, and the GWDO algorithm-based ECS consistently scheduled the consumer’s appliances to attain the objective of reducing the PADR.
Figure 10.
Case study 2: PADR reduction.
5.2.3. Carbon Emission
The carbon emissions of the unscheduled and scheduled appliances using the heuristic algorithms are shown in Figure 11. The hourly peak emissions were recorded by the unscheduled case, which is 144 pounds at the 18th time slot, and the combined 24 h carbon emissions are 2372 pounds. The GA, PSO, BFA, ACO, WDO, GPSO, GBFA, and GACO gave peak emissions of 117 pounds at the 19th hour slot, 132 pounds at the 19th hour slot, 127 pounds at time slot 19, 100 pounds, 130 pounds at time slot 19, 104 pounds at time slot 19 and 107 pounds at time slot 19, respectively. Our proposed GWDO-based ECS gave the lowest carbon emissions peak among these techniques, which is 88 pounds at time slot 19. Comparing the combined emissions for 24 h with unscheduled, our proposed ECS reduced carbon emissions by 33.8%. The rest of the benchmarks techniques reduced carbon emissions by 18.8%, 8.2%, 13.3%, 28.7%, 26.4%, 25%, 28.4%, and 28.1% for GA, PSO, BFA, ACO, WDO, GPSO, GBFA, and GACO, respectively.
Figure 11.
Case study 2: Carbon emission evaluation.
5.2.4. User Comfort
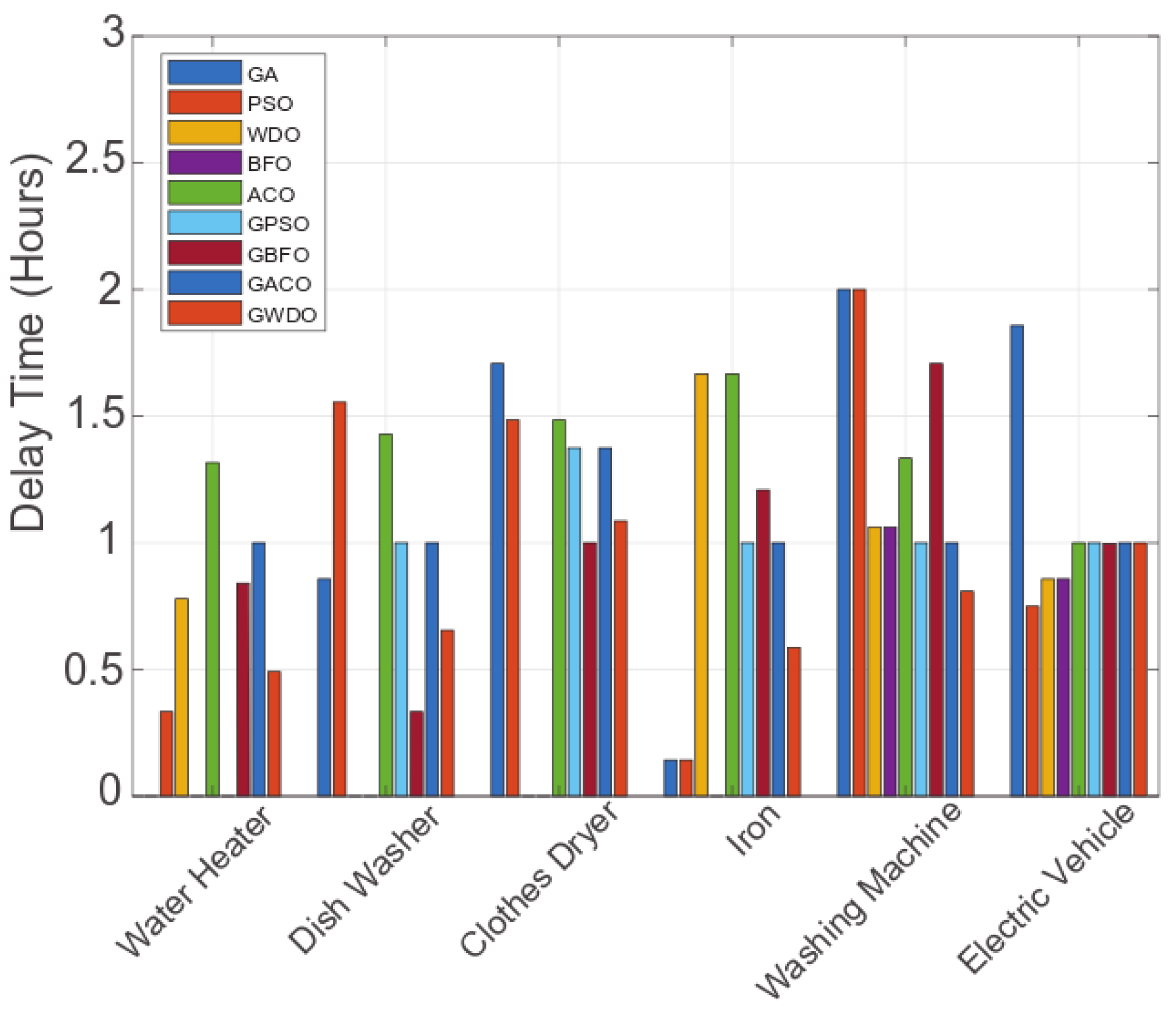
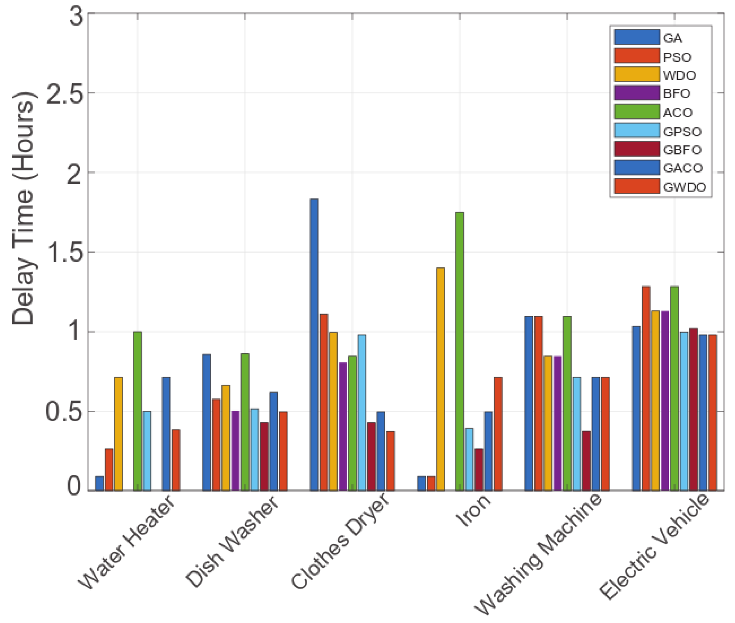
Appliances’ scheduling by our proposed system model consisting of a GWDO-based ECS is evaluated and compared with the existing algorithms’ ECSs, which are GA, PSO, BFA, ACO, WDO, GPSO, GBFA, and GACO. The user comfort is the delay appliances face while users operate with DGs, as shown in Figure 12. The overall delays in the operation of each appliance are shown in Figure 12, where the water heater faced the highest delay by using ACO, which is 1.4 h, and zero delay time for the cases of the GA, BFA, and GPSO. However, GWDO gave a delay time of 0.5 h for the water heater. In the case of the dishwasher, the WDO and BFA algorithms gave a delay of zero, and the highest delay was recorded using the GA algorithm. In the case of the clothes dryer, our proposed GWDO-based ECS gave the lowest delay, which is 1.1 h after the GBFA algorithm, and the highest delay faced by the clothes dryer is in the case of using GA-based ECS, which is 1.6. In the case of the iron, the lowest delay faced is by using the GWDO-based ECS, and the highest delay is recorded by using GA, PSO, and GBFA. In the case of EV, the overall delay faced by EV in the case of all techniques is 1 h, where GA gave the highest, and our proposed GWDO gave a delay of 1 h. Furthermore, our proposed framework based on the GWDO algorithm notably minimized the average delay of all the user’s appliances compared to the parent algorithms, which are the GA and WDO algorithms. Thus, the GWDO-based ECS effectively increased user comfort compared to all the other benchmark algorithms for all appliances combined.
Figure 12.
Case study 2: User comfort evaluation.
The developed model is compared with existing models in aspects such as convergence speed, computational complexity, cost, carbon emission, and PADR. The obtained results are listed in Table 4. From the above discussion and evaluation, it is concluded that the developed model outperforms existing models and is suitable for solving EM problems from different perspectives.
Table 4.
Comparison of the proposed model with existing models from different perspectives.
6. Conclusions
In this work, an ECS was presented for home energy management in SPG. The formulated objective function (EM optimization problem) was solved using single and hybrid heuristic algorithms (GA, PSO, BFA, ACO, WDO, GPSO, GACO, and GBFA) along with a developed GWDO algorithm in aspects of chosen performance metrics. The simulations were conducted for two case studies: home is not equipped with DGs, and home is equipped with DGs, considering home appliances, pricing signals, and consumers and EUC constraints. The developed GWDO-based ECS optimally schedules consumers’ appliances, and the returning results show that the electricity cost, PADR, and carbon emission are reduced by 21.78%, 40.1%, and 15.25% in case study 1; and by 26.43%, 40.1%, and 33.8% in case study 2, respectively. The results illustrate that the developed algorithm outperforms both single and hybrid algorithms in aspects of utility bill, PADR, pollution emission, and user comfort in both case studies.
In the future, real-time multi-criterion optimization problems will be solved using the Lyapunov technique by utilizing fog- and cloud-based environments to service the on-site events and requests of both EUC and consumers.
Author Contributions
Conceptualization, methodology, software, validation, formal analysis, investigation, resources, data curation, writing—original draft preparation, writing—review and editing, visualization, supervision, project administration, funding acquisition. Author has read and agreed to the published version of the manuscript.
Funding
This research received no external funding.
Institutional Review Board Statement
Not applicable.
Informed Consent Statement
Not applicable.
Data Availability Statement
Not applicable.
Conflicts of Interest
The author declares no conflict of interest.
Abbreviations
| ECS | Energy consumption scheduler |
| DR | Demand response |
| EM | Energy management |
| DGs | Distributed generators |
| GWDO | Genetic wind-driven optimization |
| ESSs | Energy storage systems |
| SPG | Smart power grid |
| DSM | Demand-side management |
| DE | Differential evaluation |
| EDE | Enhanced differential evaluation |
| ICT | Information and communication technologies |
| PSO | Particle swarm optimization |
| EUCs | Electric utility companies |
| GA | Genetic algorithm |
| IBT | Incline block tariff |
| RTP | Real-time pricing |
| PV | Photovoltaic |
| BFA | Bacterial foraging algorithm |
| EDGE | Enhanced differential genetic evolution algorithm |
| ACO | Ant colony optimization |
| GPSO | Genetic particle swarm optimization |
| GBFA | Genetic bacterial foraging algorithm |
| GACO | Genetic ant colony optimization |
| PADR | Peak to average demand ratio |
| MILP | Mixed integer linear programming |
| EVs | Electric vehicles |
| FPS | Flat pricing scheme |
| ANN | Artificial neural network |
| STSMC | Supper twisting sliding mode controller |
| PID | Proportional integral derivative controller |
| FO-PD | Fractional order-proportional derivative controller |
| ToU | Time of use pricing scheme |
| CPP | Critical peak pricing scheme |
| MINLP | Mixed integer non-linear programming |
| NSGA-II | Non-dominated sorted genetic algorithm |
| AMI | Advanced metering infrastructure |
| DSO | Distribution system operator |
| WT | Wind turbine |
| Notations | |
| Portable interruptible appliances | |
| Portable uninterruptible appliances | |
| Consistent appliances | |
| Energy consumption per day portable interruptible appliances | |
| Power rating of portable interruptible appliances | |
| Appliances On/off status | |
| Real-time pricing signal | |
| Power rating of portable uninterruptible appliances | |
| Power rating of consistent appliances | |
| Optimal energy consumption pattern | |
| Energy cost | |
| CO | Carbon emission |
| Waiting time | |
| Peak-to-average demand ratio | |
| Home Net load | |
| Hourly PV energy generation | |
| PV system efficiency | |
| Area of PV system | |
| Solar irradiance | |
| Outside temperature | |
| Maximum level of ESS | |
| Minimum level of ESS | |
| Efficiency of ESS | |
| ESS charging | |
| ESS discharging | |
| SE(t) | Stored energy |
References
- Peng, J.; Fan, Y.V.; Klemeš, J.J. Impacts of COVID-19 on energy demand and consumption: Challenges, lessons and emerging opportunities. Appl. Energy 2021, 285, 116441. [Google Scholar]
- Liu, M.; Zhang, X.; Zhang, M.; Feng, Y.; Liu, Y.; Wen, J.; Liu, L. Influencing factors of carbon emissions in transportation industry based on CD function and LMDI decomposition model: China as an example. Environ. Impact Assess. Rev. 2021, 90, 106623. [Google Scholar] [CrossRef]
- Bihari Prakash, S.; Sadhu, P.K.; Sarita, K.; Khan, B.; Arya, L.D.; Saket, R.K.; Kothari, D.P. A comprehensive review of microgrid control mechanism and impact assessment for hybrid renewable energy integration. IEEE Access 2021, 9, 88942–88958. [Google Scholar] [CrossRef]
- Xu, S.; Huang, W.; Wang, H.; Zheng, W.; Wang, J.; Chai, Y.; Ma, M. A Simultaneous Diagnosis Method for Power Switch and Current Sensor Faults in Grid-Connected Three-Level NPC Inverters. IEEE Trans. Power Electron. 2023, 38, 1104–1118. [Google Scholar] [CrossRef]
- Chen, J.; Sun, B.; Li, Y.; Jing, R.; Zeng, Y.; Li, M. Credible capacity calculation method of distributed generation based on equal power supply reliability criterion. Renew. Energy 2022, 201, 534–547. [Google Scholar] [CrossRef]
- Ge, L.; Li, Y.; Li, Y.; Yan, J.; Sun, Y. Smart Distribution Network Situation Awareness for High-Quality Operation and Maintenance: A Brief Review. Energies 2022, 15, 828. [Google Scholar] [CrossRef]
- Papadimitrakis, M.; Giamarelos, N.; Stogiannos, M.; Zois, E.N.; Livanos, N.A.; Alexandridis, A. Metaheuristic search in smart grid: A review with emphasis on planning, scheduling and power flow optimization applications. Renew. Sustain. Energy Rev. 2021, 145, 111072. [Google Scholar] [CrossRef]
- Zhao, P.; Ma, K.; Yang, J.; Yang, B.; Guerrero, J.M.; Dou, C.; Guan, X. Distributed Power Sharing Control Based on Adaptive Virtual Impedance in Seaport Microgrids with Cold Ironing. IEEE Trans. Transp. Electrif. 2022. [Google Scholar] [CrossRef]
- Hu, J.; Ye, C.; Ding, Y.; Tang, J.; Liu, S. A Distributed MPC to Exploit Reactive Power V2G for Real-Time Voltage Regulation in Distribution Networks. IEEE Trans. Smart Grid 2021, 13, 576–588. [Google Scholar] [CrossRef]
- Xu, J.; Zhang, X.; Park, S.H.; Guo, K. The Alleviation of Perceptual Blindness During Driving in Urban Areas Guided by Saccades Recommendation. IEEE Trans. Intell. Transp. Syst. 2022, 23, 16386–16396. [Google Scholar] [CrossRef]
- Xu, J.; Park, S.H.; Zhang, X.; Hu, J. The Improvement of Road Driving Safety Guided by Visual Inattentional Blindness. IEEE Trans. Intell. Transp. Syst. 2022, 23, 4972–4981. [Google Scholar] [CrossRef]
- Xu, J.; Guo, K.; Sun, P.Z.H. Driving Performance Under Violations of Traffic Rules: Novice Vs. Experienced Drivers. IEEE Trans. Intell. Veh. 2022, 7, 908–917. [Google Scholar] [CrossRef]
- Liu, S.; Song, Z.; Liu, Y.; Chen, Y.; Liu, C. Flux-Weakening Controller Design of Dual Three-phase PMSM Drive System with Copper Loss Minimization. IEEE Trans. Power Electron. 2022, 38, 2351–2363. [Google Scholar] [CrossRef]
- Liu, S.; Liu, C. Direct Harmonic Current Control Scheme for Dual Three-Phase PMSM Drive System. IEEE Trans. Power Electron. 2021, 36, 11647–11657. [Google Scholar] [CrossRef]
- Ghulam, H.; Alimgeer, K.S.; Khan, I. Electric load forecasting based on deep learning and optimized by heuristic algorithm in smart grid. Appl. Energy 2020, 269, 114915. [Google Scholar]
- Mohammad, A.; Ahmad, F.; Alam, M.S.; Sarfraz, M. Smart grid and Indian experience: A review. Resour. Policy 2021, 74, 101499. [Google Scholar]
- Al-Obaidi, A.; Khani, H.; Farag, H.E.Z.; Mohamed, M. Bidirectional smart charging of electric vehicles considering user preferences, peer to peer energy trade, and provision of grid ancillary services. Int. J. Electr. Power Energy Syst. 2021, 124, 106353. [Google Scholar]
- Abdela, S.A.; Wadi, M. Multiagent systems application for the smart grid protection. Renew. Sustain. Energy Rev. 2021, 149, 111352. [Google Scholar]
- Zhang, L.; Hu, X.; Wang, Z.; Ruan, J.; Ma, C.; Song, Z.; Dorrell, D.G.; Pecht, M.G. Hybrid electrochemical energy storage systems: An overview for smart grid and electrified vehicle applications. Renew. Sustain. Energy Rev. 2021, 139, 110581. [Google Scholar] [CrossRef]
- Hafeez, G.; Noor, I.; Ammar, A.; Salman, A.; Muhammad, U.; Khurram, S.A. A modular framework for optimal load scheduling under price-based demand response scheme in smart grid. Processes 2019, 7, 499. [Google Scholar] [CrossRef]
- Wongchai, A.; Azhagumurugan, R.; Sahay, K.B.; Dhabliya, D.; Kumar, R.; Babu, D.V. Towards a high precision in AMI-based smart meters and new technologies in the smart grid. Sustain. Comput. Inform. Syst. 2022, 35, 100690. [Google Scholar]
- Kalim, U.; Ali, S.; Khan, T.A.; Khan, I.; Jan, S.; Shah, I.A.; Hafeez, G. An Optimal Energy Optimization Strategy for Smart Grid Integrated with Renewable Energy Sources and Demand Response Programs. Energies 2020, 13, 5718. [Google Scholar]
- Sajjad, A.; Ullah, K.; Hafeez, G.; Khan, I.; Albogamy, F.R.; Haider, S.I. Solving day-ahead scheduling problem with multi-objective energy optimization for demand side management in smart grid. Eng. Sci. Technol. Int. J. 2022, 36, 101135. [Google Scholar]
- Vega, A.M.; Santamaria, F.; Rivas, E. Modeling for home electric energy management: A review. Renew. Sustain. Energy Rev. 2015, 52, 948–959. [Google Scholar] [CrossRef]
- Zhou, B.; Li, W.; Chan, K.W.; Cao, Y.; Kuang, Y.; Liu, X.; Wang, X. Smart home energy management systems: Concept, configurations, and scheduling strategies. Renew. Sustain. Energy Rev. 2016, 61, 30–40. [Google Scholar] [CrossRef]
- Alamgir, H.M.; Chakrabortty, R.K.; Ryan, M.J.; Pota, H.R. Energy management of community energy storage in grid-connected microgrid under uncertain real-time prices. Sustain. Cities Soc. 2021, 66, 102658. [Google Scholar]
- Ma, J.; Chen, H.H.; Song, L.; Li, Y. Residential load scheduling in smart grid: A cost efficiency perspective. IEEE Trans. Smart Grid 2015, 7, 771–784. [Google Scholar] [CrossRef]
- Liu, Y.; Hassan, N.U.; Huang, S.; Yuen, C. Electricity cost minimization for a residential smart grid with distributed generation and bidirectional power transactions. In Proceedings of the 2013 IEEE PES Innovative Smart Grid Technologies Conference (ISGT), Washington, DC, USA, 24–27 February 2013; pp. 1–6. [Google Scholar]
- Huang, N.; Wang, S.; Wang, R.; Cai, G.; Liu, Y.; Dai, Q. Gated spatial-temporal graph neural network based short-term load forecasting for wide-area multiple buses. Int. J. Electr. Power Energy Syst. 2023, 145, 108651. [Google Scholar] [CrossRef]
- Xu, J.; Pan, S.; Sun, P.Z.H.; Park, S.H.; Guo, K. Human-Factors-in-Driving-Loop: Driver Identification and Verification via a Deep Learning Approach using Psychological Behavioral Data. IEEE Trans. Intell. Transp. Syst. (IEEE-TITS) 2022. [Google Scholar] [CrossRef]
- Guo, C.; Ye, C.; Ding, Y.; Wang, P. A Multi-State Model for Transmission System Resilience Enhancement Against Short-Circuit Faults Caused by Extreme Weather Events. IEEE Trans. Power Deliv. 2021, 36, 2374–2385. [Google Scholar] [CrossRef]
- Dharmesh, F.; Chouliaras, N.; Sofia, V.; Olga, K.; Maglaras, L. Cybersecurity in smart grids, challenges and solutions. AIMS Electron. Electr. Eng. 2021, 5, 24–37. [Google Scholar]
- Hafeez, G.; Khurram, S.A.; Abdul, B.Q.; Imran, K.; Muhammad, U.; Farrukh, A.K.; Zahid, W. A hybrid approach for energy consumption forecasting with a new feature engineering and optimization framework in smart grid. IEEE Access 2020, 8, 96210–96226. [Google Scholar] [CrossRef]
- Mary, R.K.E.; Mathew, A.T.; Jacob, L. A flexible control strategy for energy and comfort aware HVAC in large buildings. Build. Environ. 2018, 145, 330–342. [Google Scholar] [CrossRef]
- Claudio, M.; Nitti, M.; Pilloni, V. Energy efficiency in smart building: A comfort aware approach based on Social Internet of Things. In Proceedings of the 2017 Global Internet of Things Summit (GIoTS), Geneva, Switzerland, 6–9 June 2017; pp. 1–6. [Google Scholar]
- Arturo, S.L.; Avila, M.; Ponce, P.; Rubio, J.D.; Molina, A. Peer-to-peer energy trades based on multi-objective optimization. Int. J. Electr. Power Energy Syst. 2021, 131, 107017. [Google Scholar]
- Liu, Y.; Yuen, C.; Huang, S.; Hassan, N.U.; Wang, X.; Xie, S. Peak-to-average ratio constrained demand-side management with consumer’s preference in residential smart grid. IEEE J. Sel. Top. Signal Process. 2014, 8, 1084–1097. [Google Scholar] [CrossRef]
- Khanh, N.H.; Song, J.B.; Han, Z. Demand side management to reduce peak-to-average ratio using game theory in smart grid. In Proceedings of the 2012 Proceedings IEEE INFOCOM Workshops, Orlando, FL, USA, 25–30 March 2012; pp. 91–96. [Google Scholar]
- Nedim, T.; Burgio, A.; Jasinski, M.; Leonowicz, Z.; Jasinska, E. Intelligent Scheduling of Smart Home Appliances Based on Demand Response Considering the Cost and Peak-to-Average Ratio in Residential Homes. Energies 2021, 14, 8510. [Google Scholar]
- Lu, C.; Zhou, H.; Li, L.; Yang, A.; Xu, C.; Ou, Z.; Tian, F. Split-core magnetoelectric current sensor and wireless current measurement application. Meas. J. Int. Meas. Confed. 2022, 188, 110527. [Google Scholar] [CrossRef]
- Guo, L.; Ye, C.; Ding, Y.; Wang, P. Allocation of Centrally Switched Fault Current Limiters Enabled by 5G in Transmission System. IEEE Trans. Power Deliv. 2021, 36, 3231–3241. [Google Scholar] [CrossRef]
- Li, T.; Gao, Y. Real-time pricing for smart grid with distributed energy and storage: A noncooperative game method considering spatially and temporally coupled constraints. Int. J. Electr. Power Energy Syst. 2020, 115, 105487. [Google Scholar]
- Prakash, P. Design and development of advanced smart energy management system integrated with IoT framework in smart grid environment. J. Energy Storage 2019, 25, 100846. [Google Scholar]
- Muhammad, B.; Tariq, M.U.; Jan, M.A. Secure and resilient demand side management engine using machine learning for IoT-enabled smart grid. Sustain. Cities Soc. 2020, 62, 102370. [Google Scholar]
- Majeed, B.O.; Zulqarnain, M.; Butt, T.M. Recent advancement in smart grid technology: Future prospects in the electrical power network. Ain Shams Eng. J. 2021, 12, 687–695. [Google Scholar] [CrossRef]
- Ibrahim, K.M.; Jhanjhi, N.Z.; Humayun, M.; Sivanesan, S.; Masud, M.; Hossain, M.S. Hybrid smart grid with sustainable energy efficient resources for smart cities. Sustain. Energy Technol. Assess. 2021, 46, 101211. [Google Scholar]
- Hafeez, G.; Imran, K.; Sadaqat, J.; Ibrar, A.S.; Farrukh, A.K.; Abdelouahid, D. A novel hybrid load forecasting framework with intelligent feature engineering and optimization algorithm in smart grid. App. Energy 2021, 299, 117178. [Google Scholar] [CrossRef]
- Rathinam, A.E.M.R.; Dayalan, S.; Fernandez, G.S.; Ali, Z.M.; Aleem, S.H.E.; Omar, A.I. A Comprehensive Analysis of Demand Response Pricing Strategies in a Smart Grid Environment Using Particle Swarm Optimization and the Strawberry Optimization Algorithm. Mathematics 2021, 9, 2338. [Google Scholar]
- Sajjad, A.; Khan, I.; Jan, S.; Ghulam, H. An Optimization Based Power Usage Scheduling Strategy Using Photovoltaic-Battery System for Demand-Side Management in Smart Grid. Energies 2021, 14, 2201. [Google Scholar]
- Ghulam, H.; Alimgeer, K.S.; Wadud, Z.; Khan, I.; Usman, M.; Qazi, A.B.; Khan, F.A. An Innovative Optimization Strategy for Efficient Energy Management with Day-ahead Demand Response Signal and Energy Consumption Forecasting in Smart Grid using Artificial Neural Network. IEEE Access 2020, 8, 84415–84433. [Google Scholar]
- Fang, Y.; Min, H.; Wu, X.; Wang, W.; Zhao, X.; Mao, G. On-Ramp Merging Strategies of Connected and Automated Vehicles Considering Communication Delay. IEEE Trans. Intell. Transp. Syst. 2022, 23, 15298–15312. [Google Scholar] [CrossRef]
- Liu, S.; Song, Z.; Dong, Z.; Liu, Y.; Liu, C. Generic Carrier-based PWM Solution for Series-end Winding PMSM Traction System with Adaptative Overmodulation Scheme. IEEE Trans. Transp. Electrif. 2022. [Google Scholar] [CrossRef]
- Han, Y.; Wang, B.; Guan, T.; Tian, D.; Yang, G.; Wei, W.; Chuah, J.H. Research on Road Environmental Sense Method of Intelligent Vehicle Based on Tracking Check. IEEE Trans. Intell. Transp. Syst. 2022, 1–15. [Google Scholar] [CrossRef]
- Chen, P.; Wu, J.; Li, N.; Lawrynczuk, M. A Personalized Navigation Route Recommendation Strategy Based on Differential Perceptron Tracking User’s Driving Preference. Comput. Intell. Neurosci. 2023, 2023, 8978398. [Google Scholar] [CrossRef]
- Khursheed, A.; Aslam, S.; Mohsin, S.M.; Alhussein, M. A fair pricing mechanism in smart grids for low energy consumption users. IEEE Access 2021, 9, 22035–22044. [Google Scholar]
- Jiang, X.; Wu, L. A residential load scheduling based on cost efficiency and consumer’s preference for demand response in smart grid. Electr. Power Syst. Res. 2020, 186, 106410. [Google Scholar] [CrossRef]
- Tanveer, A.; Zhang, H.; Yan, B. A review on renewable energy and electricity requirement forecasting models for smart grid and buildings. Sustain. Cities Soc. 2020, 55, 102052. [Google Scholar]
- Muhammad, W.; Lin, Z.; Liu, S.; Sajjad, I.A.; Aziz, T. Optimal GWCSO-based home appliances scheduling for demand response considering end-users comfort. Electr. Power Syst. Res. 2020, 187, 106477. [Google Scholar]
- Abdullah, N.; Hafeez, G.; Khan, I.; Usman, M.; Jan, K.U.; Ullah, Z.; Diallo, D. Demand-side management of residential service area under price-based demand response program in smart grid. In Proceedings of the 2020 International Conference on Electrical, Communication, and Computer Engineering (ICECCE), Istanbul, Turkey, 12–13 June 2020; pp. 1–6. [Google Scholar]
- Hristiyan, K.; Lu, D.; Francois, B.; Lazarov, V. Smart monitoring of a microgrid including gas turbines and a dispatched PV-based active generator for energy management and emissions reduction. In Proceedings of the 2010 IEEE PES Innovative Smart Grid Technologies Conference Europe (ISGT Europe), Gothenburg, Sweden, 11–13 October 2010; pp. 1–8. [Google Scholar]
- Xiao, Y.; Zuo, X.; Huang, J.; Konak, A.; Xu, Y. The continuous pollution routing problem. Appl. Math. Comput. 2020, 387, 125072. [Google Scholar] [CrossRef]
- Fu, Q.; Luo, K.; Song, Y.; Zhang, M.; Zhang, S.; Zhan, J.; Li, Y. Study of Sea Fog Environment Polarization Transmission Characteristics. Appl. Sci. 2022, 12, 8892. [Google Scholar] [CrossRef]
- Ur, R.A.; Hafeez, G.; Albogamy, F.R.; Wadud, Z.; Ali, F.; Khan, I.; Rukh, G.; Khan, S. An Efficient Energy Management in Smart Grid Considering Demand Response Program and Renewable Energy Sources. IEEE Access 2021, 9, 148821–148844. [Google Scholar]
- Adil, I.; Wahid, A.; Ilyas, M.; Khan, I.; Hafeez, G.; Jan, K.U.; Diallo, D. An optimal energy management strategy under hybrid generation and price-based demand response program in smart grid. In Proceedings of the 2020 2nd International Conference on Smart Power & Internet Energy Systems (SPIES), Bangkok, Thailand, 15–18 September 2020; pp. 548–553. [Google Scholar]
- Khan, T.A.; Ghulam, H.; Imran, K.; Safeer, U.; Athar, W.; Zahid, U. Energy demand control under dynamic price-based demand response program in smart grid. In Proceedings of the 2020 International Conference on Electrical, Communication, and Computer Engineering (ICECCE), Istanbul, Turkey, 12–13 June 2020; pp. 1–6. [Google Scholar]
- Ramakrishna, K.; Daniel, S.A. Challenges and issues of smart grid implementation: A case of Indian scenario. J. Electr. Syst. Inf. Technol. 2018, 5, 453–467. [Google Scholar]
- Kim, S.-K.; Huh, J. A study on the improvement of smart grid security performance and blockchain smart grid perspective. Energies 2018, 11, 1973. [Google Scholar] [CrossRef]
- Adil, I.; Hafeez, G.; Khan, I.; Usman, M.; Shafiq, Z.; Qazi, A.B.; Khalid, A.; Thoben, K.L. Heuristic-based programable controller for efficient energy management under renewable energy sources and energy storage system in smart grid. IEEE Access 2020, 8, 139587–139608. [Google Scholar]
- Shreenidhi, H.S.; Ramaiah, N.S. A two-stage deep convolutional model for demand response energy management system in IoT-enabled smart grid. Sustain. Energy Grids Netw. 2022, 30, 100630. [Google Scholar]
- Hossein, S.; Moradi, J.; Gharehpetian, G.B.; Fathi, S.H.; Abedi, M. Optimal energy scheduling for a microgrid encompassing DRRs and energy hub paradigm subject to alleviate emission and operational costs. In Proceedings of the 2018 Smart Grid Conference (SGC), Sanandaj, Iran, 28–29 November 2018; pp. 1–10. [Google Scholar]
- Zhou, K.; Yang, S.; Chen, Z.; Ding, S. Optimal load distribution model of microgrid in the smart grid environment. Renew. Sustain. Energy Rev. 2014, 35, 304–310. [Google Scholar] [CrossRef]
- Kalim, U.; Khan, T.A.; Hafeez, G.; Khan, I.; Murawwat, S.; Alamri, B.; Ali, F.; Ali, S.; Khan, S. Demand Side Management Strategy for Multi-Objective Day-Ahead Scheduling Considering Wind Energy in Smart Grid. Energies 2022, 15, 6900. [Google Scholar]
- Albogamy, F.R. Optimal Energy Consumption Scheduler Considering Real-Time Pricing Scheme for Energy Optimization in Smart Microgrid. Energies 2022, 15, 8015. [Google Scholar] [CrossRef]
- Albogamy, F.R.; Khan, S.A.; Hafeez, G.; Murawwat, S.; Khan, S.; Haider, S.I.; Basit, A.; Thoben, K.L. Real-Time Energy Management and Load Scheduling with Renewable Energy Integration in Smart Grid. Sustainability 2022, 14, 1792. [Google Scholar] [CrossRef]
- Albogamy, F.R.; Ashfaq, Y.; Hafeez, G.; Murawwat, S.; Khan, S.; Ali, F.; Khan, F.A.; Rehman, K. Optimal Demand-Side Management Using Flat Pricing Scheme in Smart Grid. Processes 2022, 10, 1214. [Google Scholar] [CrossRef]
- Albogamy, F.R.; Zakria, M.; Khan, T.A.; Murawwat, S.; Hafeez, G.; Khan, I.; Ali, F.; Khan, S. An Optimal Adaptive Control Strategy for Energy Balancing in Smart Microgrid Using Dynamic Pricing. IEEE Access 2022, 10, 37396–37411. [Google Scholar] [CrossRef]
- Abdullah, N.; Hafeez, G.; Khan, I.; Jan, K.U.; Li, H.; Khan, S.A.; Wadud, Z. An intelligent integrated approach for efficient demand side management with forecaster and advanced metering infrastructure frameworks in smart grid. IEEE Access 2020, 8, 132551–132581. [Google Scholar]
- Wasim, K.H.; Usman, M.; Hafeez, G.; Albogamy, F.R.; Khan, I.; Shafiq, Z.; Khan, M.U.A.; Alkhammash, H.I. Intelligent optimization framework for efficient demand-side management in renewable energy integrated smart grid. IEEE Access 2021, 9, 124235–124252. [Google Scholar] [CrossRef]
- Ghulam, H. Electrical Energy Consumption Forecasting for Efficient Energy Management in Smart Grid. Ph.D. Thesis, COMSATS University of Islamabad, Islamabad, Pakistan, 2021. [Google Scholar]
- Ghulam, H. Energy Efficient Integration of Renewable Energy Sources in the Smart Grid for Demand Side Management. Master’s Thesis, COMSATS University Islamabad, Islamabad, Pakistan, 2017. [Google Scholar]
- Sajjad, A.; Rehman, A.U.; Wadud, Z.; Khan, I.; Murawwat, S.; Hafeez, G.; Albogamy, F.R.; Khan, S.; Samuel, O. Demand response program for efficient demand-side management in smart grid considering renewable energy sources. IEEE Access 2022, 10, 53832–53853. [Google Scholar]
- Ahmad, K.T.; Ullah, A.; Hafeez, G.; Khan, I.; Murawwat, S.; Ali, F.; Ali, S.; Khan, S.; Rehman, K. A Fractional Order Super Twisting Sliding Mode Controller for Energy Management in Smart Microgrid Using Dynamic Pricing Approach. Energies 2022, 15, 9074. [Google Scholar]
- Khan, K.M.I.; Shah, S.A.A.; Taj, A.; Shiraz, M.; Alamri, B.; Murawwat, S.; Hafeez, G. Renewable-Aware Geographical Load Balancing Using Option Pricing for Energy Cost Minimization in Data Centers. Processes 2022, 10, 1983. [Google Scholar]
- Anupam, K.; Chanana, S. Optimization of cost and emission in a Renewable Energy micro-grid. In Proceedings of the 2016 IEEE 1st International Conference on Power Electronics, Intelligent Control and Energy Systems (ICPEICES), Delhi, India, 4–6 July 2016; pp. 1–6. [Google Scholar]
- Shaaban Mostafa, F.; Osman, A.H.; Hassan, M.S. Day-ahead optimal scheduling for demand side management in smart grids. In Proceedings of the 2016 European Modelling Symposium (EMS), Pisa, Italy, 28–30 November 2016; pp. 124–129. [Google Scholar]
- Wang, Y.; Wen, X.; Gu, B.; Gao, F. Power scheduling optimization method of wind-hydrogen integrated energy system based on the improved AUKF algorithm. Mathematics 2022, 10, 4207. [Google Scholar] [CrossRef]
- Sun, B.; Li, Y.; Zeng, Y.; Chen, J.; Shi, J. Optimization planning method of distributed generation based on steady-state security region of distribution network. Energy Rep. 2022, 8, 4209–4222. [Google Scholar] [CrossRef]
- Lu, Q.; Zhang, Y. A multi-objective optimization model considering users’ satisfaction and multi-type demand response in dynamic electricity price. Energy 2022, 240, 122504. [Google Scholar] [CrossRef]
- Sadjad, G.; Bagheri, A.; Farhadi-Kangarlu, M.; Nikdel, N. A multi-objective probabilistic approach for smart voltage control in wind-energy integrated networks considering correlated parameters. Sustain. Cities Soc. 2022, 78, 103651. [Google Scholar]
- Yahya, M.; Shakouri, H.; Kazemi, A. A Multi-Objective Fuzzy Optimization Model for Electricity Generation and Consumption Management in a Micro Smart Grid. Sustain. Cities Soc. 2022, 86, 104119. [Google Scholar]
- Alzahrani, A.; Sajjad, K.; Hafeez, G.; Murawwat, S.; Khan, S.; Khan, F.A. Real-time energy optimization and scheduling of buildings integrated with renewable microgrid. Appl. Energy 2023, 335, 120640. [Google Scholar] [CrossRef]
- Xavier, G. (Ed.) Multiple Criteria Optimization: State of the Art Annotated Bibliographic Surveys; Kluwer Academic Publishers: New York, NY, USA, 2006. [Google Scholar]
Disclaimer/Publisher’s Note: The statements, opinions and data contained in all publications are solely those of the individual author(s) and contributor(s) and not of MDPI and/or the editor(s). MDPI and/or the editor(s) disclaim responsibility for any injury to people or property resulting from any ideas, methods, instructions or products referred to in the content. |
© 2023 by the author. Licensee MDPI, Basel, Switzerland. This article is an open access article distributed under the terms and conditions of the Creative Commons Attribution (CC BY) license (https://creativecommons.org/licenses/by/4.0/).











