Next Article in Journal
Label-Free Fault Detection Scheme for Inverters of PV Systems: Deep Reinforcement Learning-Based Dynamic Threshold
Next Article in Special Issue
Research of Tri-State Optical Signal Detectors for Ternary Optical Computers
Previous Article in Journal
Mask–Mediator–Wrapper: A Revised Mediator–Wrapper Architecture for Heterogeneous Data Source Integration
Previous Article in Special Issue
Reconfigurable Multi-Beam Receiver Based on Microwave Photonics Technology
 
 
Font Type:
Arial Georgia Verdana
Font Size:
Aa Aa Aa
Line Spacing:
Column Width:
Background:
Article

RF Frequency Selective Switch by Multiple PMIM Conversions

1
China Academy of Electronics and Information Technology, Beijing 100041, China
2
School of Physics and Electronic Information, Yantai University, Yantai 264005, China
*
Author to whom correspondence should be addressed.
Appl. Sci. 2023, 13(4), 2472; https://doi.org/10.3390/app13042472
Submission received: 26 November 2022 / Revised: 18 January 2023 / Accepted: 20 January 2023 / Published: 14 February 2023

Abstract

Nowadays, broadband and multi-channel radio frequency (RF) processing has been widely used in communication, radar, countermeasure, and other applications. At present, multiple-input and multiple-output (MIMO)-oriented microwave photonic signal processing technology is relatively scarce, so this paper proposes an RF frequency selective switch (FSS) based on multiple phase modulation to intensity modulation (PMIM) conversions. PMIM conversion has been used in narrowband microwave photonic filtering in the past. We extend it to a wideband and arbitrarily reconfigurable RF spectrum processing unit through an optical frequency comb and periodic optical filter. Although we use the incoherent combination of a multi-wavelength light source, we can obtain any frequency response including rectangles only by using all positive tap coefficients. Using an optical wavelength selective switch (WSS), we obtain RF FSS, and the spectral resolution of RF FSS is much better than that of optical WSS, which is improved by more than two orders of magnitude. The above principles, including single-channel reconfigurable filtering and multi-channel RF FSS, are verified by experiments. Our technology provides a stable solution for future RF MIMO signal processing.

1. Introduction

At present and in the near future, radio frequency (RF) resources are being fully developed. In radar, communication, electronic countermeasures and many other applications, the RF signal has occupied or will occupy the bandwidth above several GHz [1,2]. Simultaneously, the phenomenon of a multi-channel is increasingly being presented in various applications. The frequency and channel have become important features of signals. Frequency- or channel-related processing is often one of the most important functions of RF signal processing. In this case, RF signal processing is to be the broadband and multichannel, which poses a great challenge to traditional electronic or digital technology. For example, traditional microwave and RF technology often has its limited functions (such as simple filtering), poor tunable or reconfigurable capability, and there are large electromagnetic compatibility (EMC) problems. Digital technology, when the bandwidth is very large, will face the problems of requiring deep storage space, large computing delay, and large volume, weight, and power consumption.
Microwave photonics technology provides a feasible method for large-bandwidth frequency or channel-related signal processing [3,4]. Due to the high carrier frequency of light, it can carry a large bandwidth of the RF signal. At the same time, with the development of optical fiber communication technology, more and more optical devices and optoelectronic devices can directly face signals with bandwidth above tens of GHz. In many microwave photonic devices and systems, the microwave photonic filter is a very important frequency or channel-dependent signal processor. The finite impulse response (FIR) structure is a typical scheme to obtain a microwave photonic filter [5,6]. Here, the signal is divided into many taps, and then these taps experience different delays, weights, and are finally superimposed to obtain the output. By adjusting the amplitude and phase of the tap, a reconfigurable microwave photonic filter can be obtained. In order to avoid the instability caused by superposition, the FIR filter usually adopts incoherent combination, so it is difficult to realize a complex tap. Photonic field programmable gate array (FPGA) is a new method which can be used to realize a full-function reconfigurable microwave photonic filter [7,8,9,10,11,12,13,14]. The tap phase control is obtained by coherently detecting the optical phase shift. However, we believe that the existing coherent or incoherent combining schemes face several problems. Firstly, the optical FPGA needs coherent synthesis, and the fluctuation of the external environment will cause obvious interference to the synthesis, so the filter needs very precise control. Secondly, according to the theory of FIR structure, the resolution of a signal processor or filter is inversely proportional to the longest time interval among many taps, that is to say, the maximum delay difference required for a processing resolution of 1 GHz is about 1 ns. This delay corresponds to a waveguide with a length of 10 centimeters. A waveguide of this length will face large loss or optical phase jitters, but this resolution is too wide for RF communications. If one wants to achieve a resolution below 100 MHz, the corresponding optical waveguide length must also be increased 10 times. Finally, the future microwave photonic filter must have the ability of multiple-input and multiple-output (MIMO) processing, that is, it must be able to process multiple radio frequency signals in parallel at the same time. At present, many related demonstrations are aimed at single inputs and outputs, especially various incoherent structures.
In this paper, we propose a multi-channel reconfigurable microwave photonic processer based on incoherent synthesis. Although we use incoherent synthesis, it is different from the traditional FIR structure. In our scheme, each tap corresponds to a narrow-band channel, which is realized by phase modulation to intensity modulation (PMIM) conversion [15]. Multiple PMIM conversions can then form multiple channels [16]. Specifically, multiple PMIM conversions are realized by an optical frequency comb with a large frequency interval, as well as a single-notch optical filter. The notch optical filter is an optical ring resonator, and its free spectral range (FSR) is slightly different from the comb spacing of optical frequency comb. Through experiments, we show that although the optical ring resonator is usually considered as a narrow-band signal processor, it can process large-bandwidth RF signals by using its multiple resonant peaks at the same time. According to the Vernier effect, the signal bandwidth is far greater than the resonant peak bandwidth. Combined with a commercial optical wavelength selective switch (WSS), we then realize a RF frequency selective switch (FSS). We experimentally implement an arbitrary reconfigurable microwave photonic spectrum processing in a single-output channel of the FSS. When multiple output ports of the FSS are used at the same time, we can arbitrarily map one or more specific frequency channels to these ports, so that the FSS is realized. Without large dispersion and associated delay, which are common in traditional incoherent schemes, we achieved 50 MHz spectral resolution in our experiments. By increasing the number of comb teeth, the instantaneous bandwidth can reach tens of GHz.

2. Materials and Methods

Our frequency selective switch scheme is derived from the phase modulation to intensity modulation conversion based on a single pair of notch optical filters and a continuous wave (CW) light source [15]. When a single-frequency lightwave is phase-modulated by the RF signal, a positive and negative first-order sideband will be generated. This pair of optical sidebands has the same power value, but their phase is opposite to the original optical carrier. When the modulated light is opto-electrically converted, the pair of recovered RF signals also has the same power value and opposite phase, so they will cancel each other out and the photodetector will output an RF signal with zero power. If an optical filter is introduced after the phase modulator, the amplitude or phase balance of the positive and negative first-order sidebands will be destroyed, resulting in the change of the RF amplitude behind the photodetector. When the optical filter is a notch type, this imbalance will only appear at a narrow band optical frequency, so after the photodetector, a narrow band RF filter will be obtained. The PMIM conversion has many advantages. On the one hand, it can give full play to the wide range tunability of the light source, which can make the microwave photonic filter have a large tuning range. On the other hand, because the current optical resonator can achieve a high quality factor and high frequency selectivity, the bandwidth of the microwave photonic filter can be less than 100 MHz, which can match the channel bandwidth of current RF communication. Compared with the FIR structure, the resulting RF spectrum processor has smaller volume and loss, and also has incoherent stability. Many interesting applications have been implemented based on this principle [17], such as the Fourier domain mode-locked optoelectronic oscillator [18].
However, only one narrowband microwave spectrum filtering process can be obtained by a single PMIM conversion. On this basis, we extend the number of spectral channels by an optical frequency comb, so as to achieve greater bandwidth and channel reconfigurability. The principle is shown in Figure 1. An optical frequency comb has many comb teeth, all of which have different but strictly equidistant carrier frequencies. When the optical comb is modulated by a phase modulator, the RF signal is carried around each comb tooth. Then, the modulated optical frequency comb passes through a single periodic notch filter. The filter can be a single ring resonator, Fabry Perot resonator, and so on, which takes advantage of the natural periodicity of these optical devices. In this way, each pair of comb tooth and notch frequency response constitutes a PMIM conversion, and a band-pass filter can be formed in the RF spectrum. In order to achieve broadband RF spectrum coverage, we make the comb spacing of the optical frequency comb slightly different from the FSR of the periodic notch filter. Typically, it can be set like this: such a difference is approximately equal to the bandwidth of a single notch frequency response. Obviously, if the number of frequency tooth and notch pairs is N , the bandwidth of the RF processor will be N Δ , where Δ = S O F C F S R n o t c h . Here we assume S O F C is the comb spacing, and F S R n o t c h is the FSR of the periodic notch filter. Assuming that the difference between the optical carrier frequency and the central frequency of the notch frequency response is f c at the center tooth–notch pair, then f c is also the central frequency of the RF spectrum processor. Note that f c must be larger than half of the total bandwidth, which means N max = 2 f c / Δ . In other words, although we can increase the processing bandwidth by increasing the number of comb–notch pairs, there is an upper limit on the number.
In the above design, we have mapped each frequency channel in the RF spectrum with the corresponding comb tooth of the optical frequency comb, one by one. In this way, when we control the power of each optical frequency tooth, we can then control the fading of corresponding RF channel. When we control the direction of each optical frequency tooth, we can then control the direction of corresponding RF channel, with the same principle. In order to achieve this goal, we input the light passing through the periodic notch filter into an optical WSS. Optical WSS is a multi-channel optical module with high reconfigurability. At present, the spectral resolution of commercial optical WSS can reach about 10 GHz, and with this resolution as the granularity, the power control and direction control of the optical spectral channel can be realized. For example, in a single output channel, arbitrary optical spectral control with a resolution of 10 GHz can be realized; In the application of multiple output channels, any optical channel can be output at given port or ports. However, due to the limited dispersion of optical elements, the resolution of optical WSS is difficult to further improve. That is, if it is directly used in RF FSS, the channel granularity can be as large as 10 GHz, so it cannot be directly applied to scenarios such as RF communication. However, in our design, since the RF channel is mapped to an optical channel, we can use the optical WSS with large spectral granularity to achieve high resolution processing of the RF spectrum. Obviously, according to Figure 1, the resolution is Δ . According to the level of existing optical components, the proposed RF FSS can be realized with a resolution better than 100 MHz.
From optical WSS to RF FSS, we achieved resolution improvement of more than two orders of magnitude. The improvement comes from the Vernier caliper amplification effect between the optical frequency comb and the periodic notch filter. Considerable effort has been directed to the optical switch technologies in recent years [19,20,21]. An lnGaAs/lnP waveguide four-port switch by using free-carrier plasma-dispersion is demonstrated, where the switching speed may be greatly improved [19]. MEMS’ inherent advantages such as small size and scalability have also been adopted into an optical switch [20]. Recently, an interferometric switching cell with a bandwidth larger than 150 nm was experimentally demonstrated [21]. In our proposal, the optical wavelength selective switch (WSS) is used to change the output ports of different spectral components, where the switching speed of our system totally depends on WSS. Higher switching speed is also demanded in future MIMO processing. Each channel will occupy 50 GHz on optical domain, while the operation bandwidth of WSS can reach ~100 nm. From this perspective, the scalability of our system is hardly limited by WSS. In order to improve the resolution, the Vernier effect needs two periodic processes, namely, an optical frequency comb and periodic notch filter, which have strict periodicity. At present, there are many methods to generate optical frequency combs, such as time lens, Kerr frequency combs, and frequency combs based on ring modulators [22,23,24,25,26,27]. The frequency response of the periodic notch filter can be realized by an optical resonator, including a ring resonator and Fabry Perot cavity. When the intracavity dispersion of these resonators is very small, their FSR is almost exactly the same in a certain optical bandwidth. We have noticed that a similar resolution enhancement phenomenon has been reported in previous literature, such as the so-called bandwidth scaling method [28,29]. However, in the previous scheme, all of the RF channels were coherently synthesized in the optical domain. In other words, the phase of the local oscillation optical frequency comb will affect the phase of RF channels after synthesis; this will lead to the instability of the phase of the output signal, and even lead to the random change of the phase among the channels after combining, resulting in the failure of RF combining. In our scheme, although the operation of the optical sideband is also involved in each optical channel, it is an incoherent synthesis. This is because in PMIM conversion, the RF signal is transmitted through the disappearance of the optical sideband; the regenerated RF signal is obtained by beating the optical carrier and the sideband that has not disappeared. Both the carrier and the sideband are reflected (in the case of a Fabry Perot cavity) or transmitted (in the case of a ring resonator) by the notch filter and pass through the same optical path from beginning to end. This is fundamentally different from the scheme in the literature [28], where the regeneration of RF signal is obtained through the transmission of an optical sideband. This will make our scheme maintain excellent phase stability and phase consistency in the process of reconfigurable filtering and FSS. Another problem that needs to be noted is that other beat frequencies can also be generated in the optical carrier or sideband between different optical channels. However, when the interval between optical frequency combs is wide enough, the beat frequency between these channels will be beyond the signal bandwidth and can be ignored.
It can be seen that the proposed scheme and the conventional incoherent synthetic FIR filter both use multi-wavelength light source or optical frequency comb, but their principles are very different. In a FIR filter, each wavelength corresponds to a tap in the time domain, and the desired frequency response is obtained by weighted interference between taps with different delays. The relationship between tap weight and spectrum response is Fourier transform, so if we want to update the target frequency response, we need to update the weights of all taps. Moreover, the Fourier transform relationship puts forward special requirements for tap weights. For example, the spectral response close to a rectangle requires some taps to have a π phase, which is also the difficulty of various incoherent synthetic FIR filters. In order to achieve a negative tap, the device has to be much more complex [30,31,32]. In our scheme, each wavelength directly corresponds to a channel in the broadband RF spectrum, that is to say, the amplitude of each channel can be directly realized by controlling the corresponding optical tooth power of the channel. In practice, it can be obtained by operating the insertion loss of the optical WSS at the optical frequency. This makes it easier to update the target frequency response, and can achieve a higher update rate and more accurate target frequency response. Moreover, because the channel frequency response and tap weight are of one-to-one correspondence, the frequency response can be directly changed by controlling the power of the optical frequency comb. Therefore, any amplitude frequency characteristics such as rectangle and serration can be realized without any complex taps, as long as the target resolution is above the bandwidth of a single notch filter.
We demonstrate the principle of broadband RF FSS and obtain the frequency selective switching with 50 MHz resolution and five channels at most. The experimental setup is shown in Figure 2. The frequency comb spacing is about 50 GHz, and the number of comb teeth is 21. After the Erbium-doped fiber amplifier (EDFA), the optical power is increased to about 20 dBm. The RF signal is loaded on each comb tooth of the optical frequency comb through a phase modulator. The half-wave voltage of the modulator is about 4.5 V at 10 GHz, and the optical insertion loss is about 4 dB. Then, the generated multiple optically carried RF signals enter an optical ring resonator and are output from its throughput terminal. The loss of the periodic notch filter is about 6 dB, the bandwidth of 3 dB is about 50 MHz, and the FSR is about 50.05 GHz. The ring resonator employed in this system is a commercial product provided by Micro-Optics. The optical signal then enters an optical WSS and outputs from its various ports. A total of five output ports are used. The resolution of the optical WSS is 12.5 GHz and the insertion loss is about 5 dB. The optical WSS employed in our system is a commercial product (Finisar, 10WSAA20FLI), which is used to control the amplitude of each channel. Finally, the optical power entering the photodetector is about 5 dBm, and the RF output is obtained. In order to test the RF FSS, we use a vector network analyzer (VNA) to output a single-frequency sinusoidal wave, receive and analyze the corresponding output of the RF FSS, and obtain the frequency response of each channel of the RF FSS by scanning the frequency of the output tone.
In the experiment, the comb spacing of the optical frequency comb is about 50 MHz larger than the FSR of the ring resonator, and the optical frequency of the comb at the center of the spectrum is about 10 GHz lower than the corresponding notch filter center frequency. The optical frequency comb is generated by cascaded modulators, which consists of two phase modulators and one intensity modulator. Finally, 21 comb lines are generated in our setup with flatness better than 3 dB. Moreover, the WSS is used to further flatten the comb lines. In this way, we can obtain a programmable microwave photonic frequency response with 50 MHz resolution in the RF frequency range from 9.5 GHz to 10.5 GHz. According to the principle, the bandwidth of the programmable frequency response demonstrated by us is only limited by the number of comb teeth of the optical frequency comb; At present, the number of comb teeth of an advanced optical frequency comb can be more than 100.

3. Results

3.1. The Full-Pass RF Frequency Response

First, we only observe one of the optical WSS output, and control the optical frequency response of optical WSS in this channel programmatically, and obtain a single-channel programmable microwave photon filter. As an example, we set the optical WSS “all on” in this channel, that is, to control the optical WSS so that all comb teeth of the optical frequency comb enter the output through this optical channel. Then we obtain a full-pass RF frequency response from 9.5 to 10.5 GHz. As shown in Figure 3a, the experiment generates a flat top, near rectangular RF amplitude frequency response. Note that the rectangular amplitude frequency characteristics can be obtained by setting all tap weights of 1, rather than traditional FIR filters, where the weights need to be set to sinc shapes with different heights and positive and negative distributions.
When the optical WSS is set so that only the central tooth of the optical frequency comb is output through this channel, we can obtain a filter response with a bandwidth of about 50 MHz, as shown in Figure 3b. This is the same as the conventional PMIM conversion filter, because we only use one of many PMIM conversions. An interesting phenomenon is that in traditional FIR filters, all taps must be ON to obtain the narrowest frequency response; To obtain the widest frequency response, only one tap needs to be turned on. This is the opposite of our scheme.

3.2. The Complex Channel Selection Function

When we turn on more than one of the 21 taps randomly, the RF frequency response of channels corresponding to the above distribution can be observed at the output. As shown in Figure 4a, from low frequency to high frequency, the 1st, 2nd, 4th, 5th, 6th, 9th, 11th, 12th, 13th, 16th, and the 18th channels can be output at this port, while other channels are suppressed. Note that the channel spacing is 50 MHz. Because the switches of optical channels correspond to RF channel switches one by one, the complex channel selection function can be realized easily in our scheme and high resolution can be realized. This is more advantageous than the traditional FIR filter. With the help of the excellent performance of optical WSS, we can also perform more precise operations on the amplitude frequency characteristics of each RF channel instead of simply selecting on and off. There are 21 individual channels with a frequency interval of 50 MHz from 9.5 GHz to 10.5 GHz. The amplitude response of these channels is set to linear increase with a discrete step of 0.6 dB. Figure 4b shows the amplitude frequency response (expressed in dB) from 9.5 to 10.5 GHz, which follows the RF frequency approximately linearly. Moreover, the amplitude difference of 21 individual channels is also mapped to the final output. The realization of the frequency response only needs to set the transmission rate of each channel in the optical WSS accordingly. Note that although the RF channel interval is 50 GHz, we require far less resolution than 50 MHz for optical devices.

3.3. Flexible RF Channel Control Capability of the RF FSS

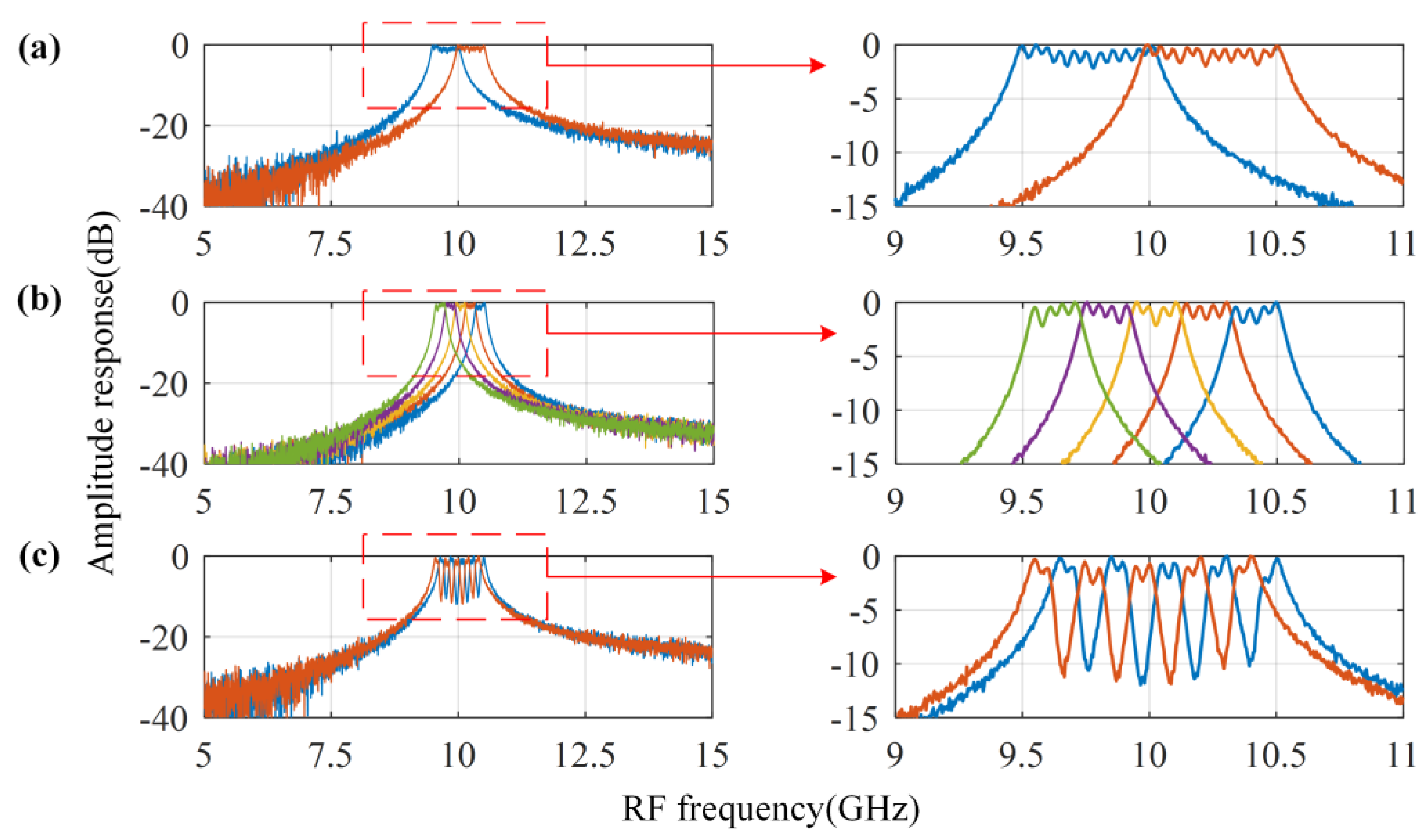
Next, through the joint control of multiple ports of optical WSS, we can realize the RF FSS function. The following three examples show the flexible RF channel control capability of our proposed RF FSS. In the first example, as shown in Figure 5a, we set the first 10 comb teeth of the optical frequency comb to output through port 1 of the optical WSS, and their residual lights are all output from port 2. In our scheme, according to the principle, the output path of the RF channel completely depends on the corresponding optical channel path, so we can observe the flat frequency response in the range of 9.5 GHz~10 GHz at port 1, while we can observe the output of the RF signal in the range of 10 GHz~10.5 GHz at port 2. In the second RF FSS example, we use five channels of the optical WSS, each of which outputs four adjacent teeth of the optical frequency comb in turn. Correspondingly, in the RF domain, we obtain a 1 to 5 frequency division multiplexer, which divides 9.5 GHz–10.5 GHz evenly into five channels, each channel has a bandwidth of 0.2 GHz, and outputs from five ports of the optical WSS. We can see, from Figure 5b, that the five output frequency responses obtained from the experiment have a good consistency. In the third example, we use two ports of optical WSS to divide the 1 GHz RF bandwidth into 10 channels with 0.1 GHz granularity. All odd channels are output from port 1 of optical WSS, while all even channels are output from port 2 of optical WSS. In this way, we only need to control the direction of the optical frequency comb, and we can obtain an RF interleaver, as shown in Figure 5c.
In the aspect of experimental implementation, our scheme has many advantages over the existing techniques. For example, the phase modulator is easy to use and does not need complex bias point control, so the setup is more stable. Because the through end of ring resonator filter is used instead of the drop end, the optical insertion loss is small. In the experiment, we also find that the frequency response of RF filter is poor in the out-of- band suppression. This is because the notch optical filter uses a single resonant cavity device, so its frequency response is only a Lorentz type with a poor rectangular coefficient. This has been discussed in many existing reports, and therefore there are some solutions [33,34]. We think that the more promising scheme is to make full use of the advantages of photonic integration and use multiple resonators to combine and approximate a notch frequency response with a better rectangular coefficient [35]. As long as the combined optical resonators have the same FSR, the combined frequency response can also appear periodically in the optical spectrum, which can be used in our multiple PMIM conversions.

4. Discussion

In summary, we proposed a technical approach to realize a RF frequency selective switch with broadband and a high-frequency spectral resolution. In our scheme, multiple phase modulation to intensity modulation conversions was incoherently combined together in the optical frequency domain, and stable reconfigurable RF spectrum processing units were then obtained by simply adjusting each tooth power of the optical frequency comb. In the experiment, we used an optical frequency comb containing 21 teeth and a single optical ring resonator to realize the reconfigurable filtering and frequency selective switching of RF spectrum in 9.5–10.5 GHz, with a resolution of 50 MHz. Our technical advantage is that the low-resolution optical WSS can be mapped to a high-resolution RF FSS through the amplification effect of the Vernier effect. Further, if a second optical WSS is used to connect its synthetic end with our setup, a MIMO RF processor can be obtained.

Author Contributions

Conceptualization, W.H. and Y.P.; methodology, W.H. and Y.P.; software, W.H.; validation, W.H., Y.P. and S.W.; formal analysis, W.H.; data curation, W.H. and X.L.; writing—original draft preparation, W.H.; writing—review and editing, Y.P. and S.W.; supervision, X.L.; project administration, X.L.; funding acquisition, W.H. and S.W. All authors have read and agreed to the published version of the manuscript.

Funding

This research was funded by Natural National Science Foundation of China, grant number 61901428 and 62001440.

Institutional Review Board Statement

Not applicable.

Informed Consent Statement

Not applicable.

Conflicts of Interest

The authors declare no conflict of interest.

References

  1. Capmany, J.; Novak, D. Microwave photonics combines two worlds. Nat. Photonics 2007, 1, 319–330. [Google Scholar] [CrossRef]
  2. Supradeepa, V.R.; Long, C.; Wu, R.; Ferdous, F.; Hamidi, E.; Leaird, D.; Weiner, A.M. Comb-based radiofrequency photonic filters with rapid tunability and high selectivity. Nat. Photonics 2012, 6, 186–194. [Google Scholar] [CrossRef]
  3. Capmany, J.; Mora, J.; Gasulla, I.; Sancho, J.; Lloret, J.; Sales, S. Microwave photonic signal processing. J. Light. Technol. 2013, 31, 571–586. [Google Scholar] [CrossRef]
  4. Minasian, R.A. Photonic signal processing of microwave signal. IEEE Trans. Microw. Theory Tech. 2006, 54, 832–846. [Google Scholar] [CrossRef]
  5. Capmany, J.; Pastor, D.; Ortega, B. New and flexible fiber-optic delay-line filters using chirped Bragg grattings and laser arrays. IEEE Trans. Microw. Theory Tech. 1999, 47, 1321–1326. [Google Scholar] [CrossRef]
  6. Hamidi, E.; Leaird, D.; Weiner, A.M. Tunable programmable microwave photonic fitlers based on an optical frequency comb. IEEE Trans. Microw. Theory Tech. 2010, 58, 3269–3278. [Google Scholar] [CrossRef]
  7. Xie, Y.; Geng, Z.; Zhuang, L.; Burla, M.; Taddei, C.; Hoekman, M.; Leinse, A.; Roeloffzen, C.H.; Boller, K.; Lowery, A.J. Programmable optical processor chips: Toward photonic RF filters with DSP-level flexibility and MHz-band selectivity. J. Nanophotonics 2018, 7, 421–454. [Google Scholar] [CrossRef]
  8. López, A.; Pérez, D.; DasMahapatra, P.; Capmany, J. Auto-routing algorithm for field-programmable photonic gate arrays. Opt. Express 2020, 28, 737–752. [Google Scholar] [CrossRef]
  9. Zhang, W.; Yao, J. Photonic integrated field-programmable disk array signal processor. Nat. Commun. 2020, 11, 406. [Google Scholar] [CrossRef]
  10. López, D.P.; Gutierrez, A.; Sánchez, E.; DasMahapatra, P.; Capmany, J. Integrated photonic tunable basic units using dual-drive directional couplers. Opt. Express 2019, 27, 38071–38086. [Google Scholar] [CrossRef]
  11. Zhuang, L.; Roeloffzen, C.H.; Hoekman, M.; Boller, K.; Lowery, A.J. Programmable photonic signal processor chip for radiofrequency applications. Optica 2015, 2, 854–859. [Google Scholar] [CrossRef]
  12. Pérez, D.; Gasulla, I.; Capmany, J. Field-programmable photonic arrays. Opt. Express 2018, 26, 27265–27278. [Google Scholar] [CrossRef]
  13. Jiang, H.; Yan, L.; Marpaung, D. Chip-based arbitrary radio-frequency photonic filter with algorithm-driven reconfigurable resolution. Opt. Lett. 2018, 43, 415–418. [Google Scholar] [CrossRef]
  14. Pérez, D.; Gasulla, I.; Crudgington, L.; Thomson, D.; Khokhar, A.; Li, K.; Cao, W.; Mashanovich, G.; Capmany, J. Multipurpose silicon photonics signal processor core. Nat. Commun. 2017, 8, 636. [Google Scholar] [CrossRef]
  15. Li, W.; Li, M.; Yao, J. A Narrow-Passband and Frequency-Tunable Microwave Photonic Filter Based on Phase-Modulation to Intensity-Modulation Conversion Using a Phase-Shifted Fiber Bragg Grating. IEEE Trans. Microw. Theory Tech. 2012, 60, 1287–1296. [Google Scholar] [CrossRef]
  16. Shi, N.; Hao, T.; Li, W.; Zhu, N.; Li, M. A reconfigurable microwave photonic filter with flexible tunability using a multi-wavelength laser and a multi-channel phase-shifted fiber Bragg grating. Opt. Commun. 2018, 407, 27–32. [Google Scholar] [CrossRef]
  17. Li, W.; Yao, J. A wideband frequency tunable optoelectronic oscillator incorporating a tunable microwave photonic filter based on phase-modulation to intensity-modulation conversion using a phase-shifted fiber Bragg grating. IEEE Trans. Microw. Theory Tech. 2012, 60, 1735–1742. [Google Scholar] [CrossRef]
  18. Hao, T.; Cen, Q.; Dai, Y.; Tang, J.; Li, W.; Yao, J.; Zhu, N.; Li, M. Breaking the limitation of mode building time in an optoelectronic oscillator. Nat. Commun. 2018, 9, 1839. [Google Scholar] [CrossRef]
  19. Mikami, O.; Nakagome, H. Waveguided optical switch in InGaAs/InP using free-carrier plasma dispersion. Electron. Lett. 1984, 6, 228–229. [Google Scholar] [CrossRef]
  20. Tze-Wei Yeow, K.L.; Law, E.; Goldenberg, A. MEMS optical switches. IEEE Commun. Mag. 2001, 39, 158–163. [Google Scholar] [CrossRef]
  21. Brunetti, G.; Marocco, G.; Benedetto, A.; Giorgio, A.; Armenise, M.; Ciminelli, C. Design of a large bandwidth 2 × 2 interferometric switching cell based on a sub-wavelength grating. J. Opt. 2021, 23, 085801. [Google Scholar] [CrossRef]
  22. Dai, Y.; Xu, K.; Xie, X.; Yan, L.; Wang, R.; Lin, J. Broadband Photonic RF Channelization Based on Coherent Optical Frequency Combs and I/Q Demodulators. IEEE Photonics J. 2012, 4, 1196–1202. [Google Scholar]
  23. Weiner, A.M. Frequency combs: Cavity solitons come of age. Nat. Photonics 2017, 11, 533–535. [Google Scholar] [CrossRef]
  24. Kippenberg, T.J.; Gaeta, A.; Lipson, M.; Gorodetsky, M. Dissipative Kerr solitons in optical microresonators. Science 2018, 361, eaan8083. [Google Scholar] [CrossRef]
  25. Xue, X.; Zheng, X.; Zhou, B. Super-efficient temporal solitons in mutually coupled optical cavities. Nat. Photonics 2019, 13, 616–622. [Google Scholar] [CrossRef]
  26. Zhang, M.; Buscaino, B.; Wang, C.; Shams-Ansari, A.; Reimer, C.; Zhu, R.; Kahn, J.M.; Lončar, M. Broadband electro-optic frequency comb generation in a lithium niobate microring resonator. Nature 2019, 568, 373–377. [Google Scholar] [CrossRef]
  27. Rueda, A.; Sedlmeir, F.; Kumari, M.; Leuchs, G.; Schwefel, H.L. Resonant electro-optic frequency comb. Nature 2019, 568, 378–381. [Google Scholar] [CrossRef]
  28. Li, J.; Dai, Y.; Yin, F.; Li, W.; Li, M.; Chen, H.; Xu, K. Megahertz-resolution programmable microwave shaper. Opt. Lett. 2018, 43, 1878–1881. [Google Scholar] [CrossRef] [PubMed]
  29. Xie, X.; Li, J.; Yin, F.; Xu, K.; Dai, Y. STFT based on bandwidth-scaled microwave photonics. J. Light. Technol. 2020, 39, 1680–1687. [Google Scholar] [CrossRef]
  30. Wang, W.; Liu, J.; Mei, H.; Wang, W.; Zhu, N. Microwave Photonic Filter with Complex Coefficient Based on Optical Carrier Phase Shift Utilizing Two Stimulated Brillouin Scattering Pumps. IEEE Photonics J. 2015, 7, 5500208. [Google Scholar] [CrossRef]
  31. Dai, Y.; Yao, J. Nonuniformly Spaced Photonic Microwave Delay-Line Filters and Applications. IEEE Trans. Microw. Theory Tech. 2010, 58, 3279–3289. [Google Scholar] [CrossRef]
  32. Xue, X.; Zheng, X.; Zhang, H.; Zhou, B. Highly reconfigurable microwave photonic single-bandpass filter with complex continuous-time impulse responses. Opt. Express 2012, 20, 26929–26934. [Google Scholar] [CrossRef]
  33. Jiang, F.; Yu, Y.; Tang, H.; Xu, L. Tunable bandpass microwave photonic filter with ultrahigh stopband attenuation and skirt selectivity. Opt. Express 2016, 24, 18655–18663. [Google Scholar] [CrossRef] [PubMed]
  34. Li, J.; Zheng, P.; Hu, G.; Zhang, R.; Yun, B.; Cui, Y. Performance improvements of a tunable bandpass microwave photonic filter based on a notch ring resonator using phase modulation with dual optical carriers. Opt. Express 2019, 27, 9705–9715. [Google Scholar] [CrossRef] [PubMed]
  35. Song, S.; Chew, S.; Yi, X.; Nguyen, L.; Minasian, R. Tunable single-passband microwave photonic filter based on integrated optical double notch filter. J. Light. Technol. 2018, 36, 4557–4564. [Google Scholar] [CrossRef]
Figure 1. The proposed RF FSS schematic diagram based on multiple PMIM conversions. The RF signal containing multiple channels are modulated on the optical frequency comb and acted on by the periodic notch filter. Because the comb spacing of the optical frequency comb is slightly different from the FSR of the periodic notch filter, the RF components of different frequency will be suppressed in different optical channels. After the optical WSS, different optical channels will be merged, and under the PMIM conversion, different RF channels will also appear in the designed port.
Figure 1. The proposed RF FSS schematic diagram based on multiple PMIM conversions. The RF signal containing multiple channels are modulated on the optical frequency comb and acted on by the periodic notch filter. Because the comb spacing of the optical frequency comb is slightly different from the FSR of the periodic notch filter, the RF components of different frequency will be suppressed in different optical channels. After the optical WSS, different optical channels will be merged, and under the PMIM conversion, different RF channels will also appear in the designed port.
Applsci 13 02472 g001
Figure 2. The experimental setup. Optical frequency comb boosted by EDFA is phase-modulated and then notch-filtered by a ring resonator. After optical WSS, each optical branch is recovered to a RF signal. The RF channels are separated by multiple PMIM conversions, while they are directed according to the optical WSS.
Figure 2. The experimental setup. Optical frequency comb boosted by EDFA is phase-modulated and then notch-filtered by a ring resonator. After optical WSS, each optical branch is recovered to a RF signal. The RF channels are separated by multiple PMIM conversions, while they are directed according to the optical WSS.
Applsci 13 02472 g002
Figure 3. (a) The frequency response when all of the comb teeth are on, which shows an all-pass response from 9.5 GHz to 10.5 GHz. (b) The response when only one comb tooth is on, which shows a narrow 50 MHz bandpass filter.
Figure 3. (a) The frequency response when all of the comb teeth are on, which shows an all-pass response from 9.5 GHz to 10.5 GHz. (b) The response when only one comb tooth is on, which shows a narrow 50 MHz bandpass filter.
Applsci 13 02472 g003
Figure 4. (a) The frequency response when the RF channels are turned on randomly. (b) The response when the channel amplitudes are set to linearly increase (in dB).
Figure 4. (a) The frequency response when the RF channels are turned on randomly. (b) The response when the channel amplitudes are set to linearly increase (in dB).
Applsci 13 02472 g004
Figure 5. (a) The frequency response of the RF FSS when two ports are used and each outputs five RF channels. (b) Five ports are used and the RF FSS outputs two RF channels in every port. (c) The RF FSS is set as an interleaver.
Figure 5. (a) The frequency response of the RF FSS when two ports are used and each outputs five RF channels. (b) Five ports are used and the RF FSS outputs two RF channels in every port. (c) The RF FSS is set as an interleaver.
Applsci 13 02472 g005
Disclaimer/Publisher’s Note: The statements, opinions and data contained in all publications are solely those of the individual author(s) and contributor(s) and not of MDPI and/or the editor(s). MDPI and/or the editor(s) disclaim responsibility for any injury to people or property resulting from any ideas, methods, instructions or products referred to in the content.

Share and Cite

MDPI and ACS Style

Hao, W.; Peng, Y.; Wang, S.; Liu, X. RF Frequency Selective Switch by Multiple PMIM Conversions. Appl. Sci. 2023, 13, 2472. https://doi.org/10.3390/app13042472

AMA Style

Hao W, Peng Y, Wang S, Liu X. RF Frequency Selective Switch by Multiple PMIM Conversions. Applied Sciences. 2023; 13(4):2472. https://doi.org/10.3390/app13042472

Chicago/Turabian Style

Hao, Wenhui, Yi Peng, Shaohua Wang, and Xia Liu. 2023. "RF Frequency Selective Switch by Multiple PMIM Conversions" Applied Sciences 13, no. 4: 2472. https://doi.org/10.3390/app13042472

APA Style

Hao, W., Peng, Y., Wang, S., & Liu, X. (2023). RF Frequency Selective Switch by Multiple PMIM Conversions. Applied Sciences, 13(4), 2472. https://doi.org/10.3390/app13042472

Note that from the first issue of 2016, this journal uses article numbers instead of page numbers. See further details here.

Article Metrics

Back to TopTop