UnifiedFace: A Uniform Margin Loss Function for Face Recognition
Abstract
1. Introduction
2. Related Works
2.1. Lightweight Networks Frameworks
2.2. Deep Face Recognition
3. Our Method
3.1. GhostFaceNet
3.2. Margin-Based Loss Functions
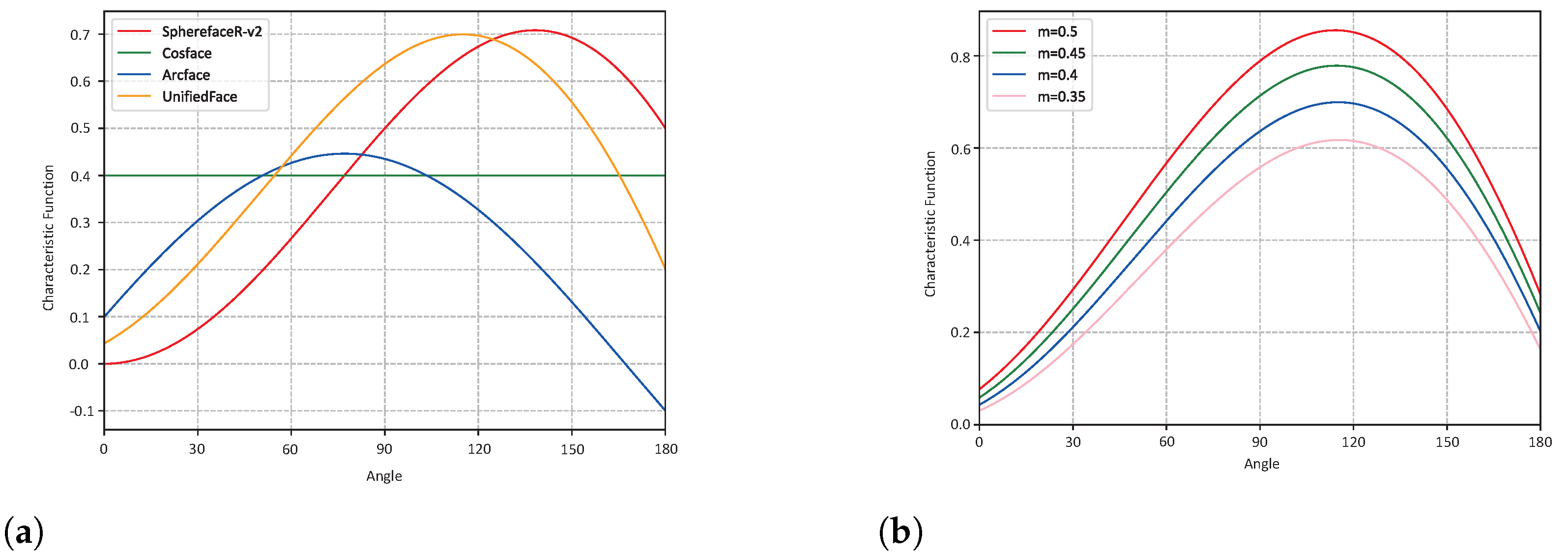
3.3. UnifiedFace
4. Experiments
4.1. Datasets
4.2. Implementation
4.3. Ablation Experiments
4.3.1. Effect of Hyperparameters M Furthermore, S
4.3.2. The Comparison with State-of-the-Art Methods
4.4. Experiments in GhostFaceNet
4.5. Comparison Experiments with Different Lightweight Network Models
4.6. Experiments Evaluated on IJBB/C
4.7. Experiments in Embedded Devices
5. Conclusions
Author Contributions
Funding
Institutional Review Board Statement
Informed Consent Statement
Data Availability Statement
Conflicts of Interest
References
- Wang, Q.; Guo, G. LS-CNN: Characterizing local patches at multiple scales for face recognition. IEEE Trans. Inf. Forensics Secur. 2019, 15, 1640–1653. [Google Scholar] [CrossRef]
- Zhang, P.; Zhao, F.; Liu, P.; Li, M. Efficient Lightweight Attention Network for Face Recognition. IEEE Access 2022, 10, 31740–31750. [Google Scholar] [CrossRef]
- Wen, Y.; Zhang, K.; Li, Z.; Qiao, Y. A Discriminative Feature Learning Approach for Deep Face Recognition. In European Conference on Computer Vision; Springer: Berlin/Heidelberg, Germany, 2016; pp. 499–515. [Google Scholar]
- Liu, W.; Wen, Y.; Yu, Z.; Yang, M. Large-margin softmax loss for convolutional neural networks. arXiv 2016, arXiv:1612.02295. [Google Scholar]
- Liu, W.; Wen, Y.; Yu, Z.; Li, M.; Raj, B.; Song, L. Sphereface: Deep hypersphere embedding for face recognition. In Proceedings of the IEEE Conference on Computer Vision and Pattern Recognition, Honolulu, HI, USA, 21–26 July 2017; pp. 212–220. [Google Scholar]
- Wang, H.; Wang, Y.; Zhou, Z.; Ji, X.; Gong, D.; Zhou, J.; Li, Z.; Liu, W. Cosface: Large margin cosine loss for deep face recognition. In Proceedings of the IEEE Conference on Computer Vision and Pattern Recognition, Salt Lake City, UT, USA, 18–23 June 2018; pp. 5265–5274. [Google Scholar]
- Liu, W.; Wen, Y.; Raj, B.; Singh, R.; Weller, A. SphereFace Revived: Unifying Hyperspherical Face Recognition. IEEE Trans. Pattern Anal. Mach. Intell. 2022, 45, 2458–2474. [Google Scholar] [CrossRef] [PubMed]
- Wang, F.; Cheng, J.; Liu, W.; Liu, H. Additive margin softmax for face verification. IEEE Signal Process. Lett. 2018, 25, 926–930. [Google Scholar] [CrossRef]
- Deng, J.; Guo, J.; Xue, N.; Zafeiriou, S. Arcface: Additive angular margin loss for deep face recognition. In Proceedings of the IEEE/CVF Conference on Computer Vision and Pattern Recognition, Long Beach, CA, USA, 15–20 June 2019; pp. 4690–4699. [Google Scholar]
- Ulrich, L.; Vezzetti, E.; Moos, S.; Marcolin, F. Analysis of RGB-D camera technologies for supporting different facial usage scenarios. Multimed. Tools Appl. 2020, 79, 29375–29398. [Google Scholar] [CrossRef]
- Woźniak, M.; Siłka, J.; Wieczorek, M. Deep learning based crowd counting model for drone assisted systems. In Proceedings of the 4th ACM MobiCom Workshop on Drone Assisted Wireless Communications for 5G and Beyond, Virtual, 29 October 2021; pp. 31–36. [Google Scholar]
- Boutros, F.; Siebke, P.; Klemt, M.; Damer, N.; Kirchbuchner, F.; Kuijper, A. PocketNet: Extreme lightweight face recognition network using neural architecture search and multistep knowledge distillation. IEEE Access 2022, 10, 46823–46833. [Google Scholar] [CrossRef]
- Feng, Y.; Wang, H.; Hu, H.R.; Yu, L.; Wang, W.; Wang, S. Triplet distillation for deep face recognition. In Proceedings of the 2020 IEEE International Conference on Image Processing (ICIP), Abu Dhabi, United Arab Emirates, 25–28 October 2020; IEEE: Piscataway, NJ, USA, 2020; pp. 808–812. [Google Scholar]
- Luo, J.H.; Wu, J.; Lin, W. Thinet: A filter level pruning method for deep neural network compression. In Proceedings of the IEEE International Conference on Computer Vision, Venice, Italy, 22–29 October 2017; pp. 5058–5066. [Google Scholar]
- Liu, J.; Zhuang, B.; Zhuang, Z.; Guo, Y.; Huang, J.; Zhu, J.; Tan, M. Discrimination-aware network pruning for deep model compression. IEEE Trans. Pattern Anal. Mach. Intell. 2021, 44, 4035–4051. [Google Scholar] [CrossRef] [PubMed]
- Choukroun, Y.; Kravchik, E.; Yang, F.; Kisilev, P. Low-bit quantization of neural networks for efficient inference. In Proceedings of the 2019 IEEE/CVF International Conference on Computer Vision Workshop (ICCVW), Seoul, Republic of Korea, 27–28 October 2019; IEEE: Piscataway, NJ, USA, 2019; pp. 3009–3018. [Google Scholar]
- Sandler, M.; Howard, A.; Zhu, M.; Zhmoginov, A.; Chen, L.C. Mobilenetv2: Inverted residuals and linear bottlenecks. In Proceedings of the IEEE Conference on Computer Vision and Pattern Recognition, Salt Lake City, UT, USA, 18–23 June 2018; pp. 4510–4520. [Google Scholar]
- Ma, N.; Zhang, X.; Zheng, H.T.; Sun, J. Shufflenet v2: Practical guidelines for efficient cnn architecture design. In Proceedings of the European Conference on Computer Vision (ECCV), Munich, Germany, 8–14 September 2018; pp. 116–131. [Google Scholar]
- Han, K.; Wang, Y.; Tian, Q.; Guo, J.; Xu, C.; Xu, C. Ghostnet: More features from cheap operations. In Proceedings of the IEEE/CVF Conference on Computer Vision and Pattern Recognition, Seattle, WA, USA, 13–19 June 2020; pp. 1580–1589. [Google Scholar]
- Howard, A.G.; Zhu, M.; Chen, B.; Kalenichenko, D.; Wang, W.; Weyand, T.; Andreetto, M.; Adam, H. Mobilenets: Efficient convolutional neural networks for mobile vision applications. arXiv 2017, arXiv:1704.04861. [Google Scholar]
- Howard, A.; Sandler, M.; Chu, G.; Chen, L.C.; Chen, B.; Tan, M.; Wang, W.; Zhu, Y.; Pang, R.; Vasudevan, V.; et al. Searching for mobilenetv3. In Proceedings of the IEEE/CVF International Conference on Computer Vision, Seoul, Republic of Korea, 27 October–2 November 2019; pp. 1314–1324. [Google Scholar]
- Zhang, X.; Zhou, X.; Lin, M.; Sun, J. Shufflenet: An extremely efficient convolutional neural network for mobile devices. In Proceedings of the IEEE Conference on Computer Vision and Pattern Recognition, Salt Lake City, UT, USA, 18–23 June 2018; pp. 6848–6856. [Google Scholar]
- Wieczorek, M.; Siłka, J.; Woźniak, M.; Garg, S.; Hassan, M.M. Lightweight Convolutional Neural Network Model for Human Face Detection in Risk Situations. IEEE Trans. Ind. Inform. 2022, 18, 4820–4829. [Google Scholar] [CrossRef]
- Chen, S.; Liu, Y.; Gao, X.; Han, Z. Mobilefacenets: Efficient Cnns for Accurate Real-Time Face Verification on Mobile Devices. In Chinese Conference on Biometric Recognition; Springer: Berlin/Heidelberg, Germany, 2018; pp. 428–438. [Google Scholar]
- Martindez-Diaz, Y.; Luevano, L.S.; Mendez-Vazquez, H.; Nicolas-Diaz, M.; Chang, L.; Gonzalez-Mendoza, M. Shufflefacenet: A lightweight face architecture for efficient and highly-accurate face recognition. In Proceedings of the IEEE/CVF International Conference on Computer Vision Workshops, Seoul, Republic of Korea, 27–28 October 2019. [Google Scholar]
- Yan, M.; Zhao, M.; Xu, Z.; Zhang, Q.; Wang, G.; Su, Z. Vargfacenet: An efficient variable group convolutional neural network for lightweight face recognition. In Proceedings of the IEEE/CVF International Conference on Computer Vision Workshops, Seoul, Republic of Korea, 27–28 October 2019. [Google Scholar]
- Duong, C.N.; Quach, K.G.; Jalata, I.; Le, N.; Luu, K. Mobiface: A lightweight deep learning face recognition on mobile devices. In Proceedings of the 2019 IEEE 10th International Conference on Biometrics Theory, Applications and Systems (BTAS), Tampa, FL, USA, 23–26 September 2019; IEEE: Piscataway, NJ, USA, 2019; pp. 1–6. [Google Scholar]
- Taigman, Y.; Yang, M.; Ranzato, M.; Wolf, L. Deepface: Closing the gap to human-level performance in face verification. In Proceedings of the IEEE Conference on Computer Vision and Pattern Recognition, Columbus, OH, USA, 23–28 June 2014; pp. 1701–1708. [Google Scholar]
- Sun, Y.; Wang, X.; Tang, X. Deep learning face representation from predicting 10,000 classes. In Proceedings of the IEEE Conference on Computer Vision and Pattern Recognition, Columbus, OH, USA, 23–28 June 2014; pp. 1891–1898. [Google Scholar]
- He, K.; Zhang, X.; Ren, S.; Sun, J. Deep residual learning for image recognition. In Proceedings of the IEEE Conference on Computer Vision and Pattern Recognition, Las Vegas, NV, USA, 27–30 June 2016; pp. 770–778. [Google Scholar]
- Sun, Y.; Chen, Y.; Wang, X.; Tang, X. Deep learning face representation by joint identification-verification. Adv. Neural Inf. Process. Syst. 2014, 27. [Google Scholar]
- Schroff, F.; Kalenichenko, D.; Philbin, J. Facenet: A unified embedding for face recognition and clustering. In Proceedings of the IEEE Conference on Computer Vision and Pattern Recognition, Boston, MA, USA, 7–12 June 2015; pp. 815–823. [Google Scholar]
- Liu, J.; Deng, Y.; Bai, T.; Wei, Z.; Huang, C. Targeting ultimate accuracy: Face recognition via deep embedding. arXiv 2015, arXiv:1506.07310. [Google Scholar]
- Sun, Y.; Wang, X.; Tang, X. Sparsifying neural network connections for face recognition. In Proceedings of the IEEE Conference on Computer Vision and Pattern Recognition, Las Vegas, NV, USA, 27–30 June 2016; pp. 4856–4864. [Google Scholar]
- Wang, F.; Xiang, X.; Cheng, J.; Yuille, A.L. Normface: L2 hypersphere embedding for face verification. In Proceedings of the 25th ACM international conference on Multimedia, Mountain View, CA, USA, 23–27 October 2017; pp. 1041–1049. [Google Scholar]
- Ranjan, R.; Castillo, C.D.; Chellappa, R. L2-constrained softmax loss for discriminative face verification. arXiv 2017, arXiv:1703.09507. [Google Scholar]
- Liu, Y.; Li, H.; Wang, X. Rethinking feature discrimination and polymerization for large-scale recognition. arXiv 2017, arXiv:1710.00870. [Google Scholar]
- Sun, Y.; Cheng, C.; Zhang, Y.; Zhang, C.; Zheng, L.; Wang, Z.; Wei, Y. Circle loss: A unified perspective of pair similarity optimization. In Proceedings of the IEEE/CVF Conference on Computer Vision and Pattern Recognition, Seattle, WA, USA, 13–19 June 2020; pp. 6398–6407. [Google Scholar]
- Zhang, X.; Zhao, R.; Qiao, Y.; Wang, X.; Li, H. Adacos: Adaptively scaling cosine logits for effectively learning deep face representations. In Proceedings of the IEEE/CVF Conference on Computer Vision and Pattern Recognition, Long Beach, CA, USA, 15–20 June 2019; pp. 10823–10832. [Google Scholar]
- Liu, H.; Zhu, X.; Lei, Z.; Li, S.Z. Adaptiveface: Adaptive margin and sampling for face recognition. In Proceedings of the IEEE/CVF Conference on Computer Vision and Pattern Recognition, Long Beach, CA, USA, 16–17 June 2019; pp. 11947–11956. [Google Scholar]
- Huang, Y.; Wang, Y.; Tai, Y.; Liu, X.; Shen, P.; Li, S.; Li, J.; Huang, F. Curricularface: Adaptive curriculum learning loss for deep face recognition. In Proceedings of the IEEE/CVF Conference on Computer Vision and Pattern Recognition, Seattle, WA, USA, 13–19 June 2020; pp. 5901–5910. [Google Scholar]
- Kim, I.; Han, S.; Park, S.J.; Baek, J.W.; Shin, J.; Han, J.J.; Choi, C. Discface: Minimum discrepancy learning for deep face recognition. In Proceedings of the Asian Conference on Computer Vision, Kyoto, Japan, 30 November–4 December 2020. [Google Scholar]
- Wu, X.; He, R.; Sun, Z.; Tan, T. A light CNN for deep face representation with noisy labels. IEEE Trans. Inf. Forensics Secur. 2018, 13, 2884–2896. [Google Scholar] [CrossRef]
- He, K.; Zhang, X.; Ren, S.; Sun, J. Delving deep into rectifiers: Surpassing human-level performance on imagenet classification. In Proceedings of the IEEE International Conference on Computer Vision, Santiago, Chile, 7–15 December 2015; pp. 1026–1034. [Google Scholar]
- Nair, V.; Hinton, G.E. Rectified linear units improve restricted boltzmann machines. In Proceedings of the Icml, Haifa, Israel, 21–24 June 2010. [Google Scholar]
- Cao, Q.; Shen, L.; Xie, W.; Parkhi, O.M.; Zisserman, A. Vggface2: A dataset for recognising faces across pose and age. In Proceedings of the 2018 13th IEEE International Conference on Automatic Face & Gesture Recognition (FG 2018), Xi’an, China, 15–19 May 2018; IEEE: Piscataway, NJ, USA, 2018; pp. 67–74. [Google Scholar]
- Guo, Y.; Zhang, L.; Hu, Y.; He, X.; Gao, J. Ms-celeb-1m: A Dataset and Benchmark for Large-Scale Face Recognition. In European Conference on Computer Vision; Springer: Berlin/Heidelberg, Germany, 2016; pp. 87–102. [Google Scholar]
- Huang, G.B.; Mattar, M.; Berg, T.; Learned-Miller, E. Labeled Faces in the Wild: A Database Forstudying Face Recognition in Unconstrained Environments. In Workshop on Faces in’Real-Life’Images: Detection, Alignment, And Recognition; HAL Inria: Paris, France, 2008. [Google Scholar]
- Zheng, T.; Deng, W. Cross-pose lfw: A database for studying cross-pose face recognition in unconstrained environments. Beijing Univ. Posts Telecommun. Tech. Rep. 2018, 5, 7. [Google Scholar]
- Zheng, T.; Deng, W.; Hu, J. Cross-age lfw: A database for studying cross-age face recognition in unconstrained environments. arXiv 2017, arXiv:1708.08197. [Google Scholar]
- Sengupta, S.; Chen, J.C.; Castillo, C.; Patel, V.M.; Chellappa, R.; Jacobs, D.W. Frontal to profile face verification in the wild. In Proceedings of the 2016 IEEE Winter Conference on Applications of Computer Vision (WACV), Lake Placid, NY, USA, 7–10 March 2016; IEEE: Piscataway, NJ, USA, 2016; pp. 1–9. [Google Scholar]
- Whitelam, C.; Taborsky, E.; Blanton, A.; Maze, B.; Adams, J.; Miller, T.; Kalka, N.; Jain, A.K.; Duncan, J.A.; Allen, K.; et al. Iarpa janus benchmark-b face dataset. In Proceedings of the IEEE Conference on Computer Vision and Pattern Recognition Workshops, Honolulu, HI, USA, 21–26 July 2017; pp. 90–98. [Google Scholar]
- Maze, B.; Adams, J.; Duncan, J.A.; Kalka, N.; Miller, T.; Otto, C.; Jain, A.K.; Niggel, W.T.; Anderson, J.; Cheney, J.; et al. Iarpa janus benchmark-c: Face dataset and protocol. In Proceedings of the 2018 International Conference on Biometrics (ICB), Gold Coast, Australia, 20–23 February 2018; IEEE: Piscataway, NJ, USA, 2018; pp. 158–165. [Google Scholar]
- Paszke, A.; Gross, S.; Massa, F.; Lerer, A.; Bradbury, J.; Chanan, G.; Killeen, T.; Lin, Z.; Gimelshein, N.; Antiga, L.; et al. Pytorch: An imperative style, high-performance deep learning library. Adv. Neural Inf. Process. Syst. 2019, 32. [Google Scholar]
- Li, X.; Wang, F.; Hu, Q.; Leng, C. Airface: Lightweight and efficient model for face recognition. In Proceedings of the IEEE/CVF International Conference on Computer Vision Workshops, Seoul, Republic of Korea, October 2019. [Google Scholar]
- Zhang, K.; Zhang, Z.; Li, Z.; Qiao, Y. Joint face detection and alignment using multitask cascaded convolutional networks. IEEE Signal Process. Lett. 2016, 23, 1499–1503. [Google Scholar] [CrossRef]








| Input | Operator | n | s | Output |
|---|---|---|---|---|
| Conv | - | 2 | 64 | |
| GF-Bottleneck | 1 | 2 | 64 | |
| GF-Bottleneck | 4 | 1 | 64 | |
| GF-Bottleneck | 1 | 2 | 128 | |
| GF-Bottleneck | 5 | 1 | 128 | |
| GF-Bottleneck | 1 | 2 | 256 | |
| GF-Bottleneck | 4 | 1 | 256 | |
| Conv | - | 1 | 1024 | |
| GDC | - | 1 | 1024 | |
| Linear | - | 1 | 128 |
| Method | Non-Target Function | Target Function | Characteristic Function |
|---|---|---|---|
| SphereFace | |||
| SphereFaceR v1 | |||
| SphereFaceR v2 | |||
| CosFace | m | ||
| ArcFace | |||
| UnifiedFace |
| Method | Binary Boundary for Class 1 |
|---|---|
| softmax | |
| SphereFace | |
| CosFace | |
| ArcFace | |
| UnifiedFace |
| Dataset | ID | Images |
|---|---|---|
| MS1M-RetinaFace | 93 K | 5.1 M |
| VGGFace2 | 8.6 K | 3.1 M |
| LFW | 5749 | 13,233 |
| CPLFW | 5749 | 12,174 |
| CALFW | 5749 | 11,652 |
| CFP | 500 | 7000 |
| VGGFace2-FP | 500 | 173 K |
| IJBB | 1845 | 76.8 K |
| IJBC | 3531 | 148.8 K |
| s | m | LFW | CALFW | CPLFW | VGG2_FP | CFP | |
|---|---|---|---|---|---|---|---|
| CFP_FF | CFP_FP | ||||||
| 64 | 0.5 | 99.55% | 93.08% | 91.92% | 95.14% | 99.34% | 97.47% |
| 64 | 0.45 | 99.52% | 92.80% | 92.23% | 94.80% | 99.26% | 97.01% |
| 64 | 0.4 | 99.73% | 93.77% | 92.58% | 95.36% | 99.37% | 97.83% |
| 40 | 0.35 | 99.67% | 93.10% | 92.48% | 95.76% | 99.26% | 97.59% |
| s | m | LFW | CALFW | CPLFW | VGG2_FP | CFP | |
|---|---|---|---|---|---|---|---|
| CFP_FF | CFP_FP | ||||||
| 64 | 0.5 | 99.77% | 96.00% | 92.42% | 95.00% | 99.77% | 97.09% |
| 64 | 0.45 | 99.80% | 96.00% | 92.68% | 95.34% | 99.77% | 97.30% |
| 50 | 0.4 | 99.80% | 96.17% | 92.65% | 96.52% | 99.79% | 97.77% |
| 40 | 0.35 | 99.78% | 95.90% | 92.53% | 96.02% | 99.76% | 97.83% |
| Method | s | m | LFW | CALFW | CPLFW | VGG2_FP | CFP | |
|---|---|---|---|---|---|---|---|---|
| CFP_FF | CFP_FP | |||||||
| SphereFace | - | 4 | 99.43% | 91.18% | 90.33% | 95.46% | 98.90% | 96.99% |
| SphereFaceR v1 | 64 | 1.5 | 99.63% | 93.70% | 92.50% | 95.08% | 99.46% | 97.79% |
| SphereFaceR v2 | 64 | 1.5 | 99.65% | 93.37% | 92.25% | 95.30% | 99.37% | 97.50% |
| CosFace | 64 | 0.45 | 99.63% | 93.83% | 92.37% | 94.40% | 99.37% | 97.10% |
| ArcFace | 64 | 0.45 | 99.62% | 93.77% | 92.33% | 94.90% | 99.40% | 97.53% |
| CurricularFace | 64 | 0.5 | 99.62% | 93.90% | 91.58% | 94.46% | 99.43% | 96.90% |
| UnifiedFace | 64 | 0.4 | 99.73% | 93.77% | 92.58% | 95.36% | 99.37% | 97.83% |
| Method | s | m | LFW | CALFW | CPLFW | VGG2_FP | CFP | |
|---|---|---|---|---|---|---|---|---|
| CFP_FF | CFP_FP | |||||||
| SphereFace | - | 3 | 99.80% | 96.00% | 92.42% | 95.34% | 99.73% | 97.57% |
| SphereFaceR v1 | 64 | 1.5 | 99.78% | 96.03% | 92.55% | 95.04% | 99.78% | 97.39% |
| SphereFaceR v2 | 64 | 1.5 | 99.82% | 96.03% | 92.97% | 95.69% | 99.77% | 98.00% |
| CosFace | 64 | 0.45 | 99.82% | 96.08% | 92.27% | 94.38% | 99.76% | 96.89% |
| ArcFace | 64 | 0.45 | 99.77% | 96.12% | 92.43% | 94.66% | 99.76% | 97.13% |
| CurricularFace | 64 | 0.5 | 99.80% | 96.02% | 92.05% | 94.06% | 99.77% | 96.77% |
| UnifiedFace | 50 | 0.4 | 99.80% | 96.17% | 92.65% | 96.52% | 99.79% | 97.77% |
| Loss | m | LFW | CALFW | CFP-FP |
|---|---|---|---|---|
| SphereFace | 4 | 99.47% | 94.97% | 91.79% |
| CosFace | 0.3 | 99.35% | 94.27% | 92.23% |
| ArcFace | 0.15 | 99.53% | 94.58% | 94.21% |
| ArcFace | 0.3 | 99.52% | 94.63% | 93.46% |
| ArcFace | 0.35 | 99.50% | 94.67% | 93.10% |
| AirFace | 0.45 | 99.48% | 94.98% | 92.73% |
| UnifiedFace | 0.45 | 99.60% | 94.53% | 92.74% |
| UnifiedFace | 0.4 | 99.63% | 94.80% | 93.70% |
| UnifiedFace | 0.35 | 99.50% | 94.63% | 94.54% |
| Model | m | LFW | CALFW | CFP-FP | PARAM | FLOPs |
|---|---|---|---|---|---|---|
| ResNet-50 | 0.45 | 99.61% | 94.81% | 95.17% | 40.25 M | 2.19 G |
| EfficientNet | 0.45 | 99.52% | 95.31% | 96.55% | 6.58 M | 1.14 G |
| MobileNetV2 | 0.45 | 99.55% | 94.87% | 93.40% | 2.26 M | 0.43 G |
| MobileFaceNet | 0.45 | 99.53% | 94.95% | 95.49% | 1.0 M | 0.45 G |
| GhostNet | 0.45 | 99.58% | 94.78% | 95.40% | 4.06 M | 0.44 G |
| GhostFaceNet | 0.45 | 99.60% | 94.53% | 92.74% | 0.82 M | 0.15 G |
| GhostFaceNet | 0.4 | 99.63% | 94.80% | 93.70% | 0.82 M | 0.15 G |
| GhostFaceNet | 0.35 | 99.50% | 94.63% | 94.54% | 0.82 M | 0.15 G |
| Method | m | IJB-B | IJB-C | ||||
|---|---|---|---|---|---|---|---|
| SphereFace | 3 | 42.00 | 85.84 | 93.90 | 78.77 | 92.18 | 95.68 |
| SphereFaceR v1 | 1.5 | 34.56 | 88.88 | 94.47 | 88.39 | 93.69 | 95.97 |
| SphereFaceR v2 | 1.5 | 37.22 | 88.45 | 94.51 | 87.79 | 93.34 | 95.99 |
| CosFace | 0.45 | 41.29 | 90.21 | 94.63 | 89.61 | 94.02 | 96.11 |
| ArcFace | 0.45 | 37.41 | 89.82 | 94.20 | 89.42 | 93.38 | 95.85 |
| CurricularFace | 0.45 | 36.38 | 90.06 | 94.37 | 89.58 | 93.83 | 95.85 |
| UnifiedFace(MS1M V3) | 0.4 | 42.51 | 88.52 | 94.03 | 88.50 | 93.12 | 95.62 |
| Method | Accuracy | Speed |
|---|---|---|
| ResNet-50 | 99.64% | - |
| EfficientNet | 99.53% | 36.5 ms |
| MobileNetV2 | 99.55% | 25.67 ms |
| MobileFaceNet | 99.53% | 23.67 ms |
| GhostFaceNet | 99.63% | 15.3 ms |
| Method | Embedded Platform | PARAM | FLOPs |
|---|---|---|---|
| ResNet-50 | 3.09 s | 40.29 M | 2.19 G |
| EfficientNet | 2.4 s | 6.58 M | 1.14 G |
| MobileNetV2 | 0.77 s | 2.26 M | 0.43 G |
| MobileFaceNet | 0.79 s | 1.0 M | 0.45 G |
| GhostFaceNet | 0.28 s | 0.82 M | 0.15 G |
Disclaimer/Publisher’s Note: The statements, opinions and data contained in all publications are solely those of the individual author(s) and contributor(s) and not of MDPI and/or the editor(s). MDPI and/or the editor(s) disclaim responsibility for any injury to people or property resulting from any ideas, methods, instructions or products referred to in the content. |
© 2023 by the authors. Licensee MDPI, Basel, Switzerland. This article is an open access article distributed under the terms and conditions of the Creative Commons Attribution (CC BY) license (https://creativecommons.org/licenses/by/4.0/).
Share and Cite
Zhao, F.; Zhang, P.; Zhang, R.; Li, M. UnifiedFace: A Uniform Margin Loss Function for Face Recognition. Appl. Sci. 2023, 13, 2350. https://doi.org/10.3390/app13042350
Zhao F, Zhang P, Zhang R, Li M. UnifiedFace: A Uniform Margin Loss Function for Face Recognition. Applied Sciences. 2023; 13(4):2350. https://doi.org/10.3390/app13042350
Chicago/Turabian StyleZhao, Feng, Peng Zhang, Ran Zhang, and Mengwei Li. 2023. "UnifiedFace: A Uniform Margin Loss Function for Face Recognition" Applied Sciences 13, no. 4: 2350. https://doi.org/10.3390/app13042350
APA StyleZhao, F., Zhang, P., Zhang, R., & Li, M. (2023). UnifiedFace: A Uniform Margin Loss Function for Face Recognition. Applied Sciences, 13(4), 2350. https://doi.org/10.3390/app13042350

