The Inhibition Effect and Mechnism of a Thiadiazole Derivative on Q235 Carbon Steel in 1 M HCl Solution
Abstract
1. Introduction
2. Materials and Methods
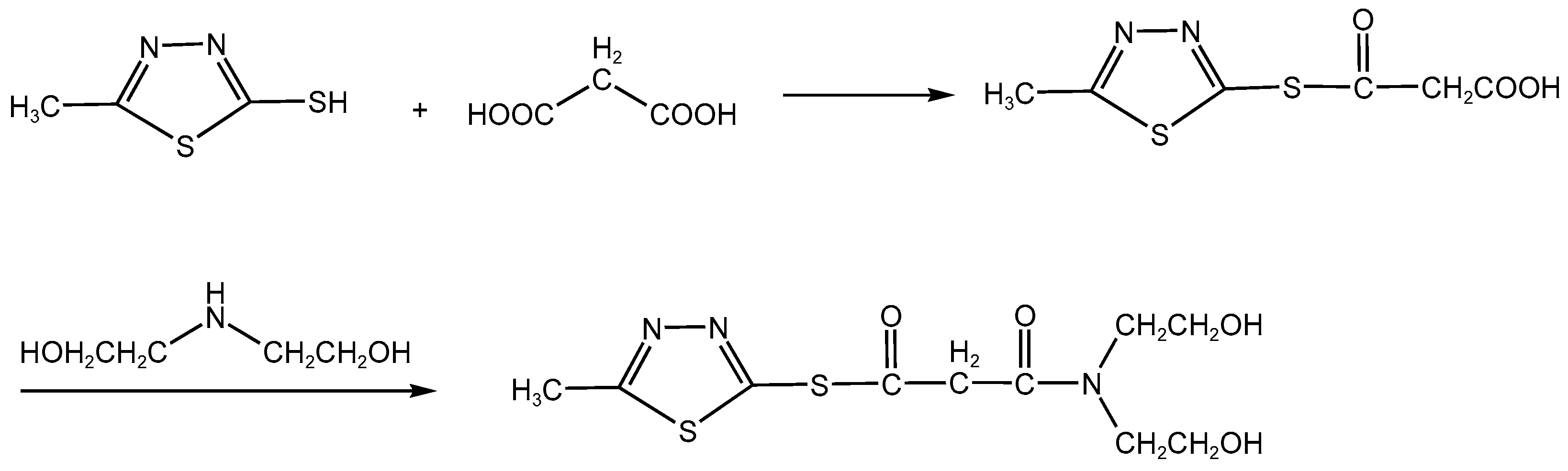
2.1. Synthesis of TSCA
2.2. Preparation of Samples
2.3. Weight Loss Measurement
2.4. Electrochemical Experiments
2.5. Quantum Chemical Calculations
2.6. Surface Observation and Elemental Analysis
3. Results and Discussion
3.1. Weight Loss Measurement
3.2. Electrochemical Impedance Spectroscopy (EIS)
3.3. Potentiodynamic Polarization Curves
3.4. Adsorption Isotherm Analysis
3.5. Quantum Chemical Analysis
3.6. Surface Observation and Elemental Analysis
4. Conclusions
Author Contributions
Funding
Institutional Review Board Statement
Informed Consent Statement
Data Availability Statement
Conflicts of Interest
References
- Mohammed, K.; Jameel, M.; Ibrahim, Z.; Tan, C.G. Performance of a ductile hybrid post-tensioned beam-to-column connection for precast concrete frames under seismic loads: A review. Appl. Sci. 2021, 11, 7497. [Google Scholar] [CrossRef]
- Baddoo, N.R. Stainless steel in construction: A review of research, applications, challenges and opportunities. J. Constr. Steel Res. 2008, 64, 1199–1206. [Google Scholar] [CrossRef]
- Ma, C.; Liu, J.; Zhu, X.; Xue, W.; Yan, Z.; Cheng, D.; Fu, J.; Ma, S. Anticorrosive non-crystalline coating prepared by plasma electrolytic oxidation for ship low carbon steel pipes. Sci. Rep. 2020, 10, 15675. [Google Scholar] [CrossRef] [PubMed]
- Abdallah, M.; Altass, H.M.; Al Jahdaly, B.A.; Salem, M.M. Some natural aqueous extracts of plants as green inhibitor for carbon steel corrosion in 0.5 M sulfuric acid. Green Chem. Lett. Rev. 2018, 11, 189–196. [Google Scholar] [CrossRef]
- Hsissou, R.; Benhiba, F.; Dagdag, O.; El Bouchti, M.; Nouneh, K.; Assouag, M.; Elharfi, A. Development and potential performance of prepolymer in corrosion inhibition for carbon steel in 1.0 M HCl: Outlooks from experimental and computational investigations. J. Colloid Interf. Sci. 2020, 574, 43–60. [Google Scholar] [CrossRef]
- Ma, Y.; Li, Y.; Wang, F. Corrosion of low carbon steel in atmospheric environments of different chloride content. Corros. Sci. 2009, 51, 997–1006. [Google Scholar] [CrossRef]
- Zhang, S.; Hou, L.; Du, H.; Wei, H.; Liu, B.; Wei, Y. A study on the interaction between chloride ions and CO2 towards carbon steel corrosion. Corros. Sci. 2020, 167, 108531. [Google Scholar] [CrossRef]
- Wang, Q.; Tan, B.; Bao, H.; Xie, Y.; Mou, Y.; Li, P.; Yang, W. Evaluation of Ficus tikoua leaves extract as an eco-friendly corrosion inhibitor for carbon steel in HCl media. Bioelectrochemistry 2019, 128, 49–55. [Google Scholar] [CrossRef]
- Parancheerivilakkathil, M.S.; Parapurath, S.; Ainane, S.; Yap, Y.F.; Rostron, P. Flow velocity and sand loading effect on erosion–corrosion during liquid-solid impingement on mild steel. Appl. Sci. 2022, 12, 2530. [Google Scholar] [CrossRef]
- Döner, A.; Solmaz, R.; Özcan, M.; Kardas, G. Experimental and theoretical studies of thiazoles as corrosion inhibitors for mild steel in sulphuric acid solution. Corros. Sci. 2011, 53, 2902–2913. [Google Scholar] [CrossRef]
- Negm, N.A.; Migahed, M.A.; Farag, R.K.; Fadda, A.A.; Awad, M.K.; Shaban, M.M. High performance corrosion inhibition of novel tricationic surfactants on carbon steel in formation water: Electrochemical and computational evaluations. J. Mol. Liq. 2018, 262, 363–375. [Google Scholar] [CrossRef]
- Heydari, M.; Javidi, M. Corrosion inhibition and adsorption behaviour of an amido-imidazoline derivative on API 5L X52 steel in CO2-saturated solution and synergistic effect of iodide ions. Corros. Sci. 2012, 61, 148–155. [Google Scholar] [CrossRef]
- Li, X.; Deng, S.; Lin, T.; Xie, X.; Xu, X. Inhibition action of triazolyl blue tetrazolium bromide on cold rolled steel corrosion in three chlorinated acetic acids. J. Mol. Liq. 2019, 274, 77–89. [Google Scholar] [CrossRef]
- Mashuga, M.E.; Olasunkanmi, L.O.; Ebenso, E.E. Experimental and theoretical investigation of the inhibitory effect of new pyridazine derivatives for the corrosion of mild steel in 1 M HCl. J. Mol. Struct. 2017, 1136, 127–139. [Google Scholar] [CrossRef]
- Feng, X.G.; Shi, R.L.; Lu, X.Y.; Xu, Y.W.; Huang, X.F.; Chen, D. The corrosion inhibition efficiency ofaluminum tripolyphosphate on carbon steel in carbonated concrete pore solution. Corros. Sci. 2017, 124, 150–159. [Google Scholar] [CrossRef]
- Khaled, K.F. Experimental, density function theory calculations and molecular dynamics simulations to investigate the adsorption of some thiourea derivatives on iron surface in nitric acid solutions. Appl. Surf. Sci. 2010, 256, 6753–6763. [Google Scholar] [CrossRef]
- Loto, R.T.; Loto, C.A.; Popoola, A.P.I. Corrosion inhibition of thiourea and thiadiazole derivatives: A review. J. Mater. Environ. Sci. 2012, 3, 885–894. [Google Scholar]
- Solmaz, R. Investigation of adsorption and corrosion inhibition of mild steel in hydrochloric acid solution by 5-(4-Dimethylaminobenzylidene) rhodanine. Corros. Sci. 2014, 79, 169–176. [Google Scholar] [CrossRef]
- Guo, L.; Kaya, S.; Obot, I.B.; Zheng, X.W.; Qiang, Y.J. Toward understanding the anticorrosive mechanism of some thiourea derivatives for carbon steel corrosion: A combined DFT and molecular dynamics investigation. J. Colloid Interface Sci. 2017, 506, 478–485. [Google Scholar] [CrossRef]
- Zhang, Q.; Hou, B.; Xu, N.; Xiong, W.; Liu, H.; Zhang, G. Effective inhibition on the corrosion of X65 carbon steel in the oilfield produced water by two Schiff bases. J. Mol. Liq. 2019, 285, 223–236. [Google Scholar] [CrossRef]
- Ouici, H.; Tourabi, M.; Benali, O.; Selles, C.; Jama, C.; Zarrouk, A.; Bentiss, F. Adsorption and corrosion inhibition properties of 5-amino 1, 3, 4-thiadiazole-2-thiol on the mild steel in hydrochloric acid medium: Thermodynamic, surface and electrochemical studies. J. Electroanal. Chem. 2017, 803, 125–134. [Google Scholar] [CrossRef]
- Radovanoviä, M.B.; Antonijeviä, M.M. Protection of copper surface in acidic chloride solution by non-toxic thiadiazole derivative. J. Adhes. Sci. Technol. 2017, 31, 369–387. [Google Scholar] [CrossRef]
- Singh, A.K.; Quraishi, M.A. The effect of some bis-thiadiazole derivatives on the corrosion of mild steel in hydrochloric acid. Corros. Sci. 2010, 52, 1373–1385. [Google Scholar] [CrossRef]
- Saranya, J.; Benhiba, F.; Anusuya, N.; Zarrouk, A.; Chitra, S. Thiazolo thiadiazole derivatives as anti-corrosion additives for acid corrosion. Chem. Data Collect. 2020, 26, 100358. [Google Scholar] [CrossRef]
- Soltani, N.; Khayatkashani, M. Gundelia tournefortii as a green corrosion inhibitor for mild steel in HCl and H2SO4 Solutions. Int. J. Electrochem. Sci. 2015, 10, 46–62. [Google Scholar]
- Zhang, Q.H.; Hou, B.S.; Zhang, G.A. Inhibitive and adsorption behavior of thiadiazole derivatives on carbon steel corrosion in CO2-saturated oilfield produced water: Effect of substituent group on efficiency. J. Colloid Interface Sci. 2020, 572, 91–106. [Google Scholar] [CrossRef]
- Zhang, Q.H.; Hou, B.S.; Xu, N.; Liu, H.F.; Zhang, G.A. Two novel thiadiazole derivatives as highly efficient inhibitors for the corrosion of mild steel in the CO2-saturated oilfield produced water. J. Taiwan Inst. Chem. E. 2019, 96, 588–598. [Google Scholar] [CrossRef]
- Li, Y.Y.; Jiang, Z.N.; Wang, X.; Zeng, X.Q.; Dong, C.F.; Liu, H.F.; Zhang, G.A. Developing a robust thiadiazole derivative corrosion inhibitor for dynamic supercritical CO2 aqueous environment: Electrochemical tests and DFT calculations. Corros. Sci. 2022, 209, 110695. [Google Scholar] [CrossRef]
- Chen, W.; Hong, S.; Li, H.B.; Luo, H.Q.; Li, M.; Li, N.B. Protection of copper corrosion in 0.5 M NaCl solution by modification of 5-mercapto-3-phenyl-1, 3, 4-thiadiazole-2-thione potassium self-assembled monolayer. Corros. Sci. 2012, 61, 53–62. [Google Scholar] [CrossRef]
- Ma, F.; Li, W.; Tian, H.; Hou, B. The use of a new thiadiazole derivative as a highly efficient and durable copper inhibitor in 3.5% NaCl solution. Int. J. Electrochem. Sci. 2015, 10, 5862–5879. [Google Scholar]
- Xue, S.; Xue, Z. Microwave-assisted one-pot synthesis and performance test of novel thiadiazole derivatives as an inhibitor of oil transportation pipelines. Anti-Corros. Methods Mater. 2017, 64, 461–464. [Google Scholar]
- Cong, Z.; Li, W.; Hu, D.; Lan, Z.; Hou, B. Study of Adsorption Behavior and Inhibition Mechanism of Mild Steel in Hydrochloric Acid by a Novel Thiadiazole Derivative. Electrochemistry 2015, 83, 262–267. [Google Scholar] [CrossRef]
- Lebrini, M.; Bentiss, F.; Vezin, H.; Lagrenee, M. The inhibition of mild steel corrosion in acidic solutions by 2,5-bis(4-pyridyl)-1,3,4-thiadiazole: Structure–activity correlation. Corros. Sci. 2006, 48, 1279–1291. [Google Scholar] [CrossRef]
- Bentiss, F.; Lebrini, M.; Lagrenee, M.; Traisnel, M.; Elfarouk, A.; Vezin, H. The influence of some new 2,5-disubstituted 1,3,4-thiadiazoles on the corrosion behaviour of mild steel in 1 M HCl solution: AC impedance study and theoretical approach. Electrochim. Acta 2007, 52, 6865–6872. [Google Scholar] [CrossRef]
- Yang, S. Synthesis and electrochemical performance of N, N-dihydroxyethyl-(5-methyl-[1,3,4] thiadiazol-2-sulfur)-carbonyl acetamide. Chin. J. Syn. Chem. 2016, 24, 808–811. [Google Scholar]
- Anejjar, A.; Salghi, R.; Zarrouk, A.; Zarrok, H.; Benali, O.; Hammouti, B.; Saddik, R. Investigation of inhibition by 6-bromo-3-nitroso-2-phenylimidazol 1,2-alpha pyridine of the corrosion of C38 steel in 1 M HCl. Res. Chem. Intermediat. 2015, 41, 913–925. [Google Scholar] [CrossRef]
- Heakal, F.E.; Fouda, A.S.; Zahran, S.S. Environmentally safe protection of carbon steel corrosion in sulfuric acid by thiouracil compounds. Int. J. Electrochem. Sci. 2015, 10, 1595–1615. [Google Scholar]
- Quej-Ake, L.; Contreras, A.; Aburto, J. The effect of non-ionic surfactant on the corrosion inhibition of X52 pipeline steel in NaCl solutions. Int. J. Electrochem. Sci. 2015, 10, 1809–1821. [Google Scholar]
- Izadi, M.; Shahrabi, T.; Ramezanzadeh, B. Active corrosion protection performance of an epoxy coating applied on the mild steel modified with an eco-friendly sol-gel film impregnated with green corrosion inhibitor loaded nanocontainers. Appl. Surf. Sci. 2018, 440, 491–505. [Google Scholar] [CrossRef]
- Li, L.; Zhang, X.; Lei, J.; He, J.; Zhang, S.; Pan, F. Adsorption and corrosion inhibition of Osmanthus fragran leaves extract on carbon steel. Corros. Sci. 2012, 63, 82–90. [Google Scholar] [CrossRef]
- Hsu, C.H.; Mansfeld, F. Concerning the conversion of the constant phase element parameter Y0 into a capacitance. Corrosion 2001, 57, 01090747. [Google Scholar] [CrossRef]
- Ahamad, I.; Prasad, R.; Quraishi, M.A. Adsorption and inhibitive properties of some new Mannich bases of Isatin derivatives on corrosion of mild steel in acidic media. Corros. Sci. 2010, 52, 1472–1481. [Google Scholar] [CrossRef]
- Li, X.; Deng, S.; Fu, H. Inhibition of the corrosion of steel in HCl, H2SO4 solutions by bamboo leaf extract. Corros. Sci. 2012, 62, 163–175. [Google Scholar] [CrossRef]
- Kelly, S.J.R.G.; Shoesmith, D.W.; Buchheit, R.G. Electrochemical thermodynamics and kinetics of relevance to corrosion. In Electrochemical Techniques in Corrosion Science and Engineering; Schweitzer, P.A., Ed.; Marcel Dekker, Inc.: New York, NY, USA, 2002. [Google Scholar]
- Matsushima, I. Carbon Steel—Corrosion in Fresh Waters. In Uhlig’s Corrosion Handbook; John Wiley & Sons, Inc.: Hoboken, NJ, USA, 2011. [Google Scholar]
- Shifler, D.A.; Aylor, D.M. Testing in environments-seawater. In Corrosion Tests and Standards Application and Interpretation; Baboian, R., Ed.; ASTM International: West Conshohocken, PA, USA, 2005. [Google Scholar]
- Li, X.; Deng, D.; Fu, H. Benzyltrimethylammonium iodide as a corrosion inhibitor for steel in phosphoric acid produced by dihydrate wet method process. Corros. Sci. 2011, 53, 664–670. [Google Scholar] [CrossRef]
- Avci, G. Inhibitor effect of N, N-methylenediacrylamide on corrosion behavior of mild steel in 0.5 M HCl. Mater. Chem. Phys. 2008, 112, 234–238. [Google Scholar] [CrossRef]
- Bahrami, M.J.; Hosseini, S.M.A.; Pilvar, P. Experimental and theoreticalinvestigation of organic compounds as inhibitors for mild steel corrosion in sulfuric acid medium. Corros. Sci. 2010, 52, 2793–2803. [Google Scholar] [CrossRef]
- Li, X.; Deng, S.; Fu, H. Triazolyl blue tetrazolium bromide as a novel corrosion inhibitor for steel in HCl and H2SO4 solutions. Corros. Sci. 2011, 53, 302–309. [Google Scholar] [CrossRef]
- Daoud, D.; Douadi, T.; Hamani, H.; Chafaa, S.; Al-Noaimi, M. Corrosion inhibition of mild steel by two new S-heterocyclic compounds in 1 M HCl: Experimental and computational study. Corros. Sci. 2015, 94, 21–37. [Google Scholar] [CrossRef]
- Lukovits, I.; Kálmán, E.; Zucchi, F. Corrosion inhibitors—Correlation between electronic structure and efficiency. Corrosion 2001, 57, 3–8. [Google Scholar] [CrossRef]










| CTSCA (mg·L−1) | W (g·m−2·h−1) | ηW (%) |
|---|---|---|
| 0 | 19.08 | - |
| 1 | 6.68 | 65.0 |
| 10 | 2.96 | 84.5 |
| 20 | 1.62 | 91.5 |
| 40 | 0.76 | 96.0 |
| CTSCA (mg·L−1) | RS (Ω·cm2) | Cdl (106/sn·Ω−1·cm−2) | n | L (H·cm2) | RL (Ω·cm2) | Rct (Ω·cm2) | ηE (%) |
|---|---|---|---|---|---|---|---|
| 0 | 0.79 | 208.52 | 0.80 | 35.17 | 3.46 | 18.67 | - |
| 1 | 0.79 | 134.26 | 0.93 | 113.57 | 53.22 | 52.05 | 64.1 |
| 10 | 0.84 | 86.88 | 0.92 | 302.42 | 187.53 | 113.61 | 83.6 |
| 20 | 0.94 | 68.23 | 0.91 | 756.41 | 528.90 | 247.73 | 92.5 |
| 40 | 0.77 | 49.83 | 0.91 | 1183.72 | 734.68 | 504.43 | 96.3 |
| CTSCA (mg·L−1) | Ecorr (mV) | icorr (μA·cm−2) | −βc (mV·dec−1) | βa (mV·dec−1) | ηT (%) |
|---|---|---|---|---|---|
| 0 | −478 | 846 | 132 | 72 | - |
| 1 | −480 | 284 | 123 | 75 | 66.4 |
| 10 | −483 | 121 | 126 | 73 | 85.7 |
| 20 | −481 | 65 | 129 | 71 | 92.3 |
| 40 | −483 | 23 | 128 | 68 | 97.3 |
| Name | EHOMO (eV) | ELUMO (eV) | ∆E (eV) | χ (eV) | γ (eV) | ∆N |
|---|---|---|---|---|---|---|
| TSCA | −6.92 | −2.28 | 4.64 | 4.60 | 2.32 | 0.65 |
Disclaimer/Publisher’s Note: The statements, opinions and data contained in all publications are solely those of the individual author(s) and contributor(s) and not of MDPI and/or the editor(s). MDPI and/or the editor(s) disclaim responsibility for any injury to people or property resulting from any ideas, methods, instructions or products referred to in the content. |
© 2023 by the authors. Licensee MDPI, Basel, Switzerland. This article is an open access article distributed under the terms and conditions of the Creative Commons Attribution (CC BY) license (https://creativecommons.org/licenses/by/4.0/).
Share and Cite
Zhou, Y.; Tao, J.; Jin, D.; Zhang, S.; He, Y.; Niu, L. The Inhibition Effect and Mechnism of a Thiadiazole Derivative on Q235 Carbon Steel in 1 M HCl Solution. Appl. Sci. 2023, 13, 2103. https://doi.org/10.3390/app13042103
Zhou Y, Tao J, Jin D, Zhang S, He Y, Niu L. The Inhibition Effect and Mechnism of a Thiadiazole Derivative on Q235 Carbon Steel in 1 M HCl Solution. Applied Sciences. 2023; 13(4):2103. https://doi.org/10.3390/app13042103
Chicago/Turabian StyleZhou, Yuxin, Ji Tao, Dingshuainan Jin, Shiping Zhang, Yan He, and Longlong Niu. 2023. "The Inhibition Effect and Mechnism of a Thiadiazole Derivative on Q235 Carbon Steel in 1 M HCl Solution" Applied Sciences 13, no. 4: 2103. https://doi.org/10.3390/app13042103
APA StyleZhou, Y., Tao, J., Jin, D., Zhang, S., He, Y., & Niu, L. (2023). The Inhibition Effect and Mechnism of a Thiadiazole Derivative on Q235 Carbon Steel in 1 M HCl Solution. Applied Sciences, 13(4), 2103. https://doi.org/10.3390/app13042103
