Model Test Analysis of Groundwater Level Fluctuations on Karst Cover Deformation Taking the Monolithic Structure of Guilin as an Example
Abstract
1. Introduction
2. Geological Setting of the Study Area
2.1. Meteorology and Hydrology
2.2. Geological Features
3. Test Materials and Methods
3.1. Generalisation of the Geological Model of the Study Area
3.2. Physical Modelling Principles
3.2.1. Body of the Model
3.2.2. Rainfall Systems
3.2.3. Water Supply and Drainage Systems
3.2.4. Monitoring Systems
3.3. Test Program
3.4. Model Filling
3.5. Different Recharge and Supply and Drainage Controls
3.5.1. Different Supplies
3.5.2. Dissolution Chamber Supply and Drainage
4. Analysis of Model Test Results
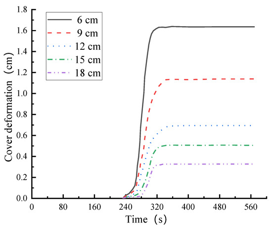
4.1. Effect of Different Recharge on Cover Deformation
4.2. Effect of Groundwater Level Fluctuations on Cover Deformation
4.2.1. Analysis of the Influence of Water Level Rise on the Dissolution Cavity
4.2.2. Analysis of the Results of the Dissolved Cavity Water Level Drop Test
4.3. Analysis of the Collapse Development Process
- (1)
- Soil softening stage: At the beginning of the test, rainfall and lateral seepage recharge the groundwater and a gradient difference is formed between pore water and groundwater, resulting in vertical seepage. As the support for the cover soil above the soil hole is weak, it is susceptible to submerged erosion making the soil particles soften.
- (2)
- Soil loss exfoliation stage: With the increase of rainfall and lateral seepage recharge time, the saturation of the soil increases and the permeability becomes poor. When the water level rises, the gas inside the cavern cannot be discharged and is squeezed to form a high-pressure air mass, which produces tiny fissures in the cover soil. When the water level falls, the negative pressure inside the cavern increases the additional force of downward seepage of pore water in the cover soil, which intensifies the loss and spalling of the soil.
- (3)
- Rapid integral collapse phase: long periods of continuous recharge and fluctuations in the water table resulted in a large loss and spalling of the cover soil above the cavity in the later stages of the test, and the arch structure no longer existed. The cavity was observed earlier in the form of an altar shown in Figure 13, at which point the self-weight of the soil increased with recharge, while the thickness of the soil was still being lost and spalled with fluctuations in the water table. When the collapse develops to the point where the collapse causing force is greater than the collapse resisting force, the soil undergoes shear deformation falling off as a whole, eventually leading to the overall collapse of the surface, as shown in Figure 14.
5. Conclusions
- (1)
- Under the action of rainfall and other recharge, cavity supply, and drainage, the infiltration curve of the soil in the cover layer changes faster at the beginning and slows down gradually at the later stage as the time and intensity of rainfall and other recharge increase. The thicker the cover layer, the slower the overall deformation; when the rate of cavity supply and drainage is certain, the thicker the cover layer, the smaller the deformation produced by the fluctuation of the groundwater level; after the formation of the cavity, rainfall, and other recharge, cavity supply and drainage accelerate the deformation of the soil and the upward development of the cavity.
- (2)
- Under the condition of uniform initial water content and density, the cumulative amount and time of rainfall and other recharge required for the deformation to collapse process increases as the thickness of the cover soil increases, and the number of cycles of cavity drainage required also increases. This indicates that the fluctuation frequency of groundwater level can aggravate the expansion of karst collapse.
- (3)
- The karst cover is affected by a combination of self-gravity, subduction by surface water seepage, suction by water-air change and airburst during the deformation to collapse process. For the same thickness of cover soil, the relationship between the deformation due to different effects is: water level rise is greater than water level fall which is greater than rainfall and lateral recharge; for example, with a cover of 6 cm, water level rise (3.04 mm) > water level fall (1.63 mm) > rainfall and lateral recharge (1.44 mm).
Author Contributions
Funding
Institutional Review Board Statement
Informed Consent Statement
Data Availability Statement
Conflicts of Interest
References
- Chen, G. Karst Collapses; China Railway Publishing House Co., Ltd.: Beijing, China, 1994. [Google Scholar]
- He, K.; Guo, D.; Du, W.; Wang, R. The effects of karst collapse on the environments in north China. Environ. Geol. 2006, 52, 449–455. [Google Scholar]
- Yao, C.; Yang, C.; Yang, Q.; Li, Z. Risk Control of Karst Collapse. J. Phys. Conf. Ser. 2020, 1549. [Google Scholar] [CrossRef]
- Chu, X.; Dang, S.; Ding, J. Analysis of karst collapse distribution in Guizhou Province and influential factors. Yangtze River 2015, 46, 42–44+71. [Google Scholar]
- Fidelibus, M.D.; Balacco, G.; Gioia, A.; Iacobellis, V.; Spilotro, G. Mass transport triggered by heavy rainfall: The role of endorheic basins and epikarst in a regional karst aquifer. Hydrol. Process. 2017, 31, 394–408. [Google Scholar] [CrossRef]
- Jiang, X.; Lei, M.; Zhao, H. Review of the advanced monitoring technology of groundwater–air pressure (enclosed potentiometric) for karst collapse studies. Environ. Earth Sci. 2019, 78, 701. [Google Scholar] [CrossRef]
- Hu, J.; Mahdi, M.; Wang, J.; Qin, F.; Zhang, J.; Wu, W.; Han, Y. Karst Collapse Risk Zonation and Evaluation in Wuhan, China Based on Analytic Hierarchy Process, Logistic Regression, and InSAR Angular Distortion Approaches. Remote Sens. 2021, 13, 5063. [Google Scholar] [CrossRef]
- Taheri, K.; Missimer, T.M.; Mohseni, H.; Fidelibus, M.D.; Fathollahy, M.; Taheri, M. Enhancing spatial prediction of sinkhole susceptibility by mixed waters geochemistry evaluation: Application of ROC and GIS. Environ. Earth Sci. 2021, 80, 470. [Google Scholar] [CrossRef]
- Luo, X. On the history of tectonic evolution and karstification in Wuhan. Carsologica Sin. 2013, 32, 195–202. [Google Scholar]
- Kim, Y.J.; Nam, B.H.; Shamet, R.; Soliman, M.; Youn, H. Development of Sinkhole Susceptibility Map of East Central Florida. Nat. Hazards Rev. 2020, 21, 04020035. [Google Scholar] [CrossRef]
- Zhou, W.; Lei, M. Summary editorial for karst hydrogeology: Advances in karst collapse studies. Environ. Earth Sci. 2018, 77, 803. [Google Scholar] [CrossRef]
- Wang, Y.; Chen, W.; Jiang, X.; Guan, Z. Development features and formation mechanisms of karst collapses in the Tailai basin, Shandong Province. Carsologica Sin. 2015, 34, 495–506. [Google Scholar]
- He, K.; Jia, Y.; Wang, B.; Wang, R.; Luo, H. Comprehensive fuzzy evaluation model and evaluation of the karst collapse susceptibility in Zaozhuang Region, China. Nat. Hazards 2013, 68, 613–629. [Google Scholar] [CrossRef]
- Gao, P.; Wang, L. Analysis of collapse mechanism for mantled karst collapse. Carsologica Sin. 2017, 36, 770–776. [Google Scholar]
- Ding, Q. Weakly Permeable Overburden of Water-Gas Pressure to Collapse Mechanism of the Karst Collapse Physical Model Research; Chengdu University of Technology: Chengdu, China, 2016. [Google Scholar]
- Karimi, H.; Taheri, K. Hazards and mechanism of sinkholes on Kabudar Ahang and Famenin plains of Hamadan, Iran. Nat. Hazards 2010, 55, 481–499. [Google Scholar] [CrossRef]
- Wu, Q.; Zhang, W.; Liu, Y.; Cui, H. Quantifying the process of karst collapse by a physical model. J. Yangtze River Sci. Res. Inst. 2018, 3, 52–58. [Google Scholar]
- Zhang, H.; Xu, G.; Liu, M. Formation environments and mechanisms of multistage paleokarst of Ordovician carbonates in Southern North China Basin. Sci. Rep. 2021, 11, 819. [Google Scholar] [CrossRef] [PubMed]
- Pando, L.; Pulgar, J.A.; Gutiérrez-Claverol, M. A case of man-induced ground subsidence and building settlement related to karstified gypsum (Oviedo, NW Spain). Environ. Earth Sci. 2013, 68, 507–519. [Google Scholar] [CrossRef]
- Xiao, G. The Forming Mechanism and Forecast of Fatalness about Karst Subsidence in Guilin City; Jilin University: Changchun, China, 2005. [Google Scholar]
- Wei, A.; Li, D.; Zhou, Y.; Deng, Q.; Yan, L. A novel combination approach for karst collapse susceptibility assessment using the analytic hierarchy process, catastrophe, and entropy model. Nat. Hazards 2020, 105, 405–430. [Google Scholar] [CrossRef]
- Shi, S.; Zhang, Q.; Kang, Z. Formation mechanism and development process of karst collapses in Tanluo town of Nanning City. Carsologica Sin. 2015, 34, 507–514. [Google Scholar]
- Vigna, B.; Fiorucci, A.; Banzato, C.; Forti, P.; De Waele, J. Hypogene gypsum karst and sinkhole formation at Moncalvo (Asti, Italy). Z. Geomorphol. Suppl. 2010, 54, 285. [Google Scholar] [CrossRef]
- Shi, H.; Li, Q.; Zhang, Q.; Yu, Y.; Xing, Y.; Yu, K. Mechanism of Shallow Soil Cave-type Karst Collapse Induced by Water Inrush in Underground Engineering Construction. J. Technol. Sci. 2020, 34, 04019091. [Google Scholar] [CrossRef]
- Zhang, H.; Xu, G.; Zhan, H.; Zheng, J.; Wang, M.; Liu, M.; Pan, S.; Wang, N. Formation mechanisms of paleokarst and karst collapse columns of the Middle Cambrian-Lower Ordovician carbonates in Huainan coalfield, Northern China. J. Hydrol. 2021, 601, 126634. [Google Scholar] [CrossRef]
- Liu, H.; Li, L.; Li, Z.; Yu, G. Numerical Modelling of Mining-induced Inrushes from Subjacent Water Conducting Karst Collapse Columns in Northern China. Mine Water Environ. 2018, 37, 652–662. [Google Scholar] [CrossRef]
- Voglar, G.E.; Leštan, D. Solidification/stabilization of metals contaminated industrial soil from former Zn smelter in Celje, Slovenia, using cement as a hydraulic binder. J. Hazard. Mater. 2010, 178, 926–933. [Google Scholar] [CrossRef] [PubMed]
- Wei, Y.; Sun, S. Comprehensive critical mechanical model of covered karst collapse under the effects of positive and negative pressure. Bull. Eng. Geol. Environ. 2018, 77, 177–190. [Google Scholar]
- Lu, Y.; Liu, Q.; Zhang, F. Environmental characteristics of karst in China and their effect on engineering. Carbonates Evaporites 2013, 28, 251–258. [Google Scholar] [CrossRef]
- Jin, H.; Wang, L.; Yang, P.; Song, N. Stability analysis of karst collapse considering joint effect of rainfall infiltration and groundwater leakage. Yangtze River 2019, 9, 105–112. [Google Scholar]
- Sun, J. Study on Critical Parameter in Cover Karst Collapse by Model Experiment and Numerical Simulation; Southwest Jiaotong University: Chengdu, China, 2011. [Google Scholar]
- Li, C.; Dou, P. Physical model test analysis of the collapse mechanism of karst ground. Eng. J. Wuhan Univ. 2021, S2, 239–242. [Google Scholar]














| Dimensions | Φ25 × 345 | Measuring Range (mm) | 0~100 | 
|---|---|---|---|
| Full output (με) | 8000 | Correction factor (mm/με) | 0.0125 | 
| Precision | ≤0.2%F•S | Error (mm) | ≤0.01 | 
| Test Program | Control Variables | Karst Opening Diameter/cm | Stratigraphic Conditions | Dry Density/ (g/cm3) | Initial Moisture Content/% | 
|---|---|---|---|---|---|
| 1 | Rainfall and other recharge | 6 | Red clay Five different thicknesses | 1.40 | 30 | 
| 2 | Dissolution chamber supply and drainage | 6 | Red clay Five different thicknesses | 1.40 | 30 | 
| Disclaimer/Publisher’s Note: The statements, opinions and data contained in all publications are solely those of the individual author(s) and contributor(s) and not of MDPI and/or the editor(s). MDPI and/or the editor(s) disclaim responsibility for any injury to people or property resulting from any ideas, methods, instructions or products referred to in the content. | 
© 2023 by the authors. Licensee MDPI, Basel, Switzerland. This article is an open access article distributed under the terms and conditions of the Creative Commons Attribution (CC BY) license (https://creativecommons.org/licenses/by/4.0/).
Share and Cite
Chen, X.; Gao, X.; Li, H.; Xue, M.; Gan, X.; Song, Y. Model Test Analysis of Groundwater Level Fluctuations on Karst Cover Deformation Taking the Monolithic Structure of Guilin as an Example. Appl. Sci. 2023, 13, 1747. https://doi.org/10.3390/app13031747
Chen X, Gao X, Li H, Xue M, Gan X, Song Y. Model Test Analysis of Groundwater Level Fluctuations on Karst Cover Deformation Taking the Monolithic Structure of Guilin as an Example. Applied Sciences. 2023; 13(3):1747. https://doi.org/10.3390/app13031747
Chicago/Turabian StyleChen, Xuejun, Xiaotong Gao, Hui Li, Mingming Xue, Xiaohui Gan, and Yu Song. 2023. "Model Test Analysis of Groundwater Level Fluctuations on Karst Cover Deformation Taking the Monolithic Structure of Guilin as an Example" Applied Sciences 13, no. 3: 1747. https://doi.org/10.3390/app13031747
APA StyleChen, X., Gao, X., Li, H., Xue, M., Gan, X., & Song, Y. (2023). Model Test Analysis of Groundwater Level Fluctuations on Karst Cover Deformation Taking the Monolithic Structure of Guilin as an Example. Applied Sciences, 13(3), 1747. https://doi.org/10.3390/app13031747
 
        



 
       